Study on the Influence of Hall Effect on the Performance of Disk Generation Channel
Abstract
1. Introduction
2. Research Models and Computational Methods
2.1. Research Object and Power Generation Principle
2.2. Calculation Method
2.2.1. Maxwell’s Equations
2.2.2. Potential Equation
2.2.3. Nonequilibrium Ionization Model
- (1)
- The charged-particle conservation equation:
- (2)
- Conservation of electron energy
2.2.4. Governing Equations
2.2.5. Turbulence Model
2.3. Performance Parameters of the Power Generator
- (1)
- Enthalpy extraction rate
- (2)
- Electric power density
- (3)
- Electric efficiency
- (4)
- Electricity generation
2.4. Boundary Conditions
2.4.1. Grid Division of Power Generation Channels
2.4.2. Boundary Conditions of the Object Surface
2.4.3. Import/Export Boundary Conditions
3. Methods and Model Validation
4. Calculation Results and Analysis
4.1. Structure of Supersonic High-Temperature Helium/Xenon Mixture Flow
4.2. Distribution of the Current Lines
4.3. Analysis of the Plasma Distribution
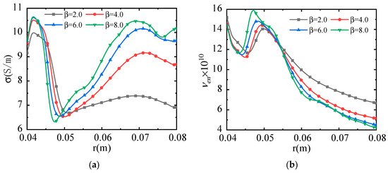
4.4. Analysis of the Power Generation Channel Performance
5. Conclusions
- (1)
- A strong annular Faraday current forms near the anode of the disk-shaped power generation channel, deteriorating the working environment and leading to erosion, which significantly affects the service life of the channel. To protect the anode, it is crucial to suppress the Faraday current in the anode region. It is recommended to install periodically arranged insulating partitions from the inlet to the anode (0.040 m < r < 0.047 m) to effectively block a portion of the Faraday current, thereby reducing the risk of anode corrosion and ensuring long-term stable operation. This approach not only mitigates the adverse effects of the Faraday current but also enhances the durability and reliability of the anode.
- (2)
- For the disk-shaped power generation channel, enhanced plasma stability correlates with improved performance. However, as the Hall effect intensifies, plasma stability within the channel progressively decreases. This reduction in stability can lead to increased turbulence and reduced efficiency, underscoring the importance of optimizing the Hall parameter for optimal performance.
- (3)
- Conductivity exhibits an upward trend from the anode to the cathode. As the Hall effect intensifies, this increase in conductivity becomes more pronounced. Consequently, enhancing the Hall effect can effectively improve channel conductivity, leading to better energy transfer and utilization.
- (4)
- Increasing the Hall effect can significantly enhance the enthalpy extraction rate, while electrical efficiency asymptotically approaches 50%. Consequently, enhancing the Hall effect can substantially improve the overall performance of the power generation channel. This improvement is particularly evident in the initial stages of Hall parameter increase; after which, further increases yield diminishing returns.
- (1)
- The plasma structure is highly sensitive to external influences, leading to instability and significant, uneven variations in plasma conductivity, which substantially impact the generator performance. These fluctuations can result in reduced efficiency and operational reliability, highlighting the need for advanced stabilization techniques.
- (2)
- The existing research on disk-shaped channels has primarily focused on relatively small-scale structures. To achieve a competitive mass-to-power ratio of 20 kg/kW for space nuclear magnetohydrodynamic (MHD) power generation systems, the disk-shaped channel must meet stringent high power density requirements. This necessitates innovative design approaches and material advancements to ensure both compactness and efficiency.
- (3)
- Using inert gases as the working medium necessitates ultra-high-temperature reactors for thermal ionization, presenting significant challenges to the heat resistance and cooling capabilities of the channel and its structural materials. Advanced thermal management systems are essential to mitigate these challenges and maintain optimal operating conditions.
- (4)
- A strong magnetic field is required for efficient power generation, making the magnet system a critical component. The design and implementation of such a system must balance weight, size, and magnetic field strength to optimize the overall performance.
Author Contributions
Funding
Institutional Review Board Statement
Informed Consent Statement
Data Availability Statement
Conflicts of Interest
References
- Tanaka, M.; Okuno, Y. Performance of a Seed-Free Disk Magnetohydrodynamic Generator with Self-Excited Joule Heating in the Nozzle. IEEE Trans. Plasma Sci. 2017, 45, 454–460. [Google Scholar] [CrossRef]
- Muraka, T.; Okuno, Y. Experiment and simulation of MHD power generation using convexly divergent channel. In Proceedings of the 42nd AIAA Plasmadynamics and Lasers Conference, Honolulu, HI, USA, 27–30 June 2011. [Google Scholar] [CrossRef]
- Muraka, T.; Okuno, Y. Experiments and numerical simulations on high-density magnetohy-drodynamic electrical power generation. J. Appl. Phys. 2008, 104, 063307. [Google Scholar] [CrossRef]
