Study on Influence Law and Mechanism of Rheological Properties of High-Viscosity Fluoroether Oil-Based Ferrofluids
Abstract
1. Introduction
2. Materials and Methods
3. Results
3.1. Microstructures and Magnetic Properties
3.2. The Effect of Particle Concentration on the Rheological Properties of the Ferrofluids
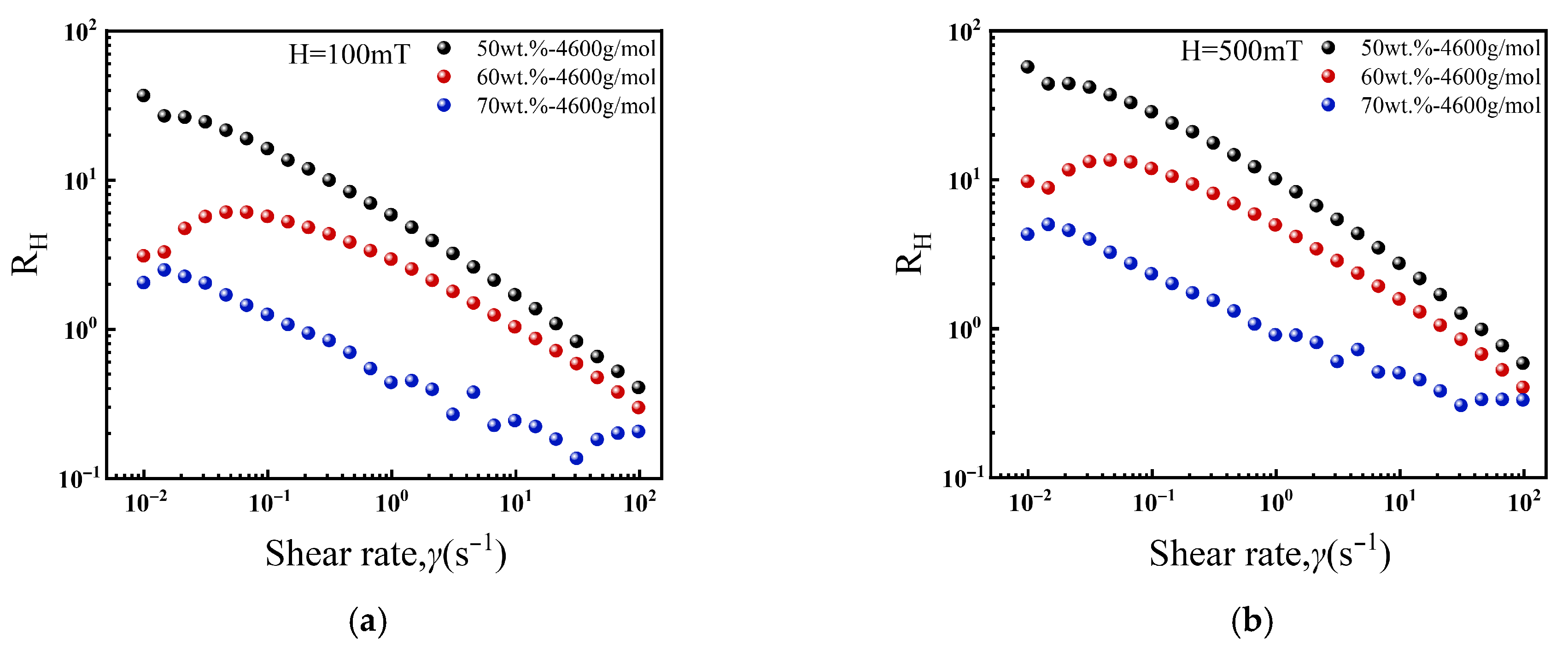
3.3. Quantitative Analysis Using the Magnetoviscous Parameter
3.4. Effect of Molecular Weights of Carrier Liquid on Rheological Properties of Ferrofluids
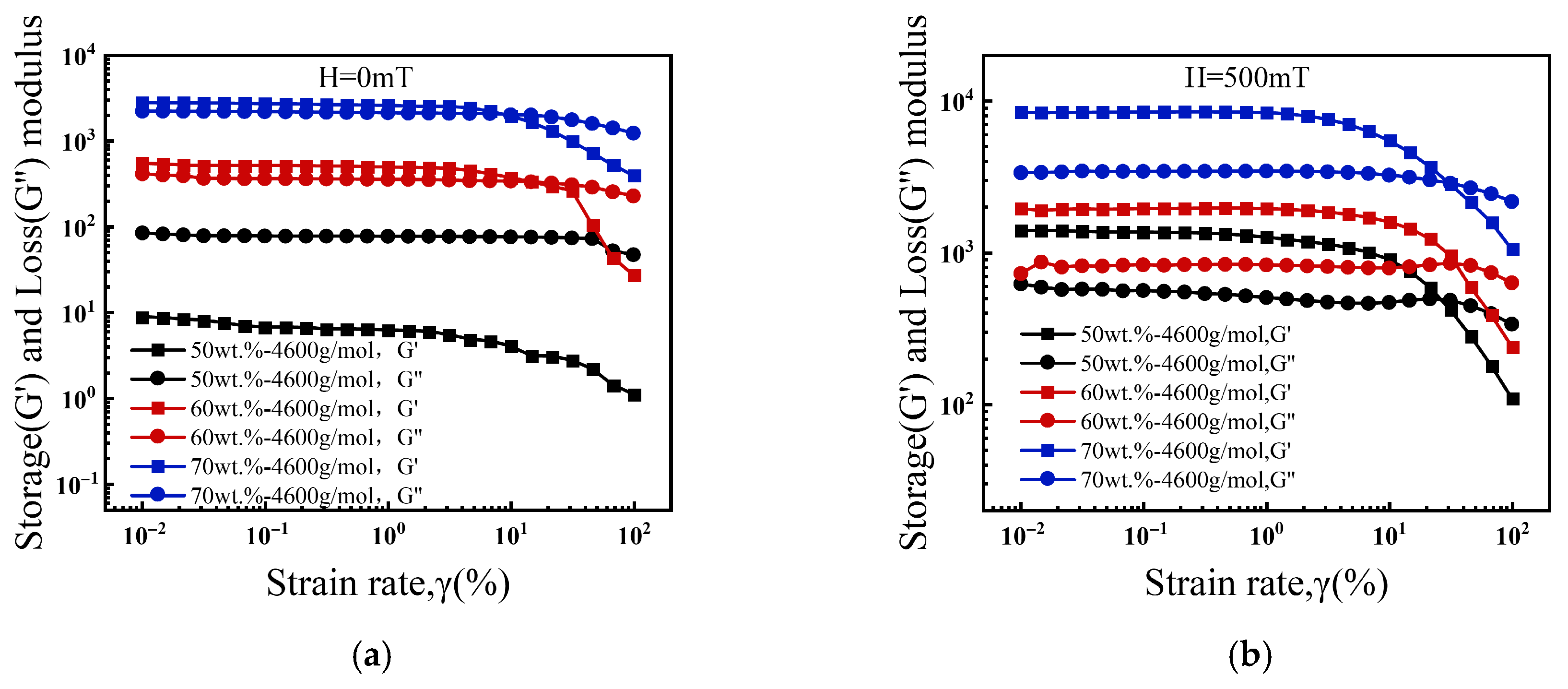
3.5. Study on Variation Law of Viscoelasticity of Ferrofluids
4. Conclusions
Author Contributions
Funding
Institutional Review Board Statement
Informed Consent Statement
Data Availability Statement
Conflicts of Interest
References
- Oehlsen, O.; Cervantes-Ramírez, S.I.; Cervantes-Avilés, P.; Medina-Velo, I.A. Approaches on ferrofluid synthesis and applications: Current status and future perspectives. ACS Omega 2022, 7, 3134–3150. [Google Scholar] [CrossRef]
- Kole, M.; Khandekar, S. Engineering applications of ferrofluids: A review. J. Magn. Magn. Mater. 2021, 537, 168222. [Google Scholar] [CrossRef]
- Liu, Y.; Yang, X.; Dou, X.; Han, L. Experimental study of symmetrical ferrofluid seals with single magnetic source and small clearance. Tribol. Int. 2024, 193, 109467. [Google Scholar] [CrossRef]
- Szczęch, M. Experimental study on the leak mechanism of the ferrofluid seal in a water environment. IEEE Trans. Magn. 2021, 57, 4600510. [Google Scholar] [CrossRef]
- Li, L.; Guo, Y.; Qi, Z.; Li, D. The sealing pressure variance originated from volume of ferrofluids in magnetic fluid seal. Tribol. Int. 2024, 200, 110148. [Google Scholar] [CrossRef]
- Chen, Y.; Yang, L.; Yao, Y.; Li, D.; Jiang, Y.; Lv, L.; Yao, J.; Ma, J.; Wang, C.; Zhang, H.; et al. Experiment and simulation on the ferrofluid boundary deformation and fluctuation characters of a high-speed rotary seal. J. Tribol. 2024, 146, 064402. [Google Scholar] [CrossRef]
- Cui, H.; Li, D. Fabrication and properties research on a novel perfluoropolyether based ferrofluid. J. Magn. Magn. Mater. 2019, 473, 341–347. [Google Scholar] [CrossRef]
- Li, Y.; Han, P.; Li, D.; Chen, S.; Wang, Y. Typical dampers and energy harvesters based on characteristics of ferrofluids. Friction 2023, 11, 165–186. [Google Scholar] [CrossRef]
- Yao, J.; Liu, J.; Hu, Y.; Li, Z.; Li, D. The theoretical and experimental study of a ferrofluid inertial sensor. IEEE Sens. J. 2021, 22, 107–114. [Google Scholar] [CrossRef]
