NMR of Paramagnetic Proteins: 13C Derived Paramagnetic Relaxation Enhancements Are an Additional Source of Structural Information in Solution
Abstract
1. Introduction
2. Materials and Methods
3. Results and Discussion
3.1. Measurements of 13C′ Longitudinal Relaxation Rates via 1H Detection Methods
3.2. Measurements of 13C′ Relaxation Rates via 13C Detection Methods
3.3. Measurements of 13Cα Relaxation Rates via 13C Detection Methods
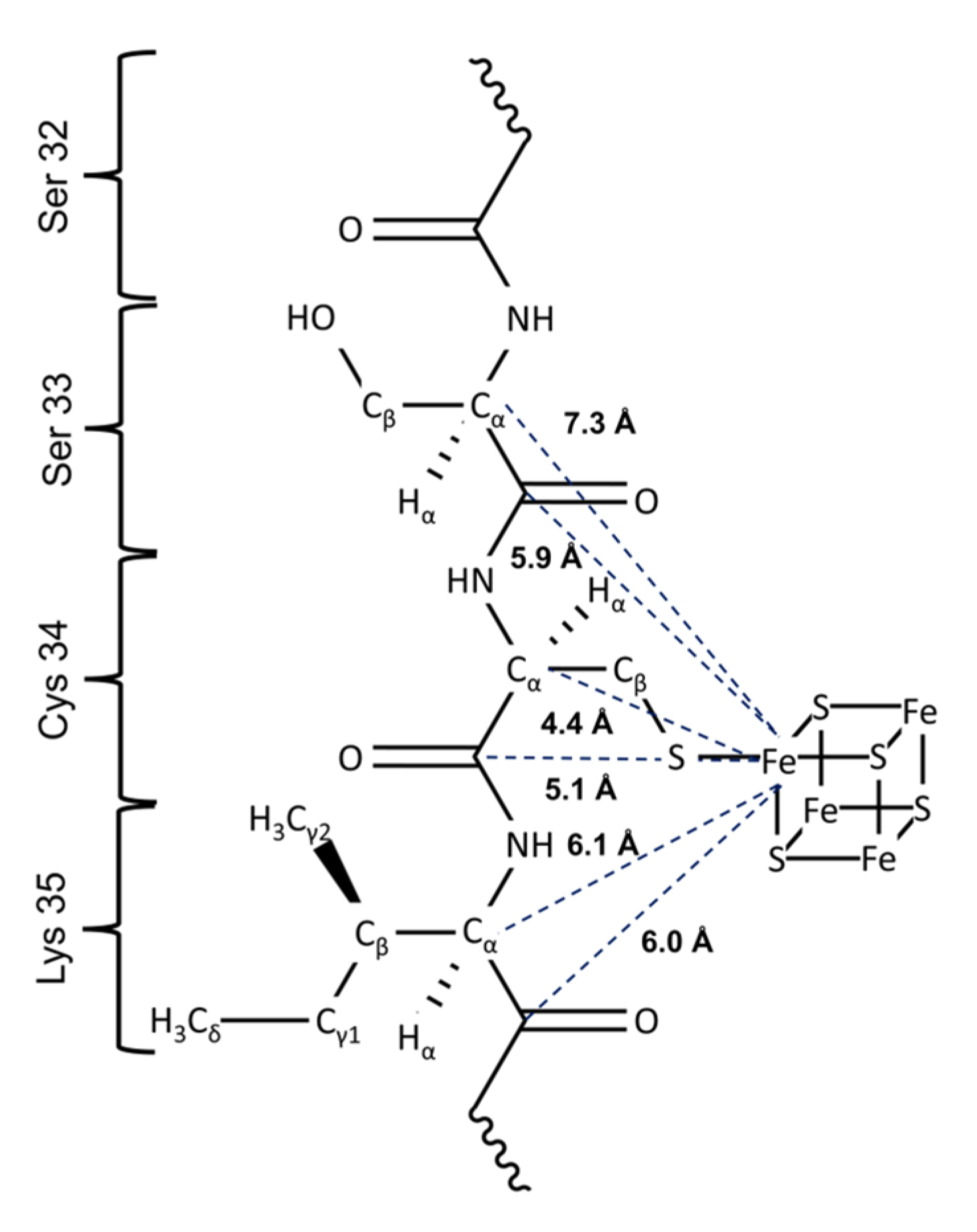
3.4. Relaxation Measurements of 13C of Fe-Bound Cysteine Residues
3.5. Conversion of Relaxation Rates into Distance Restraints
3.6. Structure Calculations
4. Conclusions
Author Contributions
Funding
Institutional Review Board Statement
Informed Consent Statement
Acknowledgments
Conflicts of Interest
References
- Banci, L.; Camponeschi, F.; Ciofi-Baffoni, S.; Piccioli, M. The NMR contribution to protein-protein networking in Fe-S protein maturation. J. Biol. Inorg. Chem. 2018, 23, 665–685. [Google Scholar] [CrossRef]
- Piccioli, M.; Turano, P. Transient iron coordination sites in proteins: Exploiting the dual nature of paramagnetic NMR. Coord. Chem. Rev. 2015, 284, 313–328. [Google Scholar] [CrossRef]
- Piccioli, M. Paramagnetic NMR Spectroscopy Is a Tool to Address Reactivity, Structure, and Protein-Protein Interactions of Metalloproteins: The Case of Iron-Sulfur Proteins. Magnetochemistry 2020, 6, 46. [Google Scholar] [CrossRef]
- Trindade, I.B.; Coelho, A.; Cantini, F.; Piccioli, M.; Louro, R.O. NMR of paramagnetic metalloproteins in solution: Ubi venire, quo vadis? J. Inorg. Biochem. 2022, 234, 111871. [Google Scholar] [CrossRef]
- Clore, G.M. Practical Aspects of Paramagnetic Relaxation Enhancement in Biological Macromolecules. Methods Enzymol. 2015, 564, 485–497. [Google Scholar]
- Hus, J.C.; Marion, D.; Blackledge, M. De novo determination of protein structure by NMR using orientational and long-range order restraints. J. Mol. Biol. 2000, 298, 927–936. [Google Scholar] [CrossRef]
- Ramelot, T.A.; Cort, J.R.; Goldsmith-Fischman, S.; Kornhaber, G.J.; Xiao, R.; Shastry, R.; Acton, T.B.; Honig, B.; Montelione, G.T.; Kennedy, M.A. Solution NMR structure of the iron-sulfur cluster assembly protein U (IscU) with zinc bound at the active site. J. Mol. Biol. 2004, 344, 567–583. [Google Scholar] [CrossRef] [PubMed]
- Parigi, G.; Ravera, E.; Luchinat, C. Paramagnetic effects in NMR for protein structures and ensembles: Studies of metalloproteins. Curr. Opin. Struct. Biol. 2022, 74, 102386. [Google Scholar] [CrossRef]
- Swartjes, A.; White, P.B.; Bruekers, J.P.J.; Elemans, J.A.A.W.; Nolte, R.J.M. Paramagnetic relaxation enhancement NMR as a tool to probe guest binding and exchange in metallohosts. Nat. Commun. 2022, 13, 1846. [Google Scholar] [CrossRef]
