Next Article in Journal
Copper and Zinc Accumulation in Young Leaves of Eruca sativa (L.) Grown in Soilless Culture
Next Article in Special Issue
The PpIAA5-ARF8 Module Regulates Fruit Ripening and Softening in Peach
Previous Article in Journal
Sweet Potato Varietal Selection Using Combined Methods of Multi-Trait Index, Genetic Gain and Stability from Multi-Environmental Evaluations
Previous Article in Special Issue
Chitosan Coating Improves Postharvest Shelf-Life of Mango (Mangifera indica L.)
 
 
Font Type:
Arial Georgia Verdana
Font Size:
Aa Aa Aa
Line Spacing:
Column Width:
Background:
Article

Effects of D-Limonene Nanoemulsion Coating on Post-Harvest Quality and Physiology of Papaya

1
Department of Plant Industry, National Pingtung University of Science and Technology, Pingtung 912, Taiwan
2
Department of Seafood Science, National Kaohsiung University of Science and Technology, Kaohsiung 81157, Taiwan
3
Department of Food Science and Biotechnology, National Chung Hsing University, Taichung 402, Taiwan
4
Department of Horticulture and Landscape Architecture, National Taitung Junior College, Taitung 950, Taiwan
*
Author to whom correspondence should be addressed.
Horticulturae 2023, 9(9), 975; https://doi.org/10.3390/horticulturae9090975
Submission received: 9 August 2023 / Revised: 28 August 2023 / Accepted: 28 August 2023 / Published: 29 August 2023
(This article belongs to the Special Issue Storage and Quality Management of Horticultural Products)

Abstract

:
Papaya (Carica papaya L.) is a climacteric fruit, and its quality will rapidly decrease after ripening. Hence, the storage life of its fruit is short. D-limonene is a terpene compound in citrus essential oil and has antibacterial and antioxidant properties. The addition of D-limonene in edible coating can delay volatilization, prevent microorganism and pathogen invasion, decrease water loss, inhibit softening, decrease gas exchange, and extend the storage life of fruits. In this study, 0.25%, 0.5%, and 1% D-limonene nanoemulsion coatings were used for post-harvest immersion treatment of “Tainung No. 2” papayas and its effects on appearance, chlorophyll content, respiration rate, ethylene production, pectin methylesterase, polygalacturonase activity, decay loss, firmness, total soluble solid, titratable acidity, ascorbic acid, and total plate count were investigated. After the papayas were treated with 0.5% D-limonene nanoemulsion coating, polygalacturonase and pectin methylesterase activities decreased, fruit firmness was maintained, and ascorbic acid content was high. On the last day of storage, polygalacturonase and pectin methylesterase activities were 0.01 and 0.02 U/kg FW lower than the control group, respectively; firmness was higher than the control group by 1.75 N, and ascorbic acid content was higher than the control group by 31.97 mg/100 g FW. On Day 2, the treatment showed delay in total soluble solid accumulation and chlorophyll degradation, consequently delaying the color change in fruits. The coating decreased decay loss by 40% on Day 2, decreased respiration rate by 97.0 mg CO2 kg−1 h−1, and ethylene production by 5.7 µL kg−1 h−1 on Day 2. Simultaneously, the coating decreased the total plate count and resulted in a good appearance. Fruits coated with a 1% D-limonene nanoemulsion coating showed defects in color change. In summary, 0.5% D-limonene nanoemulsion coating delayed “Tainung No. 2” papaya ripening and decreased microbial infection, consequently extending its storage life.

1. Introduction

Papaya (Carica papaya L.) is a fruit tree belonging to the genus Carica and family Caricaceae that originates from tropical America. Papayas are widely cultivated in the tropical and subtropical regions. According to statistics by the Food and Agriculture Organization of the United Nations, the cultivation area of papayas was 480,000 ha with a yield of 14.09 million tonnes globally in 2021. They are mainly cultivated in Brazil, Mexico, Nigeria, India, and Indonesia [1]. Papayas contain a lot of vitamins, carotenoids, and phenolic compounds, have high nutritional value, and are popular among consumers.
Papayas are climacteric fruits that ripen rapidly after harvesting. Fruits tend to soften during storage due to ripening metabolism, which may cause post-harvest fungal infection and lead to huge losses [2]. Many post-harvest techniques have been proven to extend the storage life of papayas, such as hot water treatment [3], ozonation treatment [4], and edible coating treatment [5]. In edible coating, a thin film is formed on product surfaces, which prevents microorganism and pathogen entry, decreases water loss, inhibits softening, decreases gas exchange and oxidation speed, and maintains fruit appearance to achieve storage life extension [5]. Many studies have proved that edible coating can delay the ripening of climacteric fruits such as mangoes [6], tomatoes [7], and avocadoes [8].
The addition of antibacterial, antioxidant, or anti-browning agents to the coating can improve the functions of the coating. Plant essential oils are antibacterial agents that often undergo dilution and emulsification to the required concentration. These essential oils can achieve antibacterial effects without affecting the sensory properties of the product [9]. D-limonene is a terpene compound in citrus essential oil that has antioxidant, antibacterial, anti-inflammatory, and gastric mucosa protection properties. It is a colorless and liquid compound that is widely used in cosmetics, foods, and pharmaceuticals and is regarded as safe by the US Food and Drug Administration [10]. D–Limonene can be used as a food preservative to maintain the post-harvest quality and extend the storage life of blueberries [11], strawberries [10], and bananas [12].
Currently, nanoemulsion edible coating has attracted more attention, and its antibacterial activity increases due to the bigger product surface area that is in contact with the coating. Soaking lettuce in 0.05% oregano oil decreased Listeria monocytogenes, Escherichia coli, and Salmonella enteritidis counts by 3.44, 3.05, and 2.31 log CFU/g, respectively, compared to the control group [13]. Cinnamaldehyde, eugenol, and carvacrol nanoemulsion coatings can decrease citrus weight loss rate and respiration rate, delay degradation of total soluble solid, vitamin C, and titratable acidity, while increasing antioxidant enzyme activity, have antibacterial effects towards Penicillium digitatum during the storage period, and significantly decrease decay loss [14].
Due to the post-harvest problems in papaya, including rapid ripening and microbial invasion leading to loss, our study investigated the effects of different concentrations of D-limonene nanoemulsion to the delay of ripening in papayas during the storage period and the decrease in post-harvest decay caused by microorganisms. Simultaneously, the effects of the nanoemulsion coating were examined and post-harvest product quality and physiological changes were analyzed.

2. Materials and Methods

The variety selected was the “Tainung No. 2” papaya, which is cultivated in Changzhi village, Pingtung County, Taiwan. The degree of fruit maturity was based on commercial harvesting. After harvesting, the fruits underwent commercial maturation treatment for 1 day before they were shipped to the laboratory. Fruits with uniform color and size, as well as free from pests and damage were selected for experiments.
A D-limonene nanoemulsion coating was modified based on the method of Hou et al. [12]. A homogenizer (HSIANGTAI, Taipei, Taiwan) was used to mix aqueous and oil phases uniformly at a speed of 2000 rpm. A mixture of 56 mL of RO water and 28 mL of 1,2–propylene glycol was mixed evenly to prepare the aqueous phase with a volume ratio of 2:1. The oil phase consisted of 10 mL of D–limonene and 6 mL of Tween 80 that was evenly mixed. The aqueous phase was slowly added to the oil phase and simultaneously mixed at a speed of 3000 rpm. The addition speed of the aqueous phase was maintained at a constant speed of 10 mL/5 min. After continuous mixing for 50 min, an O/W nanoemulsion was formed. Finally, 1% sodium alginate was added to the emulsion and evenly mixed to be used as the D-limonene nanoemulsion coating. Dilution was used to obtain different concentrations of the D-limonene nanoemulsion coating. We diluted it with water, and the required concentration was obtained through the dilution method at the beginning because the lower dose of essential oil could not be fully integrated with Tween 80, so we first prepared a 10% emulsion and then diluted it to the required concentration, because after reducing the dose of essential oil it is necessary to increase the dose of Tween 80, which will lead to a non-fusion state. Of course, after dilution, it will affect the composition and characteristics of the emulsion, and we will consider this part in the future.
For the papaya storage experiments, a transmission electron microscope (HITACHI–7500, Hitachinaka, Japan) was used to observe the microstructure of the emulsion before the fruits were soaked in 0.25%, 0.5%, and 1% D-limonene nanoemulsion coating solutions for 2 min. Subsequently, the fruits were taken out and air-dried, before placing them in a basket with sponges. The baskets were stored in cold storage with a temperature of 20 °C and relative humidity of 70–80% for analysis and investigation. No processing was carried out in the control group. A scanning electron microscope (HITACHI S3000N, Hitachinaka, Japan) was used to observe the microstructure of the papaya peel. Photographs were taken to record fruit appearance, respiration rate, ethylene production, and decay loss. Storage life was examined on the first day of storage and every 2 days during the storage period. Quality and physiological analyses were carried out every 5 days and three fruits were analyzed per treatment. The total plate count was investigated every 5 days and three fruits were analyzed per treatment. The experiment lasted 18 days in total.
D–limonene nanoemulsion microstructure. The Core Instrument Center of the National Pingtung University of Science and Technology was commissioned to take photographs of the nanoemulsion microstructure. A syringe was used to aspirate D-limonene nanoemulsion to cover a carbon-plated copper mesh used for transmission electron microscopy and dried by vacuum drying. Transmission electron microscopy was used to observe the morphology of D-limonene nanoemulsion under a 100,000 magnification.
Microstructure of D–Limonene nanoemulsion when coated on papaya epidermis. Papaya peels that had undergone different treatments were placed in zip lock bags and stored in a –20 °C cold storage for 7 days followed by lyophilization for 7 days using a lyophilizer (PANCHUM, Kaohsiung, Taiwan). Subsequently, the Core Instrument Center of National Pingtung University of Science and Technology performed scanning electron microscopy on the peels with an acceleration voltage of 15 kV and magnification of 200 times to observe the surface morphology of the papayas.

