Superconducting Gap Structure of Filled Skutterudite LaOs4As12 Compound through μSR Investigations
Abstract
1. Introduction
2. Experimental Details
3. Results and Discussion
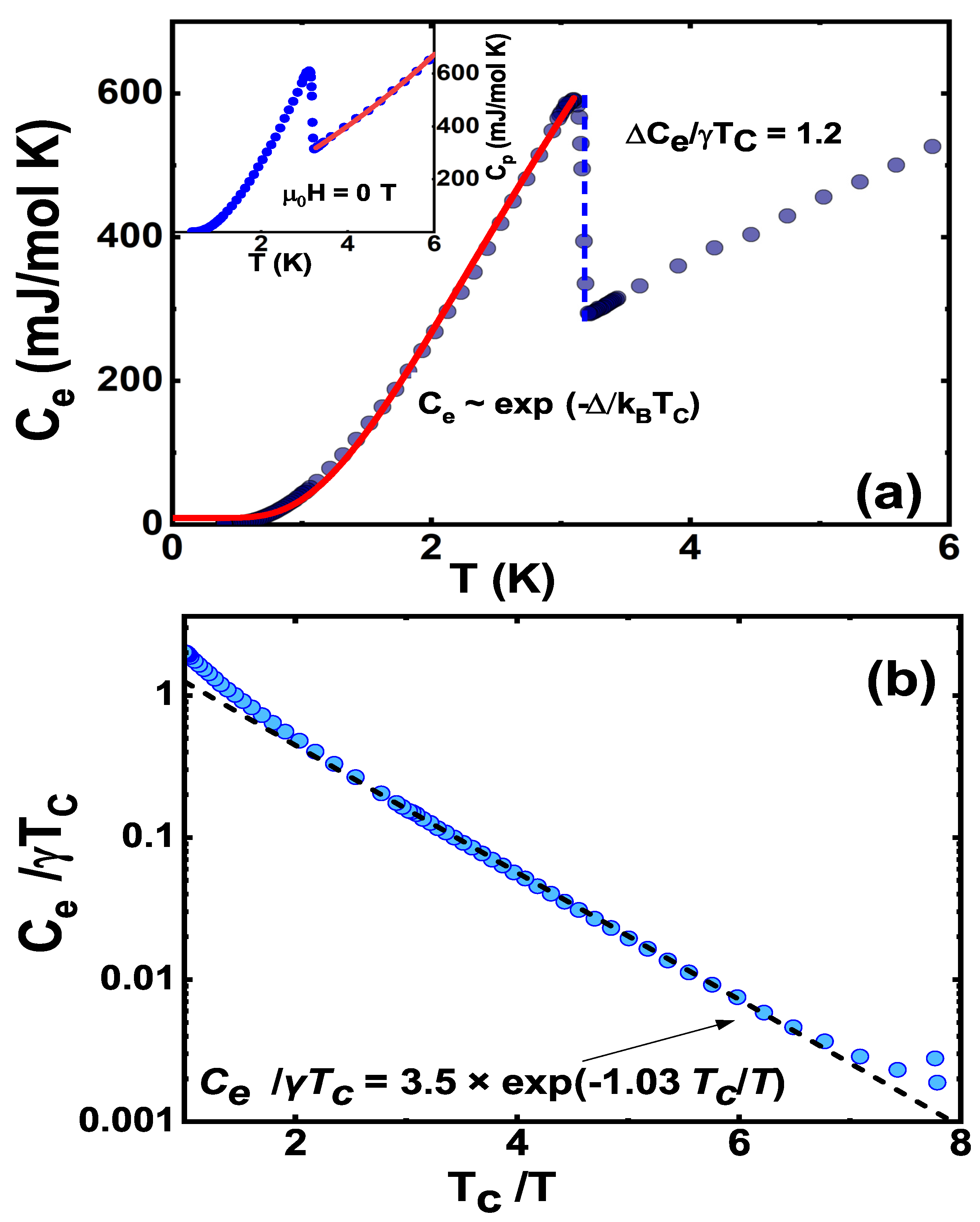
3.1. Crystal Structure and Physical Properties
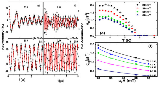
3.2. Superconducting Gap Structure: TF-SR
3.3. Preserved Time Reversal Symmetry: ZF-SR
4. Conclusions
Author Contributions
Funding
Institutional Review Board Statement
Informed Consent Statement
Data Availability Statement
Acknowledgments
Conflicts of Interest
References
- Baumbach, R.; Maple, M. Filled Skutterudites: Magnetic and Electrical Transport Properties. In Encyclopedia of Materials: Science and Technology; Elsevier: Amsterdam, The Netherlands, 2010; pp. 1–6. [Google Scholar] [CrossRef]
- Sales, B.; Mandrus, D.; Williams, R.K. Filled Skutterudite Antimonides: A New Class of Thermoelectric Materials. Science 1996, 272, 1325–1328. [Google Scholar] [CrossRef] [PubMed]
- Keppens, V.; Mandrus, D.; Sales, B.C.; Chakoumakos, B.; Dai, P.; Coldea, R.; Maple, M.; Gajewski, D.; Freeman, E.; Bennington, S. Localized vibrational modes in metallic solids. Nature 1998, 395, 876–878. [Google Scholar] [CrossRef]
- Bauer, E.; Frederick, N.; Ho, P.C.; Zapf, V.; Maple, M. Superconductivity and heavy fermion behavior in PrOs4Sb12. Phys. Rev. B 2002, 65, 100506. [Google Scholar] [CrossRef]
- Kotegawa, H.; Yogi, M.; Imamura, Y.; Kawasaki, Y.; Zheng, G.Q.; Kitaoka, Y.; Ohsaki, S.; Sugawara, H.; Aoki, Y.; Sato, H. Evidence for Unconventional Strong-Coupling Superconductivity in PrOs4Sb12: An Sb Nuclear Quadrupole Resonance Study. Phys. Rev. Lett. 2003, 90, 027001. [Google Scholar] [CrossRef]
- Adroja, D.; Hillier, A.; Park, J.G.; Goremychkin, E.; McEwen, K.; Takeda, N.; Osborn, R.; Rainford, B.; Ibberson, R. Probing the vortex state of PrRu4Sb12 through muon spin rotation and relaxation. Phys. Rev. B 2005, 72, 184503. [Google Scholar] [CrossRef]
- Zhang, J.; Chen, Y.; Jiao, L.; Gumeniuk, R.; Nicklas, M.; Chen, Y.; Yang, L.; Fu, B.; Schnelle, W.; Rosner, H.; et al. Multiband superconductivity in PrPt4Ge12 single crystals. Phys. Rev. B 2013, 87, 064502. [Google Scholar] [CrossRef]
- Kawamura, Y.; Deminami, S.; Salamakha, L.; Sidorenko, A.; Heinrich, P.; Michor, H.; Bauer, E.; Sekine, C. Filled skutterudite superconductor CaOs4P12 prepared by high-pressure synthesis. Phys. Rev. B 2018, 98, 024513. [Google Scholar] [CrossRef]