- Karschin, N.; Becker, S.; Griesinger, C. Interdomain Dynamics via Paramagnetic NMR on the Highly Flexible Complex Calmodulin/Munc13-1. J. Am. Chem. Soc. 2022, 144, 17041–17053. [Google Scholar] [CrossRef]
- Pell, A.J.; Pintacuda, G.; Grey, C.P. Paramagnetic NMR in solution and the solid state. Prog. Nucl. Magn. Reson. Spectrosc. 2019, 111, 1–271. [Google Scholar] [CrossRef]
- Pan, B.B.; Yang, F.; Ye, Y.; Wu, Q.; Li, C.; Huber, T.; Su, X.C. 3D structure determination of a protein in living cells using paramagnetic NMR spectroscopy. Chem. Commun. 2016, 52, 10237–10240. [Google Scholar] [CrossRef]
- Donaldson, L.W.; Skrynnikov, N.R.; Choy, W.Y.; Muhandiram, D.R.; Sarkar, B.; Forman-Kay, J.D.; Kay, L.E. Structural characterization of proteins with an attached ATCUN motif by paramagnetic relaxation enhancement NMR spectroscopy. J. Am. Chem. Soc. 2001, 123, 9843–9847. [Google Scholar] [CrossRef]
- Rumpel, S.; Ravera, E.; Sommer, C.; Reijerse, E.J.; Fares, C.; Luchinat, C.; Lubitz, W. 1H NMR spectroscopy of (FeFe) hydrogenase: Insight into the electronic structure of the active site. J. Am. Chem. Soc. 2018, 140, 131–134. [Google Scholar] [CrossRef]
- Joss, D.; Haussinger, D. Design and applications of lanthanide chelating tags for pseudocontact shift NMR spectroscopy with biomacromolecules. Prog. Nucl. Magn. Reson. Spectrosc. 2019, 114–115, 284–312. [Google Scholar] [CrossRef]
- Miao, Q.; Nitsche, C.; Orton, H.; Overhand, M.; Otting, G.; Ubbink, M. Paramagnetic Chemical Probes for Studying Biological Macromolecules. Chem. Rev. 2022, 122, 9571–9642. [Google Scholar] [CrossRef] [PubMed]
- Orton, H.W.; Otting, G. Accurate Electron–Nucleus Distances from Paramagnetic Relaxation Enhancements. J. Am. Chem. Soc. 2018, 140, 7688–7697. [Google Scholar] [CrossRef] [PubMed]
- Toyama, Y.; Rangadurai, A.K.; Kay, L.E. Measurement of 1Hα transverse relaxation rates in proteins: Application to solvent PREs. J. Biomol. NMR 2022, 76, 137–152. [Google Scholar] [CrossRef] [PubMed]
- Lenard, A.J.; Mulder, F.A.A.; Madl, T. Solvent paramagnetic relaxation enhancement as a versatile method for studying structure and dynamics of biomolecular systems. Prog. Nucl. Magn. Reson. Spectrosc. 2022, 132–133, 113–139. [Google Scholar] [CrossRef]
- Ravera, E.; Gigli, L.; Fiorucci, L.; Luchinat, C.; Parigi, G. The evolution of paramagnetic NMR as a tool in structural biology. Phys. Chem. Chem. Phys. 2022, 24, 17397–17416. [Google Scholar] [CrossRef]
- Parker, D.; Suturina, E.A.; Kuprov, I.; Chilton, N.F. How the Ligand Field in Lanthanide Coordination Complexes Determines Magnetic Susceptibility Anisotropy, Paramagnetic NMR Shift, and Relaxation Behavior. Acc. Chem. Res. 2020, 53, 1520–1534. [Google Scholar] [CrossRef]
- Vogel, R.; Müntener, T.; Häussinger, D. Intrinsic anisotropy parameters of a series of lanthanoid complexes deliver new insights into the structure-magnetism relationship. Chem 2021, 7, 3144–3156. [Google Scholar] [CrossRef]
