New Cyanido-Bridged Heterometallic 3d-4f 1D Coordination Polymers: Synthesis, Crystal Structures and Magnetic Properties
Abstract
1. Introduction
2. Experimental Section
2.1. Materials and Physical Measurements
2.2. Single Crystal X-ray Crystallography
2.3. Synthesis of Complexes
3. Results and Discussion
3.1. Synthesis and Structures of the Complexes
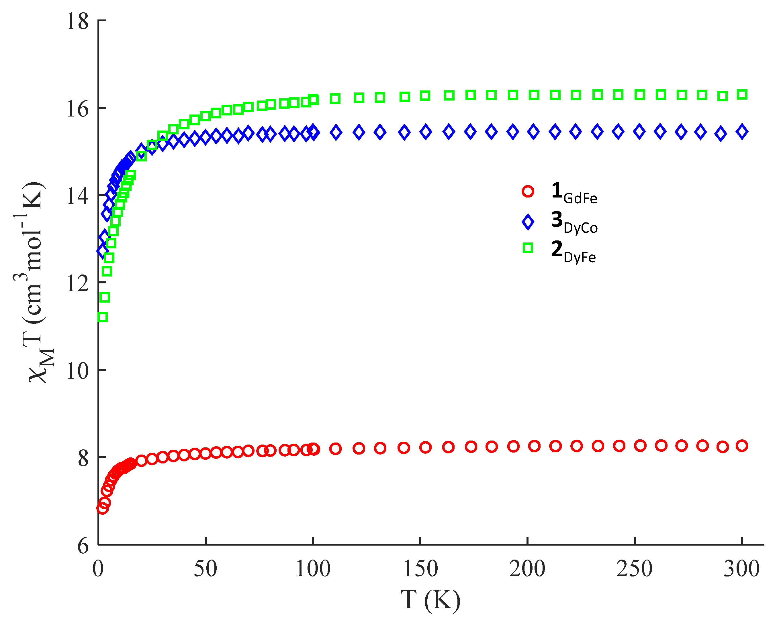
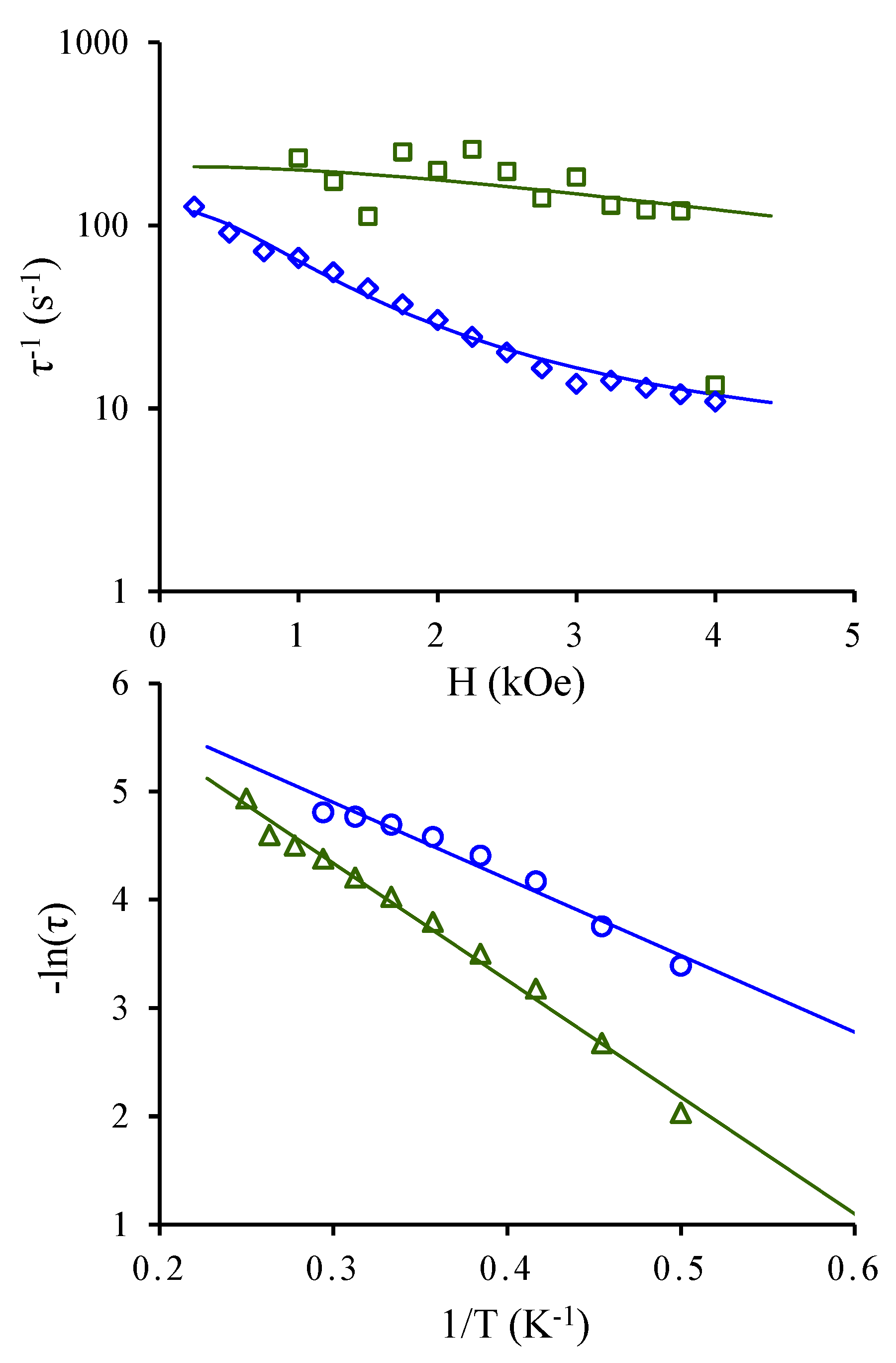
3.2. Magnetic Properties of the Complexes
4. Conclusions
Supplementary Materials
Author Contributions
Funding
Acknowledgments
Conflicts of Interest
References
- Woodruff, D.N.; Winpenny, R.E.P.; Layfield, R.A. Lanthanide Single-Molecule Magnets. Chem. Rev. 2013, 113, 5110–5148. [Google Scholar] [CrossRef]
- Goodwin, C.A.P.; Ortu, F.; Reta, D.; Chilton, N.F.; Mills, D.P. Molecular magnetic hysteresis at 60 Kelvin in dysprosocenium. Nature 2017, 548, 439–442. [Google Scholar] [CrossRef]
- Guo, F.S.; Day, B.M.; Chen, Y.C.; Tong, M.L.; Mansikkamaki, A.; Layfield, R.A. Magnetic hysteresis up to 80 kelvin in a dysprosium metallocene single-molecule magnet. Science 2018, 362, 1400–1403. [Google Scholar] [CrossRef]
- Dhers, S.; Feltham, H.L.C.; Brooke, S. A toolbox of building blocks, linkers and crystallisation methods used to generate single-chain magnets. Coord. Chem. Rev. 2015, 296, 24–44. [Google Scholar] [CrossRef]
- Zheng, Y.-Z.; Lan, Y.; Wernsdorfer, W.; Anson, C.E.; Powell, A.K. Polymerisation of the Dysprosium Acetate Dimer Switches on Single-Chain Magnetism. Chem. Eur. J. 2009, 15, 12566–12570. [Google Scholar] [CrossRef] [PubMed]
- Liu, Z.-Y.; Xia, Y.-F.; Jiao, J.; Yang, E.-C.; Zhao, X.-J. Two water-bridged cobalt(ii) chains with isomeric naphthoate spacers: From metamagnetic to single-chain magnetic behaviour. Dalton Trans. 2015, 44, 19927–19934. [Google Scholar] [CrossRef] [PubMed]
- Bogani, L.; Sangregorio, C.; Sessoli, R.; Gatteschi, D. Molecular engineering for single-chain-magnet behavior in a one-dimensional dysprosium–nitronyl nitroxide compound. Angew. Chem. Int. Ed. 2005, 44, 5817–5821. [Google Scholar] [CrossRef] [PubMed]
- Bernot, K.; Bogani, L.; Caneschi, A.; Gatteschi, D.; Sessoli, R. A family of rare-earth-based single chain magnets: Playing with anisotropy. J. Am. Chem. Soc. 2006, 128, 7947–7956. [Google Scholar] [CrossRef]
- Pedersen, K.S.; Bendix, J.; Clérac, R. Single-molecule magnet engineering: Building-block approaches. Chem. Commun. 2014, 50, 4396–4415. [Google Scholar] [CrossRef]
