Interrelation between the Solid-State Synthesis Conditions and Magnetic Properties of the NiCr2O4 Spinel
Abstract
1. Introduction
2. Sample Preparation and Experimental Details
3. X-ray Diffraction Analysis
4. Morphology and Chemical Composition
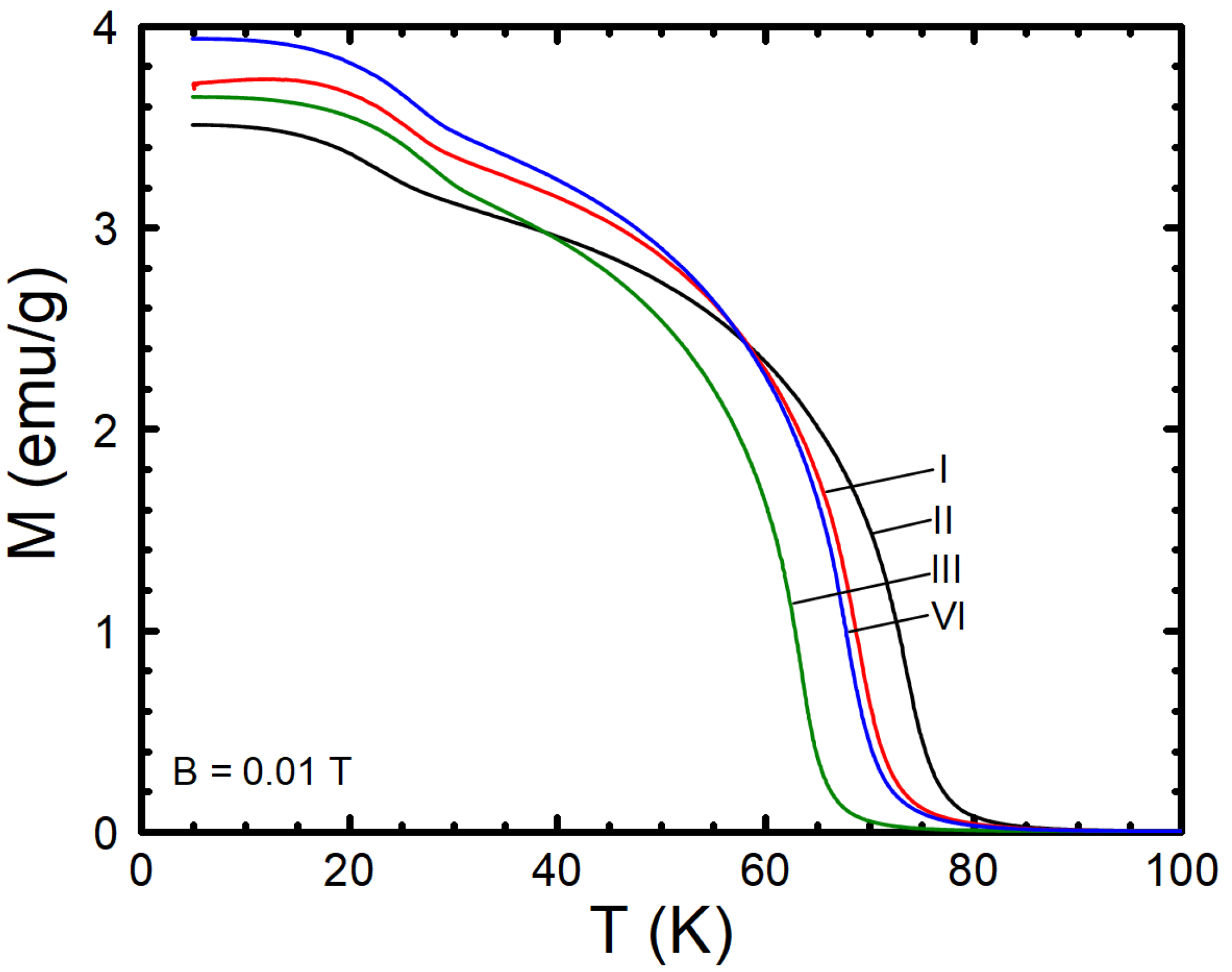
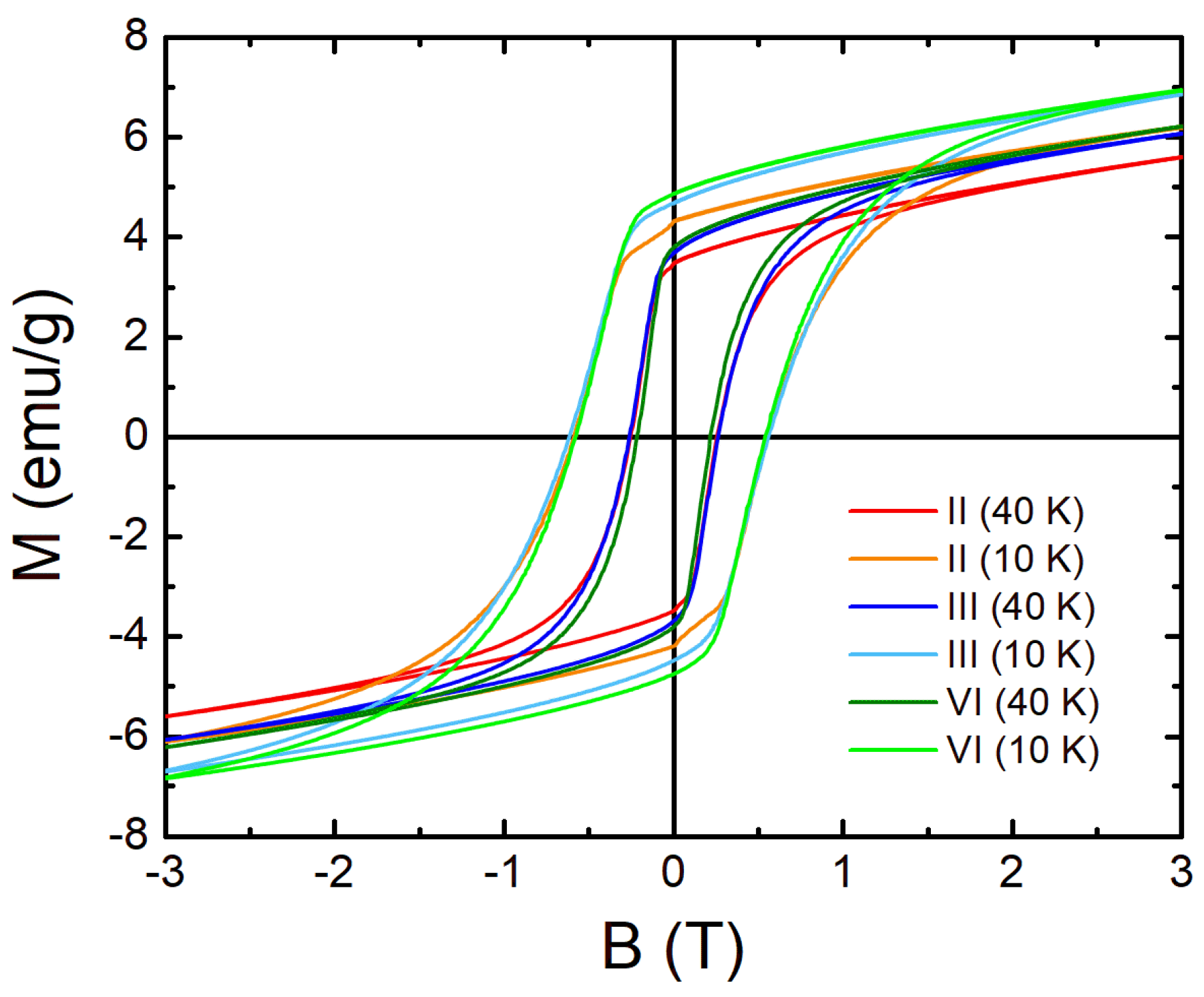
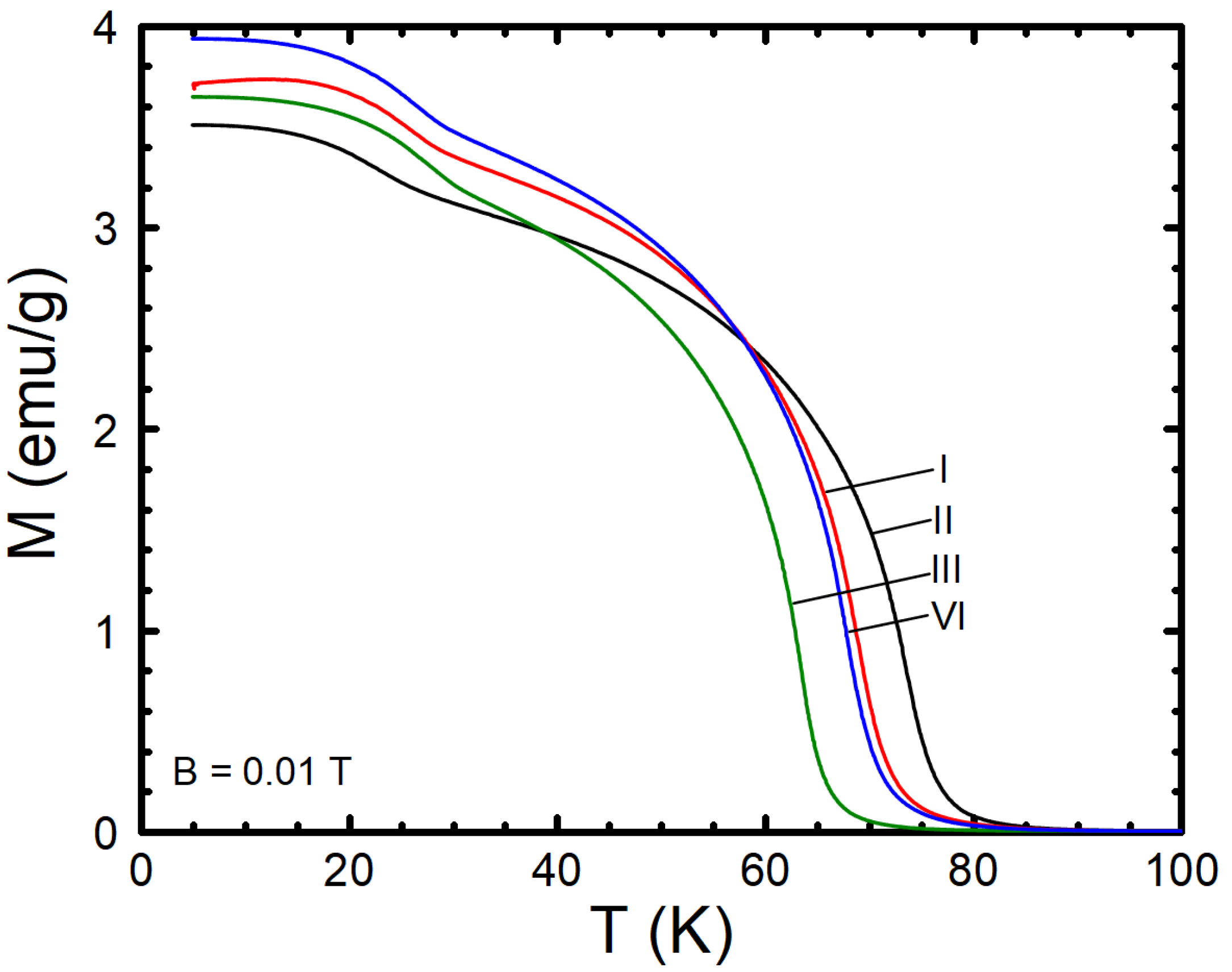
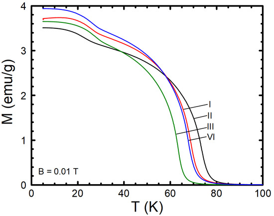
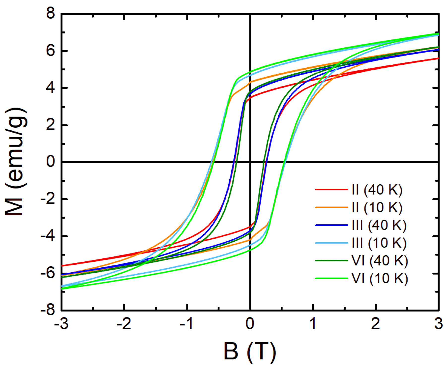
5. Magnetic Properties of NiCr2O4 Powder Samples
6. Discussion
7. Conclusions
Author Contributions
Funding
Data Availability Statement
Acknowledgments
Conflicts of Interest
References
- Tsurkan, V.; von Nidda, H.-A.K.; Deisenhofer, J.; Lunkenheimer, P.; Loidl, A. On the complexity of spinels: Magnetic, electronic, and polar ground states. Phys. Rep. 2021, 926, 1–86. [Google Scholar] [CrossRef]
- Sundaresan, A.; Ter-Oganessian, N.V. Magnetoelectric and multiferroic properties of spinels. J. Appl. Phys. 2021, 129, 060901. [Google Scholar] [CrossRef]
- Krupicka, S.; Novak, P. Oxide spinels. In Handbook of Feromagnetic Materials; Wohlfarth, E.P., Ed.; North-Holland Publishing Company: Amsterdam, The Netherlands, 1982; Volume 3, pp. 189–304. ISBN 978-0-444-86378-2. [Google Scholar]
- Hemberger, J.; Lunkenheimer, P.; Fichtl, R.; Von Nidda, H.-A.K.; Tsurkan, V.; Loidl, A. Relaxor ferroelectricity and colossal magnetocapacitive coupling in ferromagnetic CdCr2S4. Nature 2005, 434, 364–367. [Google Scholar] [CrossRef] [PubMed]
- Lee, S.-H.; Broholm, C.; Ratcliff, W.; Gasparovic, G.; Huang, Q.; Kim, T.H.; Cheong, S.-W. Emergent excitations in a geometrically frustrated magnet. Nature 2002, 418, 856–858. [Google Scholar] [CrossRef] [PubMed]
