Next Article in Journal
Research on 3D Magnetic Memory Signals Induced by Circular Hole Defects
Previous Article in Journal
Development of NiZn Ferrites Doped with Co for Low Power Losses at High Frequencies (10 MHz) and High Temperatures (>80 °C)
 
 
Font Type:
Arial Georgia Verdana
Font Size:
Aa Aa Aa
Line Spacing:
Column Width:
Background:
Article

Synthesis, Structure and Magnetic Properties of Sm6−xLaxMn23 (0.5 ≤ x ≤ 4) Alloys

1
College of Materials Science and Chemistry, China Jiliang University, Hangzhou 310018, China
2
Nano Materials Research Division, Korea Institute of Materials Science, Changwon 51508, Republic of Korea
*
Authors to whom correspondence should be addressed.
Magnetochemistry 2025, 11(5), 45; https://doi.org/10.3390/magnetochemistry11050045
Submission received: 23 April 2025 / Revised: 11 May 2025 / Accepted: 19 May 2025 / Published: 21 May 2025
(This article belongs to the Section Magnetic Materials)

Abstract

The structure and magnetic properties of Sm6−xLaxMn23 (x = 0.5, 1, 2, 3 and 4) alloys have been studied systematically. We found that the Th6Mn23-type Sm6−xLaxMn23 alloys become less stable with increasing La content, and α-Mn becomes the dominant phase at x = 4. More impurities were found to present in Sm5LaMn23 samples prepared by a rapid solidification process than those present in the as-cast ingots. The coercivity of Sm4La2Mn23 induction-melted ingots and Sm5LaMn23 melt-spun ribbons reached up to 0.47 T and 0.53 T, respectively, indicating potential applications of this alloy in hard magnetic materials. The Curie temperature of Sm6−xLaxMn23 falls in the range of 398 K for x = 1 to 438 K for x = 3. The La-substitution results in a reduced saturation magnetization of Sm6−xLaxMn23, owing to a reduced total-magnetic-moment contribution of the Sm-sublattices. This work provides us a deeper understanding of the effect of La-substitution on the structure and magnetic properties of the ternary La-Sm-Mn alloys.

1. Introduction

A number of Fe-based and Co-based rare earth (R) intermetallic compounds have been studied systematically in terms of their structure and magnetic properties [1,2,3,4]. However, studies on Mn-based rare earth intermetallic alloys are limited. Although some scattered studies on R-Mn intermetallic systems can be traced back to the middle of the last century, the magnetic properties of R-Mn alloys remain unclear due to their high complexity in crystallographic and magnetic structures. Binary Sm6Mn23 crystallizes in a face-centered Th6Mn23-type cubic structure in which there are five crystallographically non-equivalent positions (24e, 4b, 24d, 32f1 and 32f2) [5]. The Sm atoms occupy the 24e positions while the Mn atoms occupy the four remaining non-equivalent positions. The interactions between the localized magnetic moments of the R atoms, originating from the 4f shell, and the magnetic moments of the Mn atoms, due to the 3d shell, are very complex [5]. A net antiparallel coupling of Sm moments and Mn moments is found to exist in the Sm6Mn23 alloys, which arises from a non-collinear rare earth magnetic structure and a ferrimagnetic Mn magnetic structure [6]. Moreover, Sm in Sm6Mn23 was found to have about the same crystal field parameter as that in SmCo5, about −200 K, which could lead to high magnetic anisotropy and thus the development of the large coercivity needed for permanent magnet materials [6].
Although the Sm6Mn23 phase is a thermal stable phase, there is no thermally stable La-Mn binary alloyed phase according to the La-Mn binary phase diagram [7]. It is known that elemental substitution usually has substantial effects on the structure and magnetic properties of a compound. The effect of the substitution of Mn with Fe on the magnetic properties of Sm6Mn23 has been studied previously [8,9], while the studies on the substitution of Sm in Sm6Mn23 with other rare earth elements are relatively rare. It should be noted that the effects of La-substitution on the magnetic properties of Nd-Fe-B have been studied systematically [10,11]. After La-substitution, melt-spun (Nd1−xLax)13Fe81B6 (0 ≤ x ≤ 0.5) alloys and the alloy containing 40 at. % La have more uniform and refined microstructures, resulting in enhanced magnetic properties and thermal stability [11]. An enhanced coercivity in a sample of Sm5LaMn23 induction-melted ingots was observed in our previous work but no systematic studies of La-substitution have been conducted [12]. The investigations of Sm6−xLaxMn23 compounds with an extended composition range and a different preparation method in this work provide us a deeper understanding of the effect of La-substitution on the structure and magnetic properties of the ternary alloys of Sm6−xLaxMn23.

