Abstract
Dinuclear and polymer complexes of 4-phenylpyridine (4-phpy), pyazine (pyz), and 4,4′-bipyridine (4,4′-bpy) were prepared by using cis-[Rh2(4-Me-pf)2(O2CR)2] (4-Me-pf- =N,N’-bis(4-methylphenyl)formamidinate anion; R = CF3 and CMe3) as precursor dinuclear units. The dinuclear structures of cis-[Rh2II,II(4-Me-pf)2(O2CR)2(4-phpy)2] and cis-[Rh2II,III(4-Me-pf)2(O2CCMe3)2(4-phpy)2]BF4 and polymer structures of [Rh2II,II(4-Me-pf)2(O2CR)2(L)]n (L = pyz and 4,4′-bpy) were confirmed by X-ray crystal structure analyses. In these complexes, the lantern-type dinuclear core structures with cis-(2:2) arrangement of formamidinato (4-Me-pf-) and carboxylato ligands are preserved with Rh–Rh distances of 2.44–2.47 Å, regardless of the difference in the axial ligand and oxidation state Rh2II,II or Rh2II,III. In the cyclic voltammograms (CVs) in CH2Cl2, the redox potentials for Rh2II,III/Rh2II,II were estimated as E1/2 = 0.07 V and −0.28 V (vs. Fc+/Fc) for cis-[Rh2(4-Me-pf)2(O2CCF3)2(4-phpy)2] and cis-[Rh2(4-Me-pf)2(O2CCMe3)2(4-phpy)2], respectively, negatively shifted by 0.16 and 0.12 V compared with those of corresponding parent dinuclear complexes. The results were interpreted that the axial interaction with 4-phpy ligands makes the Rh2II,II core oxidized easily. The oxidized complex cis-[Rh2(4-Me-pf)2(O2CCMe3)2(4-phpy)2]BF4 is paramagnetic, which was confirmed by effective magnetic moment value μeff = 1.90 μB at 300 K per Rh2II,III unit (S = 1/2). The polymer complexes [Rh2(4-Me-pf)2(O2CR)2(L)]n (L = pyz and 4,4′-bpy) showed Type II gas-adsorption properties for N2.
1. Introduction
Tetra-μ-carboxylatodimetal complexes ([M2(O2CR)4]0/n+) with a lantern-type structure have been known for many transition metal ions [1,2]. We have been studying on the use of the dimetal complexes as building blocks in combination with N,N’-donating linker ligands such as pyrazine (pyz) and 4,4′-bipyridine (4,4′-bpy) to produce assembled polymer complexes [3,4,5,6,7,8,9,10,11,12,13,14,15,16,17,18,19,20,21,22,23,24]. We have reported N2 gas occlusion properties of a pyz-linked complex [Cu2(O2CPh)4(pyz)]n [9,10]. The CO2 gas occlusion was later reported for a polymer complex of tetrabenzoatodirhodium(II) units linked by pyrazine [Rh2(O2CPh)4(pyz)]n [25]. N,N’-bis(alkylphenyl)formamidinate anions (R-pf-) work as bidentate ligands to form the lantern-type dinuclear complexes [Rh2(R-pf)4] (R-pf– = N,N’-bis(alkylphenyl)formamidinate anion (Scheme 1)) [1,2]. In 1987, Piraino reported on synthesis and a crystal structure of [Rh2(4-Me-pf)4] (4-Me-pf– =N,N’-bis(4- methylphenyl)formamidinate anion), which was synthesized through cis-[Rh2(4-Me-pf)(O2CCF3)2] (1) (Scheme 2a) by using its reaction with H(4-Me-pf) [26,27].
Scheme 1.
Chemical structure of 4-R-pf –.
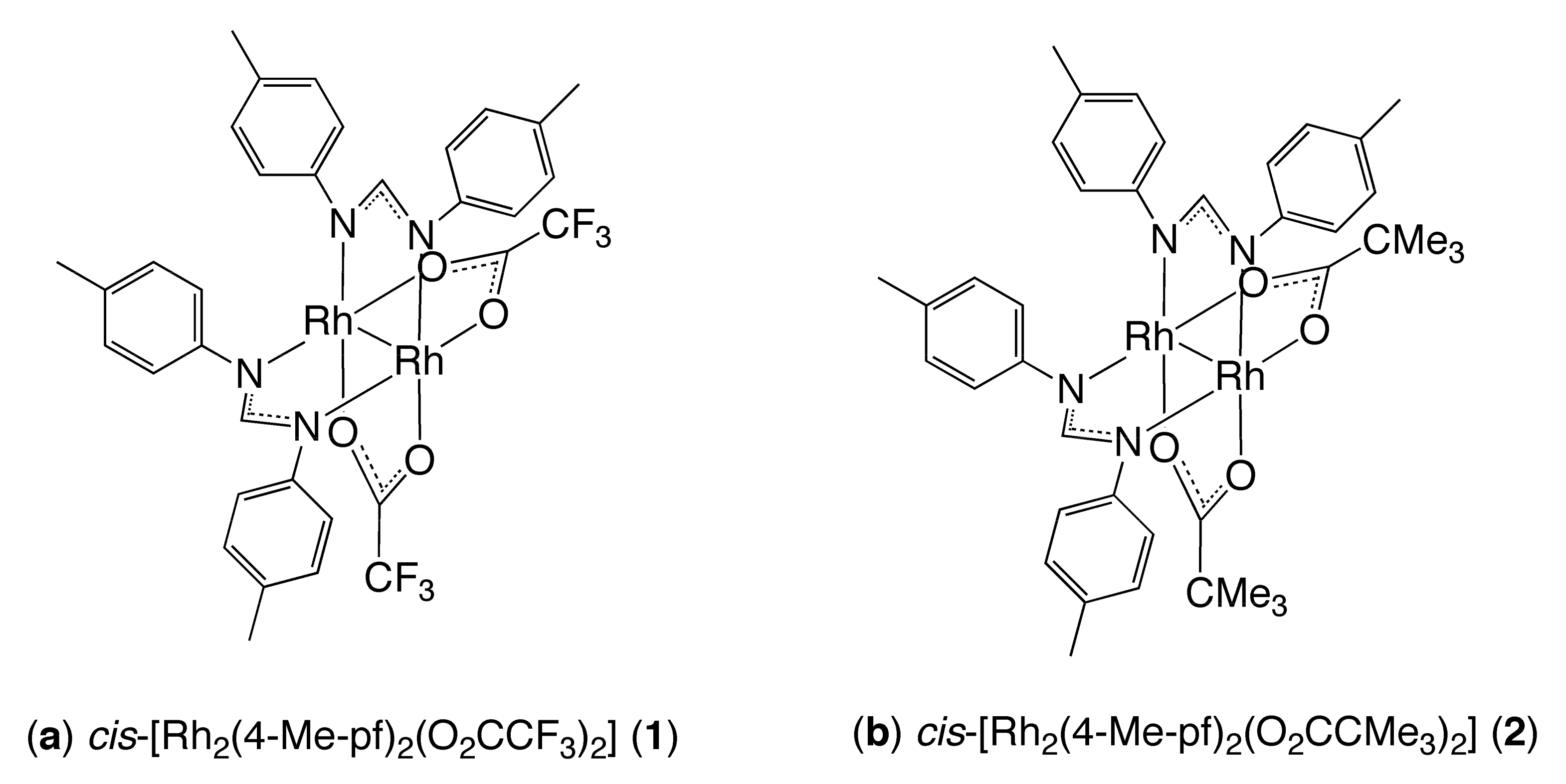
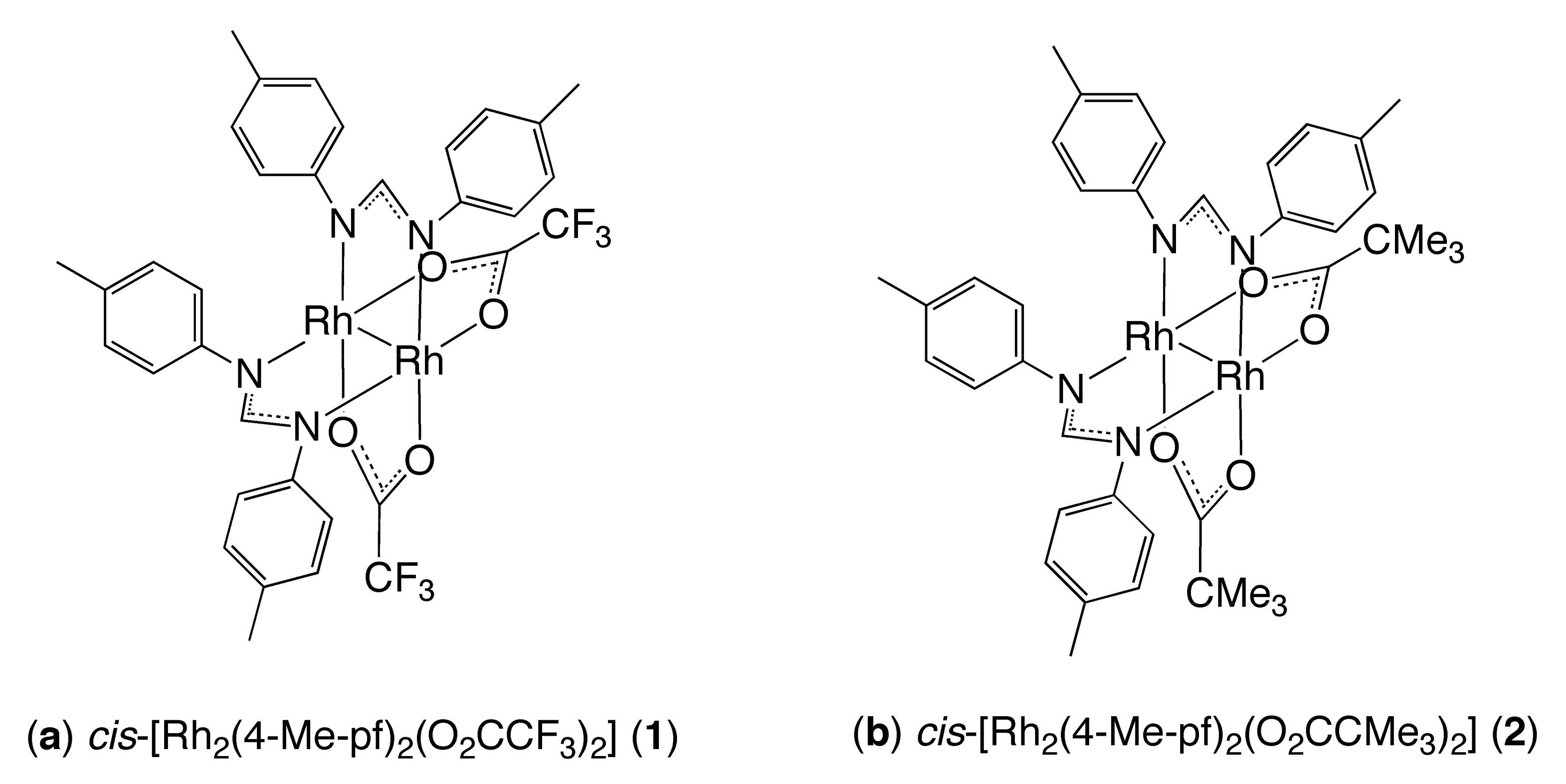
Scheme 2.