2.1. Fruit Quality Test Methods

2.1.1. Peel Color Changes

One side of the fruit was used for measurement. Two opposite points were measured and averaged. During measurement, a black cloth was used as a cover to avoid affecting the data. A colorimeter (Nippon Denshoku Industries Co., Ltd., Tokyo, Japan) was used to measure L, a, and b values.
The lightness (L) range was 0 to 100 and a higher value indicates greater lightness. Hue angle (θ value) was calculated using ∣b/a∣tan−1 and shows peel color changes (hue angle of 0° = red; 90° = yellow; 180° = green; 270° = blue). Chroma (C value) was calculated using (a2 + b2)1/2. The higher the C value, the richer the peel chroma [15].

2.1.2. Firmness

A texture analyzer (Shimadzu, Kyoto, Japan) was used to measure the firmness of the papayas using a no. 5 probe with a diameter of 0.5 cm. During measurement, the insertion depth was first set to 10 mm. The equator of each fruit was used for measurement and the mean of two points on opposite sites was measured. The unit for firmness is Newton (N).

2.1.3. Total Soluble Solid, TSS

Papaya pulp juice was extracted and a handheld refractometer (Atago, Tokyo, Japan) was used to measure the TSS value. Brix was used to express TSS content.

2.1.4. Titratable Acidity, TA

A total of 10 g of papaya pulp was added to 100 mL of RO water. After mixing using a homogenizer (HSIANGTAI, Taipei, Taiwan), 25 mL of clarified liquid was titrated with 0.1 N NaoH. An automatic titrator (Mettler Toledo, Columbus, OH, USA) was used to titrate until the titration endpoint of pH 8.1. The equivalents of citric acid and NaOH were selected as the titration results to obtain titratable acidity.

2.1.5. Ascorbic Acid

The method of Nielsen [16] was modified for ascorbic acid measurement. A total of 5 g of pulp was added to 50 mL of 3% metaphosphoric acid (HPO3). After mixing evenly, the solution was passed through a filter and 5 mL of filtrate was collected and added to 5 mL of metaphosphoric acid. Indophenol was used as an indicator for titration until the solution became pink. This was compared with the titration result when 1 mm ascorbic acid was used as the standard concentration. The calculation formula is as follows:
V i t a m i n   C ( m g / 100 g ) = S T × V 1 V 2 × 1 W × 100
S is the indophenol volume (mL) used for the sample, T is the indophenol volume (mL) used for the ascorbic acid stand, V1 is the volume of metaphosphoric acid (50 mL), V2 is the volume of filtrate (5 mL), and W is the sample weight (g).

2.1.6. Weight Loss

After the fruits underwent coating treatment, an electronic balance (Shimadzu, Kyoto, Taiwan) was used to measure the initial weight. Subsequently, the fruits were measured every 5 days during the storage period and the formula was used to calculate the weight loss rate. W1 is the initial weight after coating immersion treatment and Wα is the weight during the storage process. The calculation formula for the weight loss rate is as follows:
W e i g h t   l o s s   r a t e ( % ) = w 1 w α w 1 × 100

2.2. Fruit Physiological Analysis Methods

2.2.1. Respiration Rate and Ethylene Production

A circulation system was used to store the papaya samples. Fruits were placed in 6 L breathing tanks before sealing. Every 2 days, a 1 mL syringe was used to collect air at the tank outlet for investigation. The thermal conductivity detector of a gas chromatograph (Model GC–8A; Shimadzu, Kyoto, Japan) was used. The chromatography column was Porapak, the inlet temperature was 100 °C, the chromatography column temperature was 90 °C, and the respiration rate was expressed as mg CO2 kg−1 h−1. The flame ionization detector of a gas chromatograph (Model GC–8A; Shimadzu, Kyoto, Japan) was used to measure ethylene production. The chromatography column was Porapak, the inlet temperature was 100 °C, the chromatography column temperature was 80 °C, and ethylene production was expressed as μL kg−1 h−1.

2.2.2. Polygalacturonase, PG

The method of Ren et al. [17] was modified for polygalacturonase measurement. A total of 5 grams of papaya pulp and 20 mL of 95% ethanol were mixed evenly. After extraction at 4 °C for 10 min, a centrifuge (HITACHI, Hitachinaka, Japan) was used to spin down the mixture at 12,000 g for 30 min at 4 °C. The supernatant was collected and added to 10 mL 80% ethanol solution and the above steps were repeated. Hence, the supernatant obtained was added to 5 mL sodium acetate buffer. The solution was allowed to react at 4 °C for 20 min to measure polygalacturonase activity. The reaction mixture consists of 1 mL 50 mmol/L sodium acetate, 0.5 mL supernatant, and 1.5 mL 27.6 mM 3, 5–dinitrosalicylic acid. After mixing evenly in a test tube, the test tubes were left to stand for 1 h at 37 °C. The mixture was placed in a boiling water bath to stop the reaction (100 °C, 5 min). After cooling, a spectrophotometer (Hitch, Tokyo, Japan) was used to measure absorbance at 540 nm wavelength, and PG activity was expressed as U/kg FW.

2.2.3. Pectin Methylesterase, PME

The method of Ren et al. [17] was modified for pectin methylesterase measurement. One gram of papaya pulp was mixed evenly with 6 mL 8.8% NaCl and extraction was carried out at 4 °C for 1 h. A centrifuge (HITACHI, Hitachinaka, Japan) was used to spin down the mixture at 12,000 g for 30 min at 4 °C. The supernatant collected was used to measure pectin methylesterase activity. The reaction mixture consisted of 0.7 mL of distilled water, 2 mL of 0.5% citrus pectin, 0.15 mL of 0.01% bromothymol blue, and 0.15 mL of supernatant. After mixing evenly in a quartz tube, the tubes were left to stand at 25 °C to react for 30 min. A spectrophotometer (Hitch, Tokyo, Japan) was used to measure absorbance at 620 nm wavelength and PME activity was expressed as U/kg FW.

2.2.4. Total Chlorophyll Content

The method of Wellburn [18] was modified for the measurement of peel chlorophyll content. A total of 0.5 g of papaya peels was added to an extraction bottle and 10 mL of 99% acetone was added. The bottles were placed in a 4 °C dark room for 24 h of extraction. After the supernatant was collected, a centrifuge (HITACHI, Hitachinaka, Japan) was used to spin down the supernatant at 12,000 g for 15 min at 4 °C. A spectrophotometer (Hitch, Tokyo, Japan) was used to measure absorbance at 652 nm wavelength and the absorbance coefficient was used to calculate the mass concentration of chlorophyll ρ t, ρ t = (A652 × 1000)/34.5. The mass concentration was used to calculate the total chlorophyll content of the papaya samples. The calculation formula is chlorophyll (μg/g) = [ ρ × 1(total volume of sample solution)]/[1(sample, g) × 1000)] × 1000.