2. Materials and Methods

The Sm6−xLaxMn23 master alloys with nominal composition of x = 0.5, 1, 2, 3, and 4 were prepared by induction melting manganese (iTASCO, Seoul, Republic of Korea), lanthanum, and samarium metals of 99.95% purity under an argon atmosphere and then cooling down naturally. The as-prepared Sm5LaMn23 ingot was placed in a quartz tube with an orifice at the bottom. After that, the Sm5LaMn23 alloy was induction-melted again and ejected through the quartz tube orifice with argon onto a rotating water-cooling copper wheel. The as-prepared melt-spun ribbons were annealed in vacuum at 1023 K for 20 min.
The structure of the as-prepared alloys and LaSm5Mn23 melt-spun ribbons was characterized by using an X-ray diffractometer (XRD: Rigaku A/Max 2500, Tokyo, Japan) operating at 40 kV with Cu-Kα radiation. The scan range is 2θ = 20–80°, with a step size of 0.02° and a scan speed of 7° min−1. The microstructure of the samples was analyzed by using a scanning electron microscope (SEM, JSM-6610LV, Tokyo, Japan) equipped with an energy-dispersive X-ray spectrometer (EDX). The magnetic properties of the samples were assessed by using a Quantum Design physical property measurement system (PPMS, San Diego, CA, USA) under an applied magnetic field up to 6 Tesla.