Chemical structures of cis-[Rh2(4-Me-pf)2(O2CR)2] (R = CF3 (1) and CMe3(2)).
The formamidinate ion more strongly coordinates to metal ion than carboxylate ion because the amidinate nitrogen has a stronger donating nature than the carboxylate oxygen. The robust dinuclear complexes [Rh2(R-pf)4] are considered to be suitable as the building block in combination with linker ligands for producing their assembled complexes. However, both of the axial sites of [Rh2(R-pf)4] are crowded with four aryl groups of the amidinato-bridges, which makes the coordination of axial linkers such as pyz and 4,4′-bpy ligands impossible. Only a bidentate ligand 1,4-diisocyanobenzene (1,4-dib) with longer NC ligating arms from a benzene ring (Scheme 3) can coordinate to the Rh ion through the axial crowded space, giving a polymer complex [Rh2(4-Me-pf)4(1,4-dib)]n, which was isolated from the benzene and toluene solution [28,29]. A hexanuclear complex [{Rh2(4-Me-pf)4}3(1,4-dib)2] was isolated from the dichloromethane solution [28], while a tetranuclear complex [{Rh2(dpf)4}2(1,4-dib)] (dpf– = N,N’-diphenylformamidinate anion) was also isolated from dichloromethane solution [30]. We preliminarily showed that pyz could work as a linker ligand for cis-[Rh2(R-pf)2(O2CCF3)2] with less crowded axial sites compared with [Rh2(R-pf)4] based on the crystal structure of [Rh2(4-Et-pf)2(O2CCF3)2(pyz)]n·n(toluene) (4-Et-pf– = N,N’-bis(4-ethylphenyl)formamidinate anion), such a study has not been performed since then [31].
Scheme 3.
Chemical structure of 1,4-dib.
We recently reported on the crystal structure and absorption spectral and electrochemical properties of cis-[Rh2(4-Me-pf)2(O2CCMe3)2] (2) (Scheme 2b), which was synthesized by the substitution of trifluoroacetato (CF3CO2–) bridges of 1 to pivalato (CMe3CO2–) bridges [32]. Complex 2 is relatively easy to be oxidized from Rh2II,II to Rh2II,III species; E1/2 for Rh2II,III/Rh2II,II (measured by cyclic voltammograms (CVs) in CH2Cl2 containing 0.1 M TBA(PF6)) = 0.32 V vs SCE (for 2), 0.71 V vs SCE (for 1), and 0.09 V vs. SCE (for [Rh2(4-Me-pf)4]) [27]. This is advantageous as a building block giving the paramagnetic assembly based on the spin (S = 1/2) of the Rh2II,III species, whereas the Rh2II,II species is diamagnetic. Such assembled Rh2II,III complexes are hopefully expected as new magnetic materials showing gas occlusion properties. We started the research to examine the following three points: (1) Less crowded axial sites of 1 and 2 can be coordinated by bidentate linker ligands such as pyz and 4,4′-bpy, (2) Rh2II,III complexes with the axial ligands can be isolated without decomposition and are characterized by magnetic and absorption spectral measurements to clarify their potentialities as building blocks, (3) Molecular or assembled structures are determined by X-ray single-crystal structure analysis, which is one of the most powerful characterization tools to see if the desired compounds are formed. We successfully obtained bis-adduct Rh2II,II and Rh2II,III complexes of 4-phpy (4-phenylpyridine) [Rh2II,II(4-Me-pf)2(O2CR)2(4-phpy)2] (R = CF3 and CMe3) and [Rh2II,III(4-Me-pf)2(O2CR)2(4-phpy)2]BF4 and polymer complexes [Rh2II,II(4-Me-pf)2(O2CR)2(L)]n (L = pyz and 4,4′-bpy). Their crystal structures, spectral, electrochemical and magnetic properties and N2 gas adsorption properties are presented in this report.
2. Results and Discussion
2.1. Bis-Adduct Rh2II,II Complexes of 4-phpy
The molecular structures of cis-[Rh2(4-Me-pf)2(O2CCF3)2(4-phpy)2] (3) and cis-[Rh2(4-Me-pf)2(O2CCMe3)2(4-phpy)2] (4) are shown in Figure 1 and Figure 2, respectively, which confirm the cis-(2:2) arrangement of the bridging ligands. The 4-phpy ligand is coordinated to each dinuclear unit with distances of 2.3045(17) Å for 3 and 2.289(2) Å for 4, respectively. The Rh–Rh bond distances are 2.4702(3) Å for 3 and 2.4428(4) Å for 4, respectively. The Rh–Rh distances of dinuclear complexes cis-[Rh2(4-Me-pf)2(O2CCF3)2(H2O)2]·0.5C6H6 (1(H2O)2·0.5C6H6), cis-[Rh2(4-Me-pf)2(O2CCF3)2(MeCN)2] (1(MeCN)2) and cis-[Rh2(4-Me-pf)2(O2CCMe3)2(MeCN)2] (2(MeCN)2) were reported to be 2.425(1) Å, 2.474(5) Å, and 2.4343(6) Å, respectively [26,32,33]. The enhanced acidity of Rh(II) ion due to the introduced fluorine atoms on carboxylate bridges of 1 could lead to large elongation of Rh–Rh distance found for 1(MeCN)2 (2.474(5) Å) and 3 (2.4702(3) Å), when taking into account that 1(H2O)2•0.5C6H6 has a shorter Rh–Rh distance of 2.425(1) Å with axial coordination of less basic water oxygen atoms [26]. The dinuclear complexes 2(MeCN)2 and 4 have similar Rh–Rh distances of 2.4343(6) Å for 2(MeCN)2 and 2.4428(4) Å for 4, which means that MeCN and 4-phpy have similar basicity for the Rh atom of the dinuclear complexes. Packing diagram of 4 is shown in Figure 3. There is a short contact between carbon atoms, which are described by dotted lines, probably due to the π–π stacking (C•••C = 3.343 Å).
Figure 1.
ORTEP view of cis-[Rh2(4-Me-pf)2(O2CCF3)2(4-phpy)2] (3), showing thermal ellipsoids at the 50% probability level. Hydrogen atoms are omitted for clarity. The prime refers to the equivalent position (1/2–x, 1/2–y, z).
Figure 2.
ORTEP view of cis-[Rh2(4-Me-pf)2(O2CCMe3)2(4-phpy)2] (4), showing thermal ellipsoids at the 50% probability level. Hydrogen atoms are omitted for clarity. The prime refers to the equivalent position (1–x, y, 1/2–z).
Figure 3.
Packing diagram of cis-[Rh2(4-Me-pf)2(O2CCMe3)2(4-phpy)2] (4).
