Perspectives of Machine Learning for Ligand-Field Analyses in Lanthanide-Based Single Molecule Magnets
Abstract
1. Introduction
1.1. Machine Learning Basics
1.2. Our Perspective
1.3. Challenges
2. Materials and Methods
2.1. Magnetic Model
2.2. VAE-INN Model and Training Datasets
2.3. Input Susceptibility Curves
2.4. Evaluation Method
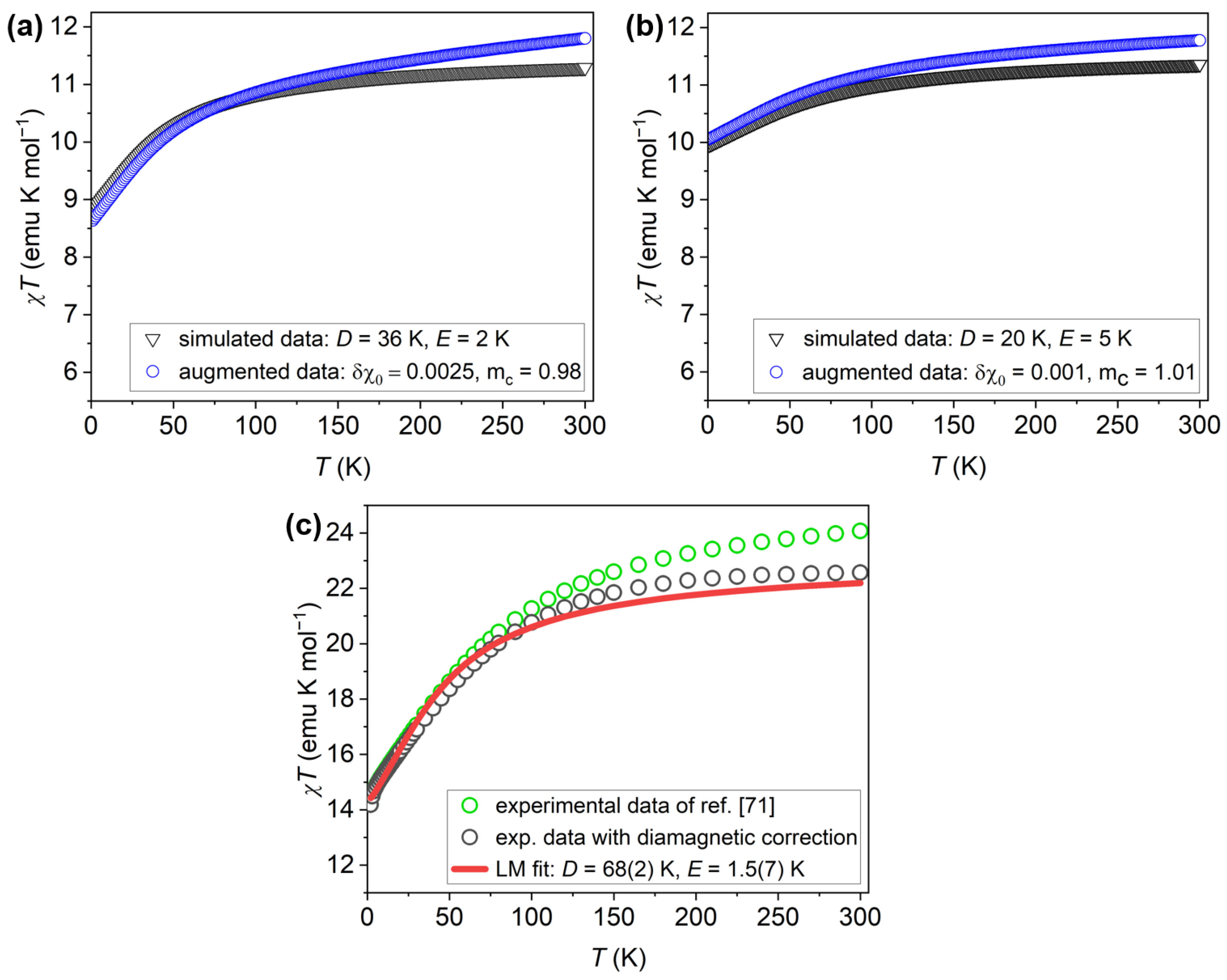
3. Results
3.1. Simulated Experimental Susceptibility Curves
3.2. Experimental Susceptibility Curve
4. Discussion
Author Contributions
Funding
Institutional Review Board Statement
Data Availability Statement
Acknowledgments
Conflicts of Interest
Appendix A
References
- Christou, G.; Gatteschi, D.; Hendrickson, D.N.; Sessoli, R. Single-Molecule Magnets. MRS Bull. 2000, 25, 66–71. [Google Scholar] [CrossRef]
- Gatteschi, D.; Sessoli, R.; Villain, J. Molecular Nanomagnets; Oxford University Press: Oxford, UK, 2006. [Google Scholar]
- Sessoli, R.; Tsai, H.L.; Schake, A.R.; Wang, S.; Vincent, J.B.; Folting, K.; Gatteschi, D.; Christou, G.; Hendrickson, D.N. High-spin molecules: [Mn12O12(O2CR)16(H2O)4]. J. Am. Chem. Soc. 1993, 115, 1804–1816. [Google Scholar] [CrossRef]
- Friedman, J.R.; Sarachik, M.P.; Tejada, J.; Ziolo, R. Macroscopic Measurement of Resonant Magnetization Tunneling in High-Spin Molecules. Phys. Rev. Lett. 1996, 76, 3830–3833. [Google Scholar] [CrossRef]
- Thomas, L.; Lionti, F.; Ballou, R.; Gatteschi, D.; Sessoli, R.; Barbara, B. Macroscopic quantum tunnelling of magnetization in a single crystal of nanomagnets. Nature 1996, 383, 145–147. [Google Scholar] [CrossRef]
- Wernsdorfer, W.; Sessoli, R. Quantum phase interference and parity effects in magnetic molecular clusters. Science 1999, 284, 133–135. [Google Scholar] [CrossRef]
- Hill, S. Making qubits from magnetic molecules. Phys. Today 2025, 78, 38–45. [Google Scholar] [CrossRef]
- Moreno-Pineda, E.; Wernsdorfer, W. Magnetic Molecules as Building Blocks for Quantum Technologies. Adv. Quantum Technol. 2025, 8, 2300367. [Google Scholar] [CrossRef]
- Raju, M.S.; Paillot, K.; Breslavetz, I.; Novitchi, G.; Rikken, G.L.J.A.; Train, C.; Atzori, M. Optical Readout of Single-Molecule Magnets Magnetic Memories with Unpolarized Light. J. Am. Chem. Soc. 2024, 146, 23616–23624. [Google Scholar] [CrossRef]
- Mezzadri, M.; Chiesa, A.; Lepori, L.; Carretta, S. Fault-tolerant computing with single-qudit encoding in a molecular spin. Mater. Horiz. 2024, 11, 4961–4969. [Google Scholar] [CrossRef]
- Stewart, R.; Canaj, A.B.; Liu, S.; Regincós Martí, E.; Celmina, A.; Nichol, G.; Cheng, H.P.; Murrie, M.; Hill, S. Engineering Clock Transitions in Molecular Lanthanide Complexes. J. Am. Chem. Soc. 2024, 146, 11083–11094. [Google Scholar] [CrossRef]
- Chiesa, A.; Santini, P.; Garlatti, E.; Luis, F.; Carretta, S. Molecular nanomagnets: A viable path toward quantum information processing? Rep. Prog. Phys 2024, 87, 034501. [Google Scholar] [CrossRef]
- Bernot, K. Get under the Umbrella: A Comprehensive Gateway for Researchers on Lanthanide–Based Single–Molecule Magnets. Eur. J. Inorg. Chem. 2023, 26, e202300336. [Google Scholar] [CrossRef]
- Ishikawa, N. Simultaneous Determination of Ligand-Field Parameters of Isostructural Lanthanide Complexes by Multidimensional Optimization. J. Phys. Chem. A 2003, 107, 5831–5835. [Google Scholar] [CrossRef]
- Ishikawa, N. Single molecule magnet with single lanthanide ion. Polyhedron 2007, 26, 2147–2153. [Google Scholar] [CrossRef]