- Abelein, A.; Ciofi-Baffoni, S.; Mörman, C.; Kumar, R.; Giachetti, A.; Piccioli, M.; Biverstål, H. Molecular Structure of Cu(II)-Bound Amyloid-β Monomer Implicated in Inhibition of Peptide Self-Assembly in Alzheimer’s Disease. JACS Au 2022, 2, 2571–2584. [Google Scholar] [CrossRef]
- Trindade, I.B.; Invernici, M.; Cantini, F.; Louro, R.O.; Piccioli, M. PRE-driven protein NMR structures: An alternative approach in highly paramagnetic systems. FEBS J. 2021, 288, 3010–3023. [Google Scholar] [CrossRef] [PubMed]
- Bird, L.J.; Saraiva, I.H.; Park, S.; Calcada, E.O.; Salgueiro, C.A.; Nitschke, W.; Louro, R.O.; Newman, D.K. Nonredundant roles for cytochrome c2 and two high-potential iron-sulfur proteins in the photoferrotroph Rhodopseudomonas palustris TIE-1. J. Bacteriol. 2014, 196, 850–858. [Google Scholar] [CrossRef] [PubMed]
- Invernici, M.; Trindade, I.B.; Cantini, F.; Louro, R.O.; Piccioli, M. Measuring transverse relaxation in highly paramagnetic systems. J. Biomol. NMR 2020, 74, 431–442. [Google Scholar] [CrossRef]
- Ciofi-Baffoni, S.; Gallo, A.; Muzzioli, R.; Piccioli, M. The IR-15N-HSQC-AP experiment: A new tool for NMR spectroscopy of paramagnetic molecules. J. Biomol. NMR 2014, 58, 123–128. [Google Scholar] [CrossRef]
- Arnesano, F.; Banci, L.; Piccioli, M. NMR structures of paramagnetic metalloproteins. Q. Rev. Biophys. 2005, 38, 167–219. [Google Scholar] [CrossRef] [PubMed]
- Trindade, I.B.; Hernandez, G.; Lebegue, E.; Barriere, F.; Cordeiro, T.; Piccioli, M.; Louro, R.O. Conjuring up a ghost: Structural and functional characterization of FhuF, a ferric siderophore reductase from E. coli. J. Biol. Inorg. Chem. 2021, 26, 313–326. [Google Scholar] [CrossRef]
- Arnesano, F.; Banci, L.; Bertini, I.; Felli, I.C.; Luchinat, C.; Thompsett, A.R. A strategy for the NMR characterization of type II copper(II) proteins: The case of the copper trafficking protein CopC from Pseudomonas syringae. J. Am. Chem. Soc. 2003, 125, 7200–7208. [Google Scholar] [CrossRef]
- Piccioli, M.; Poggi, L. Tailored HCCH-TOCSY experiment for resonance assignment in the proximity of a paramagnetic center. J. Magn. Reson. 2002, 155, 236–243. [Google Scholar] [CrossRef] [PubMed]
- Alik, A.; Bouguechtouli, C.; Julien, M.; Bermel, W.; Ghouil, R.; Zinn-Justin, S.; Theillet, F.X. Sensitivity-Enhanced 13 C-NMR Spectroscopy for Monitoring Multisite Phosphorylation at Physiological Temperature and pH. Angew. Chem. Int. Ed. 2020, 59, 10411–10415. [Google Scholar] [CrossRef]
- Cerofolini, L.; Staderini, T.; Giuntini, S.; Ravera, E.; Fragai, M.; Parigi, G.; Pierattelli, R.; Luchinat, C. Long-range paramagnetic NMR data can provide a closer look on metal coordination in metalloproteins. J. Biol. Inorg. Chem. 2018, 23, 71–80. [Google Scholar] [CrossRef]
