Phase Formation, Microstructure and Permeability of Fe-Deficient Ni-Cu-Zn Ferrites, (I): Effect of Sintering Temperature
Abstract
:1. Introduction
2. Results
2.1. Powder Properties
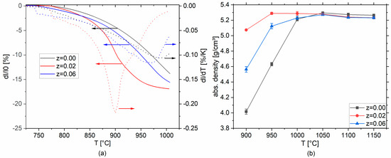
2.2. Shrinkage and Densification Behavior
2.3. Microstructure and Element Distribution
2.4. Phase Formation
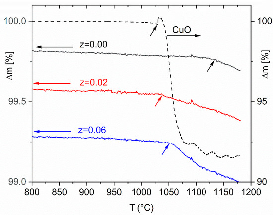
2.5. Thermal Analysis
2.6. Magnetic Permeability
3. Discussion
- (I)
- The ferrites exhibit normal grain growth. Some remaining inter-crystalline porosity is reduced with increasing Ts. The stoichiometric ferrite (z = 0) is single-phase spinel, and the Fe-deficient samples (z > 0) contain a small amount of tenorite CuO evenly distributed at the triple points between ferrite grains.
- (II)
- At a critical temperature, for example, at Ts = 1050 °C for z = 0, Ts = 1000 °C for z = 0.02, and Ts = 1050 °C for z = 0.06, intra-crystalline porosity starts to appear within the ferrite grains. Regular grain growth still dominates.
- (III)
- At a higher sintering temperature, i.e., at Ts = 1150 °C for z = 0, Ts = 1050 °C for z = 0.02, and Ts = 1100 °C for z = 0.06, a CuO/Cu2O liquid phase appears, forming a network along the grain boundaries and triggering exaggerated growth of the ferrite grains.
4. Materials and Methods
5. Conclusions
- With increasing Fe-deficiency z, the temperature of the maximum shrinkage rate is shifted from T = 1000 °C for z = 0 towards T < 900 °C for z = 0.02. Firing at 900 °C gives dense samples for Fe-deficient ferrites (z > 0) only.
- Stoichiometric ferrites exhibit regular grain growth until, at 1150 °C, exaggerated grain growth sets in owing to the formation of a Cu-oxide liquid phase.
- Fe-deficient ferrites consist of ferrite grains and a CuO second phase distributed at the triple points. At sintering temperatures of about Ts > 1050 °C, CuO is reduced to Cu2O and the formation of a eutectic triggers exaggerated ferrite grain growth. These ferrites with large grains exhibit reduced permeability because (i) non-magnetic pores and Cu oxide grain boundary phases reduce the saturation magnetization and permeability and (ii) pores within ferrite grains and the grain boundary phase act as pinning centers for domain walls, and thus also reduce the permeability.
- The formation of intra-crystalline porosity sets in already at intermediate sintering temperatures in regularly grown ferrite grains, leading to a reduction in permeability.
- Sintering protocols of Fe-deficient Ni-Cu-Zn ferrites require optimization of a delicate balance of inter- and intra-crystalline porosity on one hand, and concentration and chemistry of Cu oxide second phases at triple points and grain boundaries on the other hand, to tailor a maximum permeability performance.