- Pal, S.; Dey, K.; Benmansour, S.; Gómez-García, C.J.; Nayek, H.P. Syntheses, structures and magnetic properties of cyano-bridged one-dimensional Ln3+–Fe3+ (Ln = La, Dy, Ho and Yb) coordination polymers. New J. Chem. 2019, 43, 6228–6233. [Google Scholar] [CrossRef]
- Yu, D.-Y.; Li, L.; Zhou, H.; Yuan, A.-H.; Li, Y.-Z. Cyano-Bridged 4f-3d Assemblies with Achiral Helical Chains: Syntheses, Structures, and Magnetic Properties. Eur. J. Inorg. Chem. 2012, 3394–3397. [Google Scholar] [CrossRef]
- Estrader, M.; Ribas, J.; Tangoulis, V.; Solans, X.; Font-Bardía, M.; Maestro, M.; Diaz, C. Synthesis, Crystal Structure, and Magnetic Studies of One-Dimensional Cyano-Bridged Ln3+−Cr3+ Complexes with bpy as a Blocking Ligand. Inorg. Chem. 2006, 45, 8239–8250. [Google Scholar] [CrossRef] [PubMed]
- Figuerola, A.; Ribas, J.; Casanova, D.; Maestro, M.; Alvarez, S.; Diaz, C. Magnetism of Cyano-Bridged Ln3+−M3+ Complexes. Part II: One-Dimensional Complexes (Ln3+ = Eu, Tb, Dy, Ho, Er, Tm; M3+ = Fe or Co) with bpy as Blocking Ligand. Inorg. Chem. 2005, 44, 6949–6958. [Google Scholar] [CrossRef] [PubMed]
- Figuerola, A.; Diaz, C.; Ribas, J.; Tangoulis, V.; Sangregorio, C.; Gatteschi, D.; Maestro, M.; Mahía, J. Magnetism of Cyano-Bridged Hetero-One-Dimensional Ln3+−M3+ Complexes (Ln3+ = Sm, Gd, Yb; M3+ = FeLS, Co). Inorg. Chem. 2003, 42, 5274–5281. [Google Scholar] [CrossRef] [PubMed]
- Petrosyants, S.P.; Ilyukhin, A.B.; Efimov, N.N.; Gavrikov, A.V.; Novotortsev, V.M. Self-assembly and SMM properties of lanthanide cyanocobaltate chain complexes with terpyridine as blocking ligand. Inorg. Chim. Acta 2018, 482, 813–820. [Google Scholar] [CrossRef]
- Muddassir, M.; Song, X.-J.; Chen, Y.; Cao, F.; Weia, R.-M.; Song, Y. Ion-induced diversity in structure and magnetic properties of hexacyanometalate–lanthanide bimetallic assemblies. CrystEngComm. 2013, 15, 10541–10549. [Google Scholar] [CrossRef]
- Figuerola, A.; Ribas, J.; Solans, X.; Font-Bardía, M.; Maestro, M.; Diaz, C. One Dimensional 3d–4f Heterometallic Compounds: Synthesis, Structure and Magnetic Properties. Eur. J. Inorg. Chem. 2006, 1846–1852. [Google Scholar] [CrossRef]
- Zhao, H.; Lopez, N.; Prosvirin, A.; Chifotidesa, H.T.; Dunbar, K.R. Lanthanide–3d cyanometalate chains Ln(III)–M(III) (Ln = Pr, Nd, Sm, Eu, Gd, Tb; M = Fe) with the tridentate ligand2,4,6-tri(2-pyridyl)-1,3,5-triazine (tptz): Evidence of ferromagnetic interactions for the Sm(III)–M(III) compounds (M = Fe, Cr). Dalton Trans. 2007, 878–888. [Google Scholar] [CrossRef]