- Lin, P.H.; Burchell, T.J.; Ungur, L.; Chibotaru, L.F.; Wernsdorfer, W.; Murugesu, M. A polynuclear lanthanide single-molecule magnet with a record anisotropic barrier. Angew. Chem. Int. Ed. 2009, 48, 9489–9492. [Google Scholar] [CrossRef] [PubMed]
- Woodruff, D.N.; Winpenny, R.E.P.; Layfield, R.A. Lanthanide single-molecule magnets. Chem. Rev. 2013, 113, 5110–5148. [Google Scholar] [CrossRef]
- Dey, A.; Kalita, P.; Chandrasekhar, V. Lanthanide(III)-Based Single-Ion Magnets. ACS Omega 2018, 3, 9462–9475. [Google Scholar] [CrossRef]
- Bernot, K.; Daiguebonne, C.; Calvez, G.; Suffren, Y.; Guillou, O. A Journey in Lanthanide Coordination Chemistry: From Evaporable Dimers to Magnetic Materials and Luminescent Devices. Accounts Chem. Res 2021, 54, 427–440. [Google Scholar] [CrossRef]
- Zabala-Lekuona, A.; Seco, J.M.; Colacio, E. Single-Molecule Magnets: From Mn12-ac to dysprosium metallocenes, a travel in time. Coord. Chem. Rev. 2021, 441, 213984. [Google Scholar] [CrossRef]
- Waldmann, O. A criterion for the anisotropy barrier in single-molecule magnets. Inorg. Chem. 2007, 46, 10035–10037. [Google Scholar] [CrossRef]
- Stevens, K.W.H. Matrix Elements and Operator Equivalents Connected with the Magnetic Properties of Rare Earth Ions. Proc. Phys. Soc. Sect. A 1952, 65, 209–215. [Google Scholar] [CrossRef]
- Abragam, A.; Bleaney, B. Electron Paramagnetic Resonance of Transition Ions; Oxford University Press: Oxford, UK, 1970. [Google Scholar]
- Manvell, A.S.; Pfleger, R.; Bonde, N.A.; Briganti, M.; Mattei, C.A.; Nannestad, T.B.; Weihe, H.; Powell, A.K.; Ollivier, J.; Bendix, J.; et al. LnDOTA puppeteering: Removing the water molecule and imposing tetragonal symmetry. Chem. Sci. 2023, 15, 113–123. [Google Scholar] [CrossRef] [PubMed]
- Benelli, C.; Gatteschi, D. Introduction to Molecular Magnetism; Wiley: Hoboken, NJ, USA, 2015. [Google Scholar]
- Ungur, L.; Chibotaru, L.F. Ab Initio Crystal Field for Lanthanides. Chem. Eur. J. 2017, 23, 3708–3718. [Google Scholar] [CrossRef] [PubMed]
- Prša, K.; Nehrkorn, J.; Corbey, J.; Evans, W.; Demir, S.; Long, J.; Guidi, T.; Waldmann, O. Perspectives on Neutron Scattering in Lanthanide-Based Single-Molecule Magnets and a Case Study of the Tb2(μ-N2) System. Magnetochemistry 2016, 2, 45. [Google Scholar] [CrossRef]
- Mutschler, J.; Ruppert, T.; Peng, Y.; Schlittenhardt, S.; Schneider, Y.F.; Braun, J.; Anson, C.E.; Ollivier, J.; Berrod, Q.; Zanotti, J.M.; et al. Finding lanthanide magnetic anisotropy axes in 3d-4f butterfly single-molecule magnets using inelastic neutron scattering. Cell Rep. Phys. Sci. 2025, 6, 102848. [Google Scholar] [CrossRef]
- Waldmann, O. Relation between Electrostatic Charge Density and Spin Hamiltonian Models of Ligand Field in Lanthanide Complexes. Inorg. Chem. 2025, 64, 1365–1378. [Google Scholar] [CrossRef]
- Waldmann, O. Chiral symmetry in ligand field models with a focus on lanthanides. Z. Für Naturforschung A 2025, 81, 97–107. [Google Scholar] [CrossRef]
- Jumper, J.; Evans, R.; Pritzel, A.; Green, T.; Figurnov, M.; Ronneberger, O.; Tunyasuvunakool, K.; Bates, R.; Žídek, A.; Potapenko, A.; et al. Highly accurate protein structure prediction with AlphaFold. Nature 2021, 596, 583–589. [Google Scholar] [CrossRef]
- Hopfield, J.J. Neural networks and physical systems with emergent collective computational abilities. Proc. Natl. Acad. Sci. USA 1982, 79, 2554–2558. [Google Scholar] [CrossRef]
- Fahlman, S.E.; Hinton, G.E.; Sejnowski, T.J. Massively Parallel Architectures for AI: NETL, Thistle, and Boltzmann Machines. In Proceedings of the AAAI Conference on Artificial Intelligence, Washington, DC, USA, 22–26 August 1983; AAAI Press: Washington, DC, USA, 1983; Volume 3, pp. 109–113. [Google Scholar]