- Bermel, W.; Bertini, I.; Felli, I.; Piccioli, M.; Pierattelli, R. 13C-detected protonless NMR spectroscopy of proteins in solution. Prog. Nucl. Magn. Reson. Spectrosc. 2006, 48, 25–45. [Google Scholar] [CrossRef]
- Caillet-Saguy, C.; Delepierre, M.; Lecroisey, A.; Bertini, I.; Piccioli, M.; Turano, P. Direct detected 13C NMR to investigate the Iron(III) hemophore HasA. J. Am. Chem. Soc. 2006, 128, 150–158. [Google Scholar] [CrossRef]
- Felli, I.C.; Pierattelli, R. 13C Direct Detected NMR for Challenging Systems. Chem. Rev. 2022, 122, 9468–9496. [Google Scholar] [CrossRef]
- Trindade, I.B.; Invernici, M.; Cantini, F.; Louro, R.O.; Piccioli, M. 1H, 13C and 15N assignment of the paramagnetic high potential iron–sulfur protein (HiPIP) PioC from Rhodopseudomonas palustris TIE-1. Biomol. NMR Assign. 2020, 14, 211–215. [Google Scholar] [CrossRef]
- Pontoriero, L.; Schiavina, M.; Murrali, M.G.; Pierattelli, R.; Felli, I.C. Monitoring the Interaction of α-Synuclein with Calcium Ions through Exclusively Heteronuclear Nuclear Magnetic Resonance Experiments. Angew. Chem. Int. Ed. 2020, 59, 18537–18545. [Google Scholar] [CrossRef]
- Emsley, L.; Bodenhausen, G. Optimization of shaped selective pulses for NMR using a quaternion description of their overall propagators. J. Magn. Reason. 1992, 97, 135–148. [Google Scholar] [CrossRef]
- Keller, R. The Computer Aided Resonance Assignment Tutorial; CANTINA Verlag: Goldau, Switzerland, 2004; 81p. [Google Scholar]
- Güntert, P. Automated NMR structure calculation with CYANA. Methods Mol. Biol. 2004, 278, 353–378. [Google Scholar]
- Guntert, P.; Buchner, L. Combined automated NOE assignment and structure calculation with CYANA. J. Biomol. NMR 2015, 62, 453–471. [Google Scholar] [CrossRef]
- Dutta, S.K.; Serrano, P.; Proudfoot, A.; Geralt, M.; Pedrini, B.; Herrmann, T.; Wthrich, K. APSY-NMR for protein backbone assignment in high-throughput structural biology. J. Biomol. NMR 2015, 61, 47–53. [Google Scholar] [CrossRef] [PubMed]
- Zeng, L.; Fischer, M.W.F.; Zuiderweg, E.R.P. Study of protein dynamics in solution by measurement of 13Cα-13CO NOE and 13CO longitudinal relaxation. J. Biomol. NMR 1996, 7, 157–162. [Google Scholar] [CrossRef]
- Bermel, W.; Bertini, I.; Felli, I.C.; Peruzzini, R.; Pierattelli, R. Exclusively heteronuclear NMR experiments to obtain structural and dynamic information on proteins. ChemPhysChem 2010, 11, 689–695. [Google Scholar] [CrossRef]
- Camponeschi, F.; Gallo, A.; Piccioli, M.; Banci, L. The long-standing relationship between Paramagnetic NMR and Iron-Sulfur proteins: The mitoNEET example. An old method for new stories or the other way around? Magn. Reson. Discuss. 2021, 2, 203–211. [Google Scholar] [CrossRef]
- Grifagni, D.; Silva, J.M.; Cantini, F.; Piccioli, M.; Banci, L. Relaxation-based NMR assignment: Spotlights on ligand binding sites in human CISD3. J. Inorg. Biochem. 2023, 239, 112089. [Google Scholar] [CrossRef]