- Liu, J.; Knoeppel, D.W.; Liu, S.; Meyers, E.A.; Shore, S.G. Cyanide-Bridged Lanthanide(III)−Transition Metal Extended Arrays: Interconversion of One-Dimensional Arrays from Single-Strand (Type A) to Double-Strand (Type B) Structures. Complexes of a New Type of Single-Strand Array (Type C). Inorg. Chem. 2001, 40, 2842–2850. [Google Scholar] [CrossRef]
- Kou, H.-Z.; Gao, S.; Sun, B.-W.; Zhang, J. Metamagnetism of the First Cyano-Bridged Two-Dimensional Brick-Wall-like 4f−3d Array. Chem. Mater. 2001, 13, 1431–1433. [Google Scholar] [CrossRef]
- Wilson, D.C.; Liu, S.; Chen, X.; Meyers, E.A.; Bao, X.; Prosvirin, A.V.; Dunbar, K.R.; Hadad, C.M.; Shore, S.G. Water-Free Rare Earth-Prussian Blue Type Analogues: Synthesis, Structure, Computational Analysis, and Magnetic Data of {LnIII(DMF)6FeIII(CN)6}∞ (Ln = Rare Earths Excluding Pm). Inorg. Chem. 2009, 48, 5725–5735. [Google Scholar] [CrossRef]
- Chen, W.-T.; Guo, G.-C.; Wang, M.-S.; Xu, G.; Cai, L.-Z.; Akitsu, T.; Akita-Tanaka, M.; Matsushita, A.; Huang, J.-S. Self-Assembly and Characterization of Cyano-Bridged Bimetallic [Ln−Fe] and [Ln−Co] Complexes (Ln = La, Pr, Nd and Sm). Nature of the Magnetic Interactions between the Ln3+ and Fe3+ Ions. Inorg. Chem. 2007, 46, 2105–2114. [Google Scholar] [CrossRef]
- Chen, W.-T.; Wu, A.-Q.; Guo, G.-C.; Wang, M.-S.; Ca, L.-Z.; Huang, J.-S. Cyano-Bridged 2D Bimetallic 4f–3d Arrays with Monolayered Stair-Like, Brick-Wall-Like, or Bilayered Topologies–Rational Syntheses and Crystal Structures. Eur. J. Inorg. Chem. 2010, 2826–2835. [Google Scholar] [CrossRef]
- Xin, Y.; Wang, J.; Zychowicz, M.; Zakrzewski, J.J.; Nakabayashi, K.; Sieklucka, B.; Chorazy, S.; Ohkosh, S. Dehydration−Hydration Switching of Single-Molecule Magnet Behavior and Visible Photoluminescence in a Cyanido-Bridged DyIIICoIII Framework. J. Am. Chem. Soc. 2019, 141, 18211–18220. [Google Scholar] [CrossRef]
- Visinescu, D.; Toma, L.M.; Fabelo, O.; Ruiz-Pérez, C.; Lloret, F.; Julve, M. Low-Dimensional 3d–4f Complexes Assembled by Low-Spin [FeIII(phen)(CN)4]− Anions. Inorg. Chem. 2013, 52, 1525–1537. [Google Scholar] [CrossRef] [PubMed]
- Chorazy, S.; Rams, M.; Wyczesany, M.; Nakabayashi, K.; Ohkoshi, S.; Sieklucka, B. Antiferromagnetic exchange and long-range magnetic ordering in supramolecular networks constructed of hexacyanido-bridged LnIII(3-pyridone)–CrIII (Ln = Gd, Tb) chains. CrystEngComm. 2018, 20, 1271–1281. [Google Scholar] [CrossRef]
