Effect of Co-Doping on the Magnetic Ground State of the Heavy-Fermion System CeCu2Ge2 Studied by Neutron Diffraction
Abstract
1. Introduction
2. Experimental Methods
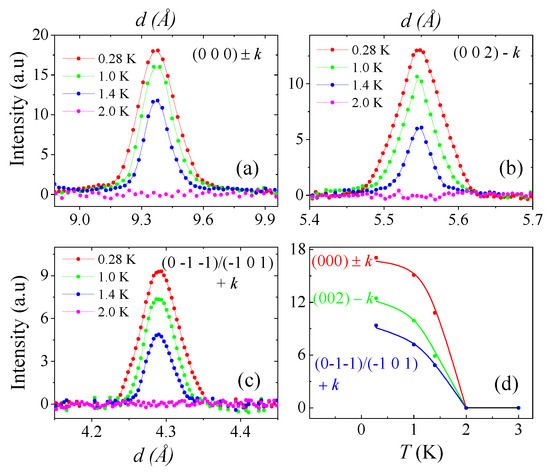
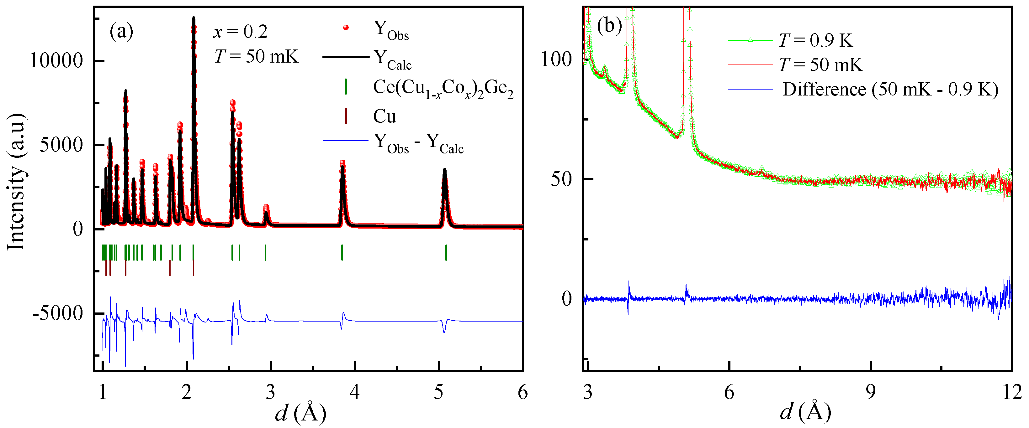
3. Results and Discussion
4. Conclusions
Author Contributions
Funding
Institutional Review Board Statement
Informed Consent Statement
Data Availability Statement
Acknowledgments
Conflicts of Interest
References
- Si, Q.; Steglich, F. Heavy Fermions and Quantum Phase Transitions. Science 2010, 329, 1161–1166. [Google Scholar] [CrossRef] [PubMed]
- Keimer, B.; Kivelson, S.A.; Norman, M.R.; Uchida, S.; Zaanen, J. From quantum matter to high-temperature superconductivity in copper oxides. Nature 2015, 518, 179–186. [Google Scholar] [CrossRef] [PubMed]
- Uemura, Y.J. Commonalities in phase and mode. Nat. Mater. 2009, 8, 253–255. [Google Scholar] [CrossRef] [PubMed]
- Stewart, G.R. Non-Fermi-liquid behavior in d- and f-electron metals. Rev. Mod. Phys. 2001, 73, 797–855. [Google Scholar] [CrossRef]
- Löhneysen, H.v.; Rosch, A.; Vojta, M.; Wölfle, P. Fermi-liquid instabilities at magnetic quantum phase transitions. Rev. Mod. Phys. 2007, 79, 1015–1075. [Google Scholar] [CrossRef]
- Gegenwart, P.; Si, Q.; Steglich, F. Quantum criticality in heavy-fermion metals. Nat. Phys. 2008, 4, 186–197. [Google Scholar] [CrossRef]
- Pfleiderer, C. Superconducting phases of f-electron compounds. Rev. Mod. Phys. 2009, 81, 1551–1624. [Google Scholar] [CrossRef]
- Brando, M.; Belitz, D.; Grosche, F.M.; Kirkpatrick, T.R. Metallic quantum ferromagnets. Rev. Mod. Phys. 2016, 88, 025006. [Google Scholar] [CrossRef]
- Mathur, N.; Grosche, F.; Julian, S.; Walker, I.; Freye, D.; Haselwimmer, R.; Lonzarich, G. Magnetically mediated superconductivity in heavy fermion compounds. Nature 1998, 394, 39–43. [Google Scholar] [CrossRef]
- Sparn, G.; Deppe, M.; Donnevert, L.; Geibel, C.; Hellmann, P.; Heuser, K.; Köppen, M.; Lang, M.; Laube, F.; Link, A.; et al. Multiple magnetic phase transitions in Ce(Cu1-xNix)2Ge2. Phys. B Condens. Matter 1997, 230–232, 317–320. [Google Scholar] [CrossRef]
- Singh, D.; Thamizhavel, A.; Lynn, J.W.; Dhar, S.; Rodriguez-Rivera, J.; Herman, T. Field-induced quantum fluctuations in the heavy fermion superconductor CeCu2Ge2. Sci. Rep. 2011, 1, 1–6. [Google Scholar] [CrossRef] [PubMed]
