Study of Dynamic Viscoelasticity of a Mineral Oil-Based Magnetic Fluid
Abstract
1. Introduction
2. Experimental Method
2.1. Matierals
2.2. Experimental Setup
3. Results and Discussion
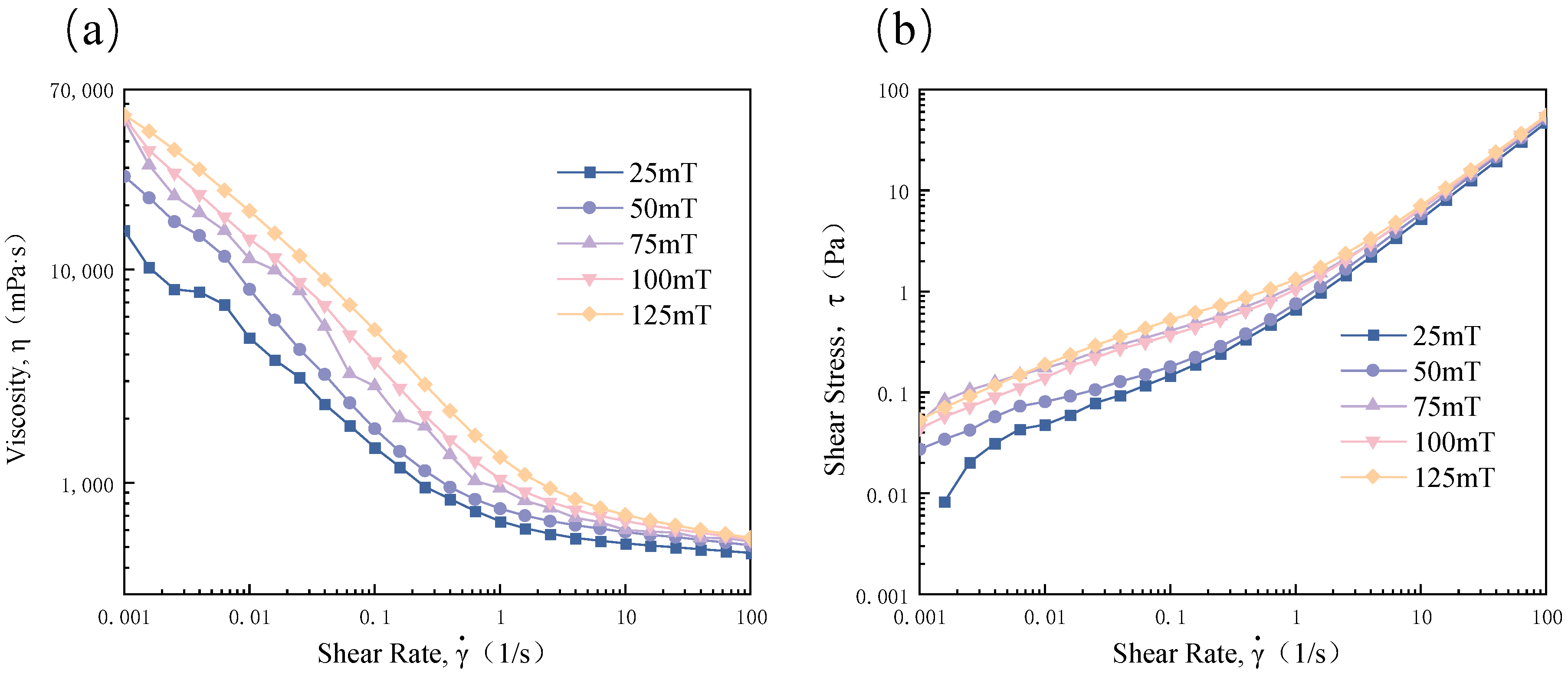
3.1. The Flow Curv
3.2. Amplitude Sweeps at Different Magnetic Field Strengths
3.3. Amplitude Sweeps at Different Temperatures
3.4. Frequency Sweeps at Different Magnetic Field Strengths
3.5. Frequency Sweeps at Different Temperatures
4. Conclusions
Author Contributions
Funding
Institutional Review Board Statement
Informed Consent Statement
Data Availability Statement
Conflicts of Interest
References
- Kaloni, P.N.; Mahajan, A. Stability and uniqueness of ferrofluids. Int. J. Eng. Sci. 2010, 48, 1350–1356. [Google Scholar] [CrossRef]
- Behera, A.; Behera, A. Smart Fluid. In Advanced Materials: An Introduction to Modern Materials Science; Springer: Berlin/Heidelberg, Germany, 2022; pp. 193–223. [Google Scholar]
- Pankhurst, Q.A.; Connolly, J.; Jones, S.K.; Dobson, J. Applications of magnetic nanoparticles in biomedicine. J. Phys. D-Appl. Phys. 2003, 36, R167–R181. [Google Scholar] [CrossRef]
- Zhang, Y.; Jiang, S.; Hu, Y.; Wu, T.; Zhang, Y.; Li, H.; Li, A.; Zhang, Y.; Wu, H.; Ding, Y.; et al. Reconfigurable Magnetic Liquid Metal Robot for High-Performance Droplet Manipulation. Nano Lett. 2022, 22, 2923–2933. [Google Scholar] [CrossRef]
- Pathak, S.; Jain, K.; Noorjahan; Kumar, V.; Pant, R.P. Magnetic Fluid Based High Precision Temperature Sensor. IEEE Sens. J. 2017, 17, 2670–2675. [Google Scholar] [CrossRef]
- Viali, W.R.; Alcantara, G.B.; Sartoratto, P.P.C.; Soler, M.A.G.; Mosiniewicz-Szablewska, E.; Andrzejewski, B.; Morais, P.C. Investigation of the Molecular Surface Coating on the Stability of Insulating Magnetic Oils. J. Phys. Chem. C 2010, 114, 179–188. [Google Scholar] [CrossRef]
- Yadav, N.; Jarial, R.K.; Rao, U.M. Characterization of Mineral oil Based Fe3O4 Nanofluid for Application in Oil Filled Transformers. Int. J. Electr. Eng. Inform. 2018, 10, 338–349. [Google Scholar] [CrossRef]
- Muangpratoom, P.; Pattanadech, N. Dielectric Breakdown Strength of Mineral Oil Based Nanofluids. In Proceedings of the 2016 International Conference on Condition Monitoring and Diagnosis (CMD), Xi’an, China, 25–28 September 2016; Xi’an Jiaotong Univercity: Xi’an, China, 2016; pp. 266–269. [Google Scholar]
- Huang, W.; Wang, X. Ferrofluids lubrication: A status report. Lubr. Sci. 2016, 28, 3–26. [Google Scholar] [CrossRef]
- Chen, S.; Wang, J.; Lu, H.; Xu, L. Surfactant-Modified Silica Nanoparticles-Stabilized Magnetic Polydimethylsiloxane-in-Water Pickering Emulsions for Lubrication and Anticorrosion. ACS Sustain. Chem. Eng. 2022, 10, 10816–10826. [Google Scholar] [CrossRef]