- Bertini, I.; Jimenez, B.; Piccioli, M. 13C direct detected experiments: Optimization for paramagnetic signals. J. Magn. Reson. 2005, 174, 125–132. [Google Scholar] [CrossRef]
- Trindade, I.B.; Invernici, M.; Cantini, F.; Louro, R.O.; Piccioli, M. Sequence-specific assignments in NMR spectra of paramagnetic systems: A non-systematic approach. Inorg. Chim. Acta 2021, 514, 119984. [Google Scholar] [CrossRef]
- Bertini, I.; Capozzi, F.; Luchinat, C.; Piccioli, M.; Vicens Oliver, M. NMR is a unique and necessary step in the investigation of iron- sulfur proteins: The HiPIP from R. gelatinosus as an example. Inorg. Chim. Acta 1992, 198–200, 483–491. [Google Scholar] [CrossRef]
- Bertini, I.; Luchinat, C.; Parigi, G.; Ravera, E. NMR of Paramagnetic Molecules; Elsevier: Amsterdam, The Netherlands, 2017; 508p. [Google Scholar]
- Banci, L.; Bertini, I.; Luchinat, C.; Piccioli, M.; Scozzafava, A.; Turano, P. 1H NOE studies on dicopper(II) dicobalt(II) superoxide dismutase. Inorg. Chem. 1989, 28, 4650–4656. [Google Scholar] [CrossRef]
- Spronk, C.; Zerko, S.; Gorka, M.; Kozminski, W.; Bardiaux, B.; Zambelli, B.; Musiani, F.; Piccioli, M.; Basak, P.; Blum, F.C.; et al. Structure and dynamics of Helicobacter pylori nickel-chaperone HypA: An integrated approach using NMR spectroscopy, functional assays and computational tools. J. Biol. Inorg. Chem. 2018, 23, 1309–1330. [Google Scholar] [CrossRef]
- Bertini, I.; Capozzi, F.; Luchinat, C.; Piccioli, M.; Vila, A.J. The Fe4S4 centers in ferredoxins studied through proton and carbon hyperfine coupling. Sequence specific assignments of cysteines in ferredoxins from Clostridium acidi urici and Clostridium pasteurianum. J. Am. Chem. Soc. 1994, 116, 651–660. [Google Scholar] [CrossRef]
- Banci, L.; Bertini, I.; Cantini, F.; Della Malva, N.; Rosato, A.; Herrmann, T.; Wüthrich, K. Solution structure and intermolecular interactions of the third metal-binding domain of ATP7A, the Menkes disease protein. J. Biol. Chem. 2006, 281, 29141–29147. [Google Scholar] [CrossRef] [PubMed]
- Sala, D.; Huang, Y.J.; Cole, C.A.; Snyder, D.A.; Liu, G.; Ishida, Y.; Swapna, G.V.T.; Brock, K.P.; Sander, C.; Fidelis, K.; et al. Protein structure prediction assisted with sparse NMR data in CASP13. Proteins 2019, 87, 1315–1332. [Google Scholar] [CrossRef]
- Duclert-Savatier, N.; Martínez, L.; Nilges, M.; Malliavin, T.E. The redundancy of NMR restraints can be used to accelerate the unfolding behavior of an SH3 domain during molecular dynamics simulations. BMC Struct. Biol. 2011, 11, 46. [Google Scholar] [CrossRef]
- Nabuurs, S.B.; Spronk, C.A.; Krieger, E.; Maassen, H.; Vriend, G.; Vuister, G.W. Quantitative evaluation of experimental NMR restraints. J. Am. Chem. Soc. 2003, 125, 12026–12034. [Google Scholar] [CrossRef]