- Hinton, G.E. Computation by neural networks. Nat. Neurosci. 2000, 3, 1170. [Google Scholar] [CrossRef]
- Behler, J.; Parrinello, M. Generalized Neural-Network Representation of High-Dimensional Potential-Energy Surfaces. Phys. Rev. Lett. 2007, 98, 146401. [Google Scholar] [CrossRef] [PubMed]
- Bartok, A.P.; Payne, M.C.; Kondor, R.; Csanyi, G. Gaussian Approximation Potentials: The Accuracy of Quantum Mechanics, without the Electrons. Phys. Rev. Lett. 2010, 104, 136403. [Google Scholar] [CrossRef] [PubMed]
- Wang, G.; Wang, C.; Zhang, X.; Li, Z.; Zhou, J.; Sun, Z. Machine learning interatomic potential: Bridge the gap between small-scale models and realistic device-scale simulations. iScience 2024, 27, 109673. [Google Scholar] [CrossRef] [PubMed]
- Dick, S.; Fernandez-Serra, M. Machine learning accurate exchange and correlation functionals of the electronic density. Nat. Commun. 2020, 11, 3509. [Google Scholar] [CrossRef]
- Kirkpatrick, J.; McMorrow, B.; Turban, D.H.P.; Gaunt, A.L.; Spencer, J.S.; Matthews, A.G.D.G.; Obika, A.; Thiry, L.; Fortunato, M.; Pfau, D.; et al. Pushing the frontiers of density functionals by solving the fractional electron problem. Science 2021, 374, 1385–1389. [Google Scholar] [CrossRef]
- Ren, S.; Fonseca, E.; Perry, W.; Cheng, H.P.; Zhang, X.G.; Hennig, R.G. Ligand Optimization of Exchange Interaction in Co(II) Dimer Single Molecule Magnet by Machine Learning. J. Phys. Chem. A 2022, 126, 529–535. [Google Scholar] [CrossRef]
- Silva Junior, H.C.; Menezes, H.N.S.; Ferreira, G.B.; Guedes, G.P. Rapid and Accurate Prediction of the Axial Magnetic Anisotropy in Cobalt(II) Complexes Using a Machine-Learning Approach. Inorg. Chem. 2023, 62, 14838–14842. [Google Scholar] [CrossRef]
- Lunghi, A.; Sanvito, S. Multiple spin-phonon relaxation pathways in a Kramer single-ion magnet. J. Chem. Phys. 2020, 153, 174113. [Google Scholar] [CrossRef]
- Briganti, V.; Lunghi, A. A machine-learning framework for accelerating spin-lattice relaxation simulations. npj Comput. Mater. 2025, 11, 62. [Google Scholar] [CrossRef]
- Zaverkin, V.; Netz, J.; Zills, F.; Köhn, A.; Kästner, J. Thermally Averaged Magnetic Anisotropy Tensors via Machine Learning Based on Gaussian Moments. J. Chem. Theory Comput. 2022, 18, 1–12. [Google Scholar] [CrossRef]
- Holleis, L.; Shivaram, B.S.; Balachandran, P.V. Machine learning guided design of single-molecule magnets for magnetocaloric applications. Appl. Phys. Lett. 2019, 114, 222404. [Google Scholar] [CrossRef]
- Lunghi, A.; Sanvito, S. Computational design of magnetic molecules and their environment using quantum chemistry, machine learning and multiscale simulations. Nat. Rev. Chem. 2022, 6, 761–781. [Google Scholar] [CrossRef] [PubMed]
- Frangoulis, L.; Khatibi, Z.; Mariano, L.A.; Lunghi, A. Generating New Coordination Compounds via Multireference Simulations, Genetic Algorithms, and Machine Learning: The Case of Co(II) and Dy(III) Molecular Magnets. JACS Au 2025, 5, 3808–3821. [Google Scholar] [CrossRef] [PubMed]
- Strandgaard, M.; Linjordet, T.; Kneiding, H.; Burnage, A.L.; Nova, A.; Jensen, J.H.; Balcells, D. A Deep Generative Model for the Inverse Design of Transition Metal Ligands and Complexes. JACS Au 2025, 5, 2294–2308. [Google Scholar] [CrossRef] [PubMed]