- Takeda, N.; Ishikawa, M. Superconducting and Magnetic Properties of Filled Skutterudite Compounds RERu 4Sb12 (RE=La, Ce, Pr, Nd and Eu). J. Phys. Soc. Jpn. 2000, 69, 868–873. [Google Scholar] [CrossRef]
- Adroja, D.; Park, J.G.; McEwen, K.; Takeda, N.; Ishikawa, M.; So, J.Y. Spin gap formation in the heavy fermion skutterudite compound CeRu4Sb12. Phys. Rev. B 2003, 68, 094425. [Google Scholar] [CrossRef]
- Adroja, D.; Park, J.; Goremychkin, E.; McEwen, K.; Takeda, N.; Rainford, B.; Knight, K.; Taylor, J.; Park, J.; Walker, H.; et al. Observation of two spin gap energies in the filled skutterudite compound CeOs4Sb12. Phys. Rev. B 2007, 75, 014418. [Google Scholar] [CrossRef]
- Baumbach, R.; Ho, P.; Sayles, T.; Maple, M.; Wawryk, R.; Cichorek, T.; Pietraszko, A.; Henkie, Z. The filled skutterudite CeOs4As12: A hybridization gap semiconductor. Proc. Natl. Acad. Sci. USA 2008, 105, 17307–17311. [Google Scholar] [CrossRef]
- Shankar, A.; Chaki, T.; Barman, N.; Chatterjee, S.; Thapa, R.; Mandal, P. CeOs4As12: A hybridized gap semiconductor. Indian J. Phys. 2019, 93, 1419–1425. [Google Scholar] [CrossRef]
- Sanada, S.; Aoki, Y.; Aoki, H.; Tsuchiya, A.; Kikuchi, D.; Sugawara, H.; Sato, H. Exotic Heavy-Fermion State in Filled Skutterudite SmOs4Sb12. J. Phys. Soc. Jpn. 2005, 74, 246–249. [Google Scholar] [CrossRef]
- Shirotani, I.; Uchiumi, T.; Ohno, K.; Sekine, C.; Nakazawa, Y.; Kanoda, K.; Todo, S.; Yagi, T. Superconductivity of filled skutterudites LaRu4As12 and PrRu4As12. Phys. Rev. B 1997, 56, 7866. [Google Scholar] [CrossRef]
- Maple, M.; Frederick, N.; Ho, P.C.; Yuhasz, W.; Yanagisawa, T. Unconventional Superconductivity and Heavy Fermion Behavior in PrOs4Sb12. J. Supercond. Nov. Magn. 2006, 19, 299–315. [Google Scholar] [CrossRef]
- Nordström, L.; Singh, D.J. Electronic structure of Ce-filled skutterudites. Phys. Rev. B 1996, 53, 1103. [Google Scholar] [CrossRef]
- Meisner, G. Superconductivity and magnetic order in ternary rare earth transition metal phosphides. Phys. B + C 1981, 108, 763–764. [Google Scholar] [CrossRef]
- Shirotani, I.; Adachi, T.; Tachi, K.; Todo, S.; Nozawa, K.; Yagi, T.; Kinoshita, M. Electrical conductivity and superconductivity of metal phosphides with skutterudite-type structure prepared at high pressure. J. Phys. Chem. Solids 1996, 57, 211–216. [Google Scholar] [CrossRef]
