Ripening Process of Tomato Fruits Postharvest: Impact of Environmental Conditions on Quality and Chlorophyll a Fluorescence Characteristics
Abstract
1. Introduction
2. Materials and Methods
2.1. Plant Materials and Storage Conditions
- STL—the day and night temperatures were set at 30 °C and 20 °C, respectively, with a light intensity of 400 μmol·m−2·s−1;
- WTL—the day and night temperatures were set at 20 °C and 15 °C, respectively, with a light intensity of 400 μmol·m−2·s−1;
- STD—the day and night temperatures were set at 30 °C and 20 °C, respectively, with a light intensity of 0 μmol·m−2·s−1;
- WTD—the day and night temperatures were set at 20 °C and 15 °C, respectively, with a light intensity of 0 μmol·m−2·s−1.
2.2. Chlorophyll a Fluorescence
2.3. Analysis of Sugars, Acids, Phytochemicals, and Antioxidant Activity
2.4. Experimental Design and Statistical Analysis
3. Results
3.1. Changes of Color and Time to Maturity of Tomato Fruits
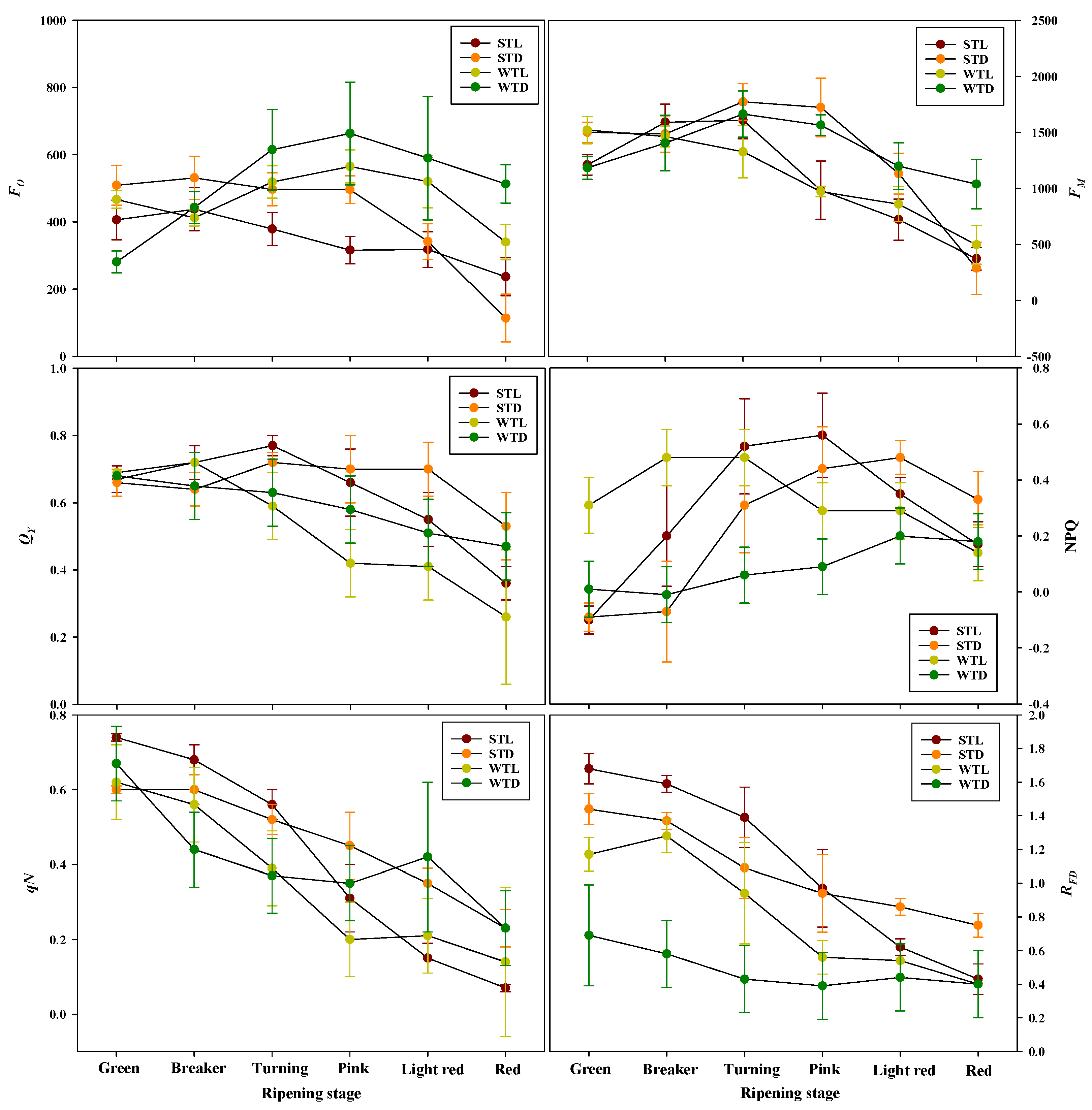
3.2. Chlorophyll a Fluorescence in Tomato Fruits
3.3. Phytochemicals and Antioxidant Activity in Tomato Fruits
4. Discussion
5. Conclusions
Author Contributions
Funding
Data Availability Statement
Acknowledgments
Conflicts of Interest
References
- Pék, Z.; Szuvandzsiev, P.; Nemenyi, A.; Helyes, L.; Lugasi, A. The effect of natural light on changes in antioxidant content and color parameters of vine-ripened tomato (Solanum lycoperisicum L.) fruits. HortScience 2011, 46, 583–585. [Google Scholar] [CrossRef]
- Park, H.; Kim, Y.-J.; Shin, Y. Estimation of daily intake of lycopene, antioxidant contents and activities from tomatoes, watermelons, and their processed products in Korea. Appl. Biol. Chem. 2020, 63, 50. [Google Scholar] [CrossRef]
- Rowles, J.L.; Ranard, K.M.; Applegate, C.C.; Jeon, S.Y.; An, R.; Erdaman, J.W. Processed and raw tomato consumption and risk of prostate cancer: A systematic review and dose-response meta-anaylsis. Prostate Cancer Prostatic Dis. 2018, 21, 319–336. [Google Scholar] [CrossRef] [PubMed]
- Salehi, B.; Sharifi-Rad, R.; Sharopov, F.; Namiesnik, J.; Roointan, A.; Kamle, M.; Kumar, P.; Martins, N.; Sharifi-Rad, J. Beneficial effects and potential risks of tomato consumption for human health: An overview. Nutrition 2019, 62, 201–208. [Google Scholar] [CrossRef] [PubMed]