- Fritsch, V.; Hemberger, J.; Büttgen, N.; Scheidt, E.-W.; von Nidda, H.-A.K.; Loidl, A.; Tsurkan, V. Spin and Orbital Frustration in MnSc2S4 and FeSc2S4. Phys. Rev. Lett. 2004, 92, 116401. [Google Scholar] [CrossRef]
- Fichtl, R.; Tsurkan, V.; Lunkenheimer, P.; Hemberger, J.; Fritsch, V.; von Nidda, H.-A.K.; Scheidt, E.-W.; Loidl, A. Orbital Freezing and Orbital Glass State inFeCr2S4. Phys. Rev. Lett. 2005, 94, 027601. [Google Scholar] [CrossRef]
- Yusupov, R.V.; Cherosov, M.A.; Gabbasov, B.F.; Vasin, K.V.; Batulin, R.G.; Kiyamov, A.G.; Eremin, M.V. Magnetic Irreversibilities and Nonreciprocity of the Microwave Absorption of FeCr2O4 Spinel. J. Exp. Theor. Phys. Lett. 2022, 115, 167–173. [Google Scholar] [CrossRef]
- Batulin, R.; Cherosov, M.; Kiiamov, A.; Zinnatullin, A.; Vagizov, F.; Tayurskii, D.; Yusupov, R. Synthesis and Single Crystal Growth by Floating Zone Technique of FeCr2O4 Multiferroic Spinel: Its Structure, Composition, and Magnetic Properties. Magnetochemistry 2022, 8, 86. [Google Scholar] [CrossRef]
- Lee, S.-H.; Gasparovic, G.; Broholm, C.; Matsuda, M.; Chung, J.-H.; Kim, Y.-J.; Ueda, H.; Xu, G.; Zschack, P.; Kakurai, K.; et al. Crystal distortions in geometrically frustrated ACr2O4 (A = Zn,Cd). J. Phys. Condens. Matter 2007, 19, 145259. [Google Scholar] [CrossRef]
- Klemme, S.; O’Neill, H.S.; Schnelle, W.; Gmelin, E. The heat capacity of MgCr2O4, FeCr2O4, and Cr2O3at low temperatures and derived thermodynamic properties. Am. Miner. 2000, 85, 1686–1693. [Google Scholar] [CrossRef]