- Zhao, Y.; Liu, X.; Lv, R.Q.; Zhang, Y.N.; Wang, Q. Review on optical fiber sensors based on the refractive index tunability of ferrofluid. J. Light. Technol. 2016, 35, 3406–3412. [Google Scholar] [CrossRef]
- Li, W.; Li, Z.; Han, W.; Li, D.; Yan, S.; Zhou, J. Study of the flow characteristics of pumped media in the confined morphology of a ferrofluid pump with annular microscale constraints. J. Fluids Eng. 2025, 147, 021201. [Google Scholar] [CrossRef]
- Li, W.; Li, Z.; Han, W.; Li, R.; Zhang, Y. Mechanism of bubble generation in ferrofluid micro-pumps and key parameters influencing performance. Powder Technol. 2025, 467, 121562. [Google Scholar] [CrossRef]
- Li, W.; Han, W.; Li, Z.; Li, R.; Zhang, Y. Research on the flow rate characteristics and velocity pulsation behavior of ferrofluid micro pumps. Chem. Eng. J. 2025, 526, 171211. [Google Scholar] [CrossRef]
- Li, W.; Zhang, Z.; Li, D. Rheological properties of silicon oil-based magnetic fluid with magnetic nanoparticles (MNPs)-multiwalled carbon nanotube (MWNT). Smart Mater. Struct. 2019, 28, 065023. [Google Scholar] [CrossRef]
- Shi, X.; Huang, W.; Wang, X. Ionic liquids–based magnetic nanofluids as lubricants. Lubr. Sci. 2018, 30, 73–82. [Google Scholar] [CrossRef]
- Kim, J.H.; Park, K.B. Properties of Polyalphaolefin-Based Ferrofluids. J. Magn. 2015, 20, 371–376. [Google Scholar] [CrossRef]
- Li, Z.; Yao, J.; Li, D. Research on the rheological properties of a perfluoropolyether based ferrofluid. J. Magn. Magn. Mater. 2017, 424, 33–38. [Google Scholar] [CrossRef]
- Cui, H.; Li, D. Preparation and property research of perfluoropolyether oil-based ferrofluid. J. Supercond. Nov. Magn. 2018, 31, 3607–3624. [Google Scholar] [CrossRef]
- Cheng, Y.; Li, D.; Dai, R. Experimental analysis of starting torque of perfluoro polyethers-based magnetic fluid seal. J. Harbin Eng. Univ. 2017, 38, 1316–1321. [Google Scholar]
- Wang, S.; Liu, Y.; Li, D.; He, X. A ferrofluid-based tuned mass damper with magnetic spring. Int. J. Appl. Electromagn. Mech. 2019, 60, 13–19. [Google Scholar] [CrossRef]
- Yavari, M.; Mansourpour, Z.; Shariaty-Niassar, M. Controlled assembly and alignment of CNTs in ferrofluid: Application in tunable heat transfer. J. Magn. Magn. Mater. 2019, 479, 170–178. [Google Scholar] [CrossRef]
- Li, Z.; Li, D.; Chen, Y.; Yang, Y.; Yao, J. Influence of viscosity and magnetoviscous effect on the performance of a magnetic fluid seal in a water environment. Tribol. Trans. 2018, 61, 367–375. [Google Scholar] [CrossRef]
