Abstract
Intermetallic compounds of Dy2Fe16Ga1−xNbx (x = 0.0 to 1.00) were synthesized by arc melting. Samples were investigated for structural, magnetic, and hyperfine properties using X-ray diffraction, vibration sample magnetometer, and Mossbauer spectrometer, respectively. The Rietveld analysis of room temperature X-ray diffraction data shows that all the samples were crystallized in Th2Fe17 structure. The unit cell volume of alloys increased linearly with an increase in Nb content. The maximum Curie temperature Tc ~523 K for x = 0.6 sample is higher than Tc = 153 K of Dy2Fe17. The saturation magnetization decreased linearly with increasing Nb content from 61.57 emu/g for x = 0.0 to 42.46 emu/g for x = 1.0. The Mössbauer spectra and Rietveld analysis showed a small amount of DyFe3 and NbFe2 secondary phases at x = 1.0. The hyperfine field of Dy2Fe16Ga1−xNbx decreased while the isomer shift values increased with the Nb content. The observed increase in isomer shift may have resulted from the decrease in s electron density due to the unit cell volume expansion. The substantial increase in Tc of thus prepared intermetallic compounds is expected to have implications in magnets used for high-temperature applications.
1. Introduction
Intermetallic compounds based on rare-earth elements (R) and 3d-transition elements (T) are important from a fundamental and a technological point of view as they possess outstanding magnetic properties because of their high saturation magnetization, Ms. R2Fe17 (2:17) alloy has the most Fe-content among all R-iron intermetallic and hence they have the highest Ms in the class of intermetallic magnets. However, these compounds have relatively low Curie temperature, Tc. For example, Tc ~473 K for Gd2Fe17 and 370 K for Dy2Fe17, along with low magnetic anisotropies [1]. Various strategies have been employed to address issues related to improving magnetic anisotropy, magnetization, and Curie temperature of R2Fe17 compounds. Efforts in this direction include insertion of metalloids, hydrogen, nitrogen, and carbon in the R2Fe17 matrix [2,3,4,5]. An improvement in the Tc value of Ce2Fe17 [6], Gd2Fe17 [7,8], Dy2Fe17 [9,10], Pr2Fe17 [11], Nd2Fe17 [12], Er2Fe17 [13], Tm2Fe17 [14], Lu2Fe17 [15,16], Ho2Fe17 [17], Sm2Fe17 [18] have been reported by adding metallic atoms like Si, Cr, Mn and metalloids like Ga on Fe sites. The substitution of non-magnetic atoms at Fe sites has been reported to increase the ferromagnetic coupling, leading to an increase in the Tc value [19,20] and magneto-crystalline anisotropy [9] of the compound. Improvements in the Tc of R2Fe17 with substitution of a non-magnetic atom Ga have been reported for Ce2Fe17−xGax [21], Sm2Fe17−xGax [22] compounds, where the maximum in Tc ~462 K was observed for Dy2Fe16Ga1 [9].
Low substitution of Ga content has been identified to increase the Tc of rare-earth intermetallic compound [9]. Additional phases are reported for a higher content of Ga substitution [9]. More recently, replacing one Fe atom with one Nb atom has increased Tc up to 460 K for Dy2Fe16Nb1 [23]. Based on these reports, we proposed studying the co-substitution of Ga and Nb in the Dy2Fe17 compound to increase Tc values further. The study is critical in developing futuristic applications demanding high-temperature operation of magnets such as fast-breeder reactors, ion propulsion engines for spacecraft.
2. Experimental
The raw materials of Dy, Fe, Ga, and Nb metals with 99.9% purity were purchased from Sigma Aldrich (St. Louis, MO, USA). The parent alloys Dy2Fe16Ga1−xNbx (x = 0.0, 0.2, 0.4, 0.6, 0.8 and 1.0) with a stoichiometric amount of elements above were prepared by arc melting under a high purity argon atmosphere. A high degree of homogeneity was ensured by melting the ingots several times. The X-ray diffraction measurement was carried out with CuKα (1.5406 Å) radiation on a Bruker (D8 Advance) X-ray diffractometer via a Vantec detector. Diffraction patterns were collected from 20°–70° with a step of 0.02 degrees. Room temperature (RT) magnetic properties were investigated using a vibrating sample magnetometer (VSM), and Curie temperature, Tc, was measured using Thermal Gravimetric Analysis (TGA) equipped with a permanent magnet. The RT 57Fe Mössbauer spectra were collected in transmission geometry using 25 mCi 57Co in Rh matrix γ-ray source (SEE Co. Mössbauer Spectrometer, Minneapolis, MN, USA). All the isomer shifts were measured relative to α-iron at RT used for calibration. The hyperfine parameters, viz. hyperfine field, HF, isomer shift, IS, and quadrupole shift, QS, were extracted by fitting the Mössbauer spectra using WMoss software (SEE Co. Minneapolis, MN, USA) [24].