3. Results and Discussion

Figure 1 shows the room temperature X-ray power patterns of Sm6−xLaxMn23 (x = 0.5, 2, 3 and 4) induction-melted ingots and Sm6−xLaxMn23 (x = 1) melt-spun ribbons after annealing. The main phase of Sm6−xLaxMn23 (x = 0.5, 2, 3) ingots and the x = 1 melt-spun ribbons could be indexed with the Th6Mn23 cubic structure. It seems that the Th6Mn23 phase in the x = 1 melt-spun ribbons segregates into two phases with two varied lattice parameters due to compositional inhomogeneity. In our previous work, an Sm5LaMn23 ingot was synthesized by the induction-melting method, with a mainly cubic Th6Mn23 structure and a small presence of α-Mn and Sm2O3 [12]. It is known that the lattice parameters of R6Mn23 vary slightly with varying R elements. The presence of two kinds of Th6Mn23-phase with varied lattice parameters in the rapidly solidified samples was ascribed to the thermally meta-stable characteristic of the rapidly quenched samples, in which the (Sm, La)6Mn23 phase may exhibit a locally varying La/Mn ratio and thus a varied lattice parameter. An annealing process can usually promote the increased growth of the rapidly quenched ribbons, but may also promote phase decomposition of meta-stable phases. In addition, when the melt is cooling down slowly, as in the case of an ingot in [12], the (Sm, La)6Mn23 phase may have enough time to form a relatively homogenous phase. The relative intensity of the peaks of the Th6Mn23 phase at 37.5 and 40.4 reverse gradually with an increasing x substitution, as seen in x = 0.5, 2, 3. We speculate that such gradual change might be due to the change in the atomic scattering factor of the X-ray after substitution. The high peak at 42.5 of the x = 3 sample was ascribed to the formation of Mn instead of the Th6Mn23 phase.
The minor phases in Sm6−xLaxMn23 (x = 0.5, 1, 2, and 3) ingots/ribbons could be indexed with Sm2O3 and α-Mn, which increases in proportion with an increasing x, indicating the decreasing stability of the Sm6−xLaxMn23 phase with an increasing x. Noticeably, the (3, 1, −3) plane at 41.93° of Sm2O3 (space group C12/m1) in the x = 3 ingot seems to overlap with 42.01° of the Th6Mn23 phase in the x = 2 ingot. We ascribe the appearance of α-Mn in Sm6−xLaxMn23 (x = 0.5, 2) to Sm evaporation and the precipitation of the unreacted Mn when the high temperature melt was cooling down. Since a thermodynamically stable La-Sm binary phase does not exist, an increasing La content would also increase the fraction of the unreacted Mn phase. The formation of Sm2O3 was ascribed to the oxidation of the fine powders of the samples during XRD experiments when exposed to air. The lattice parameters of Sm6−xLaxMn23 with x = 0.5, 2, and 3 are estimated to be 12.616 Å, 12.631 Å, and 12.656 Å, respectively. The lattice parameter of Sm6Mn23 was reported to be 12.594 Å in a previous study [13], indicating increasing lattice parameters of Sm6−xLaxMn23 with increasing La content. We ascribe the increasing lattice parameters of Sm6−xLaxMn23 with an increasing x to the larger ionic radius of La over that of Sm. The Th6Mn23 cubic structured phase almost disappears in Sm6−xLaxMn23 when x = 4, where α-Mn is the main phase, as shown in Figure 1. Owing to the increasing La content and the inhomogeneity in Sm6−xLaxMn23 (x = 1 and 4), a trace amount of La2O3 and LaMnO3 could be found.
Figure 2 shows the typical morphological microstructure of the fractured surface of Sm6−xLaxMn23 (x = 0.5, 2, and 3) alloys. The homogeneity of Sm5.5La0.5Mn23 and Sm4La2Mn23 seem better than that of Sm3La3Mn23, in agreement with the XRD results that showing less stable Th6Mn23 structure and more impurities in the samples with an increasing x. The grain size of the melt-spun ribbons with x = 1 is much smaller than that of the other samples, as manifested by a broadening of the XRD peaks, owing to the rapid solidification process of the melt-spun ribbons.