- Rasool, R.Z.; Nadeem, K.; Kamran, M.; Zeb, F.; Ahmad, N.; Mumtaz, M. Comparison of anomalous magnetic properties of non-collinear CoCr2O4 and NiCr2O4 nanoparticles. J. Magn. Magn. Mater. 2020, 514, 167225. [Google Scholar] [CrossRef]
- Rathi, A.; Babu, P.; Rout, P.; Awana, V.; Tripathi, V.K.; Nagarajan, R.; Sivaiah, B.; Pant, R.; Basheed, G. Anomalous nano-magnetic effects in non-collinear spinel chromite NiCr2O4. J. Magn. Magn. Mater. 2018, 474, 585–590. [Google Scholar] [CrossRef]
- Arima, T.-H.; Yamasaki, Y.; Goto, T.; Iguchi, S.; Ohgushi, K.; Miyasaka, S.; Tokura, Y. Spin–Lattice Coupling in Ferroelectric Spiral Magnets: Comparison between the Cases of (Tb,Dy)MnO3 and CoCr2O4. J. Phys. Soc. Jpn. 2007, 76, 023602. [Google Scholar] [CrossRef]
- Singh, K.; Maignan, A.; Simon, C.; Martin, C. FeCr2O4 and CoCr2O4 spinels: Multiferroicity in the collinear magnetic state? Appl. Phys. Lett. 2011, 99, 172903. [Google Scholar] [CrossRef]
- Lee, K.B.; Jo, S.; Choi, H.; Lee, Y.-W.; Sohn, J.I. Boosting catalyst activity with high valency metal species through Fe doping on normal spinel NiCr2O4 for superior water oxidation. Appl. Surf. Sci. 2023, 609, 155326. [Google Scholar] [CrossRef]
- Zhao, J.; Li, X.; Cui, G.; Sun, X. Highly-active oxygen evolution electrocatalyzed by an Fe-doped NiCr2O4 nanoparticle film. Chem. Commun. 2018, 54, 5462–5465. [Google Scholar] [CrossRef]
- Xu, X.; Gao, J.; Hong, W. Ni-based chromite spinel for high-performance supercapacitors. RSC Adv. 2016, 6, 29646–29653. [Google Scholar] [CrossRef]