- Lunghi, A.; Sanvito, S. Surfing Multiple Conformation-Property Landscapes via Machine Learning: Designing Single-Ion Magnetic Anisotropy. J. Phys. Chem. C 2020, 124, 5802–5806. [Google Scholar] [CrossRef]
- Atanasov, M.; Ganyushin, D.; Sivalingam, K.; Neese, F. A Modern First-Principles View on Ligand Field Theory Through the Eyes of Correlated Multireference Wavefunctions. In Molecular Electronic Structures of Transition Metal Complexes II; Mingos, D.M.P., Day, P., Dahl, J.P., Eds.; Structure and Bonding; Springer: Berlin/Heidelberg, Germany, 2012; Volume 143, pp. 149–220. [Google Scholar] [CrossRef]
- Singh, S.K.; Eng, J.; Atanasov, M.; Neese, F. Covalency and chemical bonding in transition metal complexes: An ab initio based ligand field perspective. Coord. Chem. Rev. 2017, 344, 2–25. [Google Scholar] [CrossRef]
- Dey, S.; Sharma, T.; Sarkar, A.; Rajaraman, G. Ab Initio Modelling of Lanthanide-Based Molecular Magnets: Where to from Here? In Computational Modelling of Molecular Nanomagnets; Rajaraman, G., Ed.; Challenges and Advances in Computational Chemistry and Physics; Springer International Publishing: Cham, Switzerland, 2023; Volume 34, pp. 291–394. [Google Scholar] [CrossRef]
- Jung, J.; Atanasov, M.; Neese, F. Ab Initio Ligand-Field Theory Analysis and Covalency Trends in Actinide and Lanthanide Free Ions and Octahedral Complexes. Inorg. Chem. 2017, 56, 8802–8816. [Google Scholar] [CrossRef]
- Jung, J.; Islam, M.A.; Pecoraro, V.L.; Mallah, T.; Berthon, C.; Bolvin, H. Derivation of Lanthanide Series Crystal Field Parameters From First Principles. Chem. Eur. J. 2019, 25, 15112–15122. [Google Scholar] [CrossRef]
- Gupta, T.; Singh, M.K.; Rajaraman, G. Role of Ab Initio Calculations in the Design and Development of Lanthanide Based Single Molecule Magnets. In Organometallic Magnets; Chandrasekhar, V., Pointillart, F., Eds.; Topics in Organometallic Chemistry; Springer International Publishing: Cham, Switzerland, 2019; Volume 64, pp. 281–354. [Google Scholar] [CrossRef]
- Swain, A.; Sarkar, A.; Rajaraman, G. Role of Ab Initio Calculations in the Design and Development of Organometallic Lanthanide-Based Single-Molecule Magnets. Chem. Asian J. 2019, 14, 4056–4073. [Google Scholar] [CrossRef]
- Soncini, A.; Piccardo, M. Ab initio non-covalent crystal field theory for lanthanide complexes: A multiconfigurational non-orthogonal group function approach. Phys. Chem. Chem. Phys. 2022, 24, 18915–18930. [Google Scholar] [CrossRef]
- Bishop, C.M. Mixture Density Networks; Technical Report; Aston University: Birmingham, UK, 1994. [Google Scholar]
- Mao, Y.; Yang, Z.; Jha, D.; Paul, A.; Liao, W.k.; Choudhary, A.; Agrawal, A. Generative Adversarial Networks and Mixture Density Networks-Based Inverse Modeling for Microstructural Materials Design. Integr. Mater. Manuf. Innov. 2022, 11, 637–647. [Google Scholar] [CrossRef]
- Yang, Z.; Jha, D.; Paul, A.; Liao, W.-K.; Choudhary, A.; Agrawal, A. A General Framework Combining Generative Adversarial Networks and Mixture Density Networks for Inverse Modeling in Microstructural Materials Design. arXiv 2021, arXiv:2101.10553. [Google Scholar] [CrossRef]
- Ardizzone, L.; Kruse, J.; Wirkert, S.; Rahner, D.; Pellegrini, E.W.; Klessen, R.S.; Maier-Hein, L.; Rother, C.; Köthe, U. Analyzing Inverse Problems with Invertible Neural Networks. In Proceedings of the 6th International Conference on Learning Representations (ICLR 2018), Vancouver, BC, Canada, 30 April–3 May 2018. [Google Scholar]