A detailed compositional analysis was conducted by using the energy-dispersive X-ray spectrum. The atomic ratio of La:Sm:Mn was estimated to be ~0.575:5.75:23 (a1), in good agreement with the nominal composition in La0.5Sm5.5Mn23 within the experimental uncertainties. It should be noted that a Mn-rich region (a2) was also observed by EDX and the atomic percentage of Mn was estimated to be 90.46% while no La element was observed. We ascribe the slight compositional deviation of Sm5.5La0.5Mn23 to the evaporation of the constituents during melting and the inhomogeneity of the samples during the cooling process. The Sm4La2Mn23 showed an atomic ratio of 1.53:5.5:23 at b1. The Sm3La3Mn23 showed a presence of matrix regions (c1) with a composition close to the nominal composition, Mn-rich regions (c2) and rare-earth-rich region (c3), as shown in Figure 2b. The atomic ratio of the rare-earth-rich region c3 was estimated to be La: Sm: Mn ~10.7:8.2:23, while the atomic percentage of Mn in Mn-rich region was almost 100 % Mn at c2, corresponding to the minor phase of the α-Mn phase, as confirmed by XRD.
The morphological observations of the Sm5LaMn23 melt-spun ribbons and the Sm2La4Mn23 ingot are shown in Figure 3. A clear phase separation of the main particulate phase separated by the inter-grain phase was observed in the melt spun ribbons, in agreement with the XRD results. The size of a domain which contains many grains with different orientations is around 3 μm or less, resulting in a broadening of the XRD diffraction peaks. It is interesting that the Sm2La4Mn23 ingots show a quite different morphology of well-ordered particles with a smooth surface and spherical dimensions of 15 μm. The formation of the unique shape of the Sm2La4Mn23 alloy is not clear. As mentioned above, the spherical micro-particles are mainly composed of α-Mn, owing to the instability of the Th6Mn23 phase at this composition.
The normalized temperature dependence of magnetization plots of Sm6−xLaxMn23 (x = 0.5, 1, 2, 3) are shown in Figure 4a. The Curie temperature (TC)—defined as the smallest of the dM/dT values—of the Sm6−xLaxMn23 ingot/ribbons was measured to be 413 K for x = 0.5, 398 K for x = 1 ribbons, 426 K for x = 2, and 438 K for x = 3 ingots, respectively. Noticeably, the TC of Sm5LaMn23 and Sm6Mn23 alloys prepared by induction melting in our previous work [12] was measured to be 403 K and 432 K, which agrees well with our results within experimental uncertainties. However, the mechanism of Tc variation with La-substitution remains unclear. It was suggested that the Mn–Mn exchange interactions in R6Mn23 may largely dominate the magnetic ordering near TC with a collinear ferrimagnetic structure and the R–Mn magnetic interactions, positive for light lanthanides, are also non-negligible at high temperatures [14]. The magnetic parameters of the samples are listed in Table 1 for comparison.
The temperature dependence of magnetizations of Sm6−xLaxMn23 (x = 0.5, 1, 2 and 3) measured under an applied magnetic field of 6 T and 5 mT is shown in Figure 4b,c. Under an applied field of 6 T, the temperature of peak magnetization of LaxSm6−xMn23 (x = 0.5, 2 and 3) ranges from 71 K to 98 K, and that of Sm6−xLaxMn23 (x = 0.5, 2 and 3) ranges from 207 K to 336 K at 5mT. The temperature shift in peak magnetization under a varied magnetic field may indicate the different M-T behaviors of different magnetic sublattices under varied applied magnetic fields. The maximum magnetization of Sm5.5La0.5Mn23 reaches 18.15 Am2/kg at 6 T and 98 K. Noticeably, the melt-spun Sm5LaMn23 ribbons show no obvious maximum magnetization at 6 T, while it exhibits a peak magnetization at the temperature of 207 K at 5 mT, owing to the field effect.
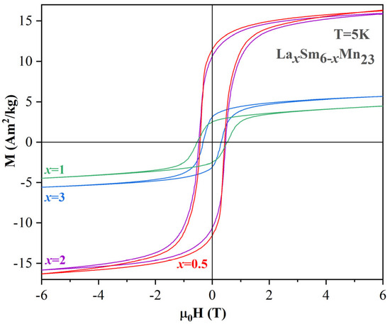
The magnetic hysteresis loops of Sm6−xLaxMn23 are shown in Figure 5. The saturation magnetization (Ms, defined as the magnetization value at 6 T) of Sm6−xLaxMn23 at 5 K corresponds to 6.308 μB for x = 0.5, 1.732 μB for x = 1, 6.115 μB for x = 2 and 2.157 μB per unit cell for x = 3. The coercivity of Sm6−xLaxMn23 at 5 K reached up to 0.44 T for x = 0.5, 0.53 T for x = 1, 0.47 for x = 2 and 0.32 T for x = 3, respectively. The saturation magnetization of the samples is closely related to the fraction of the Th6Mn23 magnetic phase in the samples. The magnetization of Sm5.5La0.5Mn23 and Sm4La2Mn23 was measured to be 11.45 Am2/kg and 10.6 Am2/kg, respectively; both are much larger than that of Sm6−xLaxMn23 with x = 1 and x = 3.

