Preparation of the New Magnetic Nanoadsorbent Fe3O4@SiO2-yl-VP and Study on the Adsorption Properties of Hg (II) and Pb (II) in Water
Abstract
1. Introduction
2. Experimental Section
2.1. Synthesis of Fe3O4@SiO2-yl
2.2. Synthesis of Fe3O4@SiO2-yl-VP
3. Results and Discussion
3.1. Characterization
3.1.1. Infrared Spectrum Analysis of Fe3O4@SiO2-yl-VP
3.1.2. EDS Spectrum Analysis of Fe3O4@SiO2-yl-VP
3.1.3. XRD Pattern Analysis of Fe3O4@SiO2-yl-VP
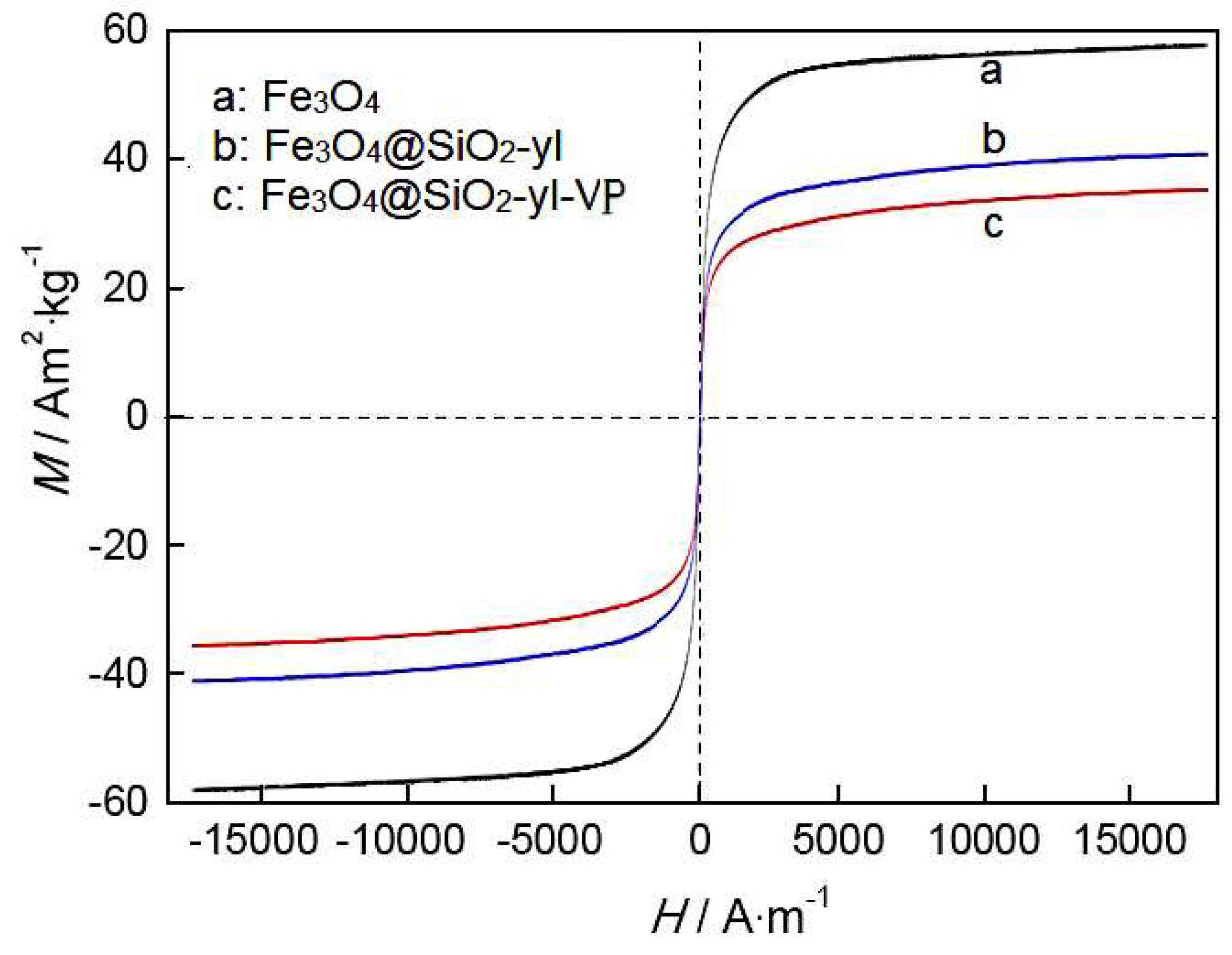
3.1.4. Magnetic Analysis
3.1.5. Thermogravimetric (TG) Analysis
3.1.6. SEM Analysis of Fe3O4@SiO2-yl-VP
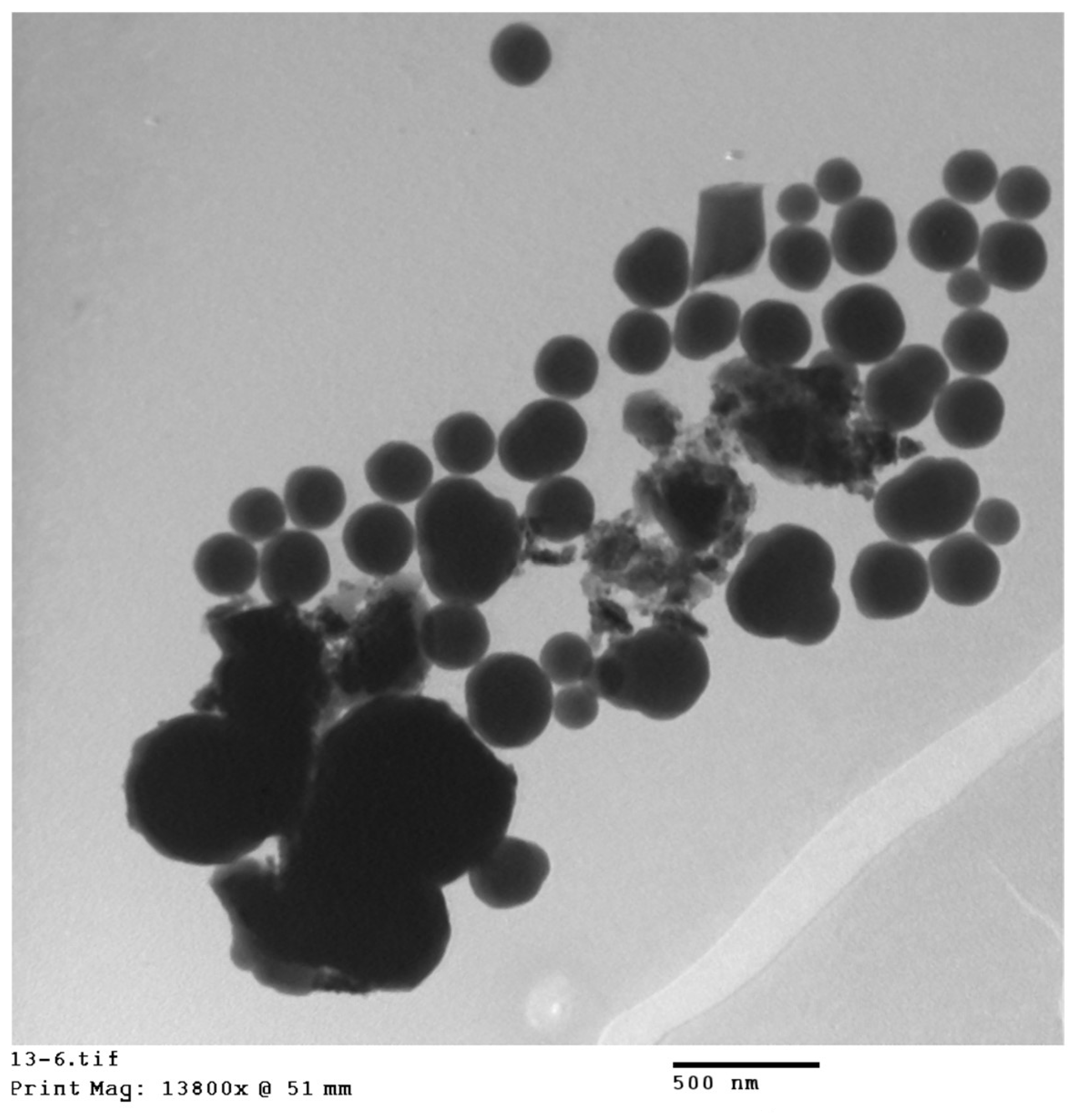
3.1.7. TEM Analysis of Fe3O4@SiO2-yl-VP
3.2. Research on Adsorption Performance
3.2.1. Saturated Adsorption Capacity and Thermodynamic Analysis
3.2.2. Effect of pH
3.2.3. Research on Adsorption Kinetics
3.2.4. Selection of Eluents
3.2.5. Reusability of Adsorbents
4. Conclusions
Author Contributions
Funding
Institutional Review Board Statement
Informed Consent Statement
Data Availability Statement
Conflicts of Interest
References
- Kotova, I.B.; Taktarova, Y.V.; Tsavkelova, E.A.; Egorova, M.A.; Bubnov, I.A.; Malakhova, D.V.; Shirinkina, L.I.; Sokolova, T.G.; Bonch-Osmolovskaya, E.A. Microbial degradation of plastics and approaches to make it more efficient. Microbiology 2021, 90, 671–701. [Google Scholar] [CrossRef]
- Malinovi, B.N.; Markelj, J.; Gajnar Gotvajn, A.; Kralj Cigi, I.; Prosen, H. Electrochemical treatment of wastewater to remove contaminants from the production and disposal of plastics: A review. Environ. Chem. Lett. 2022, 20, 3765–3787. [Google Scholar] [CrossRef]
- Yu, Y.; Mo, W.Y.; Luukkonen, T. Adsorption behaviour and interaction of organic micropollutants with nano and microplastics-A review. Sci. Total Environ. 2021, 797, 149140. [Google Scholar] [CrossRef] [PubMed]
- Novikau, R.; Lujaniene, G. Adsorption behaviour of pollutants: Heavy metals, radionuclides, organic pollutants, on clays and their minerals (raw, modified and treated): A review. J. Environ. Manag. 2022, 309, 114685. [Google Scholar] [CrossRef]
- Safaei, M.; Foroughi, M.M.; Ebrahimpoor, N.; Jahani, S.; Khatami, M. A review on metal-organic frameworks: Synthesis and applications. Trends Anal. Chem. 2019, 118, 401–425. [Google Scholar] [CrossRef]