2.3. Total Plate Count

Culture medium preparation. A nutrient agar broth was selected for this experiment. A total of 2 grams of NA mixture (BD DifcoTM Nutrient Broth, consisting of beef extract and peptone mixed) were added to 250 mL of double-distilled water and 5 g agar and mixed evenly before adding to a conical flask. Aluminum foil was used to seal the flasks and sterilization was carried out in an autoclave (UNICLAVE, Shanghai, China). After sterilization at 121 °C for 15 min, the agar was taken out and poured into Petri dishes, and the surface water was evaporated to dryness. Fifteen minutes before the operation, the culture medium underwent UV lamp sterilization using an aseptic procedure.
Operation methods. A 1 cm × 1 cm peel sample was collected and the total plate count of the peels was measured using the dilution plate method. Distilled water was added to serum bottles before the bottles were sterilized using an autoclave (UNICLAVE, Shanghai, China) to obtain sterile water for subsequent use. After the papaya peels were sterilized by passing through a flame using tweezers, the peels were placed in centrifuge tubes containing 500 μL of sterile water. Subsequently, a homogenization rod was used to mix the papaya peels before using a vortexer (FINEVORTEX, Gyeonggi-Do, Republic of Korea) in mixing evenly in preparing a stock solution.
Dilution of bacterial suspension. A micropipette was used to aspirate 1 mL of stock solution into 9 mL of sterile water. After fully mixing the solution, a 10−1 diluted solution was obtained. A 1 mL sample of the 10−1 diluted solution was added into 9 mL of sterile water. After fully mixing the solution, a 10−2 diluted solution was obtained. The above method was used for serial dilutions to obtain 10−3 to 10−6 diluted solutions.
Plate culture. A micropipette was used to aspirate 0.1 mL from 10−3 to 10−6 diluted solution into NA agar plates and an L-shaped glass rod was used to spread the solution. Triplicates were used per treatment. After treatment, the plates were cultured at 28 °C for 24–48 h. The number of colony-forming units on the plates was calculated for different dilution factors. During measurement, a plate with 30–300 colonies was considered to be valid and the colony count (cfu/mL) of the stock solution was calculated. The formula was used to calculate the total plate count of peels and expressed as Log CFU/g.
T o t a l   p l a t e   c o u n t L o g C F U g         = N u m b e r   o f   c o l o n i e s : f r e s h   w e i g h t   o f   p e e l g         = b a c t e r i a l   c o u n t : 1 g

2.4. Decay Loss

Five papayas in each treatment were used to measure decay loss every 2 days during storage. The papayas were observed for mold growth, decay, rotting, or pests. Decay is regarded as a loss in the commercial value of the fruit. The calculation formula is as follows:
D e c a y   l o s s % = n u m b e r   o f   d e c a y e d f r u i t s t o t a l n u m b e r   o f   f r u i t s × 100

2.5. Statistical Analysis and Graph Plotting

SAS 9.0 (Statistic Analysis System) software was used for the analysis of variance (ANOVA) of the experimental data and Fisher’s least significant difference (Fisher’s LSD) was used to analyze differences with a significance level of <0.05. Finally, SigmaPlot 10.0 was used for graph plotting.

3. Results

3.1. D–Limonene Nanoemulsion Microstructure

Transmission electron microscopy was used to observe the morphology of the D-limonene nanoemulsion under 100,000 magnification and found that the nanoemulsion droplets were spherical, particles were distinct, and uniformly distributed in the emulsion. The emulsion particles were 29.1–50.5 nm in size (Figure 1).

3.2. Microstructure of D–Limonene Nanoemulsion When Coated on “Tainung No. 2” Papaya Epidermis

After the papayas were soaked in different concentrations of coating, scanning electron microscopy was used to observe papaya epidermis morphology under 200 times magnification. In the control group, the papaya epidermis appeared uneven with tears and gaps, and stomata could be seen. After coating treatment, the papaya epidermis was relatively smooth, free of gaps, and a protective film was formed on its epidermis that blocked the stomata on the epidermis (Figure 2). As the concentration used for the 1% coating treatment was high, the coating was deposited on the papaya epidermis and formed a thicker protective layer.

3.3. Effects of D-Limonene Nanoemulsion Coating on Post-Harvest Quality of “Tainung No. 2” Papayas

3.3.1. Papaya Peel Lightness, Chroma, and Hue Angle Changes

The L value indicates peel lightness, and a higher value indicates higher lightness. The lightness of papaya peels increased with storage duration, of which the lightness of papaya peels in the control group was higher during the earlier period of storage while that of the 0.5% and 1% coating treatment groups was lower. On Day 10, the L values were 63.6 ± 0.8, 47.3 ± 0.6, and 48.7 ± 1.1, respectively. In the later period of storage, the lightness of the control group showed a declining trend (Figure 3A). At the later stage of storage, no significant difference in lightness between the various treatment groups was observed.
Chroma is an indicator of peel color saturation and depth. The chroma of the papaya peels showed an increasing trend during the storage period. The control group showed higher peel chroma, with values between 62.3 ± 2.1 and 66.5 ± 2.3 from days 10 to 18. The chroma of the coating-treated papaya peels increased slowly. On the last day, the chroma of the 1% coating treatment group was the lowest (55.4 ± 5.9) (Figure 3B).
The hue angle is an indicator of peel color. Hue angle showed a decreasing trend as storage duration increased. The hue angle of the control group decreased the fastest, with a hue angle of 78.5 ± 1.1 on Day 10, which was significantly higher than the other treatment groups (Figure 3C). The hue angle of the 1% treatment group decreased the slowest and the hue angle on the last day remained 86.5 ± 5.9, which was significantly higher than the other treatment groups.

3.3.2. Changes in Papaya Firmness, Total Soluble Solid, Titratable Acidity, and Ascorbic acid Content

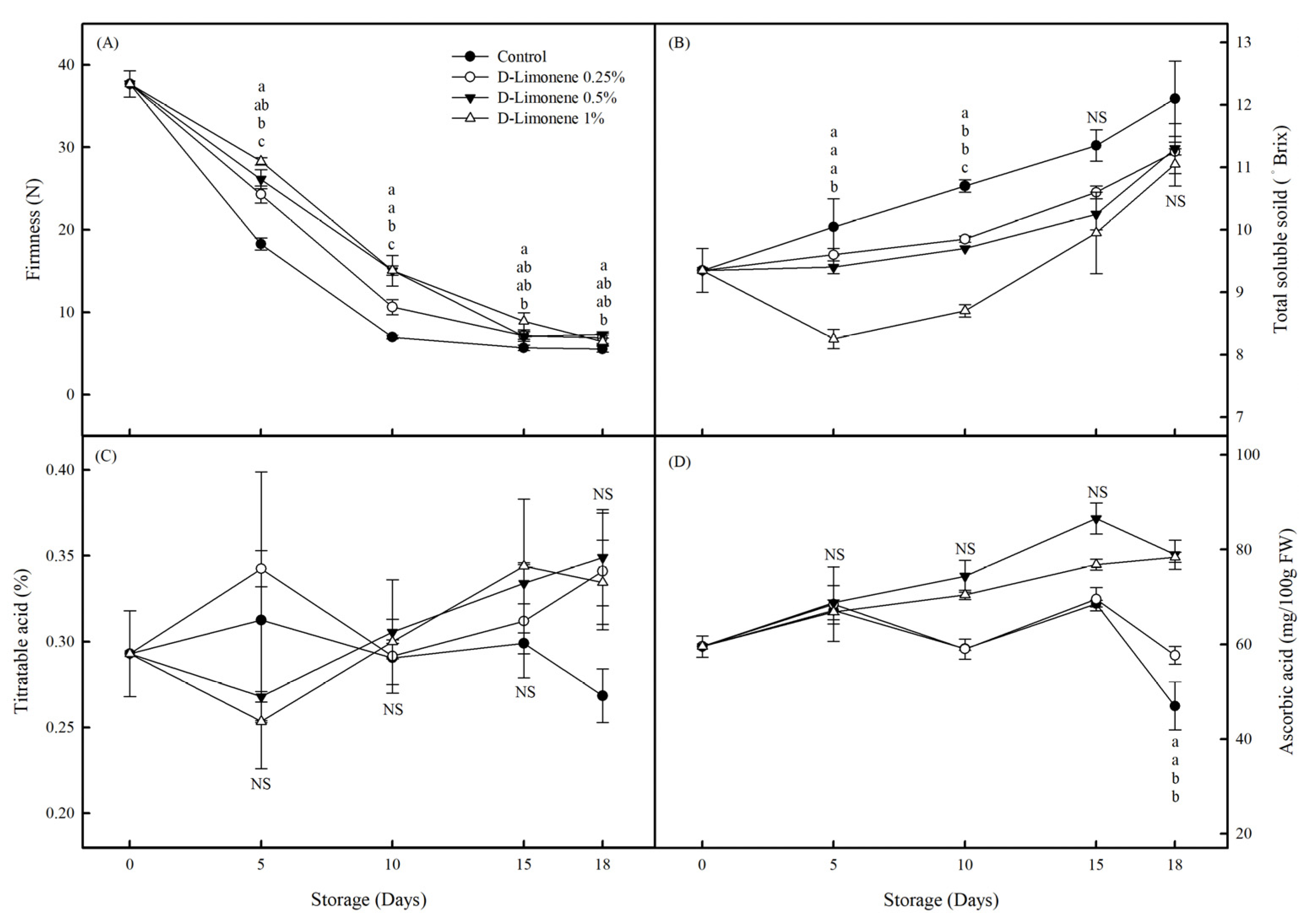
Firmness is an indicator of fruit hardness. Fruit firmness gradually decreased as storage duration increased. For instance, the firmness of the control group decreased the fastest, with a firmness value of 18.3 ± 0.7 N on Day 5. This was significantly higher than those of the other treatment groups (Figure 4A). The firmness of the papayas that were treated with different concentrations of the coating was higher, with firmness value of 6–7 N on the last day.
TSS can be used as an indicator of fruit sweetness. Papaya TSS content showed an increasing trend during the storage period, with TSS content accumulating the fastest in the control group, with a TSS of 10.7 ± 0.1. Brix on Day 10. This was significantly higher than in the other treatment groups. The TSS content of the 1% coating treatment group accumulated the slowest, with a content of 8. Brix on days 5 and 10, which was significantly lower than other treatment groups (Figure 4B). After 15 days of storage, no significant difference in TSS content between the various treatment groups was observed.
TA can be used as an indicator of organic acid content. The papaya TA content showed an increasing trend during the storage period except for the control group. The TA content of papayas that were treated with different concentrations of coating was higher on the last day, at around 0.34% while that of the control group was the lowest (0.268 ± 0.01%) (Figure 4C). No significant difference in TA between the various treatment groups was observed.
Ascorbic acid is an antioxidant in fruits and associated with antioxidant ability. During the storage period, high ascorbic acid content was maintained in the 0.5% and 1% coating treatment groups, which was 80 mg/100 g FW from Day 10 to Day 18. Meanwhile, the ascorbic acid content in the control group and 0.25% coating treatment group was maintained at lower levels, which was 47.0 ± 5.0 and 57.7 ± 1.9 mg/100 g FW, respectively, on the last day and significantly lower than in other treatment groups (Figure 4D).