- Uchiumi, T.; Shirotani, I.; Sekine, C.; Todo, S.; Yagi, T.; Nakazawa, Y.; Kanoda, K. Superconductivity of LaRu4X12 (X = P, As and Sb) with skutterudite structure. J. Phys. Chem. Solids 1999, 60, 689–695. [Google Scholar] [CrossRef]
- Shirotani, I.; Ohno, K.; Sekine, C.; Yagi, T.; Kawakami, T.; Nakanishi, T.; Takahashi, H.; Tang, J.; Matsushita, A.; Matsumoto, T. Electrical conductivity and superconductivity of LaT4As12(T=Fe, Ru and Os) with skutterudite-type structure. Phys. B Condens. Matter 2000, 281, 1021–1023. [Google Scholar] [CrossRef]
- Matsuhira, K.; Sekine, C.; Wakeshima, M.; Hinatsu, Y.; Namiki, T.; Takeda, K.; Shirotani, I.; Sugawara, H.; Kikuchi, D.; Sato, H. Systematic study of lattice specific heat of filled skutterudites. J. Phys. Soc. Jpn. 2009, 78, 124601. [Google Scholar] [CrossRef]
- Bhattacharyya, A.; Adroja, D.; Koza, M.; Tsutsui, S.; Cichorek, T.; Hillier, A. Multigap superconductivity in the filled-skutterudite compound LaRu4As12 probed by muon spin rotation. Phys. Rev. B 2022, 106, 134516. [Google Scholar] [CrossRef]
- Bhattacharyya, A.; Panda, K.; Adroja, D.; Kase, N.; Biswas, P.; Saha, S.; Das, T.; Lees, M.; Hillier, A. Investigation of superconducting gap structure in HfIrSi using muon spin relaxation/rotation. J. Phys. Condens. Matter 2019, 32, 085601. [Google Scholar] [CrossRef] [PubMed]
- Juraszek, J.; Henkie, Z.; Cichorek, T. Specific Heatof the Filled Skutterudite Superconductor LaOs4As12. Acta Phys. Pol. A 2016, 130, 597–599. [Google Scholar] [CrossRef]
- Juraszek, J.; Wawryk, R.; Henkie, Z.; Konczykowski, M.; Cichorek, T. Symmetry of Order Parameters in Multiband Superconductors LaRu4 As12 and PrOs4 Sb12 Probed by Local Magnetization Measurements. Phys. Rev. Lett. 2020, 124, 027001. [Google Scholar] [CrossRef]
- Marek Koza, M.; Adroja, D.; Takeda, N.; Henkie, Z.; Cichorek, T. Vibrational Dynamics of Filled Skutterudites LaT4 X12 (T = Fe, Ru, Os, X = As, Sb). J. Phys. Soc. Jpn. 2013, 82, 114607. [Google Scholar] [CrossRef]
- Ferreira, P.; Lucrezi, R.; Heil, C.; Eleno, L. Electronic structure of filled skutterudite LaOs4As12 compound. 2023, unpublished. [Google Scholar]
- Henkie, Z.; Maple, M.B.; Pietraszko, A.; Wawryk, R.; Cichorek, T.; Baumbach, R.E.; Yuhasz, W.M.; Ho, P.C. Crystal growth and properties of the filled skutterudite arsenides. J. Phys. Soc. Jpn. 2008, 77, 128–134. [Google Scholar] [CrossRef]