3. Results and Discussion
Figure 1 represents the XRD patterns of Dy2Fe16Ga1−xNbx (0.0 ≤ x ≤ 1.0) samples. The spectra show that the samples had Th2Ni17 structure (hexagonal, space group, P63/mmc) without any impurity; however, a small additional peak of NbFe2 and DyFe3 was detected for x = 1.0. The Rietveld [25] refined XRD patterns are shown in Figure 1b. The refined profile shows an excellent match between observed and calculated profiles. During the refinement process, all structural and lattice parameters, peak shift, background profile function, thermal parameters, etc., were refined until the observed profile functions matched with the calculated profile. The initial crystal structure parameter used for the refinement was adapted from Laio et al. [26]. The lattice parameters a and c of Dy2Fe16Ga1−xNbx (0.0 ≤ x ≤ 1.0) are shown in Figure 2, and the corresponding data are listed in Table 1. It is observed from Figure 2 that the unit cell volume increases with the increase in the Nb content, x. The increase in the unit cell volume is due to Nb ionic radius (~0.86 Å) is greater than the ionic radius of Ga (0.62 Å) [27]. The linear increase in the c/a ratio indicates that the unit cell’s expansion along the c-axis is greater than that along the a-axis. Considering the fact that the 6c(4f) dumbbell site is located along the c-axis, the c-axis expansion could affect the Tc value of the 2:17 compound [1]. The c/a ratio deviates at higher Nb concentrations (x = 1.0) due to the formation of secondary phases. In addition, it is observed from Table 1 that the average bond distance between each site changes with the concentration of both Nb and Ga (6c(4f-4f) ≈ 2.42 Å, 12k-12k ≈ 2.43 Å, 12j-12j = 2.46 Å). The 12j-12j sites show that both Ga and Nb prefer to stay in the same sites.
Figure 1.
(a) X-ray diffraction patterns of Dy2Fe16Ga1−xNbx compounds. (b) Rietveld refinement profile for Dy2Fe16Ga1−xNbx.
Figure 2.
Lattice parameter a and c with the unit cell volume of Dy2Fe16Ga1−xNbx as a function of x, Nb content.
Table 1.
Lattice parameters, volume, site occupancy, Ms, and Tc of Dy2Fe16Ga1−xNbx.
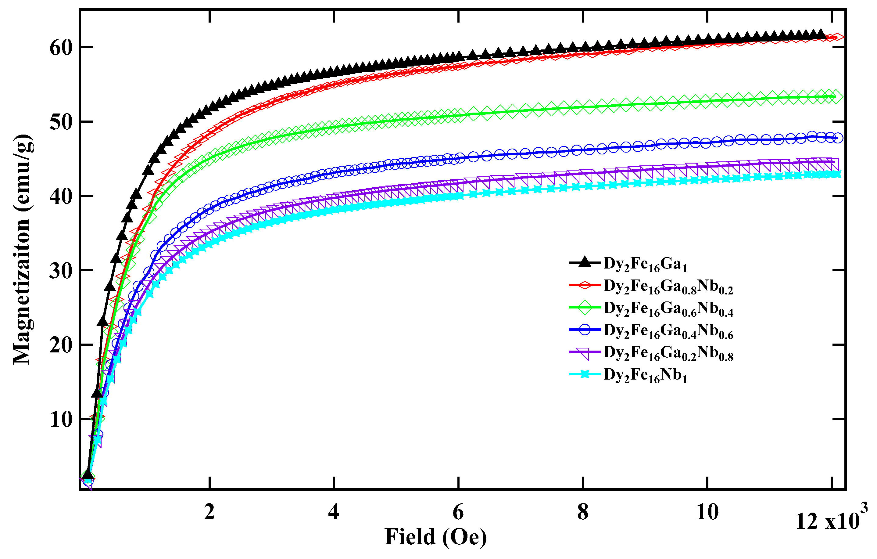
Figure 3 shows the room temperature M vs. H magnetization plot for Dy2Fe16Ga1−xNbx. The M vs. H plot shows that the Ms decreases with the increase in the Nb content. The Ms as a function of Nb content, x, of Dy2Fe16Ga1−xNbx is plotted in Figure 4. From Figure 4, it is observed that the Ms of Dy2Fe16Ga1−xNbx decreases at the rate of −3.7 emu/g per Nb atom. The decrease in the magnetization of substituted R2Fe17 compounds can be understood based on 3d band model. Inherently R2Fe17 compounds are weak ferromagnets because both spin-up and spin-down bands are filled incompletely. The reduction in the Fe magnetic moment upon non-magnetic atom substitution results from the transfer of valence electrons of the substituted atom to the 3d band of Fe [28,29], which progressively fills the 3d band and moves the Fermi level up. A decrease in Fe magnetic moment is due to the electronic hybridization effect in R2Fe17Mx with M = Ga, Al, and Si is well reported in the literature [30,31]. This