- Nagarajan, J.; Kay, H.P.; Krishnamurthy, N.P.; Ramakrishnan, N.R.; Aldawoud, T.M.S.; Galanakis, C.M.; Wei, O.C. Extraction of Carotenoids from Tomato Pomace via Water-Induced Hydrocolloidal Complexation. Biomolecules 2020, 10, 1019. [Google Scholar] [CrossRef]
- Przybylska, S.; Tokarczyk, G. Lycopene in the Prevention of Cardiovascular Diseases. Int. J. Mol. Sci. 2022, 23, 1957. [Google Scholar] [CrossRef]
- Li, S.; Zhu, B.; Pirrello, J.; Xu, C.; Zhang, B.; Bouzayen, M.; Chen, K.; Grierson, D. Roles of RIN and ethylene in tomato fruit ripening and ripening-associated traits. New Phytol. 2020, 226, 460–475. [Google Scholar] [CrossRef]
- Orsi, B.; Sestari, I.; Preczenhak, A.P.; Tessmer, M.A.; Souza, M.A.D.S.; Hassimotto, N.M.A.; Kluge, R.A. Allelic variations in the tomato carotenoid pathway lead to pleiotropic effects on fruit ripening and nutritional quality. Postharvest Biol. Technol. 2021, 181, 111632. [Google Scholar] [CrossRef]
- Helyes, L.; Pék, Z.; Lugasi, A. Tomato fruit quality and gontent depend on stage of maturity. HortScience 2006, 41, 1400–1401. [Google Scholar] [CrossRef]
- Tigist, M.; Workneh, T.S.; Woldetsadik, K. Effects of variety on the quality of tomato stored under ambient conditions. J. Food Sci. Technol. 2013, 50, 477–486. [Google Scholar] [CrossRef]
- Stevens, M.A. Relationships Between Components Contributing to Quality Variation Among Tomato Lines1. J. Am. Soc. Hortic. Sci. 1972, 97, 70–73. [Google Scholar] [CrossRef]
- Tamasi, G.; Pardini, A.; Bonechi, C.; Donati, A.; Pessina, F.; Marcolongo, P.; Gamberucci, A.; Leone, G.; Consumi, M.; Magnani, A.; et al. Characterization of nutraceutical components in tomato pulp, skin and locular gel. Eur. Food Res. Technol. 2019, 245, 907–918. [Google Scholar] [CrossRef]
- Bhandari, S.; Lee, J.G. Ripening-dependent changes in antioxidnats, color attributes, and antioxidant activity of seven tomato (Solanum lycopersicum L.) cultivars. J. Anal. Methods Chem. 2016, 2016, 5498618. [Google Scholar] [CrossRef] [PubMed]
- Ciptaningtyas, D.; Benyakart, N.; Umehara, H.; Johkan, M.; Nakamura, N.; Nagata, M.; Orikasa, T.; Thammawong, M.; Shiina, T. Modeling the metachronous ripening pattern of mature green tomato as affected by cultivar and storage temperature. Sci. Rep. 2022, 12, 8241. [Google Scholar] [CrossRef]
- JJarquín-Enríquez, L.; Mercado-Silva, E.M.; Maldonado, J.L.; Lopez-Baltazar, J. Lycopene content and color index of tomatoes are affected by the greenhouse cover. Sci. Hortic. 2013, 155, 43–48. [Google Scholar] [CrossRef]