- Chung, H.; Kim, J.; McCann, M.T.; Klasky, M.L.; Ye, J.C. Diffusion Posterior Sampling for General Noisy Inverse Problems. In Proceedings of the Eleventh International Conference on Learning Representations, ICLR 2023, Kigali, Rwanda, 1–5 May 2023. [Google Scholar]
- Daras, G.; Chung, H.; Lai, C.H.; Mitsufuji, Y.; Ye, J.C.; Milanfar, P.; Dimakis, A.G.; Delbracio, M. A Survey on Diffusion Models for Inverse Problems. arXiv 2024, arXiv:2410.00083. [Google Scholar] [CrossRef]
- Chen, Z.; Andrejevic, N.; Drucker, N.C.; Nguyen, T.; Xian, R.P.; Smidt, T.; Wang, Y.; Ernstorfer, R.; Tennant, D.A.; Chan, M.; et al. Machine learning on neutron and X-ray scattering and spectroscopies. Chem. Phys. Rev. 2021, 2, 031301. [Google Scholar] [CrossRef]
- Samarakoon, A.M.; Alan Tennant, D. Machine learning for magnetic phase diagrams and inverse scattering problems. J. Phys. Condens. Matter 2021, 34, 044002. [Google Scholar] [CrossRef] [PubMed]
- Samarakoon, A.; Tennant, D.A.; Ye, F.; Zhang, Q.; Grigera, S.A. Integration of machine learning with neutron scattering for the Hamiltonian tuning of spin ice under pressure. Commun. Mater. 2022, 3, 84. [Google Scholar] [CrossRef]
- Samarakoon, A.M.; Laurell, P.; Balz, C.; Banerjee, A.; Lampen-Kelley, P.; Mandrus, D.; Nagler, S.E.; Okamoto, S.; Tennant, D.A. Extraction of interaction parameters for -RuCl_3 from neutron data using machine learning. Phys. Rev. Res. 2022, 4, L022061. [Google Scholar] [CrossRef]
- Cheng, Y.; Wu, G.; Pajerowski, D.M.; Stone, M.B.; Savici, A.T.; Li, M.; Ramirez-Cuesta, A.J. Direct prediction of inelastic neutron scattering spectra from the crystal structure*. Mach. Learn. Sci. Technol. 2023, 4, 015010. [Google Scholar] [CrossRef]
- Wang, H.; Du, R.; Liu, Z.; Zhang, J. Machine learning in neutron scattering data analysis. J. Radiat. Res. Appl. Sci. 2024, 17, 100870. [Google Scholar] [CrossRef]
- Ali, Z.A.; Mutschler, J.; Waldmann, O. Determination of ligand field parameters of single-molecule magnets from magnetic susceptibility using deep learning based inverse models. Phys. Rev. B 2025, 112, 064403. [Google Scholar] [CrossRef]
- Peng, Y.; Mereacre, V.; Anson, C.E.; Powell, A.K. Butterfly M2IIIEr2 (MIII = Fe and Al) SMMs: Synthesis, Characterization, and Magnetic Properties. ACS Omega 2018, 3, 6360–6368. [Google Scholar] [CrossRef]
- Bishop, C.M. Pattern Recognition and Machine Learning; Springer: Berlin/Heidelberg, Germany, 2006. [Google Scholar]
- Hastie, T.; Tibshirani, R.; Friedman, J. The Elements of Statistical Learning: Data Mining, Inference, and Prediction, 2nd ed.; Springer: Berlin/Heidelberg, Germany, 2009. [Google Scholar] [CrossRef]
- Murphy, K.P. Machine Learning: A Probabilistic Perspective; MIT Press: Cambridge, MA, USA, 2012. [Google Scholar]
- Goodfellow, I.; Bengio, Y.; Courville, A. Deep Learning; Adaptive Computation and Machine Learning; The MIT Press: Cambridge, MA, USA, 2016. [Google Scholar]
- Jordan, M.I.; Mitchell, T.M. Machine learning: Trends, perspectives, and prospects. Science 2015, 349, 255–260. [Google Scholar] [CrossRef] [PubMed]
- LeCun, Y.; Bengio, Y.; Hinton, G. Deep learning. Nature 2015, 521, 436–444. [Google Scholar] [CrossRef] [PubMed]
- OECD. Explanatory Memorandum on the Updated OECD Definition of an AI System; DSTI/CDEP/AIGO(2023)8/FINAL; Technical Report 8; OECD: Paris, France, 2024. [Google Scholar]
- Russell, S.J.; Norvig, P. Artificial Intelligence: A Modern Approach, 4th ed.; Pearson: London, UK, 2020. [Google Scholar]
- Press, W.H.; Teukolsky, S.A.; Vetterling, W.T.; Flannery, B.P. Numerical Recipes in C: The Art of Scientific Computing, 2nd ed.; Cambridge University Press: New York, NY, USA, 1992. [Google Scholar]