decrease in Fe moment with the substitution is due to Fe ([Ar]3d64s2)–Ga([Ar]4s24p1), Fe–Al ([Ne]3s23p1) and Fe–Si ([Ne]3s23p2) electronic hybridizations. The decrease in the magnetic moment in Nb substituted Dy2Fe16Ga1-xNbx compound is due to indirect (3d-4s-4d) hybridization between Fe ([Ar]3d64s2), Ga([Ar]4s24p1), and Nb ([Kr]4d45s1), which reduces the spin polarization of Fe-3d states, resulting in a net decrease in the magnetic moment. In a study reported by Lekdadri et al.; on Co1−xNbx alloy, cobalt moment was observed to decrease with increasing Nb content in the alloys due to a similar hybridization effect [32].
Figure 3.
RT magnetization plot for Dy2Fe16Ga1−xNbx.
Figure 4.
Room temperature (RT) saturation magnetization, Ms, as a function of x, Nb content.
The Curie temperature, Tc, of Dy2Fe16Ga1−xNbx as a function of Nb content is shown in Figure 5. It is observed that Curie temperature of Dy2Fe16Ga1−xNbx alloys increases with increase in Nb concentration from 488 K (x = 0.00) to a maximum of 523 K (x = 0.6) and then decreases to 460 K (x = 1.00). The achieved Tc for Dy2Fe16Ga0.4Nb0.6 is 35 K higher than that of Dy2Fe17Ga1 and 153 K higher than that of Dy2Fe17 [10]. In general, Tc in rare-earth intermetallic compound is due to three kinds of exchange interactions, namely the 3d-3d exchange interactions, i.e., between the magnetic moment of the Fe sub-lattice (JFeFe), 4f-4f exchange interaction, i.e., the interaction between the magnetic moment within the R sub-lattice (JRR), and the inter sub-lattice 3d-4f exchange interaction (JRFe). It is reported that the Tc increases with an increase in the JFeFe [33]. The interactions between the rare-earth spins (4f-4f) are assumed to be weak and negligible compared to the other two types of interactions. Thus, the Tc in the R2Fe17 intermetallic compound is mainly dictated by JFeFe. The strength of Fe–Fe exchange interaction highly depends on interatomic Fe–Fe distance [34,35]. Accordingly, the exchange interactions between iron atoms situated at distances smaller (greater) than 2.45–2.50 Å are negative (positive). In the R2Fe17, the majority of Fe–Fe distances favor the negative interaction [9]. The negative exchange interaction can be reduced either by volume expansion or by reducing the number of Fe–Fe pairs with negative exchange interactions. The low TC observed in the parent Dy2Fe17 compound is believed to result from the antiferromagnetic coupling of Fe–Fe moments at the 6c(4f) sites [36]. Their Fe–Fe distance separation is less than 2.45 Å needed for the ferromagnetic ordering Table 1, [37]. An increase in Tc has been reported earlier with Ga substitution (x = 1) [9] but with a concomitant decrease in magnetization due to the magnetic dilution effect. However, the simultaneous substation of non-magnetic Ga and Nb atoms enhances the intermetallic Curie temperature without significantly lowering the saturation magnetization. It is noted from Table 1 that 4f-4f distances steadily increase with the Nb content, thus making JFEFe more positive with a steady improvement in the Tc value.
Figure 5.
Curie temperature as a function of x, Nb content.