3.3.3. Weight Loss Rate Changes of Papayas

Due to water loss during the storage period, an increasing trend was observed in the weight loss rates of the various treatment groups. The control group had the lowest weight loss rate, which was 1.6 ± 0.2% and 2.9 ± 0.5%, respectively, on days 5 and 10, and these were significantly lower than other treatment groups. Coating treatment increased the weight loss rate of fruits and the weight loss rate on Day 5 was between 2.5 ± 0.2% and 2.8 ± 0.1%, which was significantly higher than that of the control group (Figure 5). At the later stage of storage, no significant difference was observed in the weight loss rate between the various treatment groups.

3.4. Effects of D-Limonene Nanoemulsion Coating on Post-Harvest Physiology of “Tainung No. 2” Papayas

3.4.1. Ethylene Production and Respiration Rate Changes of Papayas

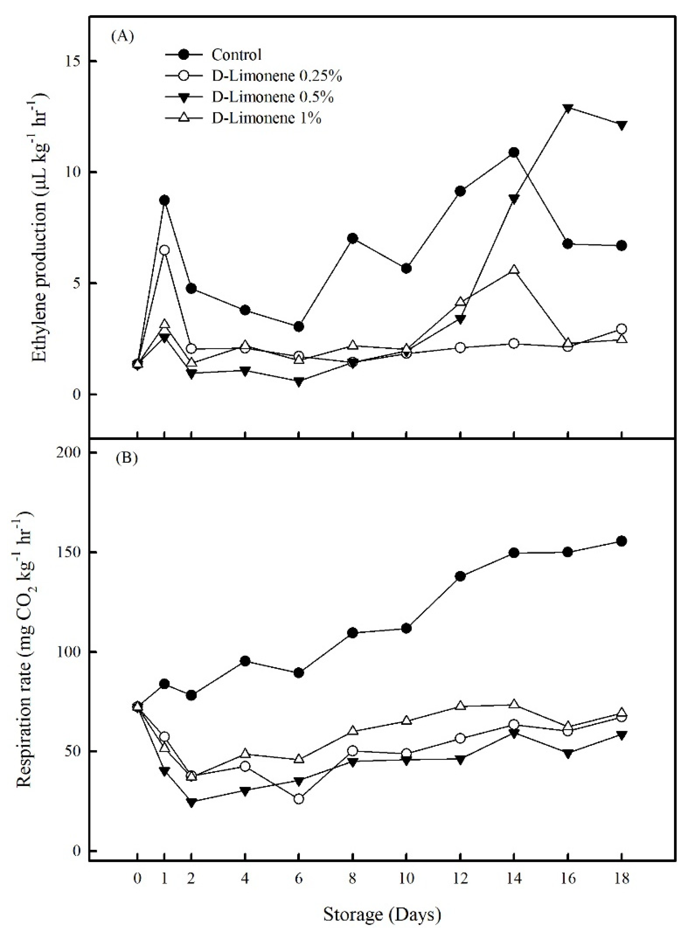
During the storage period, ethylene production in the control group was higher than in the coating treatment groups, with ethylene production of 1.4 ± 0.5 to 10.9 ± 2.7 μL kg−1 h−1. After coating treatment, ethylene production was maintained at low levels in the papayas and only showed a rapid increase in the 0.5% coating treatment group, which was 12.2 ± 4.8 μL kg−1 h−1 on the last day (Figure 6A).
The respiration rate of the control group was higher than the other treatment groups and the respiration rate on the last day was 155.5 ± 10.9 mg CO2 kg−1 h−1. The respiration rate showed an increasing trend as storage duration increased in the control group. The respiration rate of coating-treated papayas on the last day was between 58.5 ± 3.4 and 69.1 ± 15.6 mg CO2 kg−1 h−1, which was lower than the control group and there were not many changes in the respiration rate during the entire storage period (Figure 6B).

3.4.2. Changes in Papaya Polygalacturonase and Pectin Methylesterase

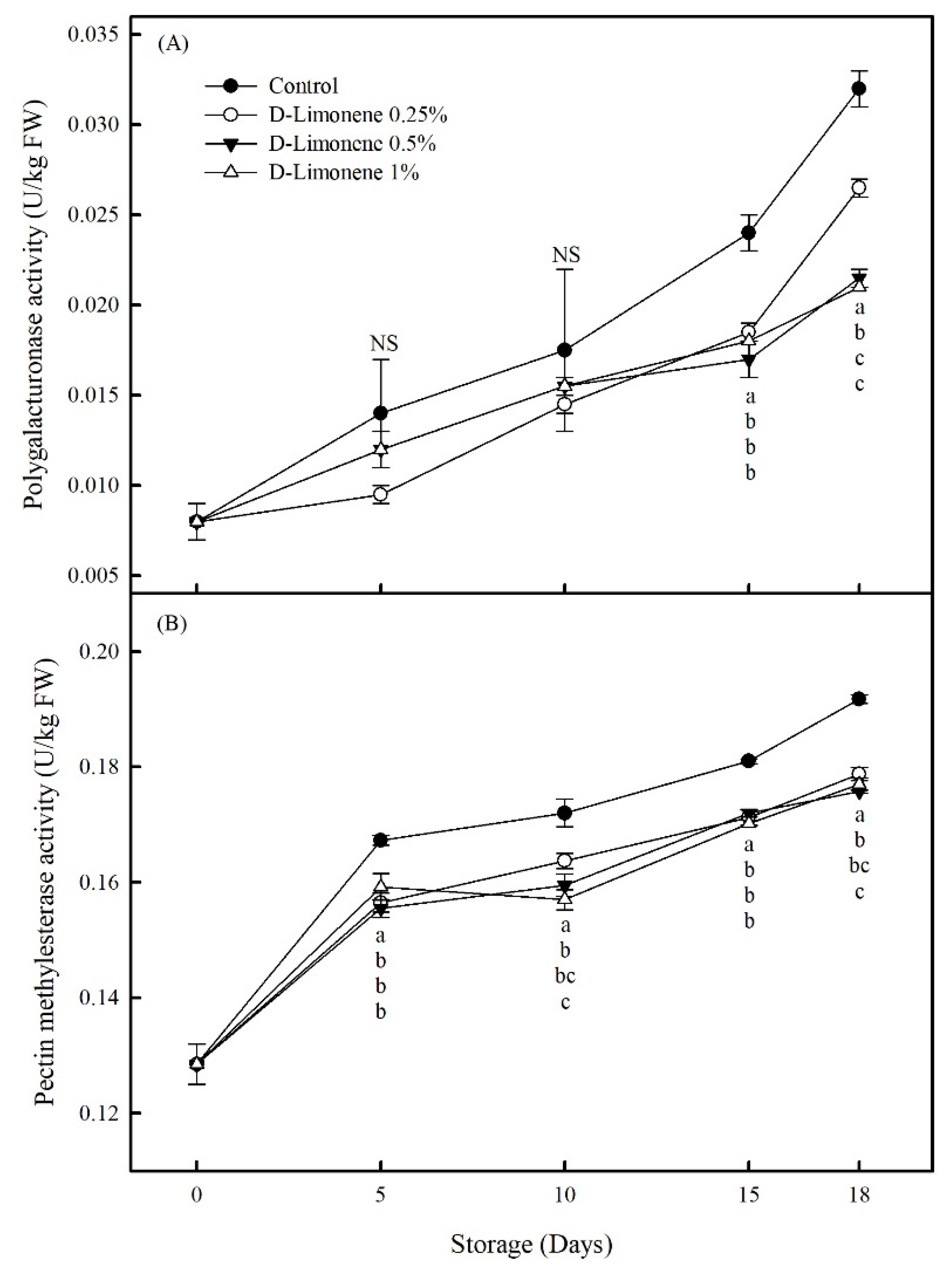
Fruit firmness is associated with PG and PME activity changes. The papaya PG activity showed an increasing trend as storage duration increased, of which the control group showed a faster increase in PG activity and reached 0.032 ± 0.001 U/kg FW on the last day. The PG activity of coating-treated papayas significantly decreased and was the lowest in the 0.5% and 1% coating treatment groups on the last day, which was 0.021 and 0.022 U/kg FW, respectively (Figure 7A).
PME activity was similar to PG activity, of which PME activity in the control group was the highest and ranged from 0.167 ± 0.001 to 0.192 ± 0.001 U/kg FW on days 5 to 18. The PME activity of coating-treated papayas did not show any significant difference on the last day, with activity ranging from 0.176 ± 0.000 to 0.179 ± 0.001 U/kg FW, which was significantly lower than the control group (Figure 7B).

