Phase Formation, Microstructure, and Permeability of Fe-Deficient Ni-Cu-Zn Ferrites (II): Effect of Oxygen Partial Pressure
Abstract
1. Introduction
2. Materials and Methods
3. Results
3.1. Powder Properties
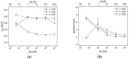
3.2. Sintering Behavior and Microstructure
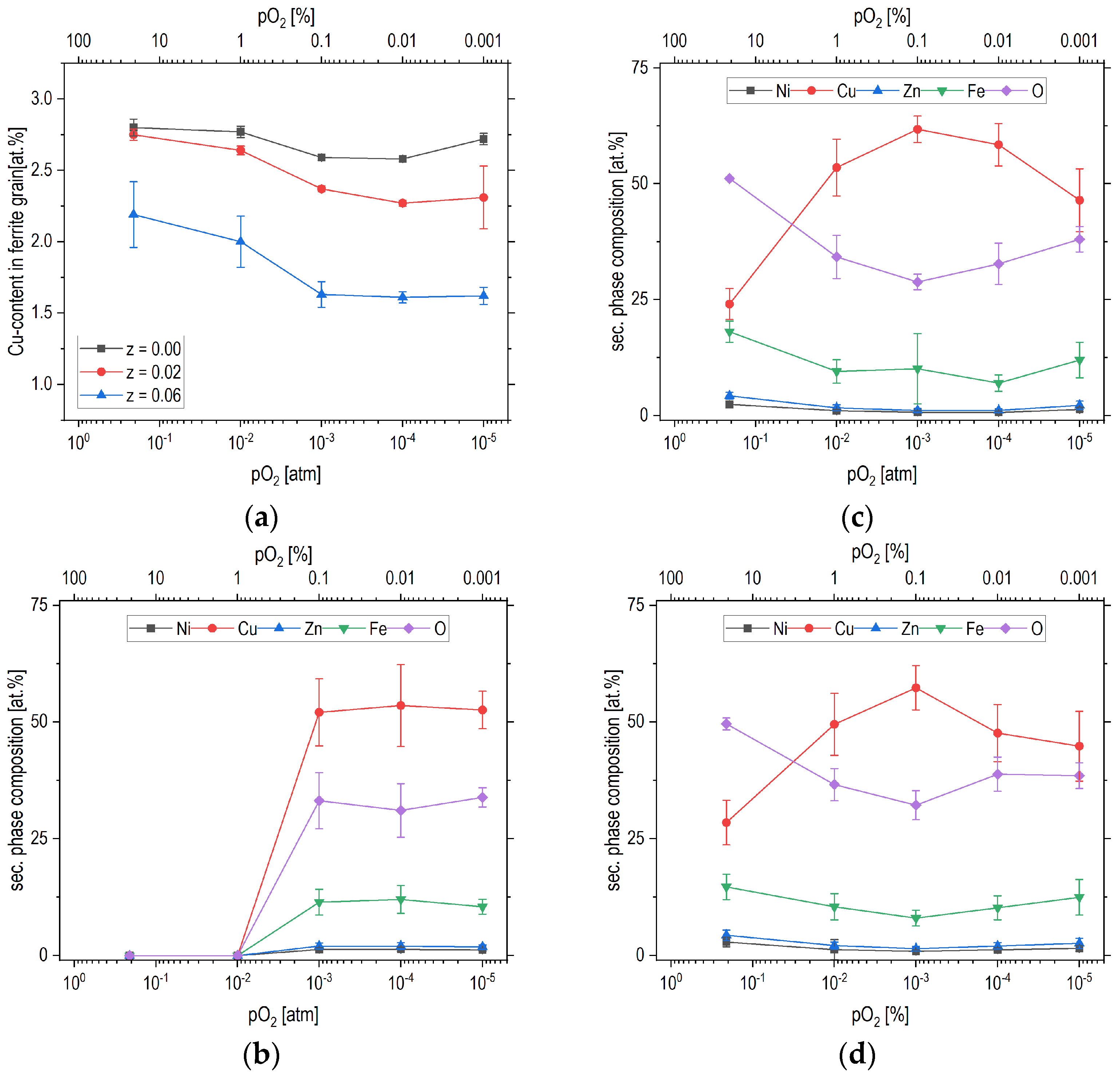
3.3. Microstructure
3.4. Phase Formation
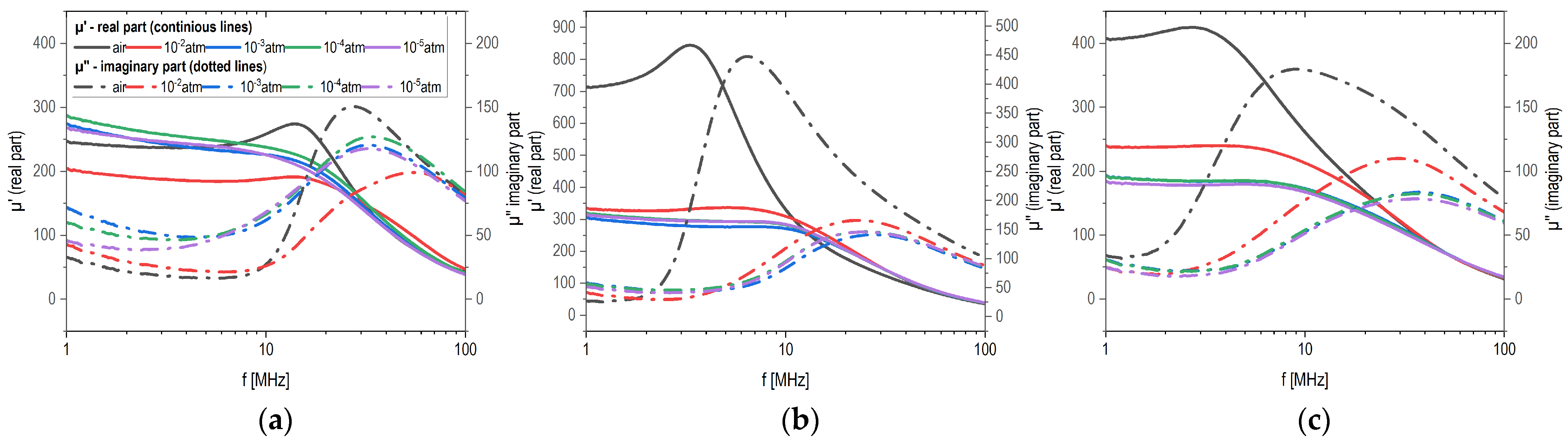
3.5. Magnetic Permeability
4. Discussions
5. Conclusions
- (1)
- Reduction of the oxygen partial pressure of the sintering atmosphere pO2 leads to increasing segregation of Cu oxide grain boundary phases from the ferrite matrix phase, which begins at pO2 between 10−2 atm and 10−3 atm for the stoichiometric ferrite and at pO2 between 0.21 atm and 10−2 atm for iron-deficient compositions; the secondary CuO tenorite phase formed in air is transformed into Cu2O cuprite at lower pO2.
- (2)
- Mass loss during sintering correlates with segregation and grain boundary phase formation processes.
- (3)
- Segregation of Cu oxide grain boundary phases after sintering with lower pO2 affects the densification, grain growth, and permeability of the ferrites.
- (4)
- Maximum permeability µ′ at 1 MHz is found for z = 0.02 sintered in air.
- (5)
- For Fe-deficient ferrites (z > 0), the permeability µ′ at 1 MHz decreases with decreasing pO2.
- (6)
- Optimum sintering protocols (here, oxygen partial pressure at Ts = 1000 °C) need to be found for each composition z, where an interplay between an optimum ferrite matrix composition and Cu oxide grain boundary phase amount and composition leads to enhanced densification, normal grain growth, and enhanced magnetic permeability.