- Gao, H.; Guo, J.; Li, Y.; Xie, C.; Li, X.; Liu, L.; Chen, Y.; Sun, P.; Liu, F.; Yan, X.; et al. Highly selective and sensitive xylene gas sensor fabricated from NiO/NiCr2O4 p-p nanoparticles. Sens. Actuators B Chem. 2018, 284, 305–315. [Google Scholar] [CrossRef]
- Ptak, M.; Maczka, M.; Gągor, A.; Pikul, A.; Macalik, L.; Hanuza, J. Temperature-dependent XRD, IR, magnetic, SEM and TEM studies of Jahn–Teller distorted NiCr2O4 powders. J. Solid State Chem. 2013, 201, 270–279. [Google Scholar] [CrossRef]
- Suchomel, M.R.; Shoemaker, D.P.; Ribaud, L.; Kemei, M.C.; Seshadri, R. Spin-induced symmetry breaking in orbitally ordered NiCr2O4 and CuCr2O4. Phys. Rev. B 2012, 86, 054406. [Google Scholar] [CrossRef]
- Klemme, S.; van Miltenburg, J.C. Thermodynamic properties of nickel chromite (NiCr2O4) based on adiabatic calorimetry at low temperatures. Phys. Chem. Miner. 2002, 29, 663–667. [Google Scholar] [CrossRef]
- Tomiyasu, K.; Hiraka, H.; Ohoyama, K.; Yamada, K. Resonance-Like Magnetic Excitations in Spinel Ferrimagnets FeCr2O4 and NiCr2O4 Observed by Neutron Scattering. J. Phys. Soc. Jpn. 2008, 77, 124703. [Google Scholar] [CrossRef]
- Tomiyasu, K.; Kagomiya, I. Magnetic Structure of NiCr2O4 Studied by Neutron Scattering and Magnetization Measurements. J. Phys. Soc. Jpn. 2004, 73, 2539–2542. [Google Scholar] [CrossRef]
- Prince, E. Structure of Nickel Chromite. J. Appl. Phys. 1961, 32, S68–S69. [Google Scholar] [CrossRef]
- Bertaut, E.F.; Dulac, J. Application of representation analysis to the magnetic structure of nickel chromite spinel. Acta Crystallogr. Sect. A 1972, 28, 580–588. [Google Scholar] [CrossRef]