- Kim, J.D.; Pike, D.H.; Tyryshkin, A.M.; Swapna, G.V.T.; Raanan, H.; Montelione, G.T.; Nanda, V.; Falkowski, P.G. Minimal Heterochiral de Novo Designed 4Fe-4S Binding Peptide Capable of Robust Electron Transfer. J. Am. Chem. Soc. 2018, 140, 11210–11213. [Google Scholar] [CrossRef] [PubMed]
- Balayssac, S.; Jiménez, B.; Piccioli, M. Assignment Strategy for Fast Relaxing Signals: Complete Aminoacid Identification in Thulium Substituted Calbindin D9k. J. Biomol. NMR 2006, 34, 63–73. [Google Scholar] [CrossRef]
- Invernici, M.; Selvolini, G.; Silva, J.M.; Marrazza, G.; Ciofi-Baffoni, S.; Piccioli, M. Interconversion between [2Fe-2S] and [4Fe-4S] cluster glutathione complexes. Chem. Commun. 2022, 58, 3533–3536. [Google Scholar] [CrossRef] [PubMed]
- Okuno, Y.; Schwieters, C.D.; Yang, Z.; Clore, G.M. Theory and Applications of Nitroxide-based Paramagnetic Cosolutes for Probing Intermolecular and Electrostatic Interactions on Protein Surfaces. J. Am. Chem. Soc. 2022, 144, 21371–21388. [Google Scholar] [CrossRef] [PubMed]
- Arthanari, H.; Takeuchi, K.; Dubey, A.; Wagner, G. Emerging solution NMR methods to illuminate the structural and dynamic properties of proteins. Curr. Opin. Struct. Biol. 2019, 58, 294–304. [Google Scholar] [CrossRef] [PubMed]
- Bax, A.; Clore, G.M. Protein NMR: Boundless opportunities. J. Magn. Reson. 2019, 306, 187–191. [Google Scholar] [CrossRef] [PubMed]
- Deshmukh, L.; Louis, J.M.; Ghirlando, R.; Clore, G.M. Transient HIV-1 Gag-protease interactions revealed by paramagnetic NMR suggest origins of compensatory drug resistance mutations. Proc. Natl. Acad. Sci. USA 2016, 113, 12456–12461. [Google Scholar] [CrossRef] [PubMed]
- Arbogast, L.W.; Brinson, R.G.; Marino, J.P. Mapping Monoclonal Antibody Structure by 2D 13C NMR at Natural Abundance. Anal. Chem. 2015, 87, 3556–3561. [Google Scholar] [CrossRef]






| Experiment | Time Domain | Number of Scan | Spectral Width (ppm) | Acquisition Time (ms) | Recycle Delay (s) | |||
|---|---|---|---|---|---|---|---|---|
| F2 | F1 | F2 | F1 | F2 | F1 | |||
| HNCO-T1 | 1024 | 64 | 16 | 13.7 | 36 | 53 | 12.5 | 7 |
| HNCO-T1 | 1024 | 96 | 64 | 13.7 | 50 | 53 | 12.5 | 2 |
| CON-T1 | 1024 | 96 | 32 | 40.6 | 51 | 71.7 | 13.3 | 6.4 |
| IR-COCA-AP | 1024 | 128 | 48 | 64.5 | 25 | 45 | 14.5 | 2 |
| IR-COCA-AP * | 512 | 96 | 192 | 40.6 | 40 | 35.8 | 6.8 | 1 |
| IR-CACO-IPAP | 512 | 64 | 16 | 31.6 | 30 | 46 | 6 | 5 |
| IR-CACO-AP | 512 | 128 | 32 | 31.6 | 30 | 46 | 12.1 | 2 |
| IR-CACO-AP * | 512 | 96 | 224 | 31.6 | 50 | 46 | 5.4 | 0.5 |
| Residues | Exp | R1 C′ (s−1) | Err | Upl (C′-ME) | Residues | Exp | R1 Cα (s−1) | Err | Upl (Cα-ME) | ||
|---|---|---|---|---|---|---|---|---|---|---|---|
| VAL | 1 | * | 1.19 | 0.1 | VAL | 1 | ~ | 2.09 | 0.5 | ||
| THR | 2 | THR | 2 | ||||||||
| LYS | 3 | LYS | 3 | ||||||||
| LYS | 4 | LYS | 4 | ||||||||
| ALA | 5 | * | 1.06 | 0.1 | ALA | 5 | ~ | 1.76 | 0.1 | ||