Author Contributions
Funding
Data Availability Statement
Conflicts of Interest
References
- Goldman, A. Handbook of Modern Ferromagnetic Materials, 1st ed.; Kluwer Academic Publishers: Boston, MA, USA; Dordrecht, The Netherlands; London, UK, 1999. [Google Scholar]
- Nomura, T.; Nakano, A. New evolution of ferrite for multilayer chip components. In Proceedings of the Sixth International Conference on Ferrites, Tokyo, Japan, 29 September–2 October 1992; pp. 1198–1201. [Google Scholar]
- Nakano, A.; Nomura, T. Multilayer Chip Inductors. Ceram. Trans. A Cer. 1999, 97, 285–304. [Google Scholar]
- Hsiang, H.I. Progress in materials and processes of multilayer power inductors. J. Mater. Sci. Mater. Electron. 2020, 31, 16089–16110. [Google Scholar] [CrossRef]
- Mürbe, J.; Töpfer, J. Ni-Cu-Zn Ferrites for low temperature firing: II. Effects of powder morphology and Bi2O3 addition on microstructure and permeability. J. Electroceram. 2006, 16, 199–205. [Google Scholar] [CrossRef]
- Hsiang, H.I.; Chueh, J.F. Bi2O3 addition effects on the sintering mechanisms, magnetic properties and DC superposition behavior of NiCuZn ferrites. Int. J. Appl. Ceram. Technol. 2014, 12, 1008–1015. [Google Scholar] [CrossRef]
- Su, H.; Zhao, C. Correlation between microstructure and permeability stability of ferrite materials. Ceram. Int. 2018, 44, 2304–2310. [Google Scholar] [CrossRef]
- Wang, Y.; Jing, Y. Comparison of magnetic properties of low-temperature fired NiCuZn ferrites under low- and high-Bi2O3 doping modes. J. Electron. Mater. 2020, 49, 3325–3333. [Google Scholar] [CrossRef]
- Low, K.O.; Sale, F.R. The development and analysis of property- composition diagrams on gel-derived stoichiometric NiCuZn ferrite. J. Magn. Magn. Mater. 2003, 256, 221–226. [Google Scholar] [CrossRef]
- Mürbe, J.; Töpfer, J. Ni-Cu-Zn Ferrites for low temperature firing: I. Ferrite compositions and its effects on sintering behavior and permeability. J. Electroceram. 2005, 15, 215–221. [Google Scholar] [CrossRef]
- Zhiyuan, L.; Maoren, X. Effects on iron deficiency on magnetic properties of (Ni0.76Zn0.24) O (Fe2O3)0.575 ferrite. J. Magn. Magn. Mater. 2000, 219, 9–14. [Google Scholar] [CrossRef]
- Su, H.; Zhang, H. Effects of composition and sintering temperature on properties of NiZn and NiCuZn ferrites. J. Magn. Magn. Mater. 2007, 310, 17–21. [Google Scholar] [CrossRef]
- Su, H.; Tang, X. Influence of Fe-deficiency on electromagnetic properties of low-temperature fired NiCuZn ferrites. J. Magn. Magn. Mater. 2010, 322, 1779–1783. [Google Scholar] [CrossRef]
- Mürbe, J.; Töpfer, J. Low temperature sintering of sub-stoichiometric Ni-Cu-Zn ferrites: Shrinkage, microstructure and permeability. J. Magn. Magn. Mater. 2012, 324, 578–583. [Google Scholar] [CrossRef]
- Hsiang, H.I.; Wu, J.L. Copper-rich phase segregation effects on the magnetic properties and DC-bias-superpositions characteristics of NiCuZn ferrites. J. Magn. Magn. Mater. 2015, 374, 367–371. [Google Scholar] [CrossRef]
- Sakellari, D.; Tsakaloudi, V. Microstructural phenomena controlling losses in NiCuZn ferrites as studied by transmission electron microscopy. J. Am. Ceram. Soc. 2008, 91, 366–371. [Google Scholar] [CrossRef]
- Sun, K.; Lan, Z. Phase formation, grain growth and magnetic properties of NiCuZn ferrites. J. Magn. Magn. Mater. 2011, 323, 927–932. [Google Scholar] [CrossRef]