- Hornik, K.; Stinchcombe, M.; White, H. Multilayer feedforward networks are universal approximators. Neural Netw. 1989, 2, 359–366. [Google Scholar] [CrossRef]
- Kingma, D.P.; Welling, M. An Introduction to Variational Autoencoders. Found. Trends Mach. Learn. 2019, 12, 307–392. [Google Scholar]
- Plataniotis, K.N.; Hatzinakos, D. Gaussian Mixtures and Their Applications to Signal Processing. In Advanced Signal Processing Handbook: Theory and Implementation for Radar, Sonar, and Medical Imaging Real Time Systems; Stergiopoulos, S., Ed.; CRC Press: Boca Raton, FL, USA, 2000; Chapter 3. [Google Scholar]
- Shorten, C.; Khoshgoftaar, T.M. A survey on Image Data Augmentation for Deep Learning. J. Big Data 2019, 6, 60. [Google Scholar] [CrossRef]
- Maharana, K.; Mondal, S.; Nemade, B. A review: Data pre-processing and data augmentation techniques. Glob. Transit. Proc. 2022, 3, 91–99. [Google Scholar] [CrossRef]
- Alomar, K.; Aysel, H.I.; Cai, X. Data Augmentation in Classification and Segmentation: A Survey and New Strategies. J. Imaging 2023, 9, 46. [Google Scholar] [CrossRef]
- Bahtiyar, H.; Soydaner, D.; Yüksel, E. Application of multilayer perceptron with data augmentation in nuclear physics. Appl. Soft Comput. 2022, 128, 109470. [Google Scholar] [CrossRef]
- Del-Pozo-Bueno, D.; Kepaptsoglou, D.; Ramasse, Q.M.; Peiró, F.; Estradé, S. Machine Learning Data Augmentation Strategy for Electron Energy Loss Spectroscopy: Generative Adversarial Networks. Microsc. Microanal. 2024, 30, 278–293. [Google Scholar] [CrossRef]
- Barra, A.L.; Gatteschi, D.; Sessoli, R. High-frequency EPR spectra of a molecular nanomagnet: Understanding quantum tunneling of the magnetization. Phys. Rev. B 1997, 56, 8192–8198. [Google Scholar] [CrossRef]
- Bircher, R.; Chaboussant, G.; Sieber, A.; Güdel, H.U.; Mutka, H. Transverse magnetic anisotropy in Mn12 acetate: Direct determination by inelastic neutron scattering. Phys. Rev. B 2004, 70, 212413. [Google Scholar] [CrossRef]
- Barra, A.L.; Caneschi, A.; Cornia, A.; Gatteschi, D.; Gorini, L.; Heiniger, L.P.; Sessoli, R.; Sorace, L. The origin of transverse anisotropy in axially symmetric single molecule magnets. J. Am. Chem. Soc. 2007, 129, 10754–10762. [Google Scholar] [CrossRef] [PubMed]
- Furrer, A.; Waldmann, O. Magnetic cluster excitations. Rev. Mod. Phys. 2013, 85, 367–420. [Google Scholar] [CrossRef]
- Comba, P.; Enders, M.; Großhauser, M.; Hiller, M.; Klingeler, R.; Koo, C.; Müller, D.; Rajaraman, G.; Swain, A.; Tavhelidse, M.; et al. Validation of Ab-Initio-Predicted Magnetic Anisotropies and Magneto-structural Correlations in Linear Hetero-trinuclear DyIII -NiII2 Compounds. Chem. Eur. J. 2021, 27, 9372–9382. [Google Scholar] [CrossRef]
- Arneth, J.; Li, X.F.; Braun, J.; Paul, S.; Schulze, M.; Anson, C.E.; Wernsdorfer, W.; Powell, A.K.; Klingeler, R. The Interplay of Single Ion Anisotropy and Magnetic 3d–4f Interactions in VIII2 LnIII2 Butterfly Complexes. Chem. Eur. J. 2025, 3, e202500011. [Google Scholar] [CrossRef]
- Mutschler, J.; Ruppert, T.; Strahringer, J.; Schlittenhardt, S.; Ali, Z.A.; Peng, Y.; Anson, C.E.; Ruben, M.; Powell, A.K.; Waldmann, O. Transferability of Ligand Field Parameters in a Family of 3d-4f M2Ln2 Butterfly Single-Molecule Magnets. Inorg. Chem. 2025, 64, 6115–6124. [Google Scholar] [CrossRef]
- Ishikawa, N.; Sugita, M.; Ishikawa, T.; Koshihara, S.Y.; Kaizu, Y. Lanthanide double-decker complexes functioning as magnets at the single-molecular level. J. Am. Chem. Soc. 2003, 125, 8694–8695. [Google Scholar] [CrossRef]