3.4.3. Chlorophyll Content Changes of Papayas

During the storage period, the papaya chlorophyll content showed a decreasing trend, of which the control group showed a faster decline, with chlorophyll content of 15.8 ± 0.1 and 11.0 ± 1.9 μg/g FW, respectively, on days 10 and 15. The decline in chlorophyll content in coating-treated papayas was slower and the 1% coating treatment group had the highest chlorophyll content, which was 32.1 ± 5.7 and 25.2 ± 4.7 μg/g FW, respectively, on days 10 and 15. On the last day of storage, there was no significant difference in chlorophyll content between the various treatment groups (Figure 8).

3.5. Antibacterial Effects of D-Limonene Nanoemulsion Coating on “Tainung No. 2” Papayas

During the storage period, the total plate count of the papaya peels showed an increasing trend. However, after coating treatment, the total plate count of the peels on Day 1 decreased. Among the groups, the total plate count in the 0.5% and 1% coating treatment groups was lower, which was 5.26 ± 0.01 and 5.32 ± 0.05 Log CFU/g, respectively, which was significantly lower than the control group and 0.25% coating treatment group (Figure 9). On the last day of storage, the total plate counts of the 0.5% and 1% coating treatment groups were still the lowest, which were 6.97 ± 0.03 and 6.90 ± 0.03 Log CFU/g, respectively, while the total plate counts of the control group and 0.25% coating treatment group were 7.55 ± 0.01 and 7.46 ± 0.03 Log CFU/g, respectively.

3.6. Decay Loss Changes of Papayas

Papaya decay loss showed an increasing trend as storage duration increased, among which, the control group showed the most rapid decay with a rate of 20% on Day 4. On Day 10, the decay loss quickly increased and exceeded 50%. The second fastest decay loss was in the 0.25% coating treatment group with a loss of 20% on Day 6 (Figure 10). The decay loss of papayas that underwent different coating treatments on Day 10 was only 40%, and the 0.5% and 1% coating treatments could delay papaya decay. Molding and rotting occurred on days 6–10, and decay loss only exceeded 50% near to Day 12. Hence, papaya decay was effectively postponed.

3.7. Effects of D-Limonene Nanoemulsion Coating on the Appearance of “Tainung No. 2” Papayas

Over the course of storage, papaya peels undergo color transformation, and this change is highly influenced by the application of coating. The control group showed a significant change in color on Day 2, and by Day 8, almost all papayas were yellow. However, when papayas were treated with different concentrations of the coating, the color change was delayed until days 2–4, and the rate of color change decreased as concentration increased. The 1% coating treatment group showed the slowest color change, which was still incomplete on Day 16, indicating a color change defect (Figure 11). Decay loss was severe on the last day in the control group and 0.25% treatment group, whereas the 0.5% and 1% coating treatment groups showed mild occurrences and rotting.

4. Discussion

Peel color changes will affect the marketability of fruits and are an indicator of fruit maturity, storage life, and post-harvest quality. In this study, papaya peel lightness increased with storage duration. This phenomenon can be attributed to the initial dark green color of the peel, the color changes to bright yellow as it ripens, leading to an increase in lightness [19]. Peel lightness decreased due to rotting in the control group after storage. Papaya peels treated with different concentrations of the coating exhibited slower color change and a gradual increase in lightness was observed. The study of Ali et al. [20] showed that the slow color change of papaya peels after a high concentration of coating treatment may be attributed to a decreased respiration rate and ethylene production. This causes changes in the internal gaseous environment of the fruit, thereby delaying fruit ripening and resulting in less color change.
The fruits in the control group ripened quickly and had higher chroma. The D-limonene nanoemulsion coating forms a protective layer on the fruit, which delays papaya ripening, and slows chroma increase. The study of Miranda et al. [21] showed that papaya chroma showed an increasing trend when they are stored at high temperatures (22 °C) and the chroma of the control group was significantly higher than papayas treated with 9% and 18% carnauba wax nanoemulsion.
Generally, papaya peel color will change during ripening and aging, and this is due to the degradation of chlorophyll or synthesis of other pigments [22]. Before ripening, the papaya peel appears dark green with a high hue angle. As the fruit ripens, the peel gradually turns yellow and the hue angle decreases. Similarly, the hue angle of the fruits in the control group decreased quickly, as they turned yellow rapidly. Different concentrations of coating treatment delay papaya color change and the hue angle decreases slowly, of which the 1% coating treatment group showed the most significant results. Our results were similar to the results of Zillo et al. [19] who used a carboxymethyl cellulose coating to treat papayas with essential oil and found that the ripening process occurs slowly. This is because the edible coating acts as a gas barrier and protects carotenoids from exposure to air which causes oxidation, thereby delaying color change with time. Chlorophyll is a natural pigment that is present in fruits. Chlorophyll is hydrolyzed by chlorophyllase into a water-soluble compound and changes due to photooxidation during long-term storage. The coating changes the internal gas components of fruits, delays chlorophyll degradation, and delays the ripening process [23].
Fruit firmness gradually decreases during the storage period, and this is commonly observed in climacteric fruits due to ripening. Fruit softening significantly occurs during ripening, because of the degradation of parenchyma cell walls [24]. In this study, firmness decreased rapidly in the control group and coating treatment could decrease the firmness reduction speed. Cell wall component changes during fruit softening are mainly caused by cell wall degradation enzymes, including PG, pectin lyase, and cellulase, thereby causing fruit softening [25]. Coating treatment forms a protective layer on fruits and regulates the gases inside fruits, causing a low oxygen and high carbon dioxide environment in fruits, hence decreasing the activity of softening-related enzymes and maintaining fruit firmness [19].
PG and PME activity in fruits is associated with a decrease in firmness during storage [26]. In climacteric fruits, PG is associated with pectin degradation. Before PG is activated, PME demethylesterifies pectin first, and this process synthesizes a substrate suitable for PG [27]. PME converts methyl-esterified polyuronide to demethylesterified polyuronide. During softening, pectin undergoes structural changes resulting in pectin depolymerization and cell wall degradation, which causes fruit softening [17]. In this study, PG and PME activities in the control group were significantly higher than those of treated papayas. The effects of the coating can be attributed to the formation of a protective layer on the fruit surface, which decreases gas exchange and oxygen concentration. This inhibits the activity of degradation enzymes and delays softening. Therefore, higher fruit firmness can be attributed to decreased ethylene production and degradation enzyme activity, thereby inhibiting the degradation of cell wall polysaccharides [28].
TSS includes dissolved carbohydrates, pectin, and other organic acids. During the storage period, TSS change is one of the results of continuous metabolism in the fruit [29]. During ripening, starch hydrolysis causes sucrose and hexose synthesis in tissues, causing TSS content to increase, the papaya has a sweeter pulp, and produces a unique aromas [30]. In this study, TSS accumulation was faster in the control group, and coating treatment delayed papaya ripening, resulting in slower TSS accumulation. Specifically, TSS accumulation was the slowest in the 1% coating treatment group. In addition, Bautista-Baños et al. [31] proved that an increase in TSS content during ripening facilitates fungal growth and causes disease. However, rotting was slower in the D-limonene nanoemulsion coating-treated fruits, which helps to extend the storage life. This proves that using essential oil-related coating for post-harvest treatment of fruits can provide a physicochemical barrier and has antifungal effects.
Ascorbic acid is an antioxidant that can inhibit or decrease damage caused by reactive oxygen species to fruits. Higher ascorbic acid content indicates stronger antioxidant ability. In this study, ascorbic acid content in the control group and 0.25% coating treatment group were lower at the later stage of storage, whereas the ascorbic acid content of papayas in the 0.5% and 1% coating treatment groups was higher. Cruz-Castillo et al. [32] reported that feijoa the antioxidant capacity also decreased in shelf life. Harbant and Korpraditskul [33] reported that the decrease in ascorbic acid content with storage duration is due to ascorbate peroxidase which oxidizes ascorbic acid to dehydroascorbic acid. In addition, Nasiri et al. [34] attributed the decrease in ascorbic acid to consumption by respiration. As oxygen promotes ascorbic acid loss, the coating can decrease oxygen concentration and decrease respiration rate, thereby maintaining ascorbic acid content. Ascorbic acid content increased as essential oil concentration increased, which was consistent with the results of Nasiri et al. [34]. Their study showed that Satureja khuzistanica essential oil coating significantly maintained ascorbic acid content in mushrooms during 16 days of storage at 4 °C and the acid was highest in the 1000 ppm treatment group.
Ethylene production and respiration rate in the control group were significantly higher than that in the coating-treated papayas, which was consistent with the results of Miranda et al. [21]. They found that carnauba wax nanoemulsion containing ginger essential oil will decrease respiration rate and ethylene production in papayas. Respiration rate is an important factor that is associated with accelerated ripening in fruits and edible coating mainly covers stomata to decrease gas exchange, causing the oxygen concentration to decrease and carbon dioxide concentration to increase in fruits. This decreases the respiration rate of products. As C2H4 production is oxygen-dependent, low oxygen decreases the amount of C2H4 synthesized and delays fruit ripening [35]. In the 0.5% coating treatment group, fruit decay during the later stage of storage resulted in increased ethylene production. Increased ethylene production and accelerated respiration rate lead to shortened fruit life, including rapid ripening, fruit softening, reduction of ascorbic acid and titratable acid content, sugar accumulation, peel color change, etc., while D-limonene nanoemulsion coating reduces ethylene production, and the respiration rate can achieve the effect of delaying fruit ripening and prolonging storage life.
Fruit weight loss and transpiration are related to respiration, including water loss caused by transpiration and energy consumed by respiration. Weight loss rate increases as the fruit matures [36]. In this study, the papaya weight loss rate increased with storage duration and the weight loss rate was higher after coating treatment compared with the control group. We speculate that essential oil nanoemulsion increased peel water vapor permeability, resulting in poor waterproofing [37]. The study of [37] pointed out that film water vapor permeability increases with essential oil emulsion concentration. However, these changes do not possess vapor barrier properties, demonstrating that the film is extremely permeable to water vapor. Generally, plasticizers will decrease the interactions between coating molecules and facilitate movement in the film matrix. The increased mobility causes greater free volume and segmental motion, which promotes the movement of water vapor molecules through the film [38]. This was similar to the results of Pranoto et al. [39] which showed that WVP in the alginate film increases as garlic oil content increases (0.3–0.4%).
Coating treatment can delay papaya decay while simultaneously decreasing decay loss. This effect is more significant as concentration increases. When cinnamon oil is used to treat damaged cherry tomatoes, all concentrations except for 100 ppm could significantly inhibit Alternaria alternata growth when cherry tomatoes were stored at 20 °C for 5 days. Moreover, the 500 ppm cinnamon oil treatment decreased the decay percentage by 34.2% [40]. In this study, 0.5% and 1% coating significantly decreased papaya peel total plate count and no significant antibacterial effects were observed in low concentrations (0.25% coating treatment). Antibacterial effects on the papayas increased with increasing D-limonene nanoemulsion concentration, which was consistent with the results of Zillo et al. [19]. Their study found that geranium oil treatment could significantly decrease the severity of anthracnose in papayas after storage at 22 °C for 8 days, and a significant difference was observed compared with the control group.
A 1% D-limonene nanoemulsion coating treatment could significantly extend papaya ripening and maintain post-harvest quality. However, this concentration causes defects in papaya color conversion. Liu et al. [41] reported that surface browning was observed in apricots treated with thymol and this is a form of cytotoxicity. In addition, the severity of surface browning increases with thymol concentration. Essential oils are typical lipophilic substances that can penetrate the cell wall and cell membrane to disrupt the structure of different layers of polysaccharides, fatty acids, and phospholipids, which cause their permeabilization. Cytotoxicity seems to include this membrane damage. Essential oils can change the fluidity of membranes, making them abnormally permeable and causing leakage of free radicals, cytochrome, calcium ions, and proteins, resulting in oxidation and bioenergetic failure [42].