- Zhu, C.; Yu, G.; Wang, L.; Yao, M.; Liu, F.; Kong, W. Dielectric relaxation and magnetodielectric effect in the spinel NiCr2O4. J. Magn. Magn. Mater. 2020, 506, 166803. [Google Scholar] [CrossRef]
- Ma, J.; Garlea, V.O.; Rondinone, A.; Aczel, A.A.; Calder, S.; Cruz, C.D.; Sinclair, R.; Tian, W.; Chi, S.; Kiswandhi, A.; et al. Magnetic and structural phase transitions in the spinel compound Fe1+xCr2−xO4. Phys. Rev. B 2014, 89, 134106. [Google Scholar] [CrossRef]
- Li, C.; Yan, T.; Zerihun, G.; Fu, Q.; Zhang, R.; Chen, X.; Huang, S.; Yuan, S. Magnetization reversal induced by Mn substitution in spinel chromite NiCr2O4. J. Am. Ceram. Soc. 2018, 101, 5571–5577. [Google Scholar] [CrossRef]
- Barman, J.; Ravi, S. Magnetization reversal and tunable exchange bias behavior in Mn-substituted NiCr2O4. J. Mater. Sci. 2018, 53, 7187–7198. [Google Scholar] [CrossRef]
- Mohantya, P.; Prinsloo, A.R.E.; Sheppard, C.J.; Roos, W.D. Effect of Fe Substitution on Structural and Magnetic Properties of NiCr2O4. Acta Phys. Pol. A 2018, 133, 574–577. [Google Scholar] [CrossRef]
- Cherosov, M.A.; Zinnatullin, A.L.; Batulin, R.G.; Kiiamov, A.G.; Yusupov, R.V.; A Tayurskii, D. Mössbauer effect study of a polycrystalline Fe1+xCr2-xO4 spinel grown by solid-state synthesis. J. Physics: Conf. Ser. 2022, 2164, 012067. [Google Scholar] [CrossRef]
- Javed, A.; Szumiata, T.; Sarwar, A.; Fatima, T. Structure and Mössbauer spectroscopy studies of Ni0.5Zn0.5NdFe2-xO4 (0.00 ≤ x ≤ 0.10) ferrites. Mater. Chem. Phys. 2018, 221, 99–107. [Google Scholar] [CrossRef]