- Ferry, J.D. Viscoelastic Properties of Polymers; John Wiley & Sons: Hoboken, NJ, USA, 1980. [Google Scholar]
- Yang, C.; Li, T.; Pei, X.; Li, J.; Yuan, Z.; Li, Y.; Bian, X. Magnetorheological and Viscoelastic Behaviors in an Fe-Based Amorphous Magnetic Fluid. Materials 2023, 16, 1967. [Google Scholar] [CrossRef]
- Sirimontree, S.; Thongchom, C.; Saffari, P.R.; Refahati, N.; Saffari, P.R.; Jearsiripongkul, T.; Keawsawasvong, S. Effects of thermal environment and external mean flow on sound transmission loss of sandwich functionally graded magneto-electro-elastic cylindrical nanoshell. Eur. J. Mech. A/Solids 2023, 97, 104774. [Google Scholar] [CrossRef]
- Felicia, L.J.; Philip, J. Probing of Field-Induced Structures and Tunable Rheological Properties of Surfactant Capped Magnetically Polarizable Nanofluids. Langmuir 2013, 29, 110–120. [Google Scholar] [CrossRef]
- Mishra, A.; Pathak, S.; Kumar, P.; Singh, A.; Jain, K.; Chaturvedi, R.; Singh, D.; Basheed, G.; Pant, R. Measurement of static and dynamic magneto-viscoelasticity in facile varying pH synthesized CoFe2O4-based magnetic fluid. IEEE Trans. Magn. 2019, 55, 1–7. [Google Scholar] [CrossRef]
- Cunha, F.R.; Rosa, A.P. Effect of particle dipolar interactions on the viscoelastic response of dilute ferrofluids undergoing oscillatory shear. Phys. Fluids 2021, 33, 092004. [Google Scholar] [CrossRef]
- Yamaguchi, H.; Niu, X.-D.; Ye, X.-J.; Li, M.; Iwamoto, Y. Dynamic rheological properties of viscoelastic magnetic fluids in uniform magnetic fields. J. Magn. Magn. Mater. 2012, 324, 3238–3244. [Google Scholar] [CrossRef]
- Vinod, S.; Philip, J. Thermal and rheological properties of magnetic nanofluids: Recent advances and future directions. Adv. Colloid Interface Sci. 2022, 307, 102729. [Google Scholar] [CrossRef] [PubMed]
- Doganay, S.; Alsangur, R.; Turgut, A. Effect of external magnetic field on thermal conductivity and viscosity of magnetic nanofluids: A review. Mater. Res. Express 2019, 6, 112003. [Google Scholar] [CrossRef]
- Malekzadeh, A.; Pouranfard, A.R.; Hatami, N.; Kazemnejad Banari, A.; Rahimi, M.R. Experimental investigations on the viscosity of magnetic nanofluids under the influence of temperature, volume fractions of nanoparticles and external magnetic field. J. Appl. Fluid Mech. 2016, 9, 693–697. [Google Scholar] [CrossRef]
- Gu, H.; Tang, X.; Hong, R.; Feng, W.; Xie, H.; Chen, D.; Badami, D. Ubbelohde viscometer measurement of water-based Fe3O4 magnetic fluid prepared by coprecipitation. J. Magn. Magn. Mater. 2013, 348, 88–92. [Google Scholar] [CrossRef]