Figure 6 shows the room temperature fitted Mössbauer spectra for Dy2Fe16Ga1−xNbx. The hyperfine parameters viz. hyperfine field, HF, and isomer shift, IS, extracted from the fits are plotted in Figure 7 and listed in Table 2. Dy2Fe17 compounds have a basal magnetization that needs eight magnetic sextets to fit their Mössbauer spectra [38]. The fitting of spectra, shown in Figure 7, was carried out with eight magnetic sextets assigned to 4f, 6g, 12j, and 12k sites in Dy2Fe17 [21,39,40,41]. The Mössbauer spectral analysis was carried out with magnetic sextets assigned to the 4f, 6g, 12j, and 12k sites in Dy2Fe17−xNbx. The 12j and 12k sites were further split into two, corresponding to the site occupancies of Fe atoms in the crystal structure of R2Fe17 with planar anisotropy. The intensities of the six absorption lines of each sextet were assumed to follow the 3:2:1 intensity ratio expected for randomly oriented powder samples in zero magnetic fields, and a single common linewidth was assumed for all the seven sextets. The isomer shifts (δ) for the magnetically inequivalent sites were constrained to be the same, whereas the hyperfine fields were expected to vary at pairs of magnetically inequivalent sites due to variations in the dipolar and orbital contributions to the magnetic hyperfine fields [42]. Doublets were used for additional phases for x = 1.0 to include paramagnetic phases DyFe3 and NbFe2 during Mössbauer fitting. It was found that the additional doublet covered 8.86% of the area. This is in confirmation of the additional phases observed in the x-ray diffraction pattern. From Table 2, it is evident that the HF follows a 4f(6c) > 6g(9d) > 12j(18f) > 12k(18h) sequence, which is similar to the sequence observed in other similar RE2Fe17 compounds [43,44].
Figure 6.
RT Mössbauer fitted spectra for Dy2Fe16Ga1−xNbx.
Figure 7.
RT Mössbauer hyperfine parameters and isomer shift plots as a function of x, Nb content.
Table 2.
The RT hyperfine parameters, hyperfine field (HF) (kOe), isomer shift (IS) (mm/s), quadrupole shift (QS) (mm/s), and area (%) of the Dy2Fe16Ga1−xNbx.
From Figure 7, it is observed that the HF decreases with an increase in Nb content which is in agreement with the reduction in the magnetic moment. On the other hand, the isomer shift value increases with the Nb content. The isomer shift value reflects s-electron charge density at the Fe nucleus. With the unit cell volume expansion upon Nb substitution, the s-electron charge density at the Fe nucleus decreases, resulting in a concomitant increase in the isomer shift value.
4. Conclusions
In the present study, single phase Dy2Fe16Ga1−xNbx intermetallics were successfully synthesized using arc melting. The X-ray powder diffraction (XRD) results and the Rietveld refinements show that the samples have a Th2Ni17-type structure (space group, P63/mmc). The XRD patterns show the presence of impurities phases DyFe3 and NbFe2 at higher Nb content (x > 0.80) only, which is also confirmed by Mossbauer spectral analysis. Rietveld analysis shows a linear unit-cell volume expansion with increasing Nb content. The reduction in Ms of Dy2Fe16Ga1−xNbx at 300 K with an increase in Nb content is attributed to the hybridization effect. For Dy2Fe16Ga0.4Nb0.6, maximum Tc was observed to 523 K, which is 35 K higher than the Dy2Fe16Ga compound and 153 K more elevated than its parent compound Dy2Fe17. The hyperfine fields, HF, of Dy2Fe16Ga1−xNbx decreased upon Nb substitution, reflecting moment reduction. The enhancement in the Curie temperature of thus prepared Dy2Fe16Ga1−xNbx compound with a judicious choice of Ga and Nb content can be helpful in areas demanding the high-temperature operation of magnets.
Author Contributions
Data Curation, Conceptual ion, Methodology and writing original draft preparation, formal analysis, investigation, visualization, J.N.D.; Revising/Editing the original draft, validation, resources, S.R.M.; Rietveld analysis, reviewing and editing, K.S.S.A. All authors have read and agreed to the published version of the manuscript.
Funding
This research received no external funding.
Institutional Review Board Statement
The study did not involve humans or animals.
Acknowledgments
The authors would like to acknowledge NSF-CMMI (Grant#: 1029780) for financially supporting this work.
Conflicts of Interest
The authors declare no conflict of interest.