- Llorente, B.; D’Andrea, L.; Ruiz-Sola, M.A.; Botterweg, E.; Pulido, P.; Andilla, J.; Loza-Alvarez, P.; Rodriguez-Concepcion, M. Tomato fruit carotenoid biosynthesis is adjusted to actual ripening progression by a light-dependent mechanism. Plant J. 2016, 85, 107–119. [Google Scholar] [CrossRef]
- Schofield, A.; Paliyath, G. Modulation of carotenoid biosynthesis during tomato fruit ripening through phytochrome regulation of phytoene synthase activity. Plant Physiol. Biochem. 2005, 43, 1052–1060. [Google Scholar] [CrossRef]
- Gupta, S.K.; Sharma, S.; Santisree, P.; Kilambi, H.; Appenroth, K.; Sreelakshmi, Y.; Sharma, R. Complex and shifting interactions of phytochromes regulate fruit development in tomato. Plant Cell Environ. 2014, 37, 1688–1702. [Google Scholar] [CrossRef]
- Artins, A.; Caldana, C. The metabolic homeostat TOR: The balance of holding on or letting grow. Curr. Opin. Plant Biol. 2022, 66, 102196. [Google Scholar] [CrossRef]
- Lakshmanan, M.; Lim, S.-H.; Mohanty, B.; Kim, J.K.; Ha, S.-H.; Lee, D.-Y. Unraveling the light-specific metabolic and regulatory signatures of rice through combined in silico modeling and multi-omics analysis. Plant Physiol. 2015, 169, 3002–3020. [Google Scholar] [CrossRef]
- Rodrigues, M.A.; Bianchetti, R.E.; Freschi, L. Shedding light on ethylene metabolism in higher plants. Front. Plant Sci. 2014, 5, 665. [Google Scholar] [CrossRef] [PubMed]
- Kadomura-Ishikawa, Y.; Miyawaki, K.; Takahashi, A.; Masuda, T.; Noji, S. Light and abscisic acid independently regulated FaMYB10 in Fragaria × ananassa fruit. Planta 2015, 241, 953–965. [Google Scholar] [CrossRef] [PubMed]
- Gong, D.; Cao, S.; Sheng, T.; Shao, J.; Song, C.; Wo, F.; Chen, W.; Yang, Z. Effect of blue light on ethylene biosynthesis, signalling and fruit ripening in postharvest peaches. Sci. Hortic. 2015, 197, 657–664. [Google Scholar] [CrossRef]
- Nassarawa, S.S.; Abdelshafy, A.M.; Xu, Y.; Li, L.; Luo, Z. Effect of Light-Emitting Diodes (LEDs) on the Quality of Fruits and Vegetables During Postharvest Period: A Review. Food Bioprocess Technol. 2021, 14, 388–414. [Google Scholar] [CrossRef]
- Helyes, L.; Lugasi, A.; Pék, Z. Effect of natural light on surface temperature and lycopene content of vine ripened tomato fruit. Can. J. Plant Sci. 2011, 87, 927–929. [Google Scholar] [CrossRef]