| SER | 6 | * | 1.23 | 0.4 | SER | 6 | ~ | 1.84 | 0.4 | ||
| HIS | 7 | HIS | 7 | ~ | 1.78 | 0.1 | |||||
| LYS | 8 | * | 1.14 | 0.2 | LYS | 8 | |||||
| ASP | 9 | * | 1.06 | 0.1 | ASP | 9 | ~ | 1.79 | 0.1 | ||
| ALA | 10 | * | 1.55 | 0.1 | 8.02 | ALA | 10 | ~ | 2.31 | 0.2 | |
| GLY | 11 | * | 1.43 | 0.1 | 8.43 | GLY | 11 | ~ | 3.61 | 0.3 | |
| TYR | 12 | * | 1.42 | 0.1 | 8.46 | TYR | 12 | ~ | 3.12 | 0.3 | 6.82 |
| GLN | 13 | * | 1.26 | 0.1 | GLN | 13 | ~ | 2.37 | 0.2 | ||
| GLU | 14 | * | 0.88 | 0 | GLU | 14 | ~ | 1.79 | 0.1 | ||
| SER | 15 | ¬ | 2.11 | 1.5 | SER | 15 | ~ | 1.85 | 0.5 | ||
| PRO | 16 | * | 1.05 | 0.1 | PRO | 16 | ~ | 1.87 | 0.2 | ||
| ASN | 17 | * | 1.08 | 0.1 | ASN | 17 | ~ | 2.04 | 0.2 | ||
| GLY | 18 | * | 0.93 | 0.1 | GLY | 18 | ~ | 3.25 | 0.4 | ||
| ALA | 19 | * | 1.24 | 0.8 | ALA | 19 | ~ | 1.57 | 0.1 | ||
| LYS | 20 | LYS | 20 | ||||||||
| ARG | 21 | ARG | 21 | ||||||||
| CYS | 22 | ## | 5.96 | 0.9 | 6.11 | CYS | 22 | > | 18.32 | 1.7 | 5.72 |
| GLY | 23 | * | 1.26 | 0.1 | 9.59 | GLY | 23 | ~ | 3.37 | 0.2 | |
| THR | 24 | ** | 5.87 | 2.2 | THR | 24 | ~~ | 2.19 | 0.4 | ||
| CYS | 25 | ## | 4.93 | 0.7 | 6.32 | CYS | 25 | > | 14.1 | 1.9 | 5.93 |
| ARG | 26 | ARG | 26 | ||||||||
| GLN | 27 | # | 7.68 | 1 | 5.56 | GLN | 27 | ~~ | 7.07 | 0.6 | |
| PHE | 28 | * | 2.07 | 1.4 | 7.16 | PHE | 28 | ~~ | 8.82 | 1.1 | 5.51 |
| ARG | 29 | ARG | 29 | ||||||||
| PRO | 30 | ¬ | 1.47 | 1.2 | PRO | 30 | ~ | 1.65 | 0.2 | ||
| PRO | 31 | * | 1.11 | 0.1 | PRO | 31 | ~ | 1.41 | 0.1 | ||
| SER | 32 | * | 1.19 | 0.1 | SER | 32 | |||||
| SER | 33 | ** | 4.55 | 0.9 | SER | 33 | ~ | 1.95 | 0.3 | 9.17 | |
| CYS | 34 | ## | 3.53 | 0.5 | 6.75 | CYS | 34 | > | 13.44 | 0.8 | 5.97 |
| ILE | 35 | ILE | 35 | ~ | 2.12 | 0.5 | 8.26 | ||||
| THR | 36 | THR | 36 | ~~ | 4.35 | 0.9 | |||||
| VAL | 37 | ** | 4.34 | 0.4 | VAL | 37 | ~~ | 4.93 | 0.4 | ||
| GLU | 38 | * | 1.28 | 0.1 | 9.35 | GLU | 38 | ~ | 2.15 | 0.1 | |
| SER | 39 | ¬ | 1.45 | 1.1 | SER | 39 | ~ | 2.32 | 0.5 | ||
| PRO | 40 | * | 1.18 | 0.1 | PRO | 40 | ~ | 1.83 | 0.2 | ||
| ILE | 41 | * | 1.63 | 0.2 | 7.82 | ILE | 41 | ~ | 2.56 | 0.6 | 7.34 |
| SER | 42 | * | 1.86 | 0.1 | SER | 42 | ~ | 3.51 | 0.5 | ||
| GLU | 43 | * | 1.55 | 0.1 | 8.04 | GLU | 43 | ~ | 2.28 | 0.2 | |
| ASN | 44 | * | 1.56 | 0.1 | 8 | ASN | 44 | ~ | 1.68 | 0.2 | |
| GLY | 45 | # | 4.56 | 0.6 | 6.04 | GLY | 45 | ~~ | 4.42 | 0.4 | |
| TRP | 46 | # | 8.79 | 1 | 5.45 | TRP | 46 | ~~ | 9.58 | 1.7 | 5.44 |
| CYS | 47 | ## | 8.54 | 1.5 | 5.78 | CYS | 47 | > | 18.58 | 4.3 | 7.71 |
| ARG | 48 | ARG | 48 | ||||||||
| LEU | 49 | LEU | 49 | ||||||||
| TYR | 50 | TYR | 50 | ~ | 3.07 | 1.4 | 6.86 | ||||
| ALA | 51 | * | 2.03 | 0.1 | ALA | 51 | ~ | 2.94 | 0.2 | ||
| GLY | 52 | GLY | 52 | ~ | 3.22 | 0.3 | |||||
| LYS | 53 | * | 1.31 | 0.5 | LYS | 53 | |||||
| ALA | 54 | ALA | 54 | ||||||||