References
- Strnat, K.J. Chapter 2—Rare earth-cobalt permanent magnets. In Handbook of Ferromagnetic Materials; Elsevier: Amsterdam, The Netherlands, 1988; Volume 4, pp. 131–209. [Google Scholar]
- Isnard, O.; Miraglia, S.; Soubeyroux, J.L.; Fruchart, D. Neutron powder diffraction study of R2Fe17Hx compounds with R = Pr and Nd. Solid State Commun. 1992, 81, 13–19. [Google Scholar] [CrossRef]
- Hautot, D.; Long, G.J.; Grandjean, F.; Isnard, O.; Miraglia, S. Hydrogen dynamics in the hydrides of Pr2Fe17 as revealed by Mössbauer spectroscopy. J. Appl. Phys. 1999, 86, 2200–2207. [Google Scholar] [CrossRef]
- Grandjean, F.; Long, G.J.; Mishra, S.; Pringle, O.A.; Isnard, O.; Miraglia, S.; Fruchart, D. A Mössbauer effect study of the interstitial hydrides and nitride of Nd2Fe17. Hyperfine Interact. 1995, 95, 277–289. [Google Scholar] [CrossRef]
- Hautot, D.; Long, G.J.; Grandjean, F.; Isnard, O.; Fruchart, D. An 57Fe Mössbauer spectral study of Gd2Fe17Hx (for x = 0, 3, and 5) and Sm2Fe17D5. J. Magn. Magn. Mater. 1999, 202, 107–118. [Google Scholar] [CrossRef]
- Long, G.J.; Marasinghe, G.K.; Mishra, S.; Pringle, O.A.; Hu, Z.; Yelon, W.B.; Middleton, D.P.; Buschow, K.H.J.; Grandjean, F. A Magnetic, Neutron Diffraction, and Mössbauer Spectral Study of the Nd2Fe17−xAlx Solid Solutions. J. Appl. Phys. 1994, 76, 5383–5393. [Google Scholar] [CrossRef]
- Kokorina, E.; Medvedev, M.V.; Nekrasov, I. Ab Initio Exchange Interactions and Magnetic Properties of Intermetallic Compound Gd2Fe17−xGax. Solid State Phenom. 2011, 168–169, 196–199. [Google Scholar]
- Dahal, J.N.; Ali, K.S.; Mishra, S.R.; Alam, J. Structural, Magnetic, and Mössbauer Studies of Transition Metal-Doped Gd2Fe16Ga0.5TM0.5 Intermetallic Compounds (TM = Cr, Mn, Co, Ni, Cu, and Zn). J. Magnetochem. 2018, 4, 54. [Google Scholar] [CrossRef]
- Shen, B.-G.; Cheng, Z.-H.; Gong, H.-Y.; Liang, B.; Yan, Q.-W.; Zhan, W.-S. Magnetic anisotropy of Dy2Fe17−xGax compounds. Solid State Commun. 1995, 95, 813–816. [Google Scholar] [CrossRef]
- Dahal, J.N.; Ali, K.S.; Mishra, S.R.; Neupane, D. Effect of Ga and Zr Substitution on the Properties of Dy2Fe17−XZrX and Dy2Fe16Ga1−xZrx (0 ≤ x ≤ 1) Intermetallic Compounds Prepared via Arc Melting Process. J. Magnetochem. 2020, 6, 9. [Google Scholar] [CrossRef]
- Gorria, P.; Alvarez, P.; Marcos, J.S.; Llamazares, J.L.S.; Parez, M.J.; Blanco, J.A. Crystal structure, magnetocaloric effect and magnetovolume anomalies in nanostructured Pr2Fe17. Acta Mater. 2009, 57, 1724–1733. [Google Scholar] [CrossRef]
- Isnard, O.; Guillot, M. Investigation of magnetic properties of Nd2Fe17 and Nd2Fe17Hx in high magnetic field. J. Appl. Phys. 2000, 86, 5326–5328. [Google Scholar] [CrossRef]
- Grandjean, F.; Isnard, O.; Hautot, D.; Long, G.J. A structural, magnetic, and Mössbauer spectral study of Er2Fe17 and hydrides. Phys. Rev. B 2000, 63, 144061. [Google Scholar] [CrossRef]
- Hao, Y.; Zhang, X.; Wang, B.; Yuang, Y.; Wang, F. Anomalous thermal expansion and magnetic properties of Tm2Fe17−xCrx compounds. J. Appl. Phys. 2010, 108, 023915. [Google Scholar] [CrossRef]