Diffuse reflectance spectra of 3 and 4 are shown in Figure 4, with those of respective parent dinuclear complexes of 1 and 2. On the axial coordination of 4-phpy, spectral features are changed for both of the complexes 3 and 4, compared with those of the parent dinuclear complexes. Usually, the visible bands (600 ~ 800 nm) assigned as π* → σ* transition within the Rh2 core for lantern-type dirhodium(II) tetracarboxylates are blue-shifted due to the axial σ-interaction, which makes σ* orbital energy higher [34,35]. Such axial interactions may occur in 3 and 4; the visible bands at λmax = 592 nm for 1 and λmax = 670 nm for 2 are blue-shifted to λmax = 515 nm for 3 and λmax = 500 nm for 4, respectively. However, the visible band origins of the present complexes could be different from the π* → σ* transitions within the dinuclear cores because, based on the time-dependent density functional theory (TD-DFT) calculation results, the main component of the band observed in the longest wavelength region for 2 (λmax = 613 nm in MeCN) was previously assigned as a δ* (HOMO) → σ* (LUMO) transition within the dinuclear core, although the corresponding lowest energy band of 1 (λmax = 516 nm in MeCN) was also assigned as a δ* (HOMO) → δ* (LUMO + 1) transition [32]. The axial interactions were also confirmed to be present in the CH2Cl2 solutions. Absorption spectra of 1–4 measured in CH2Cl2 with 1.0 x 10−4 M are given in Figure 5. The visible bands of 3 (λmax = 571 nm) and 4 (λmax = 584 nm) appear at shorter wavelength region compared with those of 1 (λmax = 675 nm) and 2 (λmax = 700 nm), respectively. The band positions for 3 and 4 are nearly the same at higher concentration (1.0 × 10−3 M), respectively (Figure S1).
Figure 4.
Diffuse reflectance spectra of cis-[Rh2(4-Mepf)2(O2CCF3)2(4-phpy)2] (3) and cis-[Rh2(4-Me-pf)2(O2CCMe3)2(4-phpy)2] (4) with their parent dinuclear complexes cis-[Rh2(4-Me-pf)2(O2CCF3)2] (1) and cis-[Rh2(4-Me-pf)2(O2CCMe3)2] (2).
Figure 5.
Absorption spectra of cis-[Rh2(4-Mepf)2(O2CCF3)2(4-phpy)2] (3) and cis-[Rh2(4-Me-pf)2(O2CCMe3)2(4-phpy)2] (4) with their parent dinuclear complexes cis-[Rh2(4-Me-pf)2(O2CCF3)2] (1) and cis-[Rh2(4-Me-pf)2(O2CCMe3)2] (2) in CH2Cl2 at the concentration of 1 × 10−4 M.
Cyclic voltammograms (CVs) were measured for 3 and 4 in CH2Cl2 containing 0.1 M TBA(PF6) (Figure 6). The redox waves for Rh2II,II → Rh2II,III process were observed at E1/2 (Epa + Epc)/2) = 0.07 V (vs. Fc+/Fc) for 3 and −0.28 V (vs. Fc+/Fc) for 4, where Fc means ferrocene. On taking into account that the Fc+/Fc values has been reported as E1/2 = 0.48 V (vs. SCE) in CH2Cl2 [36], the redox values for Rh2II,II → Rh2II,III process were estimated as 0.55 V for 3 and 0.20 V for 4 relative to SCE. It is shown that 3 and 4 are easily oxidized compared with their parent dinuclear complexes 1 (E1/2 = 0.71 V (vs. SCE) in CH2Cl2) and 2 (E1/2 = 0.32 V (vs. SCE) in CH2Cl2), which may be due to the axial interaction with 4-phpy. It should be also noticed that strong σ-donations coming from formamidinato ligands make the formamidinato-bridged Rh2II,II complexes oxidized easily, compared with corresponding dirhodium(II) tetracarboxylate dinuclear complexes, e.g., E1/2 (for [Rh2II,III(O2CCMe3)4]+/[Rh2II,III(O2CCMe3)4]+) = 1.12 V (vs. SCE) in CH2Cl2, although E1/2 (for [Rh2II,III(4-Me-pf)4]+/[Rh2II,II(4-Me-pf)4]) = 0.09 V (vs. SCE) in CH2Cl2 [32]. The difference in the redox potential E1/2 (Rh2II,III/Rh2II,II) between 3 (0.55 V vs. SCE) and 4 (0.20 V vs. SCE) is due to the difference in the substituent group on the carboxylato bridge between electron-withdrawing trifluoromethyl groups introduced for 3 and electron-donating t-butyl groups for 4, as has been explained for the parent dinuclear complexes 1 (E1/2 (for 1+/1) = 0.71 V (vs. SCE) in CH2Cl2 and 2 (E1/2 (for 2+/2) = 0.32 V (vs. SCE) in CH2Cl2 [32].
Figure 6.
Cyclic voltammograms of cis-[Rh2(4-Me-pf)2(O2CCF3)2(4-phpy)2] (3) and cis-[Rh2(4-Me-pf)2(O2CCMe3)2(4-phpy)2] (4) at 1.0 × 10−3 M in CH2Cl2 containing 0.1 M TBA(PF6) (Glassy carbon working electrode; san rate = 50 mV/s).
2.2. Bis-Adduct Rh2II,III Complexes of 4-phpy
As has been described in the previous section, the dinuclear complex 4 is relatively easy to oxidize. We have succeeded in isolating single crystals of cis-[Rh2II,III(4-Me-pf)2(O2CCMe3)2(4-phpy)2]BF4·2MeOH (5) suitable for X-ray crystal structure analysis. The cationic dinuclear part of 5 is shown in Figure 7, which confirms the cis-(2:2) arrangement of the bridging ligands. The crystal solvent molecules of MeOH exist among cis-[Rh2(4-Me-pf)2(O2CCMe3)2(4-phpy)2]+ cations and BF4- anions as shown in the packing diagram (Figure 8). One of two crystallographically independent MeOH molecules has a disorder at the oxygen atom and hence it is divided with the occupancy weights of 0.6 and 0.4. The axial ligand 4-phpy is coordinated to Rh atoms with distances of 2.2673(16) Å (for Rh1-N5) and 2.2935(16) Å (for Rh2-N6), which is comparable to that of 4 (2.289(2) Å). The Rh1-Rh2 bond distances are 2.45320(19) Å, which is also comparable to that of 4 (2.4428(4) Å). It seems to be strange, because the bond order of Rh2 core increases from 1 to 1.5 on the oxidation when an electron is removed from the antibonding π* orbital; the electronic structure of the lantern-type Rh2II,II complexes are generally known as σ2π4δ2δ*2π*4 [1,2]. In fact, the Rh–Rh bond distance of [Rh2II,III(O2CMe)4(H2O)2]ClO4·H2O (2.315(2) and 2.318(2) Å) [37] are shorter than that of [Rh2II,II(O2CMe)4(H2O)2] (2.386(1) Å) [38,39]. However, this trend is not clearly shown when the bridging ligand contains N donor atom. The Rh–Rh bond distances of [Rh2II,III(HNOCMe)4(H2O)2]ClO4 [40], [Rh2II,III(HNOCMe)4(H2O)2]PF6 [41], [Rh2II,III(HNOCMe)4(H2O)2]PF6· 2H2O [41], and [Rh2II,III(HNOCMe)4(H2O)2][ReO4] [42] are 2.399(1) Å, 2.4084(10), 2.4015(4), and 2.4053(7), respectively, while that of [Rh2II,II(HNOCMe)4(H2O)2]· 3H2O is 2.415(1) Å [43]. The Rh–Rh bond distance of Rh2II,III dinuclear complex [Rh2(dpf)4II,III(MeCN)2]ClO4 is 2.466(1) Å, while that of corresponding Rh2II,II dinuclear complex [Rh2II,II(dpf)4(MeCN)2] is 2.459(1) Å [44]. The Rh–Rh distance of [Rh2II,III(4-Me-pf)4]ClO4 is 2.447(1) Å [45] and that of [Rh2(4-Me-pf)4] is 2.4336(4) Å [27]. These results might be related to stronger σ-donation of amidato or amidinato nitrogen compared with carboxylato oxygen. We also reported that axial py coordinated complex [Rh2II,III(HNOCMe)4(py)2]BF4 has a longer Rh–Rh bond (2.434(1) Å) relative to that of [Rh2II,III(HNOCMe)4(H2O)2]ClO4 (2.399(1) Å) [46]. The Rh–Rh bond distances of the related complexes discussed above are summarized in Table S1.
Figure 7.
ORTEP view of cationic Rh2II,III dinuclear core of cis-[Rh2(4-Mepf)2(O2CCMe3)2(4-phpy)2]BF4·2MeOH (5·2MeOH), showing thermal ellipsoids at the 50% probability level. Hydrogen atoms are omitted for clarity.
Figure 8.
Packing diagram of cis-[Rh2(4-Mepf)2(O2CCMe3)2(4-phpy)2]BF4·2MeOH (5·2MeOH).