- Zhou, T.; Ding, L.; Che, G.; Jiang, W.; Sang, L.T. Recent advances and trends of molecularly imprinted polymers for specific recognition in aqueous matrix: Preparation and application in sample pretreatment. Trends Anal. Chem. 2019, 114, 11–28. [Google Scholar] [CrossRef]
- Wang, J.; Li, J.; Gao, M.; Zhang, X.J. Recent advances in covalent organic frameworks for separation and analysis of complex samples. TrAC Trends Anal. Chem. 2018, 108, 98–109. [Google Scholar] [CrossRef]
- Chen, L.; Wu, Q.; Gao, J.; Li, H.; Dong, S.; Shi, X.; Zhao, L. Applications of covalent organic frameworks in analytical chemistry. TrAC Trends Anal. Chem. 2019, 113, 182–193. [Google Scholar] [CrossRef]
- Faraji, M.; Shirani, M.; Rashidi-Nodeh, H. The recent advances in magnetic sorbents and their applications. Trends Anal. Chem. 2021, 141, 116302. [Google Scholar] [CrossRef]
- Wang, Q.G.; Tian, H.; Lin, G.; Ya, L.; Wei, G.; Li, W.; Chun, W.; Zhi, W.; Qiu, H. Advances in magnetic porous organic frameworks for analysis and adsorption applications. Trends Anal. Chem. 2020, 132, 116048. [Google Scholar] [CrossRef]
- Peng, M.; Zhu, Y.; Li, H.; He, K.; Chen, G. Synthesis and application of modified commercial sponges for oil-water separation. Chem. Eng. J. 2019, 373, 213–226. [Google Scholar] [CrossRef]
- Mohammadian, M.; Sahraei, R.; Ghaemy, M. Synthesis and fabrication of antibacterial hydrogel beads based on modified-gum tragacanth/poly (vinyl alcohol)/Ag0 highly efficient sorbent for hard water softening. Chemosphere 2019, 225, 259–269. [Google Scholar] [CrossRef] [PubMed]
- Samadishadlou, M.; Farshbaf, M.; Annabi, N.; Kavetskyy, T.; Khalilov, R.; Saghfi, S. Magnetic carbon nanotubes: Preparation, physical properties, and applications in biomedicine. Artif. Cells Nanomed. Biotechnol. 2018, 46, 1314–1330. [Google Scholar] [CrossRef]
- Lü, K.; Zhao, G.; Wang, X. A brief review of graphene-based material synthesis and its application in environmental pollution management. Chin. Sci. Bull. 2012, 57, 1223–1234. [Google Scholar] [CrossRef]
- Leandro, L.G.; de Oliveira, F.A.C.; Suquila, E.; Costa de Figueiredo, M.G.; Segatelli, C.R.T. Restricted access material-ion imprinted polymer based method for on-line flow preconcentration of Cd2+ prior to flame atomic absorption spectrometry determination. Microchem. J. 2020, 157, 105022. [Google Scholar]