4. Conclusions

The structural and magnetic properties of Th6Mn23-type Sm6−xLaxMn23 (x = 0.5, 1, 2, 3 and 4) alloys were systematically investigated. The fraction of impurities increases with increasing La content and the Th6Mn23-type cubic structure almost disappears in Sm6−xLaxMn23 when x = 4. The melt-spun LaSm5Mn23 shows lower structural stability and saturation magnetization than that of Sm6−xLaxMn23 (x = 0.5, 1 and 2) prepared by induction melting, owing to the presence of impurities and inhomogeneous phases. The Curie temperature of Sm6−xLaxMn23 falls in the range from 398 K for x = 1 to 438 K for x = 3, owing to the La-substitution to Sm in the lattices. The Sm5.5La0.5Mn23 ingots shows a maximum Ms of 6.308 μB per unit cell and a maximum Mr of 11.45 Am2/kg.

Author Contributions

Conceptualization, P.-Z.S.; methodology, P.-Z.S.; validation, Y.-H.L.; formal analysis, P.-Z.S. and Y.-H.L.; investigation, P.-Z.S. and Y.-H.L.; resources, J.P., H.-L.G. and C.-J.C.; data curation, Z.Z. and J.-C.L.; writing—original draft preparation, Y.-H.L.; writing—review and editing, P.-Z.S. and Z.Z.; project administration, P.-Z.S.; funding acquisition, P.-Z.S. and H.-L.G. All authors have read and agreed to the published version of the manuscript.

Funding

We appreciate the support from the National Key Research and Development Program of China, No. 2023YBF3506500, the Zhejiang Provincial Natural Science Foundation, No. LD24E010004, and from the Brain Pool program funded by the Ministry of Science and ICT through the National Research Foundation of Korea, RS-2023-00284176.

Institutional Review Board Statement

Not applicable.

Informed Consent Statement

Not applicable.

Data Availability Statement

The raw data supporting the conclusions of this article will be made available by the authors on request.

Conflicts of Interest

The authors declare no conflicts of interest.