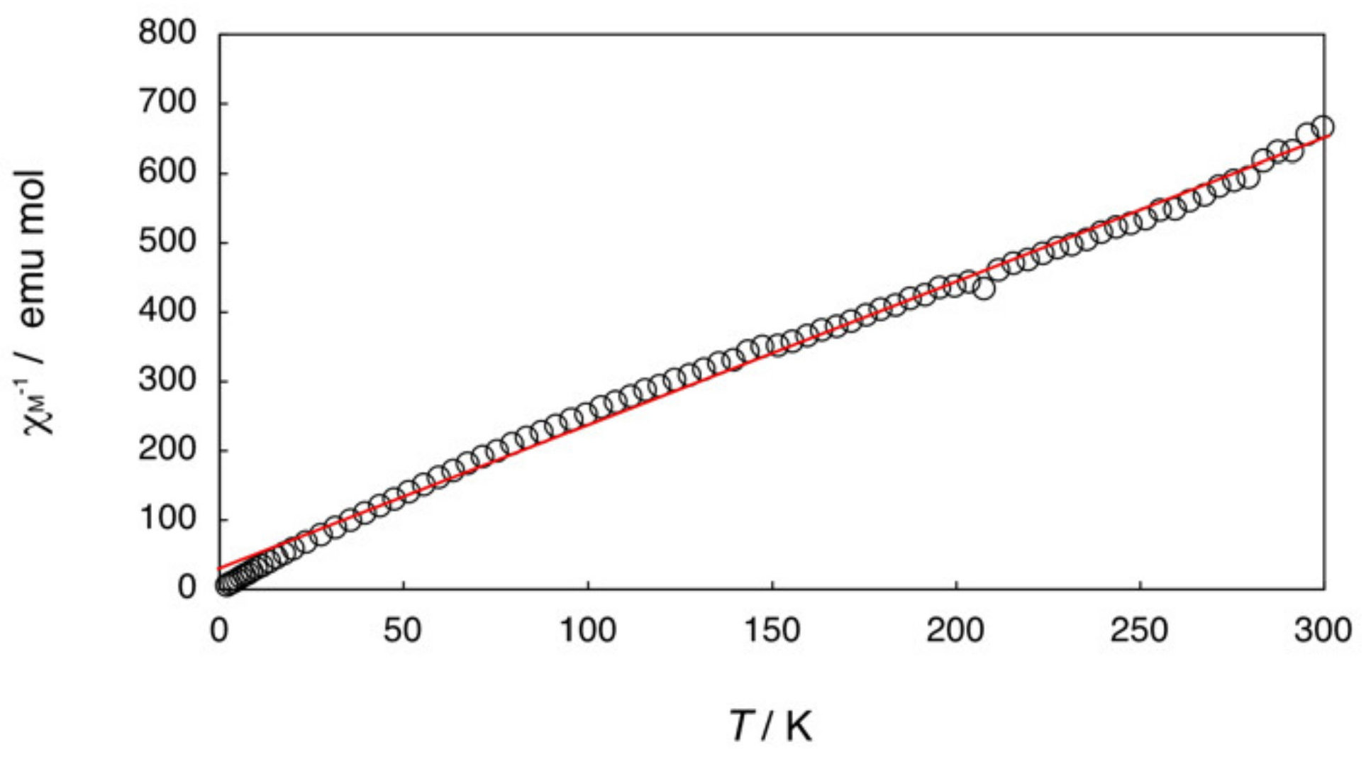
Diffuse reflectance spectrum of 5 is given in Figure 9. The broad band around 1100 nm is characteristic of the mixed-valence cationic Rh2II,III species [44]. In order to examine the existence of an unpaired electron within the dinuclear Rh2II,III core of 5, magnetic susceptibility measurement was performed. The effective magnetic moment at 300 K is 1.90 μB per Rh2 unit, indicative of the existence of an unpaired electron with S = 1/2. The temperature-dependent reciprocal magnetic susceptibilities over 2–300 K temperature range and the field-dependent magnetization from 0 to 70000 G at 2.0 K are shown in Figure 10 and Figure 11, respectively. χM−1 obeys the Curie–Weiss law, χM = C/(T − θ) with C = 0.477(4) cm3 mol−1 K and θ = −14(2) K, suggesting that the antiferromagnetic interaction between Rh2II,III units is limited and weakly operative. This may be because there is no considerable short contact among the Rh2II,III units, as shown in the packing diagram (Figure 8).
Figure 9.
Diffuse reflectance spectrum of cis-[Rh2(4-M-epf)2(O2CCMe3)2(4-phpy)2]BF4 (5).
Figure 10.
Temperature-dependent reciprocal magnetic susceptibilities (χM−1) of cis-[Rh2(4-Me- pf)2(O2CCMe3)2(4-phpy)2]BF4 (5).
Figure 11.
Field dependence plots of magnetization at 2.0 K for cis-[Rh2(4-Me-pf)2(O2CCMe3)2(4-phpy)2]BF4 (5).
2.3. Rh2II,II Polymer Complexes of pyz and 4,4′-bpy
The X-ray crystallographically determined polymer structures of [Rh2(4-Me-pf)2(O2CCF3)2(pyz)]n (6), [Rh2(4-Me-pf)2(O2CCMe3)2(pyz)]n (7), [Rh2(4-Me-pf)4(O2CCF3)2(4,4′-bpy)]n (8), and [Rh2(4-Me-pf)2(O2CCMe3)2(4,4′-bpy)] (9) are depicted in Figure 12, Figure 13, Figure 14 and Figure 15, respectively. The Rh2II,II dinuclear core units are axially coordinated by nitrogen atoms of pyz or 4,4′-bpy bidentate linker ligand with distances of Rh1-N5 and Rh2-N6 of 2.031(4) and 2.320(4) Å for 6, 2.302(4) and 2.283(4) Å for 7, 2.300(6) and 2.294(6) Å for 8, and 2.303(3) and 2.297(3) Å for 9, respectively, to give polymer structures with an alternated arrangement of Rh2II,II dinuclear cores and axial ligand liker units. The Rh1-Rh2 distances are 2.464(3) for 6, 2.4421(5) Å for 7, 2.4678(9) Å for 8, and 2.4660(7) Å for 9, respectively. Further, the Rh–Rh distance of [Rh2(4-Et-pf)2(O2CCF3)2(pyz)]n·n(toluene) is 2.4564(10) Å [31]. These Rh–Rh bond distances are not out of the range shown for the bis-adduct complexes 3 (2.4702(3) Å), 4 (2.4428(4) Å), and 5·2MeOH (2.45320(19) Å). In Table 1, Rh–Rh, Rh-Neq (4-Me-pf), Rh-Oeq (O2CR), and Rh-Nax (axial ligands) are summarized for the present complexes.
Figure 12.
ORTEP view of [Rh2(4-Me-pf)2(O2CCF3)2(pyz)]n (6), showing thermal ellipsoids at the 50% probability level. Hydrogen atoms are omitted for clarity. The prime and double prime refers to the equivalent positions (1–x, 1–y, 1-z) and (2–x, 2-y, 2–z), respectively.
Figure 13.
ORTEP view of [Rh2(4-Me-pf)2(O2CCMe3)2(pyz)]n (7), showing thermal ellipsoids at the 50% probability level. Hydrogen atoms are omitted for clarity. The prime and double prime refer to the equivalent positions (–x, –1/2+y, 1/2-z) and (–x, 1/2+y, 1/2–z), respectively.
Figure 14.
ORTEP view of [Rh2(4-Me-pf)2(O2CCF3)2(4,4′-bpy)]n (8), showing thermal ellipsoids at the 50% probability level. Hydrogen atoms are omitted for clarity. The prime and double prime refer to the equivalent positions (–1+x, 1/2–y, –1/2+z) and (–1+x, 1/2–y, 1/2+z), respectively.
Figure 15.
ORTEP view of [Rh2(4-Me-pf)2(O2CCMe3)2(4,4′-bpy)]n (9), showing thermal ellipsoids at the 50% probability level. Hydrogen atoms are omitted for clarity. The prime and double prime refer to the equivalent positions (1/2+x, 1-y, z) and (−1/2+x, 1-y, z), respectively.
Table 1.
Structural parameters of the present complexes 3–9.
It should be noted that the bis-adduct and adduct polymer complexes with equatorial CF3CO2- bridges 3, 6 and 8 have rather elongated Rh–Rh bond distances, while the bis-adduct Rh2II,III complex has relatively short Rh-Neq (4-Me-pf -) and Rh-Oeq (RCO2-) bonds, as has been similarly explained for the structural changes from Rh2II,II complex [Rh2II,II(dpf)4(MeCN)2] to Rh2II,III complex to [Rh2II,III(dpf)4(MeCN)2]ClO4 [43]. It is interesting that the Rh2 core adjust the core dimension with different manners for electron drawing fluorine group and higher oxidation state of Rh2II,III.
Diffuse reflectance spectra are shown for 1, 6, and 8 in Figure 16 and 2, 7, and 9 in Figure 17, respectively. The bands observed at 592 nm for 1 and 670 nm for 2 are both not found there on the formation of polymer complexes. This should be due to the axial interaction operative in the polymer complexes 6–9, like the cases of bis-adduct Rh2II,II complexes of 4-phpy 3 and 4.