- Rasheed, T. Covalent organic frameworks as promising adsorbent paradigm for environmental pollutants from aqueous matrices perspective and challenges. Sci. Total Environ. 2022, 833, 155279. [Google Scholar] [CrossRef]
- Wang, Y.; Yan, D.; El Hankari, S.; Zou, Y.; Wang, S. Recent progress on layered double hydroxides and their derivatives for electrocatalytic water splitting. Adv. Sci. 2018, 5, 1800064. [Google Scholar] [CrossRef]
- Silva, A.M.; Pereira, I.M.; Silva, T.I.; da Silva, M.R.; Rocha, R.A.; Silva, M.C. Magnetic foams from polyurethane and magnetite applied as attenuators of electromagnetic radiation in X band. J. Appl. Polym. Sci. 2021, 138, 49629. [Google Scholar] [CrossRef]
- Malonzo, C.D.; Wang, Z.; Duan, J.; Zhao, W.; Webber, T.E.; Li, Z. Application and limitations of nanocasting in metaleorganic frameworks. Inorg. Chem. 2018, 57, 2782–2790. [Google Scholar] [CrossRef]
- Bukhtiyarova, M.V. A review on effect of synthesis conditions on the formation of layered double hydroxides. J. Solid State Chem. 2019, 269, 494–506. [Google Scholar] [CrossRef]
- Shen, Z.; Kuang, Y.; Zhou, S.; Zheng, J.; Ouyang, G. Preparation of magnetic adsorbent and its adsorption removal of pollutants: An overview. Trends Anal. Chem. 2023, 167, 117241. [Google Scholar] [CrossRef]
- Chen, D.; Sawut, A.; Wang, T. Synthesis of new functionalized magnetic nano adsorbents and adsorption performance for Hg(II) ions. Heliyon 2022, 8, e10528. [Google Scholar] [CrossRef]
- Chen, J.; Wang, Y.; Huang, C.; Liu, H. Acceleration of adsorption of heavy metal ion micelles onto iron/polyvinyltetrazole adsorbents with dielectrophoresis force under polarization. J. Water Process Eng. 2024, 58, 104793. [Google Scholar] [CrossRef]
- Wang, Y.; Nakano, T.; Chen, X.; Xu, Y.L.; He, Y.J.; Wu, Y.X. Studies on adsorption properties of magnetic composite prepared by one-pot method for Cd(II), Pb(II), Hg(II), and As(III): Mechanism and practical application in food. J. Hazard. Mater. 2024, 466, 133437. [Google Scholar] [CrossRef] [PubMed]
- Dong, D.; Zhang, S.; Huo, W.; Zhao, M.; Li, J.; Dong, G.; Zhao, Y.; Zhu, M.; Shi, Z. Nitrogen-rich magnetic hyper-cross-linked polymer as an efficient adsorbent for tetracycline. J. Environ. Chem. Eng. 2024, 12, 111948. [Google Scholar] [CrossRef]