- Hosseini, S.M.; Vafajoo, L.; Ghasemi, E.; Salman, B.H. Experimental investigation the effect of nanoparticle concentration on the rheological behavior of paraffin-based nickel ferrofluid. Int. J. Heat Mass Transf. 2016, 93, 228–234. [Google Scholar] [CrossRef]
- Wang, H.; Meng, Y.; Li, Z.; Dong, J.; Cui, H. Steady-state and dynamic rheological properties of a mineral oil-based ferrofluid. Magnetochemistry 2022, 8, 100. [Google Scholar] [CrossRef]
- Čampelj, S. Rheology of aqueous ferrofluids: Transition from a gel-like character to a liquid character in high magnetic fields. ChemEngineering 2023, 7, 81. [Google Scholar] [CrossRef]
- Zubarev, A.Y.; Odenbach, S.; Fleischer, J. Rheological properties of dense ferrofluids. Eff. Chain-Like Aggreg. J. Magn. Magn. Mater. 2002, 252, 241–243. [Google Scholar] [CrossRef]
- Ivanov, A.O.; Zubarev, A. Chain formation and phase separation in ferrofluids: The influence on viscous properties. Materials 2020, 13, 3956. [Google Scholar] [CrossRef]
- Li, Z.; Li, D.; Cui, H.; Zhang, Y.; Wang, H. Influence of the carrier fluid viscosity on the rotational and oscillatory rheological properties of ferrofluids. J. Nanosci. Nanotechnol. 2019, 19, 5572–5581. [Google Scholar] [CrossRef]
- Li, L.; Li, D.; Zhang, Z. Rheological and magnetic properties of stable poly alpha olefins based ferrofluids with high viscosity and magnetization. J. Magn. Magn. Mater. 2022, 564, 170096. [Google Scholar] [CrossRef]
- Zhang, C.; Li, D.; Zhao, W.; Nie, S.; Yang, J. Research on preparation and stability of high viscosity carbon nanotube-modified PAO20-based magnetic fluids. Appl. Mater. Today 2024, 41, 102425. [Google Scholar] [CrossRef]
- Liu, X.; Kaminski, M.D.; Guan, Y.; Chen, H.; Liu, H.; Rosengart, A.J. Preparation and characterization of hydrophobic superparamagnetic magnetite gel. J. Magn. Magn. Mater. 2006, 306, 248–253. [Google Scholar] [CrossRef]
- Chen, F.; Liu, X.; Li, Z.; Yan, S.; Fu, H.; Yan, Z. Investigation of the rheological properties of Zn-ferrite/perfluoropolyether oil-based ferrofluids. Nanomaterials 2021, 11, 2653. [Google Scholar] [CrossRef] [PubMed]
- Wang, G.; Ma, Y.; Tong, Y.; Dong, X.; Li, M. Solvothermal synthesis, characterization, and magnetorheological study of zinc ferrite nanocrystal clusters. J. Intell. Mater. Syst. Struct. 2017, 28, 2331–2338. [Google Scholar] [CrossRef]