- Xie, B.; Song, S.; Liu, H.; Sun, G.; Chen, R. Effects of Light Quality on The Quality Formation of Tomato Fruits. Adv. Biol. Sci. Res 2016, 3, 11–15. [Google Scholar]
- Choi, H.G. Correlation among phenotypic parameters related to the growth and photosynthesis of strawberry (Fragaria × ananassa Duch.) grown under various light intensity conditions. Front. Plant Sci. 2021, 12, 647585. [Google Scholar] [CrossRef]
- Na, Y.; Jeong, J.H.; Lee, S.Y.; Choi, H.G.; Kim, S.H.; Rho, I.R. Chloroophyll fluorescence as a diagnostic tool for abiotic stress tolerance in wild and cultivated strawberry species. Hortic. Environ. Biotechnol. 2014, 55, 280–286. [Google Scholar] [CrossRef]
- Guidi, L.; Piccolo, E.L.; Landi, M. Chlorophyll Fluorescence, Photoinhibition and Abiotic Stress: Does it Make Any Difference the Fact to Be a C3 or C4 Species? Front. Plant Sci. 2019, 10, 174. [Google Scholar] [CrossRef]
- Abdelhamid, M.A.; Sudnik, Y.A.; Alshinayyin, H.J.; Shaaban, F. Chlorophyll fluorescence for classification of tomato fruits by their maturity stage. E3S Web Conf. 2020, 193, 01065. [Google Scholar] [CrossRef]
- Kasampalis, D.S.; Tsouvaltzis, P.; Siomos, A.S. Chlorophyll fluorescence, non-photochemical quenching and light harvesting complex as alternatives to color measurement, in classifying tomato fruit according to their maturity stage at harvest and in monitoring postharvest ripening during storage. Postharvest Biol. Technol. 2020, 161, 111036. [Google Scholar] [CrossRef]
- Dong, Z.; Men, Y.; Li, Z.; Zou, Q.; Ji, J. Chlorophyll fluorescence imaging as a tool for analyzing the effects of chilling injury on tomato seedlings. Sci. Hortic. 2019, 246, 490–497. [Google Scholar] [CrossRef]
- Senesi, G.S.; De Pascale, O.; Marangoni, B.S.; Caires, A.R.L.; Nicolodelli, G.; Pantaleo, V.; Leonetti, P. Chlorophyll Fluorescence Imaging (CFI) and Laser-Induced Breakdown Spectroscopy (LIBS) Applied to Investigate Tomato Plants Infected by the Root Knot Nematode (RKN) Meloidogyne incognita and Tobacco Plants Infected by Cymbidium Ringspot Virus. Photonics 2022, 9, 627. [Google Scholar] [CrossRef]
- USDA. United States Standards for Grades of Fresh Tomatoes; USAD, Agricultural Marketing Service: Washington, DC, USA, 1991; pp. 1–13. Available online: https://www.ams.usda.gov/sites/default/files/media/Tomato_Standard%5B1%5D.pdf (accessed on 12 July 2023).