- Mohsen, M.F.; Moustafa, M.S.S.; Abdel-khalek, M.A. Decoration of serpentine with iron ore as an efficient low-cost magnetic adsorbent for Cr (VI) removal from tannery wastewater. Powder Technol. 2021, 388, 51–62. [Google Scholar]
- Moustafa, M.S.S.; Seleem, E.G.; Eslam, I.E.A.; Mohsen, M.F. Graphene-magnetite functionalized diatomite for efficient removal of organochlorine pesticides from aquatic environment. J. Environ. Manag. 2023, 330, 117145. [Google Scholar]
- Chen, D.; Tunsagnl, A.; Bin, L.; Tao, W.; Smayil, N. Functionalized magnetic Fe3O4 nanoparticles for removal of heavy metal ions from aqueous solutions. e-Polymers 2016, 16, 313–322. [Google Scholar] [CrossRef]
- Su, H.L.; Yang, M.M.; Zhao, L.M.; Yao, S.J.; Geng, Q.N.; Wang, L.P.; Li, G. Recyclable magnetic Fe3O4 supported photocatalyst for the metal-free ATRP. Eur. Polym. J. 2022, 177, 111476. [Google Scholar] [CrossRef]
- Shao, M.; Ning, F.; Zhao, J.; Wei, M.; Evans, D.G.; Duan, X. Preparation of Fe3O4@SiO2@Layered Double Hydroxide Core–Shell Microspheres for Magnetic Separation of Proteins. J. Am. Chem. Soc. 2012, 134, 1071–1077. [Google Scholar] [CrossRef]
- Figueira, P.; Lopes, C.B.; Daniel-da-Silva, A.L.; Pereira, E.; Duarte, A.C.; Trindade, T. Removal of mercury (II) by dithiocarbamate surface functionalized magnetite particles: Application to synthetic and natural spiked waters. Water Res. 2011, 45, 5773–5784. [Google Scholar] [CrossRef] [PubMed]
- Du, G.H.; Liu, Z.L.; Xia, X.; Chu, Q.; Zhang, S.M. Characterization and application of Fe3O4/SiO2, nanocomposites. J. Sol-Gel Sci. Technol. 2006, 39, 285–291. [Google Scholar] [CrossRef]
- Cui, H.; Zhang, J.; Lu, J.; Li, Z.; Li, D. Research on Modification of Fe3O4 Magnetic Nanoparticles with Two Silane Coupling Agents. Magnetochemistry 2023, 9, 1. [Google Scholar] [CrossRef]
- Lin, Z.; Jin, L.; Liu, Y.; Wang, Y. Hydrogen bonding donor/acceptor active sites exposed on imide-functionalized carbon dots aid in enhancing arsenic adsorption performance. Chem. Eng. J. 2023, 459, 141540. [Google Scholar] [CrossRef]
- Chai, X.; Dong, H.; Zhang, Z.; Qi, Z.Y.; Chen, J.; Huang, Z. A novel Zr-MOF modified by 4,6-Diamino-2-mercaptopyrimidine for exceptional Hg (II) removal. J. Water Process Eng. 2022, 46, 102606. [Google Scholar] [CrossRef]