- Knebel, G.; Eggert, C.; Engelmann, D.; Viana, R.; Krimmel, A.; Dressel, M.; Loidl, A. Phase diagram of CeCu2(Si1-xGex)2. Phys. Rev. B 1996, 53, 11586–11592. [Google Scholar] [CrossRef]
- Jaccard, D.; Wilhelm, H.; Alami-Yadri, K.; Vargoz, E. Magnetism and superconductivity in heavy fermion compounds at high pressure. Phys. B Condens. Matter 1999, 259–261, 1–7. [Google Scholar] [CrossRef]
- de Boer, F.; Klaasse, J.; Veenhuizen, P.; Böhm, A.; Bredl, C.; Gottwick, U.; Mayer, H.; Pawlak, L.; Rauchschwalbe, U.; Spille, H.; et al. CeCu2Ge2: Magnetic order in a Kondo lattice. J. Magn. Magn. Mater. 1987, 63–64, 91–94. [Google Scholar] [CrossRef]
- Krimmel, A.; Loidl, A.; Schober, H.; Canfield, P.C. Single-crystal neutron diffraction studies on CeCu2 Ge2sand CeCu1.9 Ni0.1 Ge2s. Phys. Rev. B 1997, 55, 6416–6420. [Google Scholar] [CrossRef]
- Zwicknagl, G. Kondo Effect and Antiferromagnetism in CeCu2Ge2: An Electronic Structure Study. J. Low Temp. Phys. 2007, 147, 123–134. [Google Scholar] [CrossRef]
- Knopp, G.; Loidl, A.; Knorr, K.; Pawlak, L.; Duczmal, M.; Caspary, R.; Gottwick, U.; Spille, H.; Steglich, F.; Murani, A. Magnetic order in a Kondo lattice: A neutron scattering study of CeCu2Ge2. Z. Phys. B Condens. Matter 1989, 77, 95–104. [Google Scholar] [CrossRef]
- Tripathi, R.; Das, D.; Geibel, C.; Dhar, S.K.; Hossain, Z. Non-Fermi-liquid behavior at the antiferromagnetic quantum critical point in the heavy-fermion system Ce(Cu1-xCox)2Ge2. Phys. Rev. B 2018, 98, 165136. [Google Scholar] [CrossRef]
- Tripathi, R.; Das, D.; Biswas, P.K.; Adroja, D.T.; Hillier, A.D.; Hossain, Z. Quantum Griffiths phase near an antiferromagnetic quantum critical point: Muon spin relaxation study of Ce(Cu1-xCox)2Ge2. Phys. Rev. B 2019, 99, 224424. [Google Scholar] [CrossRef]
- Loidl, A.; Krimmel, A.; Knorr, K.; Sparn, G.; Lang, M.; Geibel, C.; Horn, S.; Grauel, A.; Steglich, F.; Welslau, B.; et al. Local-moment and itinerant antiferromagnetism in the heavy-fermion system Ce(Cu1-xNix)2Ge2. Ann. Phys. 1992, 504, 78–91. [Google Scholar] [CrossRef]
- Chapon, L.C.; Manuel, P.; Radaelli, P.G.; Benson, C.; Perrott, L.; Ansell, S.; Rhodes, N.J.; Raspino, D.; Duxbury, D.; Spill, E.; et al. Wish: The New Powder and Single Crystal Magnetic Diffractometer on the Second Target Station. Neutron News 2011, 22, 22–25. [Google Scholar] [CrossRef]
- Rodriguez-Carvajal, J. Rietveld Analysis of Neutron or X-ray Powder Diffraction Data. Available online: https://www.ill.eu/sites/fullprof/ (accessed on 23 March 2023).