- Xue, A.-Q.; Liu, Y.-Y.; Li, J.-X.; Zhang, Y.; Meng, Y.-S.; Zhu, W.-H.; Zhang, Y.-Q.; Sun, H.-L.; Wang, F.; Qiu, G.-X.; et al. The differential magnetic relaxation behaviours of slightly distorted triangular dodecahedral dysprosium analogues in a type of cyano-bridged 3d–4f zig-zag chain compounds. Dalton Trans. 2020, 49, 6867–6875. [Google Scholar] [CrossRef] [PubMed]
- Petrosyants, S.P.; Ilyukhin, A.B.; Efimov, N.N.; Novotortsev, V.M. Cyano-Bridged d–f Ensembles of the Dysprosium Tetrapyridine Complexes with the Hexacyanoferrate Anion. Russ. J. Coord. Chem. 2018, 44, 660–666. [Google Scholar] [CrossRef]
- Chorazy, S.; Zakrzewski, J.J.; Wang, J.; Ohkoshi, S.; Sieklucka, B. Incorporation of hexacyanidoferrate(III) ion in photoluminescent trimetallic Eu(3-pyridone)[Co1−xFex(CN)6] chains exhibiting tunable visible light absorption and emission properties. CrystEngComm 2018, 20, 5695–5706. [Google Scholar] [CrossRef]
- Chorazy, S.; Kumar, K.; Nakabayashi, K.; Sieklucka, B.; Ohkoshi, S. Fine Tuning of Multicolored Photoluminescence in Crystalline Magnetic Materials Constructed of Trimetallic EuxTb1−x[Co(CN)6] Cyanido-Bridged Chains. Inorg. Chem. 2017, 56, 5239–5252. [Google Scholar] [CrossRef]
- Chorazy, S.; Wyczesany, M.; Sieklucka, B. Lanthanide Photoluminescence in Heterometallic Polycyanidometallate-Based Coordination Networks. Molecules 2017, 22, 1902. [Google Scholar] [CrossRef]
- Chorazy, S.; Rams, M.; Nakabayashi, K.; Sieklucka, B.; Ohkoshi, S. White Light Emissive DyIII Single-Molecule Magnets Sensitized by Diamagnetic [CoIII(CN)6]3– Linkers. Chem. Eur. J. 2016, 22, 7371–7375. [Google Scholar] [CrossRef]
- Chorazy, S.; Rams, M.; Wang, J.; Sieklucka, B.; Ohkoshi, S. Octahedral Yb(III) complexes embedded in [CoIII(CN)6]-bridged coordination chains: Combining sensitized near-infrared fluorescence with slow magnetic relaxation. Dalton Trans. 2017, 46, 13668–13672. [Google Scholar] [CrossRef]
- Qian, K.; Huang, X.-C.; Zhou, C.; You, X.-Z.; Wang, X.-Y.; Dunbar, K.R. A Single-Molecule Magnet Based on Heptacyanomolybdate with the Highest Energy Barrier for a Cyanide Compound. J. Am. Chem. Soc. 2013, 135, 13302–13305. [Google Scholar] [CrossRef]
- Sasnovskaya, V.D.; Kopotkov, V.A.; Talantsev, A.D.; Morgunov, R.B.; Yagubskii, E.B.; Simonov, S.V.; Zorina, L.V.; Mironov, V.S. Synthesis, Structure, and Magnetic Properties of 1D {[MnIII(CN)6][MnII(dapsc)]}n Coordination Polymers: Origin of Unconventional Single-Chain Magnet Behavior. Inorg. Chem. 2017, 56, 8926–8943. [Google Scholar] [CrossRef]