- Ryapolov, P.A.; Shel’deshova, E.V.; Postnikov, E.B. Temperature and field dependences of magnetic fluid’s shear viscosity: Decoupling inputs from a carrier fluid and magnetic nanoparticles. J. Mol. Liq. 2023, 382, 121887. [Google Scholar] [CrossRef]
- Wang, S.; Yang, C.; Bian, X. Magnetoviscous properties of Fe3O4 silicon oil based ferrofluid. J. Magn. Magn. Mater. 2012, 324, 3361–3365. [Google Scholar] [CrossRef]
- Shel’deshova, E.; Churaev, A.; Ryapolov, P. Dynamics of Magnetic Fluids and Bidisperse Magnetic Systems under Oscillatory Shear. Fluids 2023, 8, 47. [Google Scholar] [CrossRef]
- Yang, C.; Bian, X.; Qin, J.; Zhao, X.; Zhang, K.; Bai, Y. An investigation of a viscosity-magnetic field hysteretic effect in nano-ferrofluid. J. Mol. Liq. 2014, 196, 357–362. [Google Scholar] [CrossRef]
- Li, Z.; Li, D.; Chen, Y.; Cui, H. Study of the thixotropic behaviors of ferrofluids. Soft Matter 2018, 14, 3858–3869. [Google Scholar] [CrossRef] [PubMed]
- Jahan, N.; Pathak, S.; Jain, K.; Pant, R.P. Enchancment in viscoelastic properties of flake-shaped iron based magnetorheological fluid using ferrofluid. Colloids Surf. A-Physicochem. Eng. Asp. 2017, 529, 88–94. [Google Scholar] [CrossRef]
- Pang, H.; Pei, L.; Sun, C.; Gong, X. Normal stress in magnetorheological polymer gel under large amplitude oscillatory shear. J. Rheol. 2018, 62, 1409–1418. [Google Scholar] [CrossRef]
- Xuan, Y.; Huang, Y.; Li, Q. Experimental investigation on thermal conductivity and specific heat capacity of magnetic microencapsulated phase change material suspension. Chem. Phys. Lett. 2009, 479, 264–269. [Google Scholar] [CrossRef]
- Li, Z.; Li, D.; Hao, D.; Cheng, Y. Study on the creep and recovery behaviors of ferrofluids. Smart Mater. Struct. 2017, 26, 105022. [Google Scholar] [CrossRef]
- Dong, J.; Li, D.; Li, Z. Different methods for determining the yield stress of ferrofluids. J. Intell. Mater. Syst. Struct. 2023, 34, 800–810. [Google Scholar] [CrossRef]
- Denn, M.M.; Bonn, D. Issues in the flow of yield-stress liquids. Rheol. Acta 2011, 50, 307–315. [Google Scholar] [CrossRef]
- Wang, G.; Geng, J.; Guo, T.; Qi, X.; Yu, R.; Zhang, Z.; Wang, Y.; Wang, Z.; Li, Z.; Li, P. Magneto-stimuli rheological response of hierarchical Fe3O4 submicron spheres for high performance magnetorheological fluid. Ceram. Int. 2022, 48, 29031–29038. [Google Scholar] [CrossRef]
- Fan, Y.; Xie, L.; Yang, W.; Sun, B. Magnetic field dependent viscoelasticity of a highly stable magnetorheological fluid under oscillatory shear. J. Appl. Phys. 2021, 129, 204701. [Google Scholar] [CrossRef]