- Straumanis, M.; Yu, L. Lattice parameters, densities, expansion coefficients and perfection of structure of Cu and of Cu-In α phase. Acta Crystallogr. Sect. A Cryst. Phys. Diffr. Theor. Gen. Crystallogr. 1969, 25, 676–682. [Google Scholar] [CrossRef]
- Krimmel, A.; Loidl, A. The phase diagram of CeCu2(Si1-xGex)2. Phys. B Condens. Matter 1997, 234-236, 877–879. [Google Scholar] [CrossRef]





| XRD | ND | ND | XRD | ND | ND | |
|---|---|---|---|---|---|---|
| (300 K) | (5 K) | (0.28 K) | (300 K) | (0.9 K) | (50 mK) | |
| Lattice parameter | ||||||
| a(Å) | 4.1759(1) | 4.1689(5) | 4.1680(1) | 4.1744(4) | 4.1729(5) | 4.1708(2) |
| c(Å) | 10.1860(7) | 10.1702(3) | 10.1711(1) | 10.1225(1) | 10.1230(8) | 10.1149(2) |
| V(Å) | 177.6249 | 176.7518 | 176.6930 | 176.3908 | 175.2727 | 175.9545 |
| Atomic coordinate | ||||||
| 0.3767 | 0.3776 | 0.3777 | 0.3753 | 0.3766 | 0.3766 | |
| Refinement quality | ||||||
| 1.67 | 19.4 | 20.3 | 2.13 | 17.4 | 19.3 | |
| (%) | 16.5 | 17.93 | 15.01 | 19.6 | 17.93 | 18.82 |
| (%) | 20.4 | 15.32 | 14.91 | 26.3 | 19.72 | 21.11 |
Disclaimer/Publisher’s Note: The statements, opinions and data contained in all publications are solely those of the individual author(s) and contributor(s) and not of MDPI and/or the editor(s). MDPI and/or the editor(s) disclaim responsibility for any injury to people or property resulting from any ideas, methods, instructions or products referred to in the content. |
© 2023 by the authors. Licensee MDPI, Basel, Switzerland. This article is an open access article distributed under the terms and conditions of the Creative Commons Attribution (CC BY) license (https://creativecommons.org/licenses/by/4.0/).
Share and Cite
Tripathi, R.; Khalyavin, D.; Sharma, S.; Adroja, D.T.; Hossain, Z. Effect of Co-Doping on the Magnetic Ground State of the Heavy-Fermion System CeCu2Ge2 Studied by Neutron Diffraction. Magnetochemistry 2023, 9, 115. https://doi.org/10.3390/magnetochemistry9050115
Tripathi R, Khalyavin D, Sharma S, Adroja DT, Hossain Z. Effect of Co-Doping on the Magnetic Ground State of the Heavy-Fermion System CeCu2Ge2 Studied by Neutron Diffraction. Magnetochemistry. 2023; 9(5):115. https://doi.org/10.3390/magnetochemistry9050115
Chicago/Turabian StyleTripathi, Rajesh, Dmitry Khalyavin, Shivani Sharma, Devashibhai Thakarshibhai Adroja, and Zakir Hossain. 2023. "Effect of Co-Doping on the Magnetic Ground State of the Heavy-Fermion System CeCu2Ge2 Studied by Neutron Diffraction" Magnetochemistry 9, no. 5: 115. https://doi.org/10.3390/magnetochemistry9050115
APA StyleTripathi, R., Khalyavin, D., Sharma, S., Adroja, D. T., & Hossain, Z. (2023). Effect of Co-Doping on the Magnetic Ground State of the Heavy-Fermion System CeCu2Ge2 Studied by Neutron Diffraction. Magnetochemistry, 9(5), 115. https://doi.org/10.3390/magnetochemistry9050115