Figure 16.
Diffuse reflectance spectra of cis-[Rh2(4-Me-pf)2(O2CCF3)2] (1), [Rh2(4-Me-pf)2(O2CCF3)2(pyz)]n (6), and [Rh2(4-Me-pf)2(O2CCF3)2(4,4′-bpy)]n (8).
Figure 17.
Diffuse reflectance spectra of cis-[Rh2(4-Me-pf)2(O2CCMe3)2] (2), [Rh2(4-Me- pf)2(O2CCMe3)2(pyz)]n (7), and [Rh2(4-Me-pf)2(O2CCMe3)2(4,4′-bpy)]n (9).
The adsorption isotherms of N2 were measured at 77 K for the polymer complexes and the results are given in Figure 18 for 8 and Figures S2–S4 for 6, 7, and 9, respectively. Their adsorption isotherms belong to Type II in IUPAC classification with a small SBET values of 2.2 m2g−1 for 6, 4.4 m2g−1 for 7, 39.5 m2g−1 for 8, and 0.6 m2g−1 for 9. A slight steep rise at a low relative pressure (p/p0) was only recognizable for 8. The void volumes per Rh2II,II, which were estimated by a PLATON SQUEEZE method (see Section 3.3 Crystal Structure Determination), are 253.0 Å3 for 6, 226.7 Å3 for 7, 113.3 Å3 for 8, and 244.8 Å3 for 9. The void spaces for guest solvents in the single crystals are considered to collapse in the powder samples.
Figure 18.
Nitrogen adsorption isotherm of [Rh2(4-Me-pf)2(O2CCF3)2(4,4′-bpy)]n (8).
3. Materials and Methods
3.1. General Aspects
The formamidine ligand H(4-Me-pf) was obtained using the literature method [47]. The parent dinuclear complexes cis-[Rh2(4-Me-pf)2(O2CCF3)2] (1) and cis-[Rh2(4-Me-pf)2(O2CCMe3)2] (2) were prepared according to the methods described in the literatures [26,32].
Elemental analyses for carbon, hydrogen, and nitrogen were performed using a Yanako CHN Corder MT-6. Infrared spectra (KBr pellets) were measured with JASCO FT/IR-4600 and JASCO FT/IR-660 spectrometers for complexes 3, 4 and 5–9, respectively. Absorption spectra and diffuse reflectance spectra of 3 and 4 were obtained using a Shimadzu UV-2450 spectrometer. Diffuse reflectance spectra of 5–9 were obtained with a Shimadzu UV-3100 spectrometer. Cyclic voltammograms (CVs) were measured in dichloromethane containing tetra-n-butylammonium hexafluorophosphate (TBA(PF6)) on a BAS 100BW Electrochemical Workstation. A glassy carbon disk (1.5 mm radius), platinum wire, and an Ag+/Ag (tetra-n-butylammonium perchlorate/acetonitrile) electrodes were used as working, counter, and reference electrodes, respectively. Ferrocene (Fc) was used as an internal standard, and the potentials are quoted relative to Fc+/Fc couple. The temperature dependence of magnetic susceptibilities over the temperature range of 2–300 K at the constant field of 5000 G and the field dependence of magnetization from 0 to 70,000 G at 2.0 K were measured with a Quantum Design MPMS 3. Adsorption measurements for N2 was performed by a MicrotracBEL BELSOROP-mini II. Prior to the adsorptions, samples were evacuated at 298 K for 2 h.
3.2. Synthesis of Complexes
3.2.1. Synthesis of cis-[Rh2(4-Me-pf)2(O2CCF3)2(4-phpy)2] (3)
The dinuclear complex 1 (89 mg, 0.10 mmol) and 4-phpy (40 mg, 0.26 mmol) were reacted in a mixed solvent of dichloromethane (10 mL) and methanol (10 mL) by stirring at room temperature overnight. The resultant precipitate was collected by suction and washed with water and dried by heating at 70 ˚C for 3 h under vacuum to give a reddish-pink powder. The yield was 58 mg (48% based on [Rh2(4-Me-pf)2(O2CCF3)2]). Anal. found: C, 56.40, H, 4.18, N, 7.40. Calcd. for C56H48F6N4O4Rh2: C, 56.58, H, 4.07, N, 7.07%. IR data (KBr disk, cm−1): 3024w (CH), 1662w (Ar), 1577s, 1505s, 1335w (COO), 1201s and 1150s (CF3). Crystals suitable for X-ray crystal structure analysis were obtained by recrystallization from a solution of dichloromethane/methanol solvent mixture.
3.2.2. Synthesis of cis-[Rh2(4-Me-pf)2(O2CCMe3)2(4-phpy)2] (4)
This complex was obtained as an orange powder by employing the same synthetic way as that of 3, other than the use of complex 2 (85 mg, 0.10 mmol) as starting material instead of 1. The yield was 103 mg (88% based on [Rh2(4-Me-pf)2(O2CCMe3)2]). Anal. found: C, 63.63, H, 5.54, N, 7.50. Calcd. for C62H66N6O4Rh2: C, 63.92, H, 5.71, N, 7.21%. IR data (KBr disk, cm−1): 2954w (CH), 1622w (Ar), 1593s and 1505s (COO), 1416w (CH2), 1335w (COO), 1225s (Ar). Crystals suitable for X-ray crystal structure analysis were obtained by recrystallization from a solution of dichloromethane/methanol solvent mixture.
3.2.3. Synthesis of cis-[Rh2(4-Me-pf)2(O2CCMe3)2(4-phpy)2]BF4 (5)
The starting Rh2II,III complex cis-[Rh2(4-Me-pf)2(O2CCMe3)2]BF4 was prepared by oxidizing complex 2 (50 mg, 0.058 mmol) by nitrosonium tetrafluoroborate (NOBF4) (10 mg, 0.086 mmol) with stirring in dichloromethane (25 mL) at room temperature for 4 h, followed by purifying by SiO2 column with a CH2Cl2/MeOH (95:5 vol./vol.) solvent mixture as an eluent, evaporating to dryness, and heating at 80 ˚C under vacuum for 3 h. The yield was 41 mg (75% based on [Rh2(4-Me-pf)2(O2CCMe3)2]). Anal. found: C, 50.90, H, 5.03, N, 6.03. Calcd. for C40H48BF4N4O4Rh2: C, 51.03, H, 5.14, N, 5.95%. IR data (KBr disk, cm−1): 2959w (CH), 1642w, 1587w (Ar), 1503s, 1417s, 1377w (COO), 1216s (Ar), 1083s (BF4-).
The Rh2II,III complex cis-[Rh2(4-Me-pf)2(O2CCMe3)2]BF4 (80 mg, 0.085 mmol) and 4-phpy (35 mg, 0.23 mmol) were mixed in a mixed solvent of dichloromethane (7 mL) and methanol (10 mL) and left for 3 days without stirring to give reddish-brown crystals, which are single crystals suitable for X-ray crystal structure analysis. The crystals were collected by filtration, washed with water and methanol, and dried under vacuum at room temperature for 3 h. The yield was 29 mg (27% based on cis-[Rh2(4-Me-pf)2(O2CCMe3)2]BF4). Anal. found: C, 59.91, H, 5.07, N, 6.74. Calcd. for C56H48F6N4O4Rh2: C, 59.49, H, 5.31, N, 6.71%. IR data (KBr disk, cm−1): 2957w (CH), 1607w (Ar), 1505s, 1418s (COO), 1213s (Ar), 1083s (BF4).
3.2.4. Synthesis of cis-[Rh2(4-Me-pf)2(O2CCF3)2(pyz)]n (6)
The dinuclear complex 1 (45 mg, 0.051 mmol) and pyz (10 mg, 0.13 mmol) were reacted in methanol (50 mL) by stirring at room temperature overnight. The resultant precipitate was collected by suction and washed with toluene and dried by heating at 80 ˚C for 5 h under vacuum to give a reddish-brown powder. The yield was 40 mg (82% based on [Rh2(4-Me-pf)2(O2CCF3)2]. Anal. found: C, 47.44, H, 3.65, N, 8.56. Calcd. for C38H34F6N6O4Rh2: C, 47.62, H, 3.58, N, 8.77%. IR data (KBr disk, cm−1): 3026w (CH), 1658m (Ar), 1578s (COO), 1506s (Ar), 1452w (COO), 1335w (CH2), 1201s and 1156s (CF3). Crystals suitable for X-ray crystal structure analysis were grown by the slow diffusion of pyz with complex 1 in chloroform, chlorobenzene, and toluene in a test tube.