- Barba, A.; Clausell, C. ZnO and CuO crystal precipitation in sintering Cu-doped Ni-Zn ferrites. I. Influence of dry relative density and cooling rate. J. Eur. Ceram. Soc. 2011, 31, 2119–2128. [Google Scholar] [CrossRef]
- Barba, A.; Clausell, C. ZnO and CuO crystal precipitation in sintering Cu-doped Ni-Zn ferrites. II. Influence of sintering temperature and sintering time. J. Eur. Ceram. Soc. 2017, 37, 169–177. [Google Scholar] [CrossRef]
- Priese, C.; Töpfer, J. Phase Formation, Microstructure and Permeability of Fe-Deficient Ni-Cu-Zn Ferrites, (I): Effect of Sintering Temperature. Magnetochemistry 2021, 7, 118. [Google Scholar] [CrossRef]
- Mendelson, M.L. Average grain size in polycrystalline ceramics. J. Am. Ceram. Soc. 1969, 52, 443–446. [Google Scholar] [CrossRef]
- Li, Y.; Xu, M. Structural and room-temperature ferromagnetic properties of Fe-doped CuO nanocrystals. J. Appl. Phys. 2010, 107, 113908. [Google Scholar] [CrossRef]
- Nasir, M.; Patra, N. X-ray structural studies on solubility of Fe substituted CuO. RSC Adv. 2016, 6, 103571. [Google Scholar] [CrossRef]
- Su, H.; Tang, X.; Zhang, H.; Jing, Y.; Zhong, Z. Low-temperature-fired NiCuZn ferrites with BBSZ glass. J. Magn. Magn. Mater. 2011, 323, 592. [Google Scholar] [CrossRef]
- Liu, J.; Mei, Y.; Liu, W.; Li, X.; Hou, F.; Lu, G. Effects of sintering temperature on properties of torroid cores using NiCuZn ferrites for power applications >1 MHz. J. Magn. Magn. Mater. 2018, 454, 6. [Google Scholar] [CrossRef]
- Priese, C.; Töpfer, J. The effect of microstructure on the initial permeability of Ni-Zn ferrite. J. Magn. Magn. Mater. 2022, 560, 169581. [Google Scholar] [CrossRef]
- Zhu, Y.; Mimura, K.; Isshiki, M. Oxidation mechanisms of Cu2O and CuO at 600–1050 °C. Oxid. Met. 2004, 62, 207–222. [Google Scholar] [CrossRef]











Disclaimer/Publisher’s Note: The statements, opinions and data contained in all publications are solely those of the individual author(s) and contributor(s) and not of MDPI and/or the editor(s). MDPI and/or the editor(s) disclaim responsibility for any injury to people or property resulting from any ideas, methods, instructions or products referred to in the content. |
© 2024 by the authors. Licensee MDPI, Basel, Switzerland. This article is an open access article distributed under the terms and conditions of the Creative Commons Attribution (CC BY) license (https://creativecommons.org/licenses/by/4.0/).
Share and Cite
Priese, C.; Töpfer, J. Phase Formation, Microstructure, and Permeability of Fe-Deficient Ni-Cu-Zn Ferrites (II): Effect of Oxygen Partial Pressure. Magnetochemistry 2024, 10, 97. https://doi.org/10.3390/magnetochemistry10120097
Priese C, Töpfer J. Phase Formation, Microstructure, and Permeability of Fe-Deficient Ni-Cu-Zn Ferrites (II): Effect of Oxygen Partial Pressure. Magnetochemistry. 2024; 10(12):97. https://doi.org/10.3390/magnetochemistry10120097
Chicago/Turabian StylePriese, Christoph, and Jörg Töpfer. 2024. "Phase Formation, Microstructure, and Permeability of Fe-Deficient Ni-Cu-Zn Ferrites (II): Effect of Oxygen Partial Pressure" Magnetochemistry 10, no. 12: 97. https://doi.org/10.3390/magnetochemistry10120097
APA StylePriese, C., & Töpfer, J. (2024). Phase Formation, Microstructure, and Permeability of Fe-Deficient Ni-Cu-Zn Ferrites (II): Effect of Oxygen Partial Pressure. Magnetochemistry, 10(12), 97. https://doi.org/10.3390/magnetochemistry10120097