- Zorina, L.V.; Simonov, S.V.; Sasnovskaya, V.D.; Talantsev, A.D.; Morgunov, R.B.; Mironov, V.S.; Yagubskii, E.B. Slow Magnetic Relaxation, Antiferromagnetic Ordering, and Metamagnetism in MnII(H2dapsc)-FeIII(CN)6 Chain Complex with Highly Anisotropic Fe-CN-Mn Spin Coupling. Chem. Eur. J. 2019, 25, 14583–14597. [Google Scholar] [CrossRef]
- Bar, A.K.; Gogoi, N.; Pichon, C.; Goli, V.M.L.D.P.; Thlijeni, M.; Duhayon, C.; Suaud, N.; Guihéry, N.; Barra, A.-L.; Ramasesha, S.; et al. Pentagonal Bipyramid FeII Complexes: Robust Ising-spin Units Towards Heteropolynuclear Nano-Magnets. Chem. Eur. J. 2017, 23, 4380–4396. [Google Scholar] [CrossRef] [PubMed]
- Pichon, C.; Suaud, N.; Duhayon, C.; Guihéry, N.; Sutter, J.-P. Cyano-Bridged Fe(II)−Cr(III) Single-Chain Magnet Based on Pentagonal Bipyramid Units: On the Added Value of Aligned Axial Anisotropy. J. Am. Chem. Soc. 2018, 140, 7698–7704. [Google Scholar] [CrossRef]
- Sommerer, S.O.; Westcott, B.L.; Cundari, T.R.; Krause, J.A. A structural and computational study of tetraaqua[2,6-diacetylpyridinebis-(semicarbazone)]-gadolinium(III) trinitrate. Inorg. Chim. Acta 1993, 209, 101–104. [Google Scholar] [CrossRef]
- Gioia, M.; Crundwell, G.; Westcott, B.L. Tetraaqua[2,6-diacetylpyridine bis(semicarbazone)]samarium(III) trinitrate. IUCrData 2018, 3, x181454. [Google Scholar] [CrossRef]
- Sasnovskaya, V.D.; Kopotkov, V.A.; Kazakova, A.V.; Talantsev, A.D.; Morgunov, R.B.; Simonov, S.V.; Zorina, L.V.; Mironov, V.S.; Yagubskii, E.B. Slow magnetic relaxation in mononuclear complexes of Tb, Dy, Ho and Er with the pentadentate (N3O2) Schiff-base dapsc ligand. New J. Chem. 2018, 42, 14883–14893. [Google Scholar] [CrossRef]
- Palenik, G.J.; Wester, D.W.; Rychlewska, U.; Palenik, R.C. Pentagonal-Bipyramidal Complexes. Synthesis and Crystal Structures of Diaqua [2,6-diacetylpyridine bis(semicarbazone)]chromium(III) Hydroxide Dinitrate Hydrate and Dichloro[2,6-diacetylpyridine bis(semicarbazone)] iron(III) Chloride Dihydrate. Inorg. Chem. 1976, 15, 1814–1819. [Google Scholar] [CrossRef]
- Pascal, P. Magnochemical studies. Ann. Chim. Phys. 1910, 19, 5–70. [Google Scholar]
- Kahn, O. Molecular Magnetism; VCH Publishers: New York, NY, USA, 1993. [Google Scholar]
- Sheldrick, G.M. SHELXT—Integrated space-group and crystal-structure determination. Acta Cryst. 2015, A71, 3–8. [Google Scholar] [CrossRef]
- Sheldrick, G.M. Crystal structure refinement with SHELXL. Acta Cryst. 2015, C71, 3–8. [Google Scholar] [CrossRef]