5. Conclusions

After papayas were immersed in 0.5% D-limonene nanoemulsion, fruit firmness, ascorbic acid, and chlorophyll content were maintained; peel color change and total soluble solid accumulation were delayed; decay loss, respiration rate, ethylene production, pectin methylesterase, polygalacturonase activities, and peel total bacterial count were decreased; and the fruits exhibited good appearance. However, 1% D-limonene nanoemulsion coating treatment causes fruit color change defects. Meanwhile, a 0.5% D-limonene nanoemulsion coating delays “Tainung No. 2” papaya ripening and decreases microbial infection, extends its storage life, and is a good method for maintaining papaya quality.

Author Contributions

Conceptualization, M.-C.Y. and Y.-S.L.; methodology, C.-Y.H. and J.-S.T.; software, H.-Y.C.; validation, M.-C.Y. and Y.-S.L.; formal analysis, H.-Y.C.; investigation, M.-C.Y.; resources, C.-Y.H. and C.-W.H.; data curation, H.-Y.C.; writing—originaldraft, M.-C.Y. and Y.-S.L.; writing—review and editing, M.-C.Y., J.-S.T. and Y.-S.L.; visualization, M.-C.Y. and Y.-S.L.; supervision, M.-C.Y. and Y.-S.L.; project administration, Y.-S.L.; funding acquisition, C.-W.H. and Y.-S.L. All authors have read and agreed to the published version of the manuscript.

Funding

This research was funded by the Ministry of Agriculture, Executive Yuan, R.O.C.

Data Availability Statement

Not applicable.

Conflicts of Interest

The authors declare no conflict of interest. The authors alone are responsible for the content and writing of the manuscript.