- Lee, S.L.; Cywinski, R.; Kilcoyne, S. Muon Science: Muons in Physics, Chemistry and Materials; CRC Press: Boca Raton, FL, USA, 1999; Volume 51. [Google Scholar]
- Sonier, J.E.; Brewer, J.H.; Kiefl, R.F. μSR studies of the vortex state in type-II superconductors. Rev. Mod. Phys. 2000, 72, 769. [Google Scholar] [CrossRef]
- Pratt, F. WIMDA: A muon data analysis program for the Windows PC. Phys. B Condens. Matter 2000, 289, 710–714. [Google Scholar] [CrossRef]
- Bhattacharyya, A.; Adroja, D.T.; Smidman, M.; Anand, V.K. A brief review on μSR studies of unconventional Fe- and Cr-based superconductors. Sci. China Phys. Mech. Astron. 2018, 61, 127402. [Google Scholar] [CrossRef]
- Bhattacharyya, A.; Adroja, D.T.; Panda, K.; Saha, S.; Das, T.; Machado, A.J.S.; Cigarroa, O.V.; Grant, T.W.; Fisk, Z.; Hillier, A.D.; et al. Evidence of a Nodal Line in the Superconducting Gap Symmetry of Noncentrosymmetric ThCoC2. Phys. Rev. Lett. 2019, 122, 147001. [Google Scholar] [CrossRef]
- Adroja, D.T.; Bhattacharyya, A.; Sato, Y.J.; Lees, M.R.; Biswas, P.K.; Panda, K.; Anand, V.K.; Stenning, G.B.G.; Hillier, A.D.; Aoki, D. Pairing symmetry of an intermediate valence superconductor CeIr3 investigated using μSR measurements. Phys. Rev. B 2021, 103, 104514. [Google Scholar] [CrossRef]
- Brandt, E. Magnetic field density of perfect and imperfect flux line lattices in type II superconductors. I. Application of periodic solutions. J. Low Temp. Phys. 1988, 73, 355–390. [Google Scholar] [CrossRef]
- Brandt, E.H. Properties of the ideal Ginzburg-Landau vortex lattice. Phys. Rev. B 2003, 68, 054506. [Google Scholar] [CrossRef]
- Prozorov, R.; Giannetta, R.W. Magnetic penetration depth in unconventional superconductors Supercond. Sci. Technol. 2006, 19, R41–R67. [Google Scholar] [CrossRef]
- Adroja, D.T.; Bhattacharyya, A.; Telling, M.; Feng, Y.; Smidman, M.; Pan, B.; Zhao, J.; Hillier, A.D.; Pratt, F.L.; Strydom, A.M. Superconducting ground state of quasi-one-dimensional K2Cr3As3 investigated using μSR measurements. Phys. Rev. B 2015, 92, 134505. [Google Scholar] [CrossRef]
- McMillan, W.L. Transition Temperature of Strong-Coupled Superconductors. Phys. Rev. 1968, 167, 331–344. [Google Scholar] [CrossRef]
- Chia, E.E.M.; Salamon, M.B.; Sugawara, H.; Sato, H. Probing the superconducting gap symmetry of PrRu4Sb12: A comparison with PrOs4Sb12. Phys. Rev. B 2004, 69, 180509. [Google Scholar] [CrossRef]