- Nakamoto, K. Infrared and Raman Spectra of Inorganic and Coordination Compounds, 4th ed.; John Wiley & Sons: Hoboken, NJ, USA, 1986; p. 245. [Google Scholar]
- Llunell, M.; Casanova, D.; Cirera, J.; Alemany, P.; Alvarez, S. SHAPE, Program. for the Stereochemical Analysis of Molecular Fragments by Means of Continuous Shape Measures and Associated Tools, Version 2.1; University of Barcelona: Barcelona, Spain, 2013. [Google Scholar]
- Benelli, C.; Gatteschi, D. Magnetism of Lanthanides in Molecular Materials with Transition-Metal Ions and Organic Radicals. Chem. Rev. 2002, 102, 2369–2388. [Google Scholar] [CrossRef]
- Kahn, M.L.; Ballou, R.; Porcher, P.; Kahn, O.; Sutter, J.-P. Analytical Determination of the {Ln–Aminoxyl Radical} Exchange Interaction Taking into Account Both the Ligand-Field Effect and the Spin–Orbit Coupling of the Lanthanide Ion (Ln = DyIII and HoIII). Chem. A Eur. J. 2002, 8, 525–531. [Google Scholar] [CrossRef]
- Guo, Y.-N.; Xu, G.-F.; Gamez, P.; Zhao, L.; Lin, S.-Y.; Deng, R.; Tang, J.; Zhang, H.-J. Two-Step Relaxation in a Linear Tetranuclear Dysprosium(III) Aggregate Showing Single-Molecule Magnet Behavior. J. Am. Chem. Soc. 2010, 132, 8538–8539. [Google Scholar] [CrossRef]
- Grahl, M.; Kötzler, J.; Seßler, I. Correlation between Domain-Wall Dynamics and Spin-Spin Relaxation in Uniaxial Ferromagnets. J. Magn. Magn. Mater. 1990, 90–91, 187–188. [Google Scholar] [CrossRef]
- Dolai, M.; Ali, M.; Titiš, J.; Boča, R. Cu(II)–Dy(III) and Co(III)–Dy(III) Based Single Molecule Magnets with Multiple Slow Magnetic Relaxation Processes in the Cu(II)–Dy(III) Complex. Dalton Trans. 2015, 44, 13242–13249. [Google Scholar] [CrossRef] [PubMed]
- Lucaccini, E.; Sorace, L.; Perfetti, M.; Costes, J.-P.; Sessoli, R. Beyond the Anisotropy Barrier: Slow Relaxation of the Magnetization in Both Easy-Axis and Easy-Plane Ln(Trensal) Complexes. Chem. Commun. 2014, 50, 1648–1651. [Google Scholar] [CrossRef] [PubMed]
- Zadrozny, J.M.; Atanasov, M.; Bryan, A.M.; Lin, C.Y.; Rekken, B.D.; Power, P.P.; Neese, F.; Long, J.R. Slow Magnetization Dynamics in a Series of Two-Coordinate Iron(II) Complexes. Chem. Sci. 2013, 4, 125–138. [Google Scholar] [CrossRef]
- Feng, X.; Liu, J.L.; Pedersen, K.S.; Nehrkorn, J.; Schnegg, A.; Holldack, K.; Bendix, J.; Sigrist, M.; Mutka, H.; Samohvalov, D.; et al. Multifaceted Magnetization Dynamics in the Mononuclear Complex [ReIVCl4(CN)2]2–. Chem. Commun. 2016, 52, 12905–12908. [Google Scholar] [CrossRef] [PubMed]