- Choi, H.G.; Moon, B.Y.; Kang, H.J. Effect of LED light on the production of strawberry during cultivation in a plastic greenhouse and in a growth chamber. Sci. Hortic. 2015, 189, 22–31. [Google Scholar] [CrossRef]
- Kim, H.-K.; Chun, J.-H.; Kim, S.-J. Method Development and Analysis of Carotenoid Compositions in Various Tomatoes. Korean J. Environ. Agric. 2015, 34, 196–203. [Google Scholar] [CrossRef]
- Gil Choi, H.; Kwon, J.K.; Moon, B.Y.; Kang, N.J.; Park, K.S.; Cho, M.W.; Kim, Y.C. Effect of Different Light Emitting Diode (LED) Lights on the Growth Characteristics and the Phytochemical Production of Strawberry Fruits during Cultivation. Korean J. Hortic. Sci. Technol. 2013, 31, 56–64. [Google Scholar] [CrossRef]
- Lee, S.G.; Kim, S.K.; Lee, H.J.; Lee, H.S.; Lee, J.H. Impact of moderate and extreme climate change scenarios on growth, morphological features, photosynthesis, and fruit production of hot pepper. Ecol. Evol. 2018, 8, 197–206. [Google Scholar] [CrossRef]
- Dhall, P.K. Ethylene in post-harvest quality management of horticultural crops: A review. Res. Rev. A J. Crop Sci. Technol. 2013, 2, 9–24. [Google Scholar]
- Lee, S.K.; Kader, A.A. Preharvest and postharvest factors influencing vitamin C content of horticultural crops. Postharvest Biol. Technol. 2000, 20, 207–220. [Google Scholar] [CrossRef]
- Dorais, M.; Ehret, D.L.; Papadopoulos, A.P. Tomato (Solanum lycopersicum) health components: From the seed to the consumer. Phytochem. Rev. 2008, 7, 231–250. [Google Scholar] [CrossRef]
- Nájera, C.; Guil-Guerrero, J.L.; Enríquez, L.J.; Álvaro, J.E.; Urrestarazu, M. LED-enhanced dietary and organoleptic qualities in postharvest tomato fruit. Postharvest Biol. Technol. 2018, 145, 151–156. [Google Scholar] [CrossRef]
- Colquhoun, T.A.; Schwieterman, M.L.; Gilbert, J.L.; Jaworski, E.A.; Langer, K.M.; Jones, C.R.; Rushing, G.V.; Hunter, T.M.; Olmstead, J.; Clark, D.G.; et al. Light modulation of volatile organic compounds from petunia flowers and select fruits. Postharvest Biol. Technol. 2013, 86, 37–44. [Google Scholar] [CrossRef]
- Gautier, H.; Diakou-Verdin, V.; Bénard, C.; Reich, M.; Buret, M.; Bourgaud, F.; Poëssel, J.L.; Caris-Veyrat, C.; Génard, M. How Does Tomato Quality (Sugar, Acid, and Nutritional Quality) Vary with Ripening Stage, Temperature, and Irradiance? J. Agric. Food Chem. 2008, 56, 1241–1250. [Google Scholar] [CrossRef] [PubMed]
- Piechulla, B.; Glick, R.E.; Bahl, H.; Melis, A.; Gruissem, W. Changes in Photosynthetic Capacity and Photosynthetic Protein Pattern during Tomato Fruit Ripening. Plant Physiol. 1987, 84, 911–917. [Google Scholar] [CrossRef] [PubMed]
- Carrara, S.; Pardossi, A.; Soldatini, G.; Tognoni, F.; Guidi, L. Photosynthetic Activity of Ripening Tomato Fruit. Photosynthetica 2001, 39, 75–78. [Google Scholar] [CrossRef]
- Abdelhamid, M.A.; Sudnik, Y.; Alshinayyin, H.J.; Shaaban, F. Non-destructive method for monitoring tomato ripening based on chlorophyll fluorescence induction. J. Agric. Eng. 2020, 52, 1098. [Google Scholar]
- Hoffmann, A.M.; Noga, G.; Hunsche, M. Fluorescence indices for monitoring the ripening of tomatoes in pre- and postharvest phases. Sci. Hortic. 2015, 191, 74–81. [Google Scholar] [CrossRef]