- Kunchin, A.; Iwasieczko, W. Enhancement of the magnetocaloric effect in the Lu2Fe17−xMnx system. Solid State Commun. 2010, 150, 1580–1583. [Google Scholar] [CrossRef]
- Arnold, Z.; Kunchin, A.; Kamarad, J. Instability of the ferromagnetic ground state in Lu2Fe17−xMx[x = 0.5, 0.7]. J. Appl. Phys. 2012, 111, 07E310. [Google Scholar] [CrossRef]
- Wang, F.; Shen, B.-G.; Zhang, P.; Cheng, Z.-H.; Zhang, J.; Gong, H.; Liang, B.; Sun, X.; Yan, Q. Effect of Ga substitution on the structure and magnetic properties of Ho2Fe17−xGax (x = 0–8) compounds. J. Appl. Phys. 1998, 83, 3250–3255. [Google Scholar] [CrossRef]
- Wang, Z.; Dunlap, R.A. Effects of Al substitutions on the magnetic anisotropy of Sm2Fe17 compounds. J. Phys. Condens. Matter 1993, 5, 1407–1414. [Google Scholar] [CrossRef]
- Li, D.; Zhang, J.; Dowben, P.A.; Garrison, K. Evidence for imperfect ferromagnetic coupling between the Gd(0001) surface and the bulk. J. Phys. Condens. Matter 1993, 5, L73. [Google Scholar] [CrossRef]
- Wang, Z.; Dunlap, R.A. Investigation of the hard-magnetic properties of Sm2Fe17 compounds with Ga substitution. Philos. Mag. B 1994, 69, 103–111. [Google Scholar] [CrossRef]
- Long, G.J.; Mishra, S.R.; Pringle, O.A.; Yelon, W.B.; Hu, Z.; Grandjean, F.; Middleton, D.P.; Buschow, K.H.J. A magnetic, neutron diffraction and Mossbauer spectral study of the Ce2Fe17−xGax solid solution. J. Magn. Magn. Mater. 1997, 176, 217–232. [Google Scholar] [CrossRef]
- Zhang, Y.; Budnick, J.I.; Hines, W.A.; Shen, B.G.; Cheng, Z. Effect of Ga substitution on the Sm sublattice anisotropy in Sm2Fe17−xGax (0 < x < 8). J. Appl. Phys. 1999, 85, 4663–4665. [Google Scholar]
- Rai, B.; Ali, K.S.; Mishra, S.; Khanra, S.; Ghosh, K. A structural, magnetic and Mossbauer study of the Dy2Fe17−xNbx solid solutions. J. Magn. Magn. Mater. 2014, 353, 51–56. [Google Scholar] [CrossRef]
- Kent, T.A. Wmoss Mossbauer Spectral Analysis Software; Report; WEB Research Co.: Edmonton, AB, Canada, 1993. [Google Scholar]
- Rietveld, H.M. A profile refinement method for nuclear and magnetic structures. J. Appl. Cryst. 1969, 2, 65. [Google Scholar] [CrossRef]
- Liao, L.X.; Altounican, Z.; Ryan, D.H. Cobalt site preferences in iron rare-earth-based compounds. Phy. Rev. B 1993, 47, 11230. [Google Scholar] [CrossRef] [PubMed]
- Ulyanov, A.N.; Kim, J.S.; Shin, G.M.; Song, K.J.; Kang, Y.M.; Yoo, S.I. La0:7Ca0:3Mn0:95M0:05O3 manganites (M = Al, Ga, Fe, Mn, and In):Local structure and electron configuration effect on Curie temperature and magnetization. Phys. B Condens. Matter 2007, 388, 16–19. [Google Scholar] [CrossRef]
- Suresh, K.G.; Rama Rao, K.V.S. Fe 57 Mossbauer investigation on (Er,Pr)2(Fe,Al)17 compounds and their nitrides. Phys. Rev. B 1997, 55, 15060. [Google Scholar] [CrossRef]
- Hu, B.P.; Li, H.S.; Sun, H.; Coey, J.M.D. A 5e Mossbauer study of a new series of rare-earth iron nitrides: R2Fe17N3- delta. J. Phys. Condens. Mater. 1991, 3, 3983. [Google Scholar] [CrossRef]
- Huang, M.Z.; Ching, W.Y. Effects of Al substitution in Nd2Fe17 studied by first-principles calculations. J. Appl. Phys. 1994, 76, 7046–7048. [Google Scholar] [CrossRef]