- Ibiyemi, A.A.; Yusuf, G.T.; Olusola, A. Influence of temperature and magnetic field on rheological behavior of ultra-sonicated and oleic acid coated cobalt ferrite ferrofluid. Phys. Scr. 2021, 96, 125842. [Google Scholar] [CrossRef]
- Lacoste, D.; Lubensky, T.C. Phase transitions in a ferrofluid at magnetic-field-induced microphase separation. Phys. Rev. E 2001, 64, 041506. [Google Scholar] [CrossRef] [PubMed]









| Mineral Oil | Kinematics Viscosity mPa·s (40 °C) | Flash Point °C | Pour Point °C | Density g/cm3 (25 °C) |
|---|---|---|---|---|
| L-AN46 | 46 | 220 | −28 | 0.858 |
| Density g/cm3 | Zero Magnetic Field Viscosity mPa·s (40 °C) | Saturation Magnetization kA/m | Particle Volume Fraction % |
|---|---|---|---|
| 1.252 | 574.2 | 25.32 | 7.73 |
| Magnetic Field Strength (mT) | Range of LVE (%) | Storage Modulus of LVE (Pa) | of Gp (Pa) |
|---|---|---|---|
| 0 | - | - | - |
| 50 | 10 | 11.29 | 2.6369 |
| 100 | 6.31 | 24.972 | 4.4098 |
| 150 | 3.98 | 39.228 | 5.4511 |
| 200 | 2.51 | 49.016 | 6.5007 |
| 250 | 1.59 | 56.31 | 7.14556 |
Disclaimer/Publisher’s Note: The statements, opinions and data contained in all publications are solely those of the individual author(s) and contributor(s) and not of MDPI and/or the editor(s). MDPI and/or the editor(s) disclaim responsibility for any injury to people or property resulting from any ideas, methods, instructions or products referred to in the content. |
© 2023 by the authors. Licensee MDPI, Basel, Switzerland. This article is an open access article distributed under the terms and conditions of the Creative Commons Attribution (CC BY) license (https://creativecommons.org/licenses/by/4.0/).
Share and Cite
Li, Z.; Guo, Y.; Wang, H.; Deng, C.; Dong, J.; Song, Z.; Li, Z. Study of Dynamic Viscoelasticity of a Mineral Oil-Based Magnetic Fluid. Magnetochemistry 2023, 9, 143. https://doi.org/10.3390/magnetochemistry9060143
Li Z, Guo Y, Wang H, Deng C, Dong J, Song Z, Li Z. Study of Dynamic Viscoelasticity of a Mineral Oil-Based Magnetic Fluid. Magnetochemistry. 2023; 9(6):143. https://doi.org/10.3390/magnetochemistry9060143
Chicago/Turabian StyleLi, Zhanxian, Yifei Guo, Hujun Wang, Chengyao Deng, Jiahao Dong, Zhongru Song, and Zhenkun Li. 2023. "Study of Dynamic Viscoelasticity of a Mineral Oil-Based Magnetic Fluid" Magnetochemistry 9, no. 6: 143. https://doi.org/10.3390/magnetochemistry9060143
APA StyleLi, Z., Guo, Y., Wang, H., Deng, C., Dong, J., Song, Z., & Li, Z. (2023). Study of Dynamic Viscoelasticity of a Mineral Oil-Based Magnetic Fluid. Magnetochemistry, 9(6), 143. https://doi.org/10.3390/magnetochemistry9060143