Author Contributions
Funding
Institutional Review Board Statement
Informed Consent Statement
Data Availability Statement
Conflicts of Interest
References
- Goldman, A. Handbook of Modern Ferromagnetic Materials, 1st ed.; Kluwer Academic Publishers: Boston, MA, USA; Dordrecht, The Netherlands; London, UK, 1999. [Google Scholar]
- Nomura, T.; Nakano, A. New evolution of ferrite for multilayer chip components. In Proceedings of the Sixth International Conference on Ferrites, Tokyo, Japan, 29 September–2 October 1992; pp. 1198–1201. [Google Scholar]
- Nakano, A.; Nomura, T. Multilayer Chip Inductors. Ceram. Trans. A Cer. 1999, 97, 285–304. [Google Scholar]
- Hsiang, H.I. Progress in materials and processes of multilayer power inductors. J. Mater. Sci. Mater. Electron. 2020, 31, 16089–16110. [Google Scholar] [CrossRef]
- Mürbe, J.; Töpfer, J. Ni-Cu-Zn Ferrites for low temperature firing: II. Effects of powder morphology and Bi2O3 addition on microstructure and permeability. J. Electroceramics 2006, 16, 199–205. [Google Scholar] [CrossRef]
- Hsiang, H.I.; Chueh, J.F. Bi2O3 addition effects on the sintering mechanisms, magnetic properties and DC superposition behavior of NiCuZn ferrites. Int. J. Appl. Ceram. Technol. 2015, 12, 1008–1015. [Google Scholar] [CrossRef]
- Su, H.; Zhao, C. Correlation between microstructure and permeability stability of ferrite materials. Ceram. Int. 2018, 44, 2304–2310. [Google Scholar] [CrossRef]
- Wang, Y.; Jing, Y. Comparison of magnetic properties of low-temperature fired NiCuZn ferrites under low- and high-Bi2O3 doping modes. J. Electron. Mater. 2020, 49, 3325–3331. [Google Scholar] [CrossRef]
- Low, K.O.; Sale, F.R. The development and analysis of property-composition diagrams on gel-derived stoichiometric NiCuZn ferrite. J. Magn. Magn. Mater. 2003, 256, 221–226. [Google Scholar] [CrossRef]
- Mürbe, J.; Töpfer, J. Ni-Cu-Zn Ferrites for low temperature firing: I. Ferrite compositions and its effects on sintering behavior and permeability. J. Electroceramics 2005, 15, 215–221. [Google Scholar] [CrossRef]
- Zhiyuan, L.; Maoren, X. Effects on iron deficiency on magnetic properties of (Ni0.76Zn0.24)O(Fe2O3)0.575 ferrite. J. Magn. Magn. Mater. 2000, 219, 9–14. [Google Scholar] [CrossRef]
- Su, H.; Zhang, H. Effects of composition and sintering temperature on properties of NiZn and NiCuZn ferrites. J. Magn. Magn. Mater. 2007, 310, 17–21. [Google Scholar] [CrossRef]
- Su, H.; Tang, X. Influence of Fe-deficiency on electromagnetic properties of low-temperature fired NiCuZn ferrites. J. Magn. Magn. Mater. 2010, 322, 1779–1783. [Google Scholar] [CrossRef]
- Mürbe, J.; Töpfer, J. Low temperature sintering of sub-stoichiometric Ni-Cu-Zn ferrites: Shrinkage, microstructure and permeability. J. Magn. Magn. Mater. 2012, 324, 578–583. [Google Scholar] [CrossRef]
- Hsiang, H.I.; Wu, J.L. Copper-rich phase segregation effects on the magnetic properties and DC-bias-superpositions characteristics of NiCuZn ferrites. J. Magn. Magn. Mater. 2015, 374, 367–371. [Google Scholar] [CrossRef]
- Sakellari, D.; Tsakaloudi, V. Microstructural phenomena controlling losses in NiCuZn ferrites as studied by transmission electron microscopy. J. Am. Soc. 2008, 91, 366–371. [Google Scholar] [CrossRef]
- Sun, K.; Lan, Z. Phase formation, grain growth and magnetic properties of NiCuZn ferrites. J. Magn. Magn. Mater. 2011, 323, 927–932. [Google Scholar] [CrossRef]