References

  1. Carvalho, T.C.; Simão, R.A.; Archanjo, B.S.; Araújo, J.R.; Pereira, K.F.X.; Barthem, V.M.T.S. The fundamental role of Ta diffusion on the high coercivity of Ta/SmCo5/Ta and Ta/Sm2Co17/Ta films. J. Alloys Compd. 2024, 990, 174414. [Google Scholar] [CrossRef]
  2. Yu, X.; Zhao, Y.; Yang, Y.; He, W.; Yang, N.D.; Sua, F.Z.; Zhu, J.Q.; Zhu, Z.K. The magnetic and electronic properties of Ho6Fe23−xCox (x = 0, 1, 2, 3). J. Magn. Magn. Mater. 2024, 597, 172029. [Google Scholar] [CrossRef]
  3. Ochirkhuyag, T.; Hong, S.C.; Odkhuu, D. Intrinsic hard magnetism and thermal stability of a ThMn12-type permanent magnet. npj Comput. Mater. 2022, 8, 193. [Google Scholar] [CrossRef]
  4. Gjoka, M.; Sarafidis, C.; Giaremis, S. Towards production of cost-effective modification of SmCo5-type alloys suitable for permanent magnets. Materials 2024, 17, 808. [Google Scholar] [CrossRef] [PubMed]
  5. Kirchmayr, H.R. Magnetic Properties of Rare Earth-Manganese Compounds. IEEE Trans. Magn. 1966, 2, 493–499. [Google Scholar] [CrossRef]
  6. Parker, F.T.; Oesterreicher, H. Analysis of magnetic interactions and structure in R6Mn23. Appl. Phys. A 1982, 27, 65–69. [Google Scholar] [CrossRef]
  7. Palenzona, A.; Cirafici, S. The La-Mn (Lanthanum-Manganese) system. J. Phase Equilibria. 1990, 11, 491–493. [Google Scholar] [CrossRef]
  8. Zarek, W.; Pardavi-Horvath, M.; Obuszko, Z. Magnetic behaviour of Sm6Mn23−xFex compounds. J. Magn. Magn. Mater. 1980, 21, 47–50. [Google Scholar] [CrossRef]
  9. Zarek, W. Magnetic clusters in Sm6(Mn1−xFex)23 compounds. J. Less—Common Met. 1982, 87, 185–204. [Google Scholar] [CrossRef]
  10. Chang, W.C.; Wu, S.H.; Ma, B.M.; Bounds, C.O. The effects of La-substitution on the microstructure and magnetic properties of nanocomposite NdFeB melt spun ribbons. J. Magn. Magn. Mater. 1997, 167, 65–70. [Google Scholar] [CrossRef]
  11. Lei, W.K.; Jiang, Q.Z.; Rehman, S.U.; He, L.K.; Hu, X.J.; Zeng, Q.W.; Tan, Q.L.; Liu, R.H.; Zhong, M.L.; Zhong, Z.C. Effect of La-substitution on microstructure and magnetic property of melt-spun (Nd1−xLax)13Fe81B6 alloys. J. Magn. Magn. Mater. 2019, 473, 155–160. [Google Scholar] [CrossRef]
  12. Nie, H.F.; Liang, Y.H.; Park, J.; Zhou, T.H.; Zhang, B.C.; Si, P.Z.; Zheng, X.; Song, Y.; Choi, C.J.; Wu, Q. Large coercivity and enhanced magnetization in La-substituted Sm6Mn23 alloys. Solid State Sci. 2024, 157, 107732. [Google Scholar] [CrossRef]
  13. Lemoine, P.; Vernière, A.; Mazet, T.; Malaman, B. Magnetic and magnetocaloric properties of R6Mn23 (R=Y, Nd, Sm, Gd-Tm, Lu) compounds. J. Magn. Magn. Mater. 2011, 323, 2690–2695. [Google Scholar] [CrossRef]
  14. Lemoine, P.; Vernière, A.; Mazet, T.; Malaman, B. Magnetic and magnetocaloric properties of Gd6−xRxMn23 (R=Y, Sm, Tb, Dy, Ho and Er) compounds. J. Alloys Compd. 2013, 578, 413–418. [Google Scholar] [CrossRef]
Figure 1. The X-ray diffraction patterns of power Sm6−xLaxMn23 (x = 0.5, 2, 3 and 4) induction-melted ingots and Sm6−xLaxMn23 (x = 1) melt-spun ribbons.
Figure 1. The X-ray diffraction patterns of power Sm6−xLaxMn23 (x = 0.5, 2, 3 and 4) induction-melted ingots and Sm6−xLaxMn23 (x = 1) melt-spun ribbons.
Magnetochemistry 11 00045 g001
Figure 2. The morphology of the fractured surfaces of (a) Sm5.5La0.5Mn23, (b) Sm4La2Mn23, and (c) Sm3La3Mn23 observed by SEM. The energy-dispersive X-ray spectrum of the samples is shown below the corresponding SEM images. The atomic ratios of La/Sm/Mn of the local compositions are listed in Table 1.
Figure 2. The morphology of the fractured surfaces of (a) Sm5.5La0.5Mn23, (b) Sm4La2Mn23, and (c) Sm3La3Mn23 observed by SEM. The energy-dispersive X-ray spectrum of the samples is shown below the corresponding SEM images. The atomic ratios of La/Sm/Mn of the local compositions are listed in Table 1.
Magnetochemistry 11 00045 g002
Figure 3. The SEM observations of (a) Sm5LaMn23 melt-spun ribbons and (b) Sm2La4Mn23 ingot.
Figure 3. The SEM observations of (a) Sm5LaMn23 melt-spun ribbons and (b) Sm2La4Mn23 ingot.
Magnetochemistry 11 00045 g003
Figure 4. (a) The normalized M-T plots for Sm6−xLaxMn23 (x = 0.5, 2 and 3) ingots and x = 1 melt-spun ribbons. (b) The temperature dependence of magnetization of Sm6−xLaxMn23 (x = 0.5, 1, 2 and 3) measured under an applied magnetic field of (b) 6 T and (c) 5 mT, respectively.
Figure 4. (a) The normalized M-T plots for Sm6−xLaxMn23 (x = 0.5, 2 and 3) ingots and x = 1 melt-spun ribbons. (b) The temperature dependence of magnetization of Sm6−xLaxMn23 (x = 0.5, 1, 2 and 3) measured under an applied magnetic field of (b) 6 T and (c) 5 mT, respectively.
Magnetochemistry 11 00045 g004
Figure 5. The magnetic hysteresis loops of Sm6−xLaxMn23 (x = 0.5, 1, 2 and 3) measured at 5 K.
Figure 5. The magnetic hysteresis loops of Sm6−xLaxMn23 (x = 0.5, 1, 2 and 3) measured at 5 K.
Magnetochemistry 11 00045 g005
Table 1. The composition, magnetic, and lattice parameters of Sm6−xLaxMn23 (x = 0, 0.5, 1, 2, 3) with a Th6Mn23-type major phase. The x = 4 sample is not listed below because its major phase is α-Mn. The data for x = 0 and x = 1 ingots were from Ref. [12].
Table 1. The composition, magnetic, and lattice parameters of Sm6−xLaxMn23 (x = 0, 0.5, 1, 2, 3) with a Th6Mn23-type major phase. The x = 4 sample is not listed below because its major phase is α-Mn. The data for x = 0 and x = 1 ingots were from Ref. [12].
x00.5123
Lattice parameter
(Å)
12.612.616Ingot 12.6712.63112.656
Ribbon 12.69/12.34
Ms
(Am2/kg)
1316.3Ingot 1615.85.6
Ribbon 6
Hc at 5 K
(T)
0.290.44Ingot 0.740.470.32
Ribbon 0.53
Tc (K)432413Ingot 403 K426438
La/Sm/Mn0/5.9/23-a10.575/5.75/23-a1 1.53/5.5/23-b10/0/1-c2
(atomic ratio)0/0/1-a20/2.6/23-a2 10.7/8.2/23-c3
Disclaimer/Publisher’s Note: The statements, opinions and data contained in all publications are solely those of the individual author(s) and contributor(s) and not of MDPI and/or the editor(s). MDPI and/or the editor(s) disclaim responsibility for any injury to people or property resulting from any ideas, methods, instructions or products referred to in the content.