- Amato, A. Heavy-fermion systems studied by μSR technique. Rev. Mod. Phys. 1997, 69, 1119–1180. [Google Scholar] [CrossRef]
- Panda, K.; Bhattacharyya, A.; Adroja, D.T.; Kase, N.; Biswas, P.K.; Saha, S.; Das, T.; Lees, M.R.; Hillier, A.D. Probing the superconducting ground state of ZrIrSi: A muon spin rotation and relaxation study. Phys. Rev. B 2019, 99, 174513. [Google Scholar] [CrossRef]
- Tran, V.H.; Hillier, A.D.; Adroja, D.T.; Kaczorowski, D. Muon spin rotation and relaxation studies of the filled skutterudite superconductor LaOs4As12 and LaRu4As12. J. Phy. Condens. Matter 2016, 22, 505701. [Google Scholar] [CrossRef] [PubMed]




| Model | (meV) | 2/k | ||
|---|---|---|---|---|
| LaOsAs (s-wave) | 0.45 | 3.26 | 3.2 | 168 |
| LaRuAs (s + s-wave) | 1.656, 0.064 | 3.73, 0.144 | 10.3 | 240 |
Disclaimer/Publisher’s Note: The statements, opinions and data contained in all publications are solely those of the individual author(s) and contributor(s) and not of MDPI and/or the editor(s). MDPI and/or the editor(s) disclaim responsibility for any injury to people or property resulting from any ideas, methods, instructions or products referred to in the content. |
© 2023 by the authors. Licensee MDPI, Basel, Switzerland. This article is an open access article distributed under the terms and conditions of the Creative Commons Attribution (CC BY) license (https://creativecommons.org/licenses/by/4.0/).
Share and Cite
Bhattacharyya, A.; Adroja, D.T.; Hillier, A.D.; Biswas, P.K. Superconducting Gap Structure of Filled Skutterudite LaOs4As12 Compound through μSR Investigations. Magnetochemistry 2023, 9, 117. https://doi.org/10.3390/magnetochemistry9050117
Bhattacharyya A, Adroja DT, Hillier AD, Biswas PK. Superconducting Gap Structure of Filled Skutterudite LaOs4As12 Compound through μSR Investigations. Magnetochemistry. 2023; 9(5):117. https://doi.org/10.3390/magnetochemistry9050117
Chicago/Turabian StyleBhattacharyya, Amitava, Devashibhai T. Adroja, Adrian D. Hillier, and Pabitra Kumar Biswas. 2023. "Superconducting Gap Structure of Filled Skutterudite LaOs4As12 Compound through μSR Investigations" Magnetochemistry 9, no. 5: 117. https://doi.org/10.3390/magnetochemistry9050117
APA StyleBhattacharyya, A., Adroja, D. T., Hillier, A. D., & Biswas, P. K. (2023). Superconducting Gap Structure of Filled Skutterudite LaOs4As12 Compound through μSR Investigations. Magnetochemistry, 9(5), 117. https://doi.org/10.3390/magnetochemistry9050117