3.2.5. Synthesis of cis-[Rh2(4-Me-pf)2(O2CCMe3)2(pyz)]n (7)
The dinuclear complex 2 (50 mg, 0.058 mmol) and pyz (10 mg, 0.13 mmol) were reacted in methanol (50 mL) by stirring at room temperature for 5 h. The resultant precipitate was collected by suction and washed with ethanol, and dried by heating at 80 ˚C for 5 h under vacuum to give a yellowish-brown powder. The yield was 50 mg (91.2 % based on [Rh2(4-Me-pf)2(O2CCMe3)2]). Anal. found: C, 56.09, H, 5.22, N, 8.47. Calcd. for C44H52N6O4Rh2: C, 56.54, H, 5.61, N, 8.99%. IR data (KBr disk, cm−1): 2957w (CH), 1621w (Ar), 1592s(COO) and 1504s (Ar), 1416m (COO), 1337w (CH2), 1226s (Ar). Crystals suitable for X-ray crystal structure analysis were grown by the slow diffusion of 4,4′-bpy with complex 2 in toluene and methanol in a test tube.
3.2.6. Synthesis of cis-[Rh2(4-Me-pf)2(O2CCF3)2(4,4′-bpy)]n (8)
This complex was obtained as a reddish-brown powder by employing the same synthetic way as that of 6, other than the use of 4,4′-bpy (16 mg, 0.10 mmol) instead of pyz. The yield was 42.7 mg (81% based on [Rh2(4-Me-pf)2(O2CCF3)2]). Anal. found: C, 50.91, H, 3.84, N, 7.84. Calcd. for C44H38F6N6O4Rh2: C, 51.08, H, 3.70, N, 8.12%. IR data (KBr disk, cm−1): 3026w (CH), 1658m (Ar), 1578s (COO) and 1506s (Ar), 1452w (CH2), 1335w (COO), 1201s and 1156s (CF3). Crystals suitable for X-ray crystal structure analysis were grown by the slow diffusion of 4,4′-bpy with 1 in chloroform and methanol in a test tube.
3.2.7. Synthesis of cis-[Rh2(4-Me-pf)2(O2CCMe3)2(4,4′-bpy)]n (9)
This complex was obtained as a brown powder by employing the same synthetic way as that of 7, other than the use of 4,4′-bpy instead of pyz (complex 2 (46 mg, 0.054 mmol) and 4,4′-bpy (17 mg, 0.11 mmol) were used for the reaction). The yield was 38.7 mg (71% based on [Rh2(4-Me-pf)2(O2CCMe3)2]). Anal. found: C, 59.59, H, 5.52, N, 8.27. Calcd. for C50H56N6O4Rh2: C, 59.41, H, 5.58, N, 8.31%. IR data (KBr disk, cm−1): 2958w (CH), 1624m (Ar), 1592s (COO) and 1505s (Ar), 1414w (CH2), 1337w (COO), 1225w (Ar). Crystals suitable for X-ray crystal structure analysis were grown by the slow diffusion of 4,4′-bpy with complex 2 in dichloromethane and methanol in a test tube.
3.3. Crystal Structure Determination
X-ray crystallographic data (Table 2) were collected for single crystals of 3 at 150 K on a RIGAKU HyPix6000 CCD system equipped with a Mo rotating-anode X-ray generator (λ = 0.71075 Å), installed at Institute for Molecular Science (IMS), for single crystals of 4 and 6 at 150 K on a Rigaku Mercury 70 CCD system equipped with a Mo rotating-anode X-ray generator (λ = 0.71075 Å), installed at IMS, and for single crystals of 5 at 293 K and 7–9 at 150 K on a RIGAKU Saturn 724 CCD system equipped with a VariMax Mo rotating-anode X-ray generator (λ = 0.71075 Å), installed at Okayama University of Science and Kanagawa University, respectively. Diffraction data were processed using Crys- talClear and CrysAlisPro (RIGAKU). The structures were solved by direct methods (SIR) and refined using the full-matrix least-squares technique (F2) with SHELXL-2018 as part of the CrystalStructure software (RIGAKU) for the complexes except for 5, for which Olex2 was used [48]. Guest solvents of final refined models of 6–9 were excluded by PLATON SQUEEZE program because their solvents were heavily disordered. Non-hydrogen atoms were refined with anisotropic displacement parameters, and all hydrogen atoms were located at calculated positions and refined with a riding model. Selected bond distance and angles are given for 3–9 in Table S2.
Table 2.
Crystallographic data and structure refinement of 3–9 (a).
4. Conclusions
Adduct dinuclear and polymer complexes of 4-phpy, pyz, and 4,4′-bpy were obtained by using cis-[Rh2II,II(4-Me-pf)2(O2CR)2] (R = CF3 and CMe3) as precursor dinuclear units. The dinuclear structures of cis-[Rh2II,II(4-Me-pf)2(O2CR)2(4-phpy)2] and cis-[Rh2II,III(4-Me-pf)2(O2CCMe3)2(4-phpy)2]BF4 and polymer structures of [Rh2II,II(4-Me-pf)2(O2CR)2(L)]n (L = pyz and 4,4′-bpy) were confirmed by the X-ray crystal structure analyses. In the adduct complexes, the lantern-type dinuclear core structures with cis-(2:2) arrangement of formamidinato (4-Me-pf-) and carboxylato ligands exists without decompositions. For the Rh2II,II adduct dinuclear and polymer complexes, the axial interactions between Rh2II,II core and axial ligands were confirmed by disappearance and blue-shits of the visible bands of the parent dinuclear complexes cis-[Rh2II,II(4-Me-pf)2(O2CR)2] (R = CF3 and CMe3). The axial interactions make the Rh2II,II dinuclear core oxidized easily, which was observed by the CV measurements for the bis-adduct complexes of cis-[Rh2II,II(4-Me-pf)2(O2CR)2(4-phpy)2] (R = CF3 and CMe3). The bis-adduct complex cis-[Rh2II,III(4-Me-pf)2(O2CCMe3)2(4-phpy)2]BF4 is paramagnetic, which was confirmed by effective magnetic moment value μeff = 1.90 μB at 300 K per Rh2II,III unit (S =1/2) with a weak antiferromagnetic interaction among the Rh2II,III units. The adduct polymer complexes [Rh2(4-Me-pf)2(O2CR)2(L)]n (L = pyz and 4,4′-bpy) showed Type II gas-adsorption properties for N2. In this study, the dinuclear complex cis-[Rh2II,II(4-Me-pf)2(O2CR)2] are shown to provide axial coordination of linker ligands pyz and 4,4′-bpy to result in the formation of adduct polymer complexes and the Rh2II,II core is oxidized to Rh2II,III one without decomposition of the lantern-type dinuclear structure was also confirmed by the bis-adduct complexes of 4-phpy. The dinuclear complexes cis-[Rh2II,II(4-Me-pf)2(O2CR)2] are considered promising building blocks to be assembled.
Supplementary Materials
The following data are available online at https://www.mdpi.com/2312-7481/7/3/39/s1. Rh–Rh bond distance of the related Rh2 complexes (Table S1), selected bond distances and angles of 3–9 (Table S2), absorption spectra of 3 and 4 in CH2Cl2 at the concentration of 1.0 x 10−3 M (Figure S1), packing diagram of 5 (Figure S2), and nitrogen adsorption isotherms of 6 (Figure S2), 7 (Figure S3), and 9 (Figure S4).
Author Contributions
M.H. conceived and designed the experiment, analyzed the data and wrote the paper. S.N., M.K. and N.Y. performed the experiments. H.A. determined X-ray crystal structures of 5. M.M. measured diffuse reflectance spectra. H.T. measured nitrogen adsorption isotherms. T.K. helped with the X-ray crystal structure determination. Y.K. determined the X-ray crystal structures of 3, 4, and 6–9. All authors have read and agreed to the published version of the manuscript.
Funding
The present work was partially supported by Grants-in-Aid for Scientific Research No. 16K05722 from the Ministry of Education, Culture, Sports, Science and Technology (MEXT), Japan.
Data Availability Statement
CCDC-1936749, 1936750, 2059485, 1936751, 1936752, 1936753 and 1936754 contain the supplementary crystallographic data for cis-[Rh2(4-Me-pf)2(O2CCF3)2(4-phpy)2] (3), cis-[Rh2(4-Me-pf)2(O2CCMe3)2(4-phpy)2] (4), cis-[Rh2(4-Me-pf)2(O2CCMe3)2(4-phpy)2]BF4·2MeOH (5·2MeOH), [Rh2(4-Me-pf)2(O2CCF3)2(pyz)]n (6), [Rh2(4-Me-pf)2(O2CCMe3)2(pyz)]n (7), [Rh2(4-Me-pf)2(O2CCF3)2(4,4′-bpy)]n (8), and [Rh2(4-Me-pf)2(O2CCMe3)2(4,4′-bpy)]n (9), respectively. These data can be obtained free of charge from the Cambridge Crystallographic Data Centre via www.ccdc.cam.ac.uk/data_request/cif (accessed on 11 February 2021).
Acknowledgments
The authors are grateful to Michiko Egawa (Shimane University) for her measurements of elemental analyses.
Conflicts of Interest
The authors declare no conflict of interest.