- Thirupathi, G.; Singh, R. Magneto-viscosity of MnZn-ferrite ferrofluid. Phys. B Condens. Matter 2014, 448, 346–348. [Google Scholar] [CrossRef]
- Chen, F.; Liu, Y.; Yan, Z. Influence of various parameters on the performance of superior PFPE-oil-based ferrofluids. Chem. Phys. 2018, 513, 67–72. [Google Scholar] [CrossRef]
- Laura, R.A.; Pavel, K.; Georges, B.; DG, D.J. Optimizing the Magnetic Response of Suspensions by Tailoring the Spatial Distribution of the Particle Magnetic Material. ACS Appl. Mater. Interfaces 2013, 5, 12143–12147. [Google Scholar] [CrossRef][Green Version]
- Zubarev, A.Y.; Iskakova, L.Y. Theory of structural transformations in ferrofluids: Chains and “gas-liquid” phase transitions. Phys. Rev. E 2002, 65, 061406. [Google Scholar] [CrossRef]
- Joseph, A.; Mathew, S. Ferrofluids: Synthetic strategies, stabilization, physicochemical features, characterization, and applications. ChemPlusChem 2014, 79, 1382–1420. [Google Scholar] [CrossRef]
- Wang, Z.; Holm, C.; Müller, H.W. Molecular dynamics study on the equilibrium magnetization properties and structure of ferrofluids. Phys. Rev. E 2002, 66, 021405. [Google Scholar] [CrossRef]
- Zubarev, A.Y.; Iskakova, L.Y. Structural transformations in ferrofluids. Phys. Rev. E 2003, 68, 061203. [Google Scholar] [CrossRef]
- Ku, J.; Yan, J.; Xia, J.; Wang, Z.; Yan, Q.; Lei, Z.; Wang, Q. Manipulating three-dimensional magnetic particles motion in a rotating magnetic field. Powder Technol. 2025, 449, 120391. [Google Scholar] [CrossRef]
- De Vicente, J.; Klingenberg, D.J.; Hidalgo-Alvarez, R. Magnetorheological fluids: A review. Soft Matter 2011, 7, 3701–3710. [Google Scholar] [CrossRef]
- Sanguineti, A.; Guarda, P.A.; Marchionni, G.; Ajroldi, G. Solution properties of perfluoropolyether polymers. Polymer 1995, 36, 3697–3703. [Google Scholar] [CrossRef]
- Hunter, G.L.; Weeks, E.R. The physics of the colloidal glass transition. Rep. Prog. Phys. 2012, 75, 066501. [Google Scholar] [CrossRef]
- Malkin, A.Y.; Derkach, S.R.; Kulichikhin, V.G. Rheology of gels and yielding liquids. Gels 2023, 9, 715. [Google Scholar] [CrossRef]












| Samples | Shear Stress τ0 (Pa) | Consistency Coefficient k | The Flow Index n |
|---|---|---|---|
| 50 wt.%-4600 g/mol | 1.25 | 10.04 | 0.92 |
| 60 wt.%-4600 g/mol | 6.87 | 29.19 | 0.84 |
| 70 wt.%-4600 g/mol | 21.17 | 523.77 | 0.52 |
| Samples | Magnetic Field H (mT) | Yield Stress τ0 (Pa) | Consistency Coefficient k | Flow Index n |
|---|---|---|---|---|