- Barba, A.; Clausell, C. ZnO and CuO crystal precipitation in sintering Cu-doped Ni-Zn ferrites. I. Influence of dry relative density and cooling rate. Eur. Ceram. Soc. 2011, 31, 2119–2128. [Google Scholar] [CrossRef]
- Barba, A.; Clausell, C. ZnO and CuO crystal precipitation in sintering Cu-doped Ni-Zn ferrites. II. Influence of sintering temperature and sintering time. Eur. Ceram. Soc. 2017, 37, 169–177. [Google Scholar] [CrossRef] [Green Version]
- Nazrin, S.; Sharmin, M. Fabrication and unravelling the impact of iron-deficiency amount on crystal structure, micromorphology, elastic and electromagnetic properties of Ni0.25Cu0.13Zn0.62Fe2-xO4-3x/2 ferrites under different sintering conditions. J. Mater. Sci. Mater. Electron. 2021, 32, 4592–4628. [Google Scholar] [CrossRef]
- Li, Y.; Xu, M. Structural and room-temperature ferromagnetic properties of Fe-doped CuO nanocrystals. J. Appl. Phys. 2010, 107, 113908. [Google Scholar] [CrossRef]
- Nasir, M.; Patra, N. X-ray structural studies on solubility of Fe substituted CuO. RSC Adv. 2016, 6, 103571. [Google Scholar] [CrossRef]
- Smit, J.; Wijn, J. Ferrite; Philips Technische Bibliothek: Eindhoven, The Netherlands, 1962. [Google Scholar]
- Roberts, H.S.; Hastings Smith, F. The System Copper: Cupric Oxide: Oxygen. J. Am. Chem. Soc. 1921, 43, 1061–1079. [Google Scholar] [CrossRef]
- Su, H.; Zhang, H. Effects of microstructure on permeability and power loss characteristics of the NiZn ferrites. J. Magn. Magn. Mater. 2008, 320, 483–485. [Google Scholar] [CrossRef]
- Su, H.; Zhang, H. Influence of microstructure on permeability dispersion and power loss of NiZn ferrite. J. Appl. Phys. 2008, 103, 483–485. [Google Scholar] [CrossRef]
- Johnson, M.T.; Visser, E.G. A coherent model for the complex permeability in polycrystalline ferrites. IEEE Trans. Magn. 1990, 26, 1987–1989. [Google Scholar] [CrossRef]
- Mendelson, M.L. Average grain size in polycrystalline ceramics. J. Am. Ceram. Soc. 1969, 52, 443–446. [Google Scholar] [CrossRef]









| Publisher’s Note: MDPI stays neutral with regard to jurisdictional claims in published maps and institutional affiliations. | 
© 2021 by the authors. Licensee MDPI, Basel, Switzerland. This article is an open access article distributed under the terms and conditions of the Creative Commons Attribution (CC BY) license (https://creativecommons.org/licenses/by/4.0/).
Share and Cite
Priese, C.; Töpfer, J. Phase Formation, Microstructure and Permeability of Fe-Deficient Ni-Cu-Zn Ferrites, (I): Effect of Sintering Temperature. Magnetochemistry 2021, 7, 118. https://doi.org/10.3390/magnetochemistry7080118
Priese C, Töpfer J. Phase Formation, Microstructure and Permeability of Fe-Deficient Ni-Cu-Zn Ferrites, (I): Effect of Sintering Temperature. Magnetochemistry. 2021; 7(8):118. https://doi.org/10.3390/magnetochemistry7080118
Chicago/Turabian StylePriese, Christoph, and Jörg Töpfer. 2021. "Phase Formation, Microstructure and Permeability of Fe-Deficient Ni-Cu-Zn Ferrites, (I): Effect of Sintering Temperature" Magnetochemistry 7, no. 8: 118. https://doi.org/10.3390/magnetochemistry7080118
APA StylePriese, C., & Töpfer, J. (2021). Phase Formation, Microstructure and Permeability of Fe-Deficient Ni-Cu-Zn Ferrites, (I): Effect of Sintering Temperature. Magnetochemistry, 7(8), 118. https://doi.org/10.3390/magnetochemistry7080118
 
         
                                                