- Ding, Y.S.; Yu, K.X.; Reta, D.; Ortu, F.; Winpenny, R.E.P.; Zheng, Y.Z.; Chilton, N.F. Field- and Temperature-Dependent Quantum Tunnelling of the Magnetisation in a Large Barrier Single-Molecule Magnet. Nat. Commun. 2018, 9, 1–10. [Google Scholar] [CrossRef] [PubMed]
- Liu, X.; Feng, X.; Meihaus, K.R.; Meng, X.; Zhang, Y.; Li, L.; Liu, J.; Pedersen, K.S.; Keller, L.; Shi, W.; et al. Coercive Fields Above 6 T in Two Cobalt(II)–Radical Chain Compounds. Angew. Chem. Int. 2020, 59, 10610–10618. [Google Scholar] [CrossRef] [PubMed]
- Reta, D.; Chilton, N.F. Uncertainty estimates for magnetic relaxation times and magnetic relaxation parameters. Phys. Chem. Chem. Phys. 2019, 21, 23567–23575. [Google Scholar] [CrossRef]
- Wang, R.; Wang, H.; Wang, J.; Bai, F.; Ma, Y.; Li, L.; Wang, Q.; Zhao, B.; Cheng, P. The different magnetic relaxation behaviors in [Fe(CN)6]3− or [Co(CN)6]3− bridged 3d–4f heterometallic compounds. CrystEngComm 2020, 22, 2998–3004. [Google Scholar] [CrossRef]










Publisher’s Note: MDPI stays neutral with regard to jurisdictional claims in published maps and institutional affiliations. |
© 2021 by the authors. Licensee MDPI, Basel, Switzerland. This article is an open access article distributed under the terms and conditions of the Creative Commons Attribution (CC BY) license (https://creativecommons.org/licenses/by/4.0/).
Share and Cite
Dragancea, D.; Novitchi, G.; Mădălan, A.M.; Andruh, M. New Cyanido-Bridged Heterometallic 3d-4f 1D Coordination Polymers: Synthesis, Crystal Structures and Magnetic Properties. Magnetochemistry 2021, 7, 57. https://doi.org/10.3390/magnetochemistry7050057
Dragancea D, Novitchi G, Mădălan AM, Andruh M. New Cyanido-Bridged Heterometallic 3d-4f 1D Coordination Polymers: Synthesis, Crystal Structures and Magnetic Properties. Magnetochemistry. 2021; 7(5):57. https://doi.org/10.3390/magnetochemistry7050057
Chicago/Turabian StyleDragancea, Diana, Ghenadie Novitchi, Augustin M. Mădălan, and Marius Andruh. 2021. "New Cyanido-Bridged Heterometallic 3d-4f 1D Coordination Polymers: Synthesis, Crystal Structures and Magnetic Properties" Magnetochemistry 7, no. 5: 57. https://doi.org/10.3390/magnetochemistry7050057
APA StyleDragancea, D., Novitchi, G., Mădălan, A. M., & Andruh, M. (2021). New Cyanido-Bridged Heterometallic 3d-4f 1D Coordination Polymers: Synthesis, Crystal Structures and Magnetic Properties. Magnetochemistry, 7(5), 57. https://doi.org/10.3390/magnetochemistry7050057