- Hiller, M.; Krieg, S.; Ishikawa, N.; Enders, M. Ligand-Field Energy Splitting in Lanthanide-Based Single-Molecule Magnets by NMR Spectroscopy. Inorg. Chem. 2017, 56, 15285–15294. [Google Scholar] [CrossRef]
- Hallmen, P.P.; Köppl, C.; Rauhut, G.; Stoll, H.; van Slageren, J. Fast and reliable ab initio calculation of crystal field splittings in lanthanide complexes. J. Chem. Phys. 2017, 147, 164101. [Google Scholar] [CrossRef]
- Briganti, M.; Garcia, G.F.; Jung, J.; Sessoli, R.; Le Guennic, B.; Totti, F. Covalency and magnetic anisotropy in lanthanide single molecule magnets: The DyDOTA archetype. Chem. Sci. 2019, 10, 7233–7245. [Google Scholar] [CrossRef] [PubMed]
- Wu, X.; Li, J.F.; Yin, B. The interpretation and prediction of lanthanide single-ion magnets from ab initio electronic structure calculation: The capability and limit. Dalton Trans. 2022, 51, 14793–14816. [Google Scholar] [CrossRef] [PubMed]
- Hutchings, M.T. Point-Charge Calculations of Energy Levels of Magnetic Ions in Crystalline Electric Fields. In Solid State Physics; Seitz, F., Turnbull, D., Eds.; Academic Press: Cambridge, MA, USA, 1964; Volume 16, pp. 227–273. [Google Scholar] [CrossRef]
- Morrison, C.A. Classical Point-Charge Model; Springer: Berlin/Heidelberg, Germany, 1988; Volume 47. [Google Scholar]
- Newman, D.J.; Ng, B. The superposition model of crystal fields. Rep. Prog. Phys. 1989, 52, 699–762. [Google Scholar] [CrossRef]
- Schäffer, C.E.; Jørgensen, C.K. The angular overlap model, an attempt to revive the ligand field approaches. Mol. Phys. 1965, 9, 401–412. [Google Scholar] [CrossRef]
- Urland, W. On the ligand-field potential for f electrons in the angular overlap model. Chem. Phys. 1976, 14, 393–401. [Google Scholar] [CrossRef]
- Schönherr, T.; Atanasov, M.; Adamsky, H. Angular Overlap Model. In Comprehensive Coordination Chemistry II; Elsevier: Amsterdam, The Netherlands, 2003; pp. 443–455. [Google Scholar] [CrossRef]
- Suta, M.; Cimpoesu, F.; Urland, W. The angular overlap model of ligand field theory for f elements: An intuitive approach building bridges between theory and experiment. Coord. Chem. Rev. 2021, 441, 213981. [Google Scholar] [CrossRef]
- Malta, O.L. A simple overlap model in lanthanide crystal-field theory. Chem. Phys. Lett. 1982, 87, 27–29. [Google Scholar] [CrossRef]
- Porcher, P.; Couto Dos Santos, M.; Malta, O. Relationship between phenomenological crystal field parameters and the crystal structure: The simple overlap model. Phys. Chem. Chem. Phys. 1999, 1, 397–405. [Google Scholar] [CrossRef]
- Gajek, Z. Enhanced angular overlap model for nonmetallic f-electron systems. Phys. Rev. B 2005, 72, 045139. [Google Scholar] [CrossRef]
- Baldoví, J.J.; Borrás-Almenar, J.J.; Clemente-Juan, J.M.; Coronado, E.; Gaita-Ariño, A. Modeling the properties of lanthanoid single-ion magnets using an effective point-charge approach. Dalton Trans. 2012, 41, 13705–13710. [Google Scholar] [CrossRef]
- Baldoví, J.J.; Clemente-Juan, J.M.; Coronado, E.; Gaita-Ariño, A.; Palii, A. An updated version of the computational package SIMPRE that uses the standard conventions for Stevens crystal field parameters. J. Comput. Chem. 2014, 35, 1930–1934. [Google Scholar] [CrossRef]
- Jiang, S.D.; Qin, S.X. Prediction of the quantized axis of rare-earth ions: The electrostatic model with displaced point charges. Inorg. Chem. Front. 2015, 2, 613–619. [Google Scholar] [CrossRef]