References
- Cotton, F.A.; Murillo, C.A.; Walton, R.A. Multiple Bonds between Metal Atoms, 3rd ed.; Springer: New York, NY, USA, 2005. [Google Scholar]
- Liddle, S.T. Molecular Metal-Metal Bonds, Compounds, Synthesis, Properties; Wiley-VCH: Weinheim, Germany, 2015. [Google Scholar]
- Handa, M.; Kasamatsu, K.; Kasuga, K.; Mikuriya, M.; Fujii, T. Linear Chain Compounds of Molybdenum(II) Acetate Dimer Linked by Linear-Bidentate Ligands, Pyrazine, 4,4′-Bipyridine and 1,4-Diazabicyclo[2.2.2]octane. Chem. Lett. 1990, 19, 1753–1756. [Google Scholar] [CrossRef]
- Handa, M.; Yamada, K.; Nakao, T.; Kasuga, K.; Mikuriya, M.; Kotera, T. Structure and properties of a compound formed by the reaction of molybdenum(II) trifluoroacetate with 4,4′-bipyridine. Chem. Lett. 1993, 22, 1969–1972. [Google Scholar] [CrossRef]
- Handa, M.; Mikuriya, M.; Nukada, R.; Matsumoto, H.; Kasuga, K. Chain compound of molybdenum(II) pivalate bridged by 4,4′-bipyridine. Bull. Chem. Soc. Jpn. 1994, 67, 3125–3127. [Google Scholar] [CrossRef]
- Handa, M.; Mikuriya, M.; Kotera, T.; Yamada, K.; Nakao, T.; Matsumoto, H.; Kasuga, K. Linear Chain Compounds of Molybdenum(II) Acetate Linked by Pyrazine, 4,4′-Bipyridine, and 1,4-Diazabicyclo[2.2.2]octane. Bull. Chem. Soc. Jpn. 1995, 68, 2567–2572. [Google Scholar] [CrossRef]
- Mikuriya, M.; Nukada, R.; Morishita, H.; Handa, M. Chain compounds formed by the reaction of copper(II) carboxylate [Cu2(O2CR)4] (R = C(CH3)3, CCl3) and bridging ligand L (L = pyrazine, 4,4′-bipyridine, and 1,4-diazabicyclo[2.2.2]octane). Chem. Lett. 1995, 24, 617–618. [Google Scholar] [CrossRef]
- Handa, M.; Watanabe, M.; Yoshioka, D.; Kawabata, S.; Nukada, R.; Mikuriya, M.; Azuma, H.; Kasuga, K. Adduct polymers and dimers of rhodium(II) pivalate with pyrazine, 4,4′-bipyridine, 1,4-diazabicyclo[2.2.2]octane, triethylamine, and pyridine. Bull. Chem. Soc. Jpn. 1999, 72, 2681–2686. [Google Scholar] [CrossRef]
- Nukada, R.; Mori, W.; Takamizawa, S.; Mikuriya, M.; Handa, M.; Naono, H. Microporous structure of a chain compound of copper(II) benzoate bridged by pyrazine. Chem. Lett. 1999, 28, 367–368. [Google Scholar] [CrossRef]
- Nukada, R.; Mikuriya, M.; Handa, M.; Naono, H. Hydrophobic micropore in a chain compound of dinuclear copper(II) benzoate with pyrazine—Adsorption properties for N2. CCl4, H2O, CO2, and CH3CN. In Proceedings of the 2nd International Porous and Powder Materials Symposium and Exhibition PPM 2015, Izmir, Turkey, 15–18 September 2015; Ozdemir, S.K., Polat, M., Tanoglu, M., Eds.; The Organizing Committee of The International Porous and Power Materials Symposium and Exhibition: Izmir, Turkey, 2015; pp. 77–81. [Google Scholar]
- Handa, M.; Yoshioka, D.; Mikuriya, M.; Hiromitsu, I.; Kasuga, K. Coordination polymers of ruthenium(II) acetate with pyrazine, 4,4′-bipyridine, and 1,4-diazabicyclo[2.2.2]octane. Mol. Cryst. Liq. Cryst. 2002, 376, 257–262. [Google Scholar] [CrossRef]
- Mikuriya, M.; Higashiguchi, T.; Sakai, T.; Yoshioka, D.; Handa, M. Chain compounds of rhodium(II) benzoate bridged by N,N’-didentate ligands. In Progress in Coordination and Bioinorganic Chemistry; Melnik, N., Sirota, A., Eds.; Slovak University of Technology Press: Bratislava, Slovakia, 2003; pp. 213–218. [Google Scholar]
- Yoshioka, D.; Mikuriya, M.; Handa, M. Synthsis and characterization of polynuclear chain and tetranuclear adducts of mixed-valent ruthenium(II,III) pivalate with N,N’-didentate ligands. Bull. Chem. Soc. Jpn. 2004, 77, 2205–2211. [Google Scholar] [CrossRef]
- Mikuriya, M.; Yamamoto, J.; Yoshioka, D.; Tanaka, H.; Handa, M. Synthesis, crystal structures, and adsorption properties of chain complexes of rhodium(II) pivalate with N,N’-bidentate ligands. In New Trends in Coordination, Bioinorganic and Applied Inorganic Chemistry; Melnik, M., Segla, P., Tatarko, M., Eds.; Slovak University of Technology Press: Bratislava, Slovakia, 2011; pp. 311–319. [Google Scholar]
- Mikuriya, M.; Yamamoto, J.; Ouchi, K.; Yoshioka, D.; Tanaka, H.; Handa, M. Synthesis, Crystal strcuture, and N2-adsorption property of a chain complex of rhodium(II) acetate and 1,4-diazabicyclo[2.2.2]octane. X-ray Struct. Anal. Online 2013, 29, 7–8. [Google Scholar] [CrossRef]
- Mikuriya, M.; Ouchi, K.; Nakanishi, Y.; Yoshioka, D.; Tanaka, H.; Handa, M. Synthesis, crystal structure, and N2-adsorption property of a chain complex of rhodium(II) benzoate and piperazine. X-ray Struct. Anal. Online 2013, 29, 21–22. [Google Scholar] [CrossRef][Green Version]
- Mikuriya, M.; Yamamoto, J.; Ouchi, K.; Takada, S.; Yoshioka, D.; Tanaka, H.; Handa, M. Synthesis and crystal structure of a chain complex of rhodium(II) acetate and 1,2-bis(4-pyridyl)ethane having an N2-adsorption property. X-ray Struct. Anal. Online 2013, 29, 29–30. [Google Scholar] [CrossRef][Green Version]
- Mikuriya, M.; Kaihara, N.; Yamamoto, J.; Takada, S.; Yoshioka, D.; Tanaka, H.; Handa, M. Synthesis and crystal structure of a chain complex of molybdenum(II) acetate and 1,2-bis(4-pyridyl)ethane aiming at N2-adsorption property. X-ray Struct. Anal. Online 2013, 29, 31–32. [Google Scholar] [CrossRef][Green Version]
- Mikuriya, M.; Takada, S.; Yoshioka, D.; Tanaka, H.; Handa, M. Synthesis and crystal structure of a chain complex of molybdenum(II) acetate and trans-1,2-bis(4-pyridyl)ethylene in relation to the N2-adsorption property. X-ray Struct. Anal. Online 2013, 29, 33–34. [Google Scholar] [CrossRef][Green Version]
- Mikuriya, M.; Yamamoto, J.; Ouchi, K.; Yoshioka, D.; Tanaka, H.; Handa, M. Synthesis and crystal structure of a chain complex of rhodium(II) benzoate and 1,4-diazabicyclo[2.2.2]octane having an N2-adsorption property. X-ray Struct. Anal. Online 2013, 29, 45–46. [Google Scholar] [CrossRef][Green Version]
- Mikuriya, M.; Tsukimi, N.; Ono, T.; Tanaka, Y.; Yoshioka, D.; Tanaka, H.; Handa, M. Synthesis and crystal structure of a chain complex of molybdenum(II) benzoate and 4,4′-bipyridyl in relation to the N2-adsorption property. X-ray Struct. Anal. Online 2014, 30, 25–26. [Google Scholar] [CrossRef][Green Version]
- Mikuriya, M.; Kaihara, N.; Ono, T.; Tanaka, Y.; Yoshioka, D.; Tanaka, H.; Handa, M. Synthesis and crystal structure of a chain complex of molybdenum(II) benzoate and 1,2-bis(4-pyridyl)ethane with an N2-adsorption property. X-ray Struct. Anal. Online 2014, 30, 39–40. [Google Scholar] [CrossRef][Green Version]
- Mikuriya, M.; Kaihara, N.; Ono, T.; Tanaka, Y.; Yoshioka, D.; Tanaka, H.; Handa, M. Synthesis and crystal structure of a chain complex of molybdenum(II) benzoate with 1,2-bis(4-pyridyl)ethylene having an N2-adsorption property. X-ray Struct. Anal. Online 2014, 30, 41–42. [Google Scholar] [CrossRef][Green Version]