- Vajihe, N.; Islami, M.R. Adsorption capacity of heavy metal ions using sultonemodified magnetic activated carbon as a bio-adsorbent. Mater. Sci. Eng. 2019, 101, 42–52. [Google Scholar]
- Huang, L.; Xiao, C.; Chen, B. A novel starch-based adsorbent for removing toxic Hg(II) and Pb(II) ions from aqueous solution. J. Hazard. Mater. 2011, 192, 832–836. [Google Scholar] [CrossRef]
- Lu, A.; Zhang, Z.Y.; Zhao, D.; Zhu, K.; Li, Z.; Wang, Y.; Hou, C.; Shen, X.C.; Ruan, C. High-efficiency and selective removal of Hg(II) and Pb(II) ions from aquatic system by 1T/2H mixed-phase MoSe2 nanoflowers: Performance and mechanism. Sep. Purif. Technol. 2023, 318, 123982. [Google Scholar] [CrossRef]
- Abdullah, N.; Mohd, F.A.; Jun, H.S. Recovery of waste cooking palm oil as a crosslinker for inverse vulcanized adsorbent to remove iron (Fe3+) ions. J. Environ. Chem. Eng. 2024, 12, 111853. [Google Scholar]
- Hania, A.; Ahmed, A.E.; Ahmed, E.; Hazim, Q.; Fares, A. A green route to the synthesis of highly porous activated carbon from walnut shells for mercury removal. J. Water Process Eng. 2024, 58, 104802. [Google Scholar]
- Hamouz, O.C.S.A.; Ali, S.A. Removal of heavy metal ions using a novel cross-linked polyzwitterionic phosphonate. Sep. Purif. Technol. 2012, 98, 94–101. [Google Scholar] [CrossRef]
- Akar, T.; Alim, S.; Akar, S.S.T. A novel sustainable and eco-friendly biosourced hybrid sorbent for toxic Pb2+ decontamination: Nano metal oxide functionalized salt-tolerant plant biomass. J. Clean. Prod. 2024, 439, 140838. [Google Scholar] [CrossRef]
Disclaimer/Publisher’s Note: The statements, opinions, and data contained in all publications are solely those of the individual author(s) and contributor(s) and not of MDPI and/or the editor(s). MDPI and/or the editor(s) disclaim responsibility for any injury to people or property resulting from any ideas, methods, instructions, or products referred to in the content. |















| Metal Ions | Langmuir Isothern | Freundlich Isothern | ||||
|---|---|---|---|---|---|---|
| Qmax (mg/g) | b (L/mg) | R2 | KF | n | R2 | |
| Hg (II) | 83.86 | 1.4998 | 0.9403 | 57.699 | 8.382 | 0.7006 |
| Pb (II) | 71.79 | 0.2572 | 0.9980 | 23.780 | 3.475 | 0.9016 |