- Baldoví, J.J.; Gaita-Ariño, A.; Coronado, E. Modeling the magnetic properties of lanthanide complexes: Relationship of the REC parameters with Pauling electronegativity and coordination number. Dalton Trans. 2015, 44, 12535–12538. [Google Scholar] [CrossRef]
- Ramanantoanina, H.; Urland, W.; Cimpoesu, F.; Daul, C. The angular overlap model extended for two-open-shell f and d electrons. Phys. Chem. Chem. Phys. 2014, 16, 12282–12290. [Google Scholar] [CrossRef]
- Dun, Z.; Bai, X.; Stone, M.B.; Zhou, H.; Mourigal, M. Effective point-charge analysis of crystal fields: Application to rare-earth pyrochlores and tripod kagome magnets R3Mg2Sb3O14. Phys. Rev. Res. 2021, 3, 023012. [Google Scholar] [CrossRef]
- Görller-Walrand, C.; Binnemans, K. Chapter 155 Rationalization of crystal-field parametrization. In Handbook on the Physics and Chemistry of Rare Earths; Elsevier: Amsterdam, The Netherlands, 1996; Volume 23, pp. 121–283. [Google Scholar] [CrossRef]
- Hoggard, P.E. Angular Overlap Model parameters. In Optical Spectra and Chemical Bonding in Inorganic Compounds; Structure and Bonding; Mingos, D.M.P., Schönherr, T., Eds.; Springer: Berlin/Heidelberg, Germany, 2004; Volume 106, pp. 37–57. [Google Scholar] [CrossRef]
- Tamura, R.; Hukushima, K.; Matsuo, A.; Kindo, K.; Hase, M. Data-driven determination of the spin Hamiltonian parameters and their uncertainties: The case of the zigzag-chain compound KCu4P3O12. Phys. Rev. B 2020, 101, 224435. [Google Scholar] [CrossRef]
- Bellman, R. Dynamic Programming; Princeton University Press: Princeton, NJ, USA, 1957. [Google Scholar]
- Scott, D.W. Multivariate Density Estimation: Theory, Practice, and Visualization, 2nd ed.; Wiley: London, UK, 2015. [Google Scholar] [CrossRef]
- Altman, N.; Krzywinski, M. The curse(s) of dimensionality. Nat. Methods 2018, 15, 399–400. [Google Scholar] [CrossRef]
- Silverman, B.W. Density Estimation for Statistics and Data Analysis; Chapman and Hall: Boca Raton, FL, USA, 1986. [Google Scholar]







Disclaimer/Publisher’s Note: The statements, opinions and data contained in all publications are solely those of the individual author(s) and contributor(s) and not of MDPI and/or the editor(s). MDPI and/or the editor(s) disclaim responsibility for any injury to people or property resulting from any ideas, methods, instructions or products referred to in the content. |
© 2026 by the authors. Licensee MDPI, Basel, Switzerland. This article is an open access article distributed under the terms and conditions of the Creative Commons Attribution (CC BY) license.
Share and Cite
Ali, Z.A.; Tewatia, P.; Waldmann, O. Perspectives of Machine Learning for Ligand-Field Analyses in Lanthanide-Based Single Molecule Magnets. Magnetochemistry 2026, 12, 19. https://doi.org/10.3390/magnetochemistry12020019
Ali ZA, Tewatia P, Waldmann O. Perspectives of Machine Learning for Ligand-Field Analyses in Lanthanide-Based Single Molecule Magnets. Magnetochemistry. 2026; 12(2):19. https://doi.org/10.3390/magnetochemistry12020019
Chicago/Turabian StyleAli, Zayan Ahsan, Preeti Tewatia, and Oliver Waldmann. 2026. "Perspectives of Machine Learning for Ligand-Field Analyses in Lanthanide-Based Single Molecule Magnets" Magnetochemistry 12, no. 2: 19. https://doi.org/10.3390/magnetochemistry12020019
APA StyleAli, Z. A., Tewatia, P., & Waldmann, O. (2026). Perspectives of Machine Learning for Ligand-Field Analyses in Lanthanide-Based Single Molecule Magnets. Magnetochemistry, 12(2), 19. https://doi.org/10.3390/magnetochemistry12020019