- Huang, M.Z.; Ching, W.Y. First-principles calculation of the electronic and magnetic properties of Nd2Fe17−xMx (M = Si, Ga) solid solutions. J. Appl. Phys. 1996, 79, 5546–5549. [Google Scholar] [CrossRef]
- Lekdadri, A.; Chami, R.; Saadi, A.; Lassri, H.; Omari, L.H. First-principle study of electronic and magnetic properties in cobalt-niobium alloys. Mater. Today Proc. 2021, 37, 3813–3820. [Google Scholar] [CrossRef]
- Rao, K.R.; Ehrenberg, H.; Markandeyulu, G.; Varadaraju, U.; Venkatesan, M.; Suresh, K.; Murthy, V.; Schmidt, P.; Fuess, H. On the Structural and Magnetic Properties of R2Fe17−x(A,T)x (R = Rare Earth; A = Al, Si, Ga; T = Transition Metal) Compounds. Phys. Status Solidi 2002, 189, 373–388. [Google Scholar] [CrossRef]
- Neél, L. Propriétés magnétiques de l’état métallique et énergie d’interaction entre atoms magnétiques. Ann. Phys. 1936, 5, 232. [Google Scholar] [CrossRef]
- Li, Z.W.; Morrish, A.H. Negative exchange interactions and Curie temperatures for Sm2Fe17 and Sm2Fe17Ny. Phys. Rev. B 1997, 55, 3670. [Google Scholar] [CrossRef]
- Bara, J.J.; Pedziwiatr, A.T.; Zarek, W. Investigations of crystal and magnetic properties of Dy-Fe intermetallic compounds. J. Magn. Magn. Mater. 1982, 27, 168–174. [Google Scholar] [CrossRef]
- Valeanu, M.; Plugaru, N.; Burzo, E. Effect of nitrogenation on the magnetic properties of Y2Fe17−xMx compounds, with M = Al, Ga or Si. Solid State Commun. 1994, 89, 519. [Google Scholar] [CrossRef]
- Isnard, O.; Hautot, D.; Long, G.L.; Grandjean, F. A structural magnetic and Mossbauer spectral study of Dy2Fe17 and hydrides. J. App. Phys. 2000, 88, 2750–2759. [Google Scholar] [CrossRef]
- Buschow, K.H.J.; Wieringen, J.S.V. Crystal structure and magnetic properties of cerium-iron compounds. Phys. Status Solidi 1970, 42, 231. [Google Scholar] [CrossRef]
- Levinson, L.M.; Rosenberg, E.; Shaulov, A.; Strnat, K. Mössbauer Study of Some 2–17 Lanthanide-Iron Compounds. J. Appl. Phys. 1970, 41, 910–912. [Google Scholar] [CrossRef]
- Alp, E.E.; Umarji, A.M.; Malik, S.K.; Shenoy, G.K.; Huang, M.Q.; Boltich, E.B.; Wallace, W.E. 57Fe Mössbauer studies on Si-substituted Er2Fe17. J. Magn. Magn. Mater. 1987, 68, 305–308. [Google Scholar] [CrossRef]
- Wang, J.L.; Campbell, S.J.; Tegus, O.; Marquina, C.; Ibarra, M.R. Magnetovolume effect and magnetic properties of Dy2Fe17−xMnx. Phys. Rev. B 2007, 75, 174423. [Google Scholar] [CrossRef]
- Grandjean, F.; Isnard, O.; Long, G.J. Magnetic and Mössbauer spectral evidence for the suppression of the magnetic spin reorientation in Tm2Fe17 by deuterium. Phys. Rev. B 2002, 65, 064429. [Google Scholar] [CrossRef]
- Long, G.J.; Isnard, O.; Grandjean, F. A Mössbauer spectral study of the magnetic properties of Ho2Fe17 and Ho2 Fe17D3.8. J. Appl. Phys. 2002, 91, 1423–1430. [Google Scholar] [CrossRef]
Publisher’s Note: MDPI stays neutral with regard to jurisdictional claims in published maps and institutional affiliations. |
© 2021 by the authors. Licensee MDPI, Basel, Switzerland. This article is an open access article distributed under the terms and conditions of the Creative Commons Attribution (CC BY) license (http://creativecommons.org/licenses/by/4.0/).