| Full Set | 13C PRE-Less Restraints | |
|---|---|---|
| Total number of meaningful NOE upper distance constraints: | 344 | 344 |
| Total meaningful dihedral angle restraints: | 51 | 51 |
| Total number of paramagnetic NMR restraints: | 216 | 189 |
| Residual CYANA Target Function: | 1.47 ± 0.06 | 1.07 ± 0.08 |
| Pairwise RMSD to the mean: | ||
| Backbone RMSD$ (residues 5–50): | 0.46 ± 0.07 | 0.43 ± 0.10 |
| All heavy at.RMSD$ (residues 5–50): | 1.03 ± * 0.23 | 1.14 ± 0.16 |
| Ramachandran Plot Summary from Procheck *: | ||
| Most favored regions: | 63.70% | 65.50% |
| Additionally allowed regions: | 34.60% | 32.80% |
| Generously allowed regions: | 1.70% | 1.40% |
| Disallowed regions: | 0.00% | 0.30% |
| Average no. of distance viol/stru: | ||
| >0.5 Å: | 0 | 0 |
| RMS of Distances violations per meaningful distance constraint (Å): | 0.0204 | 0.0146 |
Disclaimer/Publisher’s Note: The statements, opinions and data contained in all publications are solely those of the individual author(s) and contributor(s) and not of MDPI and/or the editor(s). MDPI and/or the editor(s) disclaim responsibility for any injury to people or property resulting from any ideas, methods, instructions or products referred to in the content. |
© 2023 by the authors. Licensee MDPI, Basel, Switzerland. This article is an open access article distributed under the terms and conditions of the Creative Commons Attribution (CC BY) license (https://creativecommons.org/licenses/by/4.0/).
Share and Cite
Querci, L.; Trindade, I.B.; Invernici, M.; Silva, J.M.; Cantini, F.; Louro, R.O.; Piccioli, M. NMR of Paramagnetic Proteins: 13C Derived Paramagnetic Relaxation Enhancements Are an Additional Source of Structural Information in Solution. Magnetochemistry 2023, 9, 66. https://doi.org/10.3390/magnetochemistry9030066
Querci L, Trindade IB, Invernici M, Silva JM, Cantini F, Louro RO, Piccioli M. NMR of Paramagnetic Proteins: 13C Derived Paramagnetic Relaxation Enhancements Are an Additional Source of Structural Information in Solution. Magnetochemistry. 2023; 9(3):66. https://doi.org/10.3390/magnetochemistry9030066
Chicago/Turabian StyleQuerci, Leonardo, Inês B. Trindade, Michele Invernici, José Malanho Silva, Francesca Cantini, Ricardo O. Louro, and Mario Piccioli. 2023. "NMR of Paramagnetic Proteins: 13C Derived Paramagnetic Relaxation Enhancements Are an Additional Source of Structural Information in Solution" Magnetochemistry 9, no. 3: 66. https://doi.org/10.3390/magnetochemistry9030066
APA StyleQuerci, L., Trindade, I. B., Invernici, M., Silva, J. M., Cantini, F., Louro, R. O., & Piccioli, M. (2023). NMR of Paramagnetic Proteins: 13C Derived Paramagnetic Relaxation Enhancements Are an Additional Source of Structural Information in Solution. Magnetochemistry, 9(3), 66. https://doi.org/10.3390/magnetochemistry9030066