Share and Cite

MDPI and ACS Style

Liang, Y.-H.; Zhang, Z.; Park, J.; Lyu, J.-C.; Ge, H.-L.; Si, P.-Z.; Choi, C.-J. Synthesis, Structure and Magnetic Properties of Sm6−xLaxMn23 (0.5 ≤ x ≤ 4) Alloys. Magnetochemistry 2025, 11, 45. https://doi.org/10.3390/magnetochemistry11050045

AMA Style

Liang Y-H, Zhang Z, Park J, Lyu J-C, Ge H-L, Si P-Z, Choi C-J. Synthesis, Structure and Magnetic Properties of Sm6−xLaxMn23 (0.5 ≤ x ≤ 4) Alloys. Magnetochemistry. 2025; 11(5):45. https://doi.org/10.3390/magnetochemistry11050045

Chicago/Turabian Style

Liang, Ying-Hua, Zhong Zhang, Jihoon Park, Jia-Cheng Lyu, Hong-Liang Ge, Ping-Zhan Si, and Chul-Jin Choi. 2025. "Synthesis, Structure and Magnetic Properties of Sm6−xLaxMn23 (0.5 ≤ x ≤ 4) Alloys" Magnetochemistry 11, no. 5: 45. https://doi.org/10.3390/magnetochemistry11050045

APA Style

Liang, Y.-H., Zhang, Z., Park, J., Lyu, J.-C., Ge, H.-L., Si, P.-Z., & Choi, C.-J. (2025). Synthesis, Structure and Magnetic Properties of Sm6−xLaxMn23 (0.5 ≤ x ≤ 4) Alloys. Magnetochemistry, 11(5), 45. https://doi.org/10.3390/magnetochemistry11050045

Note that from the first issue of 2016, this journal uses article numbers instead of page numbers. See further details here.

Article Metrics

Back to TopTop