| 50 wt.%-4600 g/mol | 100 | 35.05 | 38.30 | 0.69 |
| 50 wt.%-7480 g/mol | 100 | 380.41 | 124.20 | 0.71 |
| 50 wt.%-4600 g/mol | 500 | 54.89 | 64.44 | 0.59 |
| 50 wt.%-7480 g/mol | 500 | 589.79 | 133.06 | 0.66 |
| Samples | Magnetic Field H (mT) | Critical Strain γc (%) | G′LVE (Pa) | G″LVE (Pa) |
|---|---|---|---|---|
| 50 wt.%-4600 g/mol | 0 | 0.318 | 6.921 | 77.109 |
| 500 | 1 | 1335.43 | 543.166 | |
| 60 wt.%-4600 g/mol | 0 | 3.18 | 501.178 | 356.408 |
| 500 | 3.18 | 1928.723 | 821.116 | |
| 70 wt.%-4600 g/mol | 0 | 1.48 | 2662.336 | 2157.6 |
| 500 | 2.17 | 8356.342 | 3426.118 | |
| 60 wt.%-7480 g/mol | 0 | 1.48 | 1376.65 | 957.28 |
| 500 | 2.17 | 6749.83 | 2700.16 |
Disclaimer/Publisher’s Note: The statements, opinions and data contained in all publications are solely those of the individual author(s) and contributor(s) and not of MDPI and/or the editor(s). MDPI and/or the editor(s) disclaim responsibility for any injury to people or property resulting from any ideas, methods, instructions or products referred to in the content. |
© 2025 by the authors. Licensee MDPI, Basel, Switzerland. This article is an open access article distributed under the terms and conditions of the Creative Commons Attribution (CC BY) license (https://creativecommons.org/licenses/by/4.0/).
Share and Cite
Chen, F.; Liu, Y.; Guo, Q.; Xiao, Y.; Dong, Y.; Yue, S.; Huang, Y.; Li, Z. Study on Influence Law and Mechanism of Rheological Properties of High-Viscosity Fluoroether Oil-Based Ferrofluids. Magnetochemistry 2025, 11, 109. https://doi.org/10.3390/magnetochemistry11120109
Chen F, Liu Y, Guo Q, Xiao Y, Dong Y, Yue S, Huang Y, Li Z. Study on Influence Law and Mechanism of Rheological Properties of High-Viscosity Fluoroether Oil-Based Ferrofluids. Magnetochemistry. 2025; 11(12):109. https://doi.org/10.3390/magnetochemistry11120109
Chicago/Turabian StyleChen, Fang, Yuchen Liu, Qinkui Guo, Yangjie Xiao, Yuan Dong, Sihan Yue, Yichao Huang, and Zhenggui Li. 2025. "Study on Influence Law and Mechanism of Rheological Properties of High-Viscosity Fluoroether Oil-Based Ferrofluids" Magnetochemistry 11, no. 12: 109. https://doi.org/10.3390/magnetochemistry11120109
APA StyleChen, F., Liu, Y., Guo, Q., Xiao, Y., Dong, Y., Yue, S., Huang, Y., & Li, Z. (2025). Study on Influence Law and Mechanism of Rheological Properties of High-Viscosity Fluoroether Oil-Based Ferrofluids. Magnetochemistry, 11(12), 109. https://doi.org/10.3390/magnetochemistry11120109