- Shannon, R.T.; Prewitt, C.T. Revised values of effective ionic radii. Acta Crystallogr. Sect. B Struct. Crystallogr. Cryst. Chem. 1970, 26, 1046–1048. [Google Scholar] [CrossRef]
- Yokaichiya, F.; Krimmel, A.; Tsurkan, V.; Margiolaki, I.; Thompson, P.; Bordallo, H.N.; Buchsteiner, A.; Stüßer, N.; Argyriou, D.N.; Loidl, A. Spin-driven phase transitions in ZnCr2Se4 and ZnCr2S4 probed by high-resolution synchrotron x-ray and neutron powder diffraction. Phys. Rev. B 2009, 79, 064423. [Google Scholar] [CrossRef]






| Sample | Atmosphere | Synthesis Temperature, Deg. C | Molar Ratio Cr2O3/NiO in Initial Mixture | Products | TOO, K |
|---|---|---|---|---|---|
| I | Air | 1200 | 1:1 | spinel (92%), Cr2O3 (8%) | <295 |
| II | Air | 1200 | 1:1.1 | spinel (99.8%), Cr2O3 (0.2%) | <295 |
| III | Ar flow | 1200 | 1:1 | spinel (65%), Cr2O3 (8%), Ni (27%) | >295 |
| IV | Air (10%)+ Ar (90%) closed | 1200 | 1:1 | spinel (99.3%), Cr2O3 (~0.7%) | <295 |
| V | N2 closed | 1200 | 1:1 | spinel (67%), Cr2O3 (22%), NiO (11%) | >295 |
| VI | N2 closed | 1300 | 1:1 | spinel (99.6%), Cr2O3 (0.4%) | 313 |
| VII | N2 closed | 1300 | 1:1 | spinel (99.6%), Cr2O3 (0.4%) | >295 |
| Sample | Ni:Cr Ratio | x, at.% | TN, K | TS, K |
|---|---|---|---|---|
| I | 1:1.98 | 0.3 | 68.5 | 25.7 |
| II | 1:1.85 | 2.6 | 73.1 | 22.3 |
| III | 1:(2.18 to 9) | 0 * | 63.0 | 27.2 |
| VI | 1:1.97 | 0.5 | 67.7 | 25.8 |
Disclaimer/Publisher’s Note: The statements, opinions and data contained in all publications are solely those of the individual author(s) and contributor(s) and not of MDPI and/or the editor(s). MDPI and/or the editor(s) disclaim responsibility for any injury to people or property resulting from any ideas, methods, instructions or products referred to in the content. |