| Metal Ions | Pseudo-First-Order Kinetic | Pseudo-Second-Order Kinetic | ||||
|---|---|---|---|---|---|---|
| Qmax (mg/g) | K1 (min−1) | R2 | Qmax (mg/g) | K2 (g mg−1 min−1) | R2 | |
| Hg (II) | 83.986 | 0.2554 | 0.9772 | 97.10 | 0.00306 | 0.9327 |
| Pb (II) | 70.933 | 0.3144 | 0.9968 | 79.82 | 0.00508 | 0.9735 |
| Eluents | Recovery (%) | |
|---|---|---|
| Hg (II) | Pb (II) | |
| 0.50 mol/L HNO3 | 92.65 | 94.13 |
| 1.00 mol/L HNO3 | 93.86 | 99.27 |
| 0.50 mol/L H2SO4 | 85.32 | 80.27 |
| 1.00 mol/L H2SO4 | 90.41 | 85.17 |
| 0.50 mol/L HCl | 91.63 | 92.45 |
| 1.00 mol/L HCl | 99.47 | 94.12 |
Disclaimer/Publisher’s Note: The statements, opinions and data contained in all publications are solely those of the individual author(s) and contributor(s) and not of MDPI and/or the editor(s). MDPI and/or the editor(s) disclaim responsibility for any injury to people or property resulting from any ideas, methods, instructions or products referred to in the content. |
© 2024 by the authors. Licensee MDPI, Basel, Switzerland. This article is an open access article distributed under the terms and conditions of the Creative Commons Attribution (CC BY) license (https://creativecommons.org/licenses/by/4.0/).
Share and Cite
Chen, D.; Chen, J.; Zhou, W.; Sawut, A. Preparation of the New Magnetic Nanoadsorbent Fe3O4@SiO2-yl-VP and Study on the Adsorption Properties of Hg (II) and Pb (II) in Water. Magnetochemistry 2024, 10, 105. https://doi.org/10.3390/magnetochemistry10120105
Chen D, Chen J, Zhou W, Sawut A. Preparation of the New Magnetic Nanoadsorbent Fe3O4@SiO2-yl-VP and Study on the Adsorption Properties of Hg (II) and Pb (II) in Water. Magnetochemistry. 2024; 10(12):105. https://doi.org/10.3390/magnetochemistry10120105
Chicago/Turabian StyleChen, Dun, Jianxin Chen, Wanyong Zhou, and Amatjan Sawut. 2024. "Preparation of the New Magnetic Nanoadsorbent Fe3O4@SiO2-yl-VP and Study on the Adsorption Properties of Hg (II) and Pb (II) in Water" Magnetochemistry 10, no. 12: 105. https://doi.org/10.3390/magnetochemistry10120105
APA StyleChen, D., Chen, J., Zhou, W., & Sawut, A. (2024). Preparation of the New Magnetic Nanoadsorbent Fe3O4@SiO2-yl-VP and Study on the Adsorption Properties of Hg (II) and Pb (II) in Water. Magnetochemistry, 10(12), 105. https://doi.org/10.3390/magnetochemistry10120105