References

  1. Food and Agriculture Organization. Crop and Livestock Statistics. Papaya; FAO: Rome, Italy, 2021. [Google Scholar]
  2. Sivakumar, D.; Sultanbawa, Y.; Ranasingh, N.; Kumara, P.; Wijesundera, R. Effect of the combined application of chitosan and carbonate salts on the incidence of anthracnose and on the quality of papaya during storage. J. Hortic. Sci. Biotechnol. 2005, 80, 447–452. [Google Scholar] [CrossRef]
  3. He, Y.; Bose, S.K.; Wang, W.; Jia, X.; Lu, H.; Yin, H. Pre-Harvest Treatment of Chitosan Oligosaccharides Improved Strawberry Fruit Quality. Int. J. Mol. Sci. 2018, 19, 2194. [Google Scholar] [CrossRef] [PubMed]
  4. Ali, A.; Ong, M.K.; Forney, C.F. Effect of ozone pre-conditioning on quality and antioxidant capacity of papaya fruit during ambient storage. Food Chem. 2014, 142, 19–26. [Google Scholar] [CrossRef]
  5. Aparicio-García, P.F.; Ventura-Aguilar, R.I.; del Río-García, J.C.; Hernández-López, M.; Guillén-Sánchez, D.; Salazar-Piña, D.A.; Ramos-García, M.d.L.; Bautista-Baños, S. Edible Chitosan/Propolis Coatings and Their Effect on Ripening, Development of Aspergillus flavus, and Sensory Quality in Fig Fruit, during Controlled Storage. Plants 2021, 10, 112. [Google Scholar] [CrossRef]
  6. Silva, G.M.C.; Silva, W.B.; Medeiros, D.B.; Salvador, A.R.; Cordeiro, M.H.M.; da Silva, N.M.; Santana, D.B.; Mizobutsi, G.P. The chitosan affects severely the carbon metabolism in mango (Mangifera indica L. cv. Palmer) fruit during storage. Food Chem. 2017, 237, 372–378. [Google Scholar] [CrossRef] [PubMed]
  7. Aguilar-Veloz, L.M.; Calderón-Santoyo, M.; Carvajal-Millan, E.; Martínez-Robinson, K.; Ragazzo-Sánchez, J.A. Artocarpus heterophyllus Lam. leaf extracts added to pectin-based edible coating for Alternaria sp. control in tomato. LWT 2022, 156, 113022. [Google Scholar] [CrossRef]
  8. Tesfay, S.Z.; Magwaza, L.S.; Mbili, N.; Mditshwa, A. Carboxyl methylcellulose (CMC) containing moringa plant extracts as new postharvest organic edible coating for Avocado (Persea americana Mill.) fruit. Sci. Hortic. 2017, 226, 201–207. [Google Scholar] [CrossRef]
  9. Lieu, M.D.; Dang, T.K.T. Improvement of shelf-life of mangoes by chitosan coating enriched with cinnamon oil dissolved in Tween 80 combined with ethanol. Food Biosci. 2021, 44, 101341. [Google Scholar] [CrossRef]
  10. Dhital, R.; Mora, N.B.; Watson, D.G.; Kohli, P.; Choudhary, R. Efficacy of limonene nano coatings on post-harvest shelf life of strawberries. LWT 2018, 97, 124–134. [Google Scholar] [CrossRef]
  11. Umagiliyage, A.L.; Becerra-Mora, N.; Kohli, P.; Fisher, D.J.; Choudhary, R. Antimicrobial efficacy of liposomes containing d -limonene and its effect on the storage life of blueberries. Postharvest Biol. Technol. 2017, 128, 130–137. [Google Scholar] [CrossRef]
  12. Hou, C.-Y.; Hazeena, S.H.; Hsieh, S.-L.; Li, B.-H.; Chen, M.-H.; Wang, P.-Y.; Zheng, B.-Q.; Liang, Y.-S. Effect of D-Limonene Nanoemulsion Edible Film on Banana (Musa sapientum Linn.) Post-Harvest Preservation. Molecules 2022, 27, 6157. [Google Scholar] [CrossRef] [PubMed]
  13. Bhargava, K.; Conti, D.S.; da Rocha, S.R.; Zhang, Y. Application of an oregano oil nanoemulsion to the control of foodborne bacteria on fresh lettuce. Food Microbiol. 2015, 47, 69–73. [Google Scholar] [CrossRef] [PubMed]
  14. Yang, R.; Miao, J.; Shen, Y.; Cai, N.; Wan, C.; Zou, L.; Chen, C.; Chen, J. Antifungal effect of cinnamaldehyde, eugenol and carvacrol nanoemulsion against Penicillium digitatum and application in postharvest preservation of citrus fruit. LWT 2021, 141, 110924. [Google Scholar] [CrossRef]
  15. McGuire, R.G. Reporting of Objective Color Measurements. HortScience 1992, 27, 1254–1255. [Google Scholar] [CrossRef]
  16. Nielsen, S.S. Vitamin C Determination by Indophenol Method. In Food Analysis Laboratory Manual; Springer: Berlin/Heidelberg, Germany, 2017; pp. 143–146. [Google Scholar] [CrossRef]
  17. Ren, Y.-Y.; Sun, P.-P.; Wang, X.-X.; Zhu, Z.-Y. Degradation of cell wall polysaccharides and change of related enzyme activities with fruit softening in Annona squamosa during storage. Postharvest Biol. Technol. 2020, 166, 111203. [Google Scholar] [CrossRef]
  18. Wellburn, A.R. The Spectral Determination of Chlorophylls a and b, as well as Total Carotenoids, Using Various Solvents with Spectrophotometers of Different Resolution. J. Plant Physiol. 1994, 144, 307–313. [Google Scholar] [CrossRef]
  19. Zillo, R.R.; da Silva, P.P.M.; de Oliveira, J.; da Glória, E.M.; Spoto, M.H.F. Carboxymethylcellulose coating associated with essential oil can increase papaya shelf life. Sci. Hortic. 2018, 239, 70–77. [Google Scholar] [CrossRef]
  20. Ali, A.; Muhammad, M.T.M.; Sijam, K.; Siddiqui, Y. Effect of chitosan coatings on the physicochemical characteristics of Eksotika II papaya (Carica papaya L.) fruit during cold storage. Food Chem. 2011, 124, 620–626. [Google Scholar] [CrossRef]
  21. Miranda, M.; Sun, X.; Marín, A.; dos Santos, L.C.; Plotto, A.; Bai, J.; Assis, O.B.G.; Ferreira, M.D.; Baldwin, E. Nano- and micro-sized carnauba wax emulsions-based coatings incorporated with ginger essential oil and hydroxypropyl methylcellulose on papaya: Preservation of quality and delay of post-harvest fruit decay. Food Chem. X 2022, 13, 100249. [Google Scholar] [CrossRef]
  22. Jing, G.; Li, T.; Qu, H.; Yun, Z.; Jia, Y.; Zheng, X.; Jiang, Y. Carotenoids and volatile profiles of yellow- and red-fleshed papaya fruit in relation to the expression of carotenoid cleavage dioxygenase genes. Postharvest Biol. Technol. 2015, 109, 114–119. [Google Scholar] [CrossRef]
  23. Zhang, S.; Heyes, D.J.; Feng, L.; Sun, W.; Johannissen, L.O.; Liu, H.; Levy, C.W.; Li, X.; Yang, J.; Yu, X.; et al. Structural basis for enzymatic photocatalysis in chlorophyll biosynthesis. Nature 2019, 574, 722–725. [Google Scholar] [CrossRef]
  24. Perkins-Veazie, P. Growth and Ripening of Strawberry Fruit. Hortic. Res. 2010, 17, 267–297. [Google Scholar] [CrossRef]
  25. Ghai, K.; Gupta, P.K.; Gupta, A.K. Physiochemical behaviour changes during ripening in fruits of Trewia nudiflora Linn. Perspect. Sci. 2016, 8, 596–598. [Google Scholar] [CrossRef]
  26. Braga, S.d.P.; Magnani, M.; Madruga, M.S.; Galvão, M.d.S.; de Medeiros, L.L.; Batista, A.U.D.; Dias, R.T.A.; Fernandes, L.R.; de Medeiros, E.S.; de Souza, E.L. Characterization of edible coatings formulated with chitosan and Mentha essential oils and their use to preserve papaya (Carica papaya L.). Innov. Food Sci. Emerg. Technol. 2020, 65, 102472. [Google Scholar] [CrossRef]
  27. Brummell, D.A.; Cin, V.D.; Crisosto, C.H.; Labavitch, J.M. Cell wall metabolism during maturation, ripening and senescence of peach fruit. J. Exp. Bot. 2004, 55, 2029–2039. [Google Scholar] [CrossRef] [PubMed]
  28. Brummell, D.A.; Harpster, M.H. Cell wall metabolism in fruit softening and quality and its manipulation in transgenic plants. Plant Mol. Biol. 2001, 47, 311–340. [Google Scholar] [CrossRef] [PubMed]
  29. Yıldırım-Yalçın, M.; Sadıkoğlu, H.; Şeker, M. Characterization of edible film based on grape juice and cross-linked maize starch and its effects on the storage quality of chicken breast fillets. LWT 2021, 142, 111012. [Google Scholar] [CrossRef]
  30. Sekarina, A.S.; Munawaroh, H.S.H.; Susanto, E.; Show, P.L.; Ningrum, A. Effects of edible coatings of chitosan-fish skin gelatine containing black tea extract on quality of minimally processed papaya during refrigerated storage. Carbohydr. Polym. Technol. Appl. 2023, 5, 100287. [Google Scholar] [CrossRef]
  31. Bautista-Baños, S.; Sivakumar, D.; Bello-Pérez, A.; Villanueva-Arce, R.; Hernández-López, M. A review of the management alternatives for controlling fungi on papaya fruit during the postharvest supply chain. Crop Prot. 2013, 49, 8–20. [Google Scholar] [CrossRef]
  32. Cruz-Castillo, J.G.; Guerra-Ramírez, D.; Famiani, F.; González-García, K.E.; Del Ángel-Coronel, O.A.; Vargas-Ortíz, M. Antioxidant activities in stored fruit, and in flowers of feijoa (Acca sellowiana Berg) in a tropical highland of Mexico. In Proceedings of the V International Conference on Postharvest and Quality Management of Horticultural Products of Interest for Tropical Regions, Toluca, Mexico, 6–9 October 2021; Volume 1340, pp. 107–112. [Google Scholar]
  33. Harbant, S.; Korpraditskul, V. Evaluation of Some Plant Extracts for the Control of Colletotrichum capsici (SYD.) Butler and Bisby, the Causal Agent of Chilli Anthracnose. In Azadirachta indica A. Juss.; Singh, R.P., Saxena, R.C., Eds.; Mara Institute of Technology, Perlis Campus: Arau, Perlis, Malaysia, 1999; pp. 131–138. [Google Scholar]
  34. Nasiri, M.; Barzegar, M.A.; Sahari, M.; Niakousari, M. Application of Tragacanth gum impregnated with Satureja khuzistanica essential oil as a natural coating for enhancement of postharvest quality and shelf life of button mushroom (Agaricus bisporus). Int. J. Biol. Macromol. 2018, 106, 218–226. [Google Scholar] [CrossRef]
  35. Ncama, K.; Magwaza, L.S.; Mditshwa, A.; Tesfay, S.Z. Plant-based edible coatings for managing postharvest quality of fresh horticultural produce: A review. Food Packag. Shelf Life 2018, 16, 157–167. [Google Scholar] [CrossRef]
  36. Gajanana, T.M.; Sudha, M.; Saxena, A.K.; Dakshinamoorthy, V. Post Harvest Handling, Marketing and Assessment of Losses in Papaya. Acta Hortic. 2010, 851, 519–526. [Google Scholar] [CrossRef]
  37. Dammak, I.; de Carvalho, R.A.; Trindade CS, F.; Lourenço, R.V.; do Amaral Sobral, P.J. Properties of active gel-atin films incorporated with rutin-loaded nanoemulsions. Int. J. Biol. Macromol. 2017, 98, 39–49. [Google Scholar] [CrossRef] [PubMed]
  38. Hosseini, M.H.; Razavi, S.H.; Mousavi, M.A. Antimicrobial, physical and mechanical properties of chitosan-based films incorporated with thyme, clove and cinnamon essential oils. J. Food Process. Preserv. 2009, 33, 727–743. [Google Scholar] [CrossRef]
  39. Pranoto, Y.; Salokhe, V.M.; Rakshit, S.K. Physical and antibacte riyal properties of alginate-based edible film incorporated with garlic oil. Food Res. Int. 2005, 38, 267–272. [Google Scholar] [CrossRef]
  40. Feng, W.; Zheng, X. Essential oils to control Alternaria alternata in vitro and in vivo. Food Control 2007, 18, 1126–1130. [Google Scholar] [CrossRef]
  41. Liu, W.T.; Chu, C.L.; Zhou, T. Thymol and acetic acid vapors reduce postharvest brown rot of apricots and plums. HortScience 2002, 37, 151–156. [Google Scholar] [CrossRef]
  42. Bakkali, F.; Averbeck, S.; Averbeck, D.; Idaomar, M. Biological effects of essential oils—A review. Food Chem. Toxicol. 2008, 46, 446–475. [Google Scholar] [CrossRef]
Figure 1. D–limonene nanoemulsion droplet size and morphology under transmission electron microscopy. Scale bar represents 100 nm.
Figure 1. D–limonene nanoemulsion droplet size and morphology under transmission electron microscopy. Scale bar represents 100 nm.
Horticulturae 09 00975 g001
Figure 2. Microstructure of different concentrations of D–limonene nanoemulsion when coated on “Tainung No. 2” papaya epidermis. Scale bar represents 200 um.
Figure 2. Microstructure of different concentrations of D–limonene nanoemulsion when coated on “Tainung No. 2” papaya epidermis. Scale bar represents 200 um.
Horticulturae 09 00975 g002
Figure 3. Effects of different concentrations of D-limonene nanoemulsion coating on (A) lightness, (B) chroma, and (C) hue angle of “Tainung No. 2” papaya peels during 20 °C storage. The vertical bar represents the standard errors of the mean. Values with different letters indicate significant differences (p < 0.05) among them.
Figure 3. Effects of different concentrations of D-limonene nanoemulsion coating on (A) lightness, (B) chroma, and (C) hue angle of “Tainung No. 2” papaya peels during 20 °C storage. The vertical bar represents the standard errors of the mean. Values with different letters indicate significant differences (p < 0.05) among them.
Horticulturae 09 00975 g003
Figure 4. Effects of different concentrations of D-limonene nanoemulsion coating on (A) firmness, (B) total soluble solid, (C) titratable acidity, and (D) ascorbic acid of “Tainung No. 2” papayas during 20 °C storage. Vertical bar represents the standard errors of the mean. Values with different letters indicate significant differences (p < 0.05) among them.
Figure 4. Effects of different concentrations of D-limonene nanoemulsion coating on (A) firmness, (B) total soluble solid, (C) titratable acidity, and (D) ascorbic acid of “Tainung No. 2” papayas during 20 °C storage. Vertical bar represents the standard errors of the mean. Values with different letters indicate significant differences (p < 0.05) among them.
Horticulturae 09 00975 g004
Figure 5. Effects of different concentrations of D-limonene nanoemulsion coating on weight loss rate of “Tainung No. 2” papaya during 20 °C storage. The vertical bar represents the standard errors of the mean. Values with different letters indicate significant differences (p < 0.05) among them.
Figure 5. Effects of different concentrations of D-limonene nanoemulsion coating on weight loss rate of “Tainung No. 2” papaya during 20 °C storage. The vertical bar represents the standard errors of the mean. Values with different letters indicate significant differences (p < 0.05) among them.
Horticulturae 09 00975 g005
Figure 6. Effects of different concentrations of D-limonene nanoemulsion coating on (A) ethylene production and (B) respiration rate of “Tainung No. 2” papaya during 20 °C storage.
Figure 6. Effects of different concentrations of D-limonene nanoemulsion coating on (A) ethylene production and (B) respiration rate of “Tainung No. 2” papaya during 20 °C storage.
Horticulturae 09 00975 g006
Figure 7. Effects of different concentrations of D-limonene nanoemulsion coating on (A) polygalacturonase activity and (B) pectin methylesterase activity of “Tainung No. 2” papaya during 20 °C storage. Vertical bar represents the standard errors of the mean. Values with different letters indicate significant differences (p < 0.05) among them.
Figure 7. Effects of different concentrations of D-limonene nanoemulsion coating on (A) polygalacturonase activity and (B) pectin methylesterase activity of “Tainung No. 2” papaya during 20 °C storage. Vertical bar represents the standard errors of the mean. Values with different letters indicate significant differences (p < 0.05) among them.
Horticulturae 09 00975 g007
Figure 8. Effects of different concentrations of D-limonene nanoemulsion coating on chlorophyll content of “Tainung No. 2” papaya during 20 °C storage. Vertical bar represents the standard errors of the mean. Values with different letters indicate significant differences (p < 0.05) among them.
Figure 8. Effects of different concentrations of D-limonene nanoemulsion coating on chlorophyll content of “Tainung No. 2” papaya during 20 °C storage. Vertical bar represents the standard errors of the mean. Values with different letters indicate significant differences (p < 0.05) among them.
Horticulturae 09 00975 g008
Figure 9. Effects of different concentrations of D-limonene nanoemulsion coating on total plate count of “Tainung No. 2” papaya peels during 20 °C storage. Vertical bar represents the standard errors of the mean. Values with different letters indicate significant differences (p < 0.05) among them.
Figure 9. Effects of different concentrations of D-limonene nanoemulsion coating on total plate count of “Tainung No. 2” papaya peels during 20 °C storage. Vertical bar represents the standard errors of the mean. Values with different letters indicate significant differences (p < 0.05) among them.
Horticulturae 09 00975 g009
Figure 10. Effects of different concentrations of D-limonene nanoemulsion coating on decay loss rate of “Tainung No. 2” papaya during 20 °C storage.
Figure 10. Effects of different concentrations of D-limonene nanoemulsion coating on decay loss rate of “Tainung No. 2” papaya during 20 °C storage.
Horticulturae 09 00975 g010
Figure 11. Effects of D-limonene nanoemulsion coating on the appearance of “Tainung No. 2” papayas during 20 °C storage.
Figure 11. Effects of D-limonene nanoemulsion coating on the appearance of “Tainung No. 2” papayas during 20 °C storage.
Horticulturae 09 00975 g011
Disclaimer/Publisher’s Note: The statements, opinions and data contained in all publications are solely those of the individual author(s) and contributor(s) and not of MDPI and/or the editor(s). MDPI and/or the editor(s) disclaim responsibility for any injury to people or property resulting from any ideas, methods, instructions or products referred to in the content.