- Ichinokiyama, D.; Takayasu, F. Numerical Analysis of Non-equilibrium Disk MHD Generator with Swirl Vanes. In Proceedings of the 14th International Energy Conversion Engineering Conference, Salt Lake City, UT, USA, 25–27 July 2016; p. 4524. [Google Scholar]
- Ork, K.; Okuno, Y. Numerical Study of Plasma Behavior and Power Generation Characteristics in a Disk MHD Generator with Xenon-Seeded Neon Gas. IEEE Trans. Plasma Sci. 2023, 51, 1518–1526. [Google Scholar] [CrossRef]
- Ork, K.; Masuda, R.; Okuno, Y. Fundamental Experiment and Numerical Simulation of Ne/Xe Plasma Magnetohydrodynamic Electrical Power Generation. J. Propuls. Power 2024, 40, 368–379. [Google Scholar] [CrossRef]
- Litchford, R.J.; Harada, N. Multi-MW closed cycle MHD nuclear space power via nonequilibrium He/Xe working plasma. In Proceedings of the Nuclear and Emerging Technologies for Space Meeting, Albuquerque, NM, USA, 7–10 February 2011. [Google Scholar]
- Owano, T.G.; Kruger, C.H.; Beddin, R.A. Electron-Ion Three-Body Recombination Coefficient of Argon. AIAA 1991, 1, 75–82. [Google Scholar]
- Vasil’eva, R.V.; Erofeev, A.V.; Zuev, A.D. Ionizationally unstable plasma of pure inert gas-working substance in closed-cycle MHD generator. In Proceedings of the 11th International Conference MHD Electrical Power Generation, Beijing, China, 12–16 October 1992; Volume 4, pp. 1199–1205. [Google Scholar]
- Ling, W.; Wu, S.; Zhang, Y.; Liu, C.; Meng, H. Numerical simulation on magnetohydrodynamic power generation channel of scramjet. Propuls. Technol. 2024, 45, 261–274. [Google Scholar] [CrossRef]
- Liu, F.; Wang, T.; Peng, Y. Faraday type magnetohydrodynamic generator experiment and numerical simulation. Acta Aeronaut. Astronaut. Sin. 2020, 41, 302–311. [Google Scholar] [CrossRef]
- Lu, Z.; Zhang, X.; Li, J.; Ma, H. Experimental Study on Inert Gas Magnetohydrodynamic Power Generation by Detonation-Driven. Theor. Appl. Mech. 2023, 55, 1019–1027. [Google Scholar]
- Zhu, P.; Peng, A. Research on the Influence of Axial Applied Magnetic Field on the Performance of Disk Magnetohydrodynamic Generator. Power Gener. Technol. 2024, 1–9. [Google Scholar] [CrossRef]
- Li, L. Performance Investigation of Plasma Magnetohydrodynamic Power Generation. Master’s Thesis, Nanjing University of Aeronautics and Astronautics, Nanjing, China, 2017. [Google Scholar] [CrossRef]
- Tanaka, M.; Murakami, T.; Okuno, Y. Plasma Characteristics and Performance of Magnetohydrodynamic Generator with High-Temperature Inert Gas Plasma. IEEE Trans. Plasma Sci. 2014, 42, 4020–4025. [Google Scholar] [CrossRef]
- Tanaka, M.; Aoki, Y.; Zhao, L.; Okuno, Y. Experiments on High-Temperature Xenon Plasma Magnetohydrodynamic Power Generation. IEEE Trans. Plasma Sci. 2016, 44, 1241–1246. [Google Scholar] [CrossRef]
- Tanaka, M.; Murakami, T.; Okuno, Y. Plasma Fluid Flow Behavior and Power Generation Characteristics in a High-Temperature Inert Gas Plasma Faraday MHD Generator. Electr. Eng. Jpn. 2016, 194, 46–53. [Google Scholar] [CrossRef]
- Harada, N.; Tashiro, T. Influence of Recombination Coefficient on Discharge Structure and Plasma Stability in Closed Cycle MHD Generator with He/Xe Working Gas. In Proceedings of the AIAA Plasmadynamics and Lasers Conference, Orlando, FL, USA, 23–26 June 2003. [Google Scholar]
- Harada, N.; Le, C.K.; Tashiro, T. Closed Cycle MHD Generator Using He/Xe Working Plasma. In Proceedings of the Plasmadynamics and Lasers Conference, San Diego, CA, USA, 24–27 June 2013. [Google Scholar]
- Harada, N.; Sakamoto, N.; Endo, H. Closed Cycle MHD System Using He/Xe Working Gas. In Proceedings of the AIAA Plasmadynamics and Lasers Conference, Atlanta, GA, USA, 23–25 June 1997. [Google Scholar]
- Murakami, T.; Okuno, Y. Simulation and Demonstration of Magnetohydrodynamic Energy Conversion in a High-temperature Inert gas. Phys. Plasmas 2009, 16, 425–429. [Google Scholar] [CrossRef]
















Disclaimer/Publisher’s Note: The statements, opinions and data contained in all publications are solely those of the individual author(s) and contributor(s) and not of MDPI and/or the editor(s). MDPI and/or the editor(s) disclaim responsibility for any injury to people or property resulting from any ideas, methods, instructions or products referred to in the content. |
© 2025 by the authors. Licensee MDPI, Basel, Switzerland. This article is an open access article distributed under the terms and conditions of the Creative Commons Attribution (CC BY) license (https://creativecommons.org/licenses/by/4.0/).
Share and Cite
Li, L.; Wang, G.; Liao, Y.; Wu, Q.; Ning, P. Study on the Influence of Hall Effect on the Performance of Disk Generation Channel. Magnetochemistry 2025, 11, 19. https://doi.org/10.3390/magnetochemistry11030019
Li L, Wang G, Liao Y, Wu Q, Ning P. Study on the Influence of Hall Effect on the Performance of Disk Generation Channel. Magnetochemistry. 2025; 11(3):19. https://doi.org/10.3390/magnetochemistry11030019
Chicago/Turabian StyleLi, Linyong, Guang Wang, Yingke Liao, Qing Wu, and Peijie Ning. 2025. "Study on the Influence of Hall Effect on the Performance of Disk Generation Channel" Magnetochemistry 11, no. 3: 19. https://doi.org/10.3390/magnetochemistry11030019
APA StyleLi, L., Wang, G., Liao, Y., Wu, Q., & Ning, P. (2025). Study on the Influence of Hall Effect on the Performance of Disk Generation Channel. Magnetochemistry, 11(3), 19. https://doi.org/10.3390/magnetochemistry11030019