- Mikuriya, M.; Yano, M.; Takahashi, N.; Yoshioka, D.; Tanaka, H.; Handa, M. Synthesis and crystal structure of a chain complex of copper(II) pivalate and 1,2-bis-(4-pyridyl)ethane in relation to adsorption property for N2. X-ray Struct. Anal. Online 2015, 31, 47–48. [Google Scholar] [CrossRef]
- Takamizawa, S.; Nakata, E.; Yokoyama, H.; Mochizuki, K.; Mori, W. Carbon dioxide inclusion phases of a transformable 1D coordination polymer host [Rh2(O2CPh)4(pyz)]n. Angew. Chem. Int. Ed. 2003, 42, 4331–4334. [Google Scholar] [CrossRef]
- Piraino, P.; Bruno, G.; Tresoldi, G.; Schiavo, S.L.; Zanello, P. Chemical oxidation of binuclear rhodium(I) complexes with silver salts. Synthesis, x-ray crystal structure, and electrochemical properties of the rhodium [Rh24+] mixed-ligand complex Rh2(Form)2(O2CCF3)2(H2O)20.5C6H6 (Form = N,N’-di-p-tolylformamidinate anion). Inorg. Chem. 1987, 26, 91–96. [Google Scholar] [CrossRef]
- Piraino, P.; Bruno, G.; Schiavo, S.L.; Laschi, F.; Zanello, P. Synthesis, X-ray crystal structure, and electrochemical properties of the Rh4+ complex Rh2(form)4 (form = N,N’-di-p-tolylformamidinate anion). Inorg. Chem. 1987, 26, 2205–2211. [Google Scholar] [CrossRef]
- Handa, M.; Yasuda, M.; Muraki, Y.; Yoshioka, D.; Mikuriya, M.; Kasuga, K. Polymer and “trimer-of-dimers” complexes derived from [Rh2(form)4] (form- = N,N’-Di-p-tolylformamidinate anion) and 1,4-diisocyanobenzene. Chem. Lett. 2003, 32, 946–947. [Google Scholar] [CrossRef]
- Handa, M.; Sanaka, A.; Sugikawa, Y.; Ikeue, T.; Tanaka, H.; Yoshioka, D.; Mikuriya, M. Polymer Complex of Rhodium(II) Formamidinate Dimer Linked by 1,4-Diisocyanobenzene with Toluene as Solvent of Crystallization. X-ray Struct. Anal. Online 2011, 27, 73–74. [Google Scholar] [CrossRef][Green Version]
- Bear, J.L.; Han, B.; Wu, Z.; Van Caemelbecke, E.; Kadish, K.M. Synthesis, Electrochemistry, and Spectroscopic Characterization of Bis-dirhodium Complexes Linked by Axial Ligands. Inorg. Chem. 2001, 40, 2275–2281. [Google Scholar] [CrossRef]
- Handa, M.; Ikeue, T.; Sanaka, A.; Nakai, T.; Tanaka, T.; Yoshioka, D.; Mikuriya, M. Assembled complexes of lantern-type rhodium(II) dimers with formamidinato ligands. In New Trends in Coordination, Bioinorganic and Applied Inorganic Chemistry; Melnik, M., Segla, P., Tatarko, M., Eds.; Slovak University of Technology Press: Bratislava, Slovakia, 2011; pp. 133–139. [Google Scholar]
- Handa, M.; Nishiura, S.; Masuda, T.; Yano, N.; Mikuriya, M.; Kataoka, Y. Synthesis, structure, and properties of a lantern-type dinuclear rhodium(II) complex cis-[Rh2(4-Me-pf)2(O2CCMe3)2], 4-Me-pf- = N,N’-di-p-tolylformamidinate anion. Chem. Pap. 2018, 72, 841–851. [Google Scholar] [CrossRef]
- Catalan, K.V.; Hess, J.S.; Maloney, M.M.; Mindiola, D.J.; Ward, D.L.; Dunbar, K.R. Reactions of DNA purines with dirhodium formamidinate compounds that display antitumor behavior. Inorg. Chem. 1999, 38, 3904–3913. [Google Scholar] [CrossRef]
- Drago, R.S.; Long, J.R.; Cosmano, R. Metal synergism in the coordination chemistry of a metal-metal bonded system: Rh2(C3H7COO)4. Inorg. Chem. 1981, 20, 2920–2927. [Google Scholar] [CrossRef]
- Felthouse, T.R. The chemistry, structure, and metal metal-bonding in compounds of rhodium(II). Prog. Inorg. Chem. 1982, 29, 73–166. [Google Scholar] [CrossRef]
- Kruger, H.J.; Holm, R.H. Stabilization of trivalent nickel in tetragonal NiS4N2 and NiN6 environments: Synthesis, structures, redox potentials and observations related to [NiFe]-hydrogenases. J. Am. Chem. Soc. 1990, 112, 2955–2963. [Google Scholar] [CrossRef]
- Ziółkowski, J.J.; Moszner, M.; Glowiak, T. Multiple rhodium(II)–rhodium(III) bond in the dimer [Rh2(O2CMe)4(H2O)2][ClO4]·H2O; X-ray crystal structure. J. Chem. Soc. Chem. Commun. 1977, 760–761. [Google Scholar] [CrossRef]
- Cotton, F.A.; DeBoer, B.G.; LaPrade, M.D.; Pipal, J.R.; Ucko, D.A. The crystal and molecular structures of dichromium tetraacetate dihydrate and dirhodium tetraacetate dihydrate. Acta Crystallogr. Sect. B 1971, 27, 1664–1671. [Google Scholar] [CrossRef]
- Cotton, F.A.; DeBoer, B.G.; LaPrade, M.D.; Pipal, J.R.; Ucko, D.A. Multiple chromium(II)-chromium(II) and rhodium(II)-rhodium(II) bonds. J. Am. Chem. Soc. 1970, 92, 2926–2927. [Google Scholar] [CrossRef]
- Baranovskii, I.B.; Golubnichaya, M.A.; Dikareva, L.M.; Rotov, A.V.; Shchelokov, R.N.; Poraikoshits, M.A. Binuclear acetamide rhodium(II,III) complexes. Russ. J. Inorg. Chem. 1986, 31, 1652–1656. [Google Scholar]
- Ebihara, M.; Fuma, Y. Variation of hydrogen-bonded networks in hexafluorophosphate salts of amidate-bridged dirhodium(II,III) complexes with axial aqua ligands. Acta Crystallogr. Sect. C 2006, 62, m284–m289. [Google Scholar] [CrossRef] [PubMed]
- Fuma, Y.; Ebihara, M. Tetra-μ-acetamidato-κ4N: O;κ4O: N-diaqua-dirhodium(II,III) perrhenate. Acta Crystallogr. Sect. E 2006, 62, m1898–m1900. [Google Scholar] [CrossRef]
- Ahsan, M.Q.; Bernal, I.; John, L. Bear Reaction of tetrakis(acetato)dirhodium with acetamide: Crystal and molecular structure of tetrakis(acetamido)diaquadirhodium trihydrate. Inorg. Chem. 1986, 25, 260–265. [Google Scholar] [CrossRef]
- Bear, J.L.; Yao, C.L.; Lifsey, R.S.; Korp, J.D.; Kadish, K.M. Electrochemical, spectroscopic, and structural characterization of rhodium complexes Rh2(dpf)4, Rh2(dpf)4(CH3CN), and [Rh2(dpf)4(CH3CN)]ClO4, where dpf = N,N’-diphenylformamidinate(1-). Inorg. Chem. 1991, 30, 336–340. [Google Scholar] [CrossRef]
- Kawamura, T.; Maeda, M.; Miyamoto, M.; Usami, H.; Imaeda, K.; Ebihara, M. Geometrical Difference and Electron Configuration of Lantern-Type Rh24+ and Rh25+ Complexes: X-ray Structural and DFT Study. J. Am. Chem. Soc. 1998, 120, 8136–8142. [Google Scholar] [CrossRef]
- Handa, M.; Muraki, Y.; Kawabata, S.; Sugimori, T.; Hiromitsu, I.; Mikuriya, M.; Kasuga, K. Polymer Complexes of Rhodium Acetamidate Dimers Bridged by Pyrazine, 4,4′-Bipyridine, and 1,4-Diazabicyclo[2.2.2]octane. Mol. Cryst. Liq. Cryst. 2002, 379, 327–332. [Google Scholar] [CrossRef]
- Roberts, R.M. The reaction of diarylformamidines with ethyl malonate. J. Org. Chem. 1949, 14, 277–284. [Google Scholar] [CrossRef] [PubMed]
- Dolomanov, O.V.; Bourhis, L.J.; Gildea, R.J.; Howard, J.A.K.; Puschmann, H. OLEX2: A complete structure solution, refinement and analysis program. J. Appl. Cryst. 2009, 42, 229–234. [Google Scholar] [CrossRef]
Publisher’s Note: MDPI stays neutral with regard to jurisdictional claims in published maps and institutional affiliations. |
© 2021 by the authors. Licensee MDPI, Basel, Switzerland. This article is an open access article distributed under the terms and conditions of the Creative Commons Attribution (CC BY) license (http://creativecommons.org/licenses/by/4.0/).




