Share and Cite

MDPI and ACS Style

Yu, M.-C.; Hou, C.-Y.; Hsieh, C.-W.; Tsay, J.-S.; Chung, H.-Y.; Liang, Y.-S. Effects of D-Limonene Nanoemulsion Coating on Post-Harvest Quality and Physiology of Papaya. Horticulturae 2023, 9, 975. https://doi.org/10.3390/horticulturae9090975

AMA Style

Yu M-C, Hou C-Y, Hsieh C-W, Tsay J-S, Chung H-Y, Liang Y-S. Effects of D-Limonene Nanoemulsion Coating on Post-Harvest Quality and Physiology of Papaya. Horticulturae. 2023; 9(9):975. https://doi.org/10.3390/horticulturae9090975

Chicago/Turabian Style

Yu, Meng-Chieh, Chih-Yao Hou, Chang-Wei Hsieh, Jyh-Shyan Tsay, Hsin-Ying Chung, and Yu-Shen Liang. 2023. "Effects of D-Limonene Nanoemulsion Coating on Post-Harvest Quality and Physiology of Papaya" Horticulturae 9, no. 9: 975. https://doi.org/10.3390/horticulturae9090975

APA Style

Yu, M.-C., Hou, C.-Y., Hsieh, C.-W., Tsay, J.-S., Chung, H.-Y., & Liang, Y.-S. (2023). Effects of D-Limonene Nanoemulsion Coating on Post-Harvest Quality and Physiology of Papaya. Horticulturae, 9(9), 975. https://doi.org/10.3390/horticulturae9090975

Note that from the first issue of 2016, this journal uses article numbers instead of page numbers. See further details here.

Article Metrics

Back to TopTop