© 2022 by the authors. Licensee MDPI, Basel, Switzerland. This article is an open access article distributed under the terms and conditions of the Creative Commons Attribution (CC BY) license (https://creativecommons.org/licenses/by/4.0/).
Share and Cite
Cherosov, M.; Batulin, R.; Kiiamov, A.; Rogov, A.; Vakhitov, I.; Gabadullin, D.; Tayurskii, D.; Yusupov, R. Interrelation between the Solid-State Synthesis Conditions and Magnetic Properties of the NiCr2O4 Spinel. Magnetochemistry 2023, 9, 13. https://doi.org/10.3390/magnetochemistry9010013
Cherosov M, Batulin R, Kiiamov A, Rogov A, Vakhitov I, Gabadullin D, Tayurskii D, Yusupov R. Interrelation between the Solid-State Synthesis Conditions and Magnetic Properties of the NiCr2O4 Spinel. Magnetochemistry. 2023; 9(1):13. https://doi.org/10.3390/magnetochemistry9010013
Chicago/Turabian StyleCherosov, Mikhail, Ruslan Batulin, Airat Kiiamov, Alexey Rogov, Iskander Vakhitov, Damir Gabadullin, Dmitrii Tayurskii, and Roman Yusupov. 2023. "Interrelation between the Solid-State Synthesis Conditions and Magnetic Properties of the NiCr2O4 Spinel" Magnetochemistry 9, no. 1: 13. https://doi.org/10.3390/magnetochemistry9010013
APA StyleCherosov, M., Batulin, R., Kiiamov, A., Rogov, A., Vakhitov, I., Gabadullin, D., Tayurskii, D., & Yusupov, R. (2023). Interrelation between the Solid-State Synthesis Conditions and Magnetic Properties of the NiCr2O4 Spinel. Magnetochemistry, 9(1), 13. https://doi.org/10.3390/magnetochemistry9010013