- Fatchurrahman, D.; Amodio, M.L.; Chiara, M.L.V.D.; Chaudhry, M.M.A.; Colelli, G. Early discrimination of mature and immature green tomatoes (Solanum lycopersicum L.) using fluorescen imaging method. Postharvest Biol. Technol. 2020, 169, 111287. [Google Scholar] [CrossRef]
- Dorais, M. Effect of cultural management on tomato fruit health qualities. Acta Hortic. 2007, 774, 279–294. [Google Scholar] [CrossRef]
- Gil Choi, H.; Moon, B.Y.; Kang, N.J.; Kwon, J.K.; Bekhzod, K.; Park, K.S.; Lee, S.Y. Yield loss and quality degradation of strawberry fruits cultivated under the deficient insolation conditions by shading. Hortic. Environ. Biotechnol. 2014, 55, 263–270. [Google Scholar] [CrossRef]
- Massot, C.; Bancel, D.; Lauri, F.L.; Truffault, V.; Baldet, P.; Stevens, R.; Gautier, H. High temperatue inhibits ascorbate recycling and light stimulation of the ascorbate pool in tomato despite increased expression of biosynthesis genes. PLoS ONE 2013, 8, e84474. [Google Scholar] [CrossRef] [PubMed]






| Treatment | Fructose | Glucose | Sucrose |
|---|---|---|---|
| mg·g−1 FW | |||
| STL | 24.49 ± 1.31 a z | 21.36 ± 1.11 ab | 1.19 ± 0.26 a |
| STD | 20.59 ± 1.12 b | 19.25 ± 1.45 bc | 0.97 ± 0.29 a |
| WTL | 26.71 ± 1.34 a | 22.78 ± 1.34 a | 1.25 ± 0.11 a |
| WTD | 19.87 ± 1.23 b | 17.89 ± 1.36 c | 0.98 ± 0.08 a |
| Effect (p value) * | |||
| Temperature | 0.4212 | 0.9217 | 0.8417 |
| Light | 0.0003 | 0.0054 | 0.1283 |
| Interaction | 0.1371 | 0.1566 | 0.8765 |
Disclaimer/Publisher’s Note: The statements, opinions and data contained in all publications are solely those of the individual author(s) and contributor(s) and not of MDPI and/or the editor(s). MDPI and/or the editor(s) disclaim responsibility for any injury to people or property resulting from any ideas, methods, instructions or products referred to in the content. |
© 2023 by the authors. Licensee MDPI, Basel, Switzerland. This article is an open access article distributed under the terms and conditions of the Creative Commons Attribution (CC BY) license (https://creativecommons.org/licenses/by/4.0/).
Share and Cite
Choi, H.-G.; Park, K.-S. Ripening Process of Tomato Fruits Postharvest: Impact of Environmental Conditions on Quality and Chlorophyll a Fluorescence Characteristics. Horticulturae 2023, 9, 812. https://doi.org/10.3390/horticulturae9070812
Choi H-G, Park K-S. Ripening Process of Tomato Fruits Postharvest: Impact of Environmental Conditions on Quality and Chlorophyll a Fluorescence Characteristics. Horticulturae. 2023; 9(7):812. https://doi.org/10.3390/horticulturae9070812
Chicago/Turabian StyleChoi, Hyo-Gil, and Kyoung-Sub Park. 2023. "Ripening Process of Tomato Fruits Postharvest: Impact of Environmental Conditions on Quality and Chlorophyll a Fluorescence Characteristics" Horticulturae 9, no. 7: 812. https://doi.org/10.3390/horticulturae9070812
APA StyleChoi, H.-G., & Park, K.-S. (2023). Ripening Process of Tomato Fruits Postharvest: Impact of Environmental Conditions on Quality and Chlorophyll a Fluorescence Characteristics. Horticulturae, 9(7), 812. https://doi.org/10.3390/horticulturae9070812

