Improving Production Yield and Nutritional Quality of Coastal Glehnia Using Developed Hydroponic Nutrient Solution in Controlled Environment Agriculture
Abstract
1. Introduction
2. Materials and Methods
2.1. Plant Materials and Growing Conditions
2.2. Development of Nutrient Solution (Study 1)
2.3. EC Determination of the Newly Developed Nutrient Solution (Study 2)
2.4. Growth Characteristics
2.5. Total Phenolic Content and Antioxidant Capacity
2.6. Individual Bioactive Compounds
2.7. Statistical Analysis
3. Results
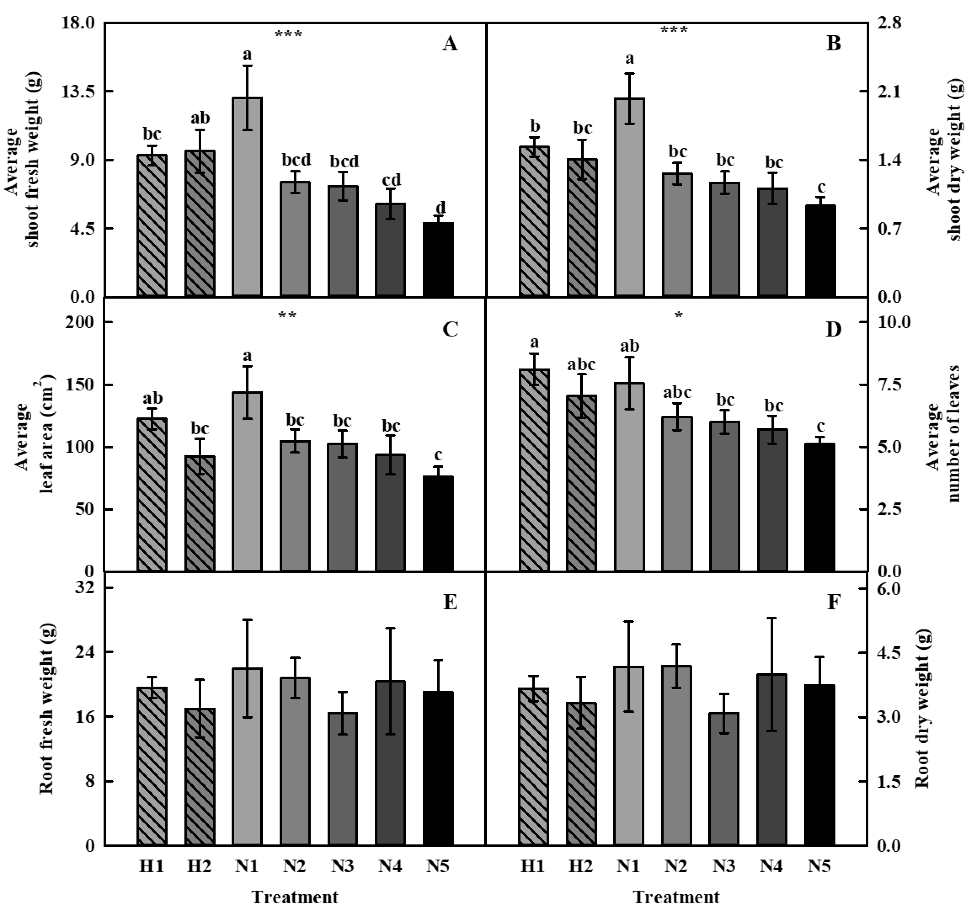
3.1. Growth Characteristics in Hoagland Nutrient Solution
3.2. Mineral Elements Content in Hoagland Nutrient Solution
3.3. Growth Characteristics in Newly Developed Nutrient Solution
3.4. Total Phenolic Content and Antioxidant Capacity in Newly Developed Nutrient Solution
3.5. Individual Bioactive Compounds in Newly Developed Nutrient Solution
3.6. pH Changes in Newly Developed Nutrient Solution
4. Discussion
4.1. Development of the Nutrient Solution for Coastal Glehnia
4.2. Growth and Bioactive Compounds in Newly Developed Nutrient Solution
5. Conclusions
Supplementary Materials
Author Contributions
Funding
Data Availability Statement
Conflicts of Interest
References
- Kim, E.K. Halophytes of Korea, 1st ed.; Econature: Seoul, Republic of Korea, 2013; pp. 188–190. [Google Scholar]
- Mishra, A.; Tanna, B. Halophytes: Potential resources for salt stress tolerance genes and promoters. Front. Plant Sci. 2017, 8, 829. [Google Scholar] [CrossRef] [PubMed]
- Um, Y.R. Isolation and Structure Determination of Bioactive Constituents from the Salt Marsh Plant Glehnia littoralis. Master’s Thesis, Korea Maritime and Ocean University, Busan, Republic of Korea, 2008. [Google Scholar]
- Kong, C.S.; Um, Y.R.; Lee, J.I.; Kim, Y.A.; Yea, S.S.; Seo, Y. Constituents isolated from Glehnia littoralis suppress proliferations of human cancer cells and MMP expression in HT1080 cells. Food Chem. 2010, 120, 385–394. [Google Scholar] [CrossRef]
- Ishikawa, T.; Sega, Y.; Kitajima, J. Water-soluble constituents of Glehnia littoralis fruit. Chem. Pharm. Bull. 2001, 49, 584–588. [Google Scholar] [CrossRef]
- Hiraoka, N.; Chang, J.I.; Bohm, L.R.; Bohm, B.A. Furanocoumarin and polyacetylenic compound composition of wild Glehnia littoralis in North America. Biochem. Syst. Ecol. 2002, 30, 321–325. [Google Scholar] [CrossRef]
- Um, Y.R.; Lee, J.I.; Lee, J.L.; Kim, H.J.; Yea, S.S.; Seo, Y.W. Chemical constituents of the halophyte Glehnia littoralis. J. Korean Chem. Soc. 2010, 54, 701–706. [Google Scholar] [CrossRef]
- Kim, C.J.; Ji, H.J.; Choi, S.K.; Yu, C.Y.; Lee, J.G. Antioxidant activity and non-targeted metabolic profiling of solvent fractions of Glehnia littoralis Shoots. Korean J. Med. Crop Sci. 2022, 30, 124–133. [Google Scholar] [CrossRef]
- Gu, Y.R.; Kim, S.W.; Son, Y.W.; Hong, J.H. Antioxidant activities of solvent extracts from different Glehnia Radix parts and their inhibitory effect against nitric oxide production in Raw 264.7 cell. Korean J. Food Preserv. 2017, 24, 116–124. [Google Scholar] [CrossRef]
- Kozai, T. 2018 Smart Plant Factory: The Next Generation Indoor Vertical Farms, 1st ed.; Springer: Berlin/Heidelberg, Germany, 2018. [Google Scholar]
- Kozai, T.; Niu, G.; Takagaki, M. Plant Factory: An Indoor Vertical Farming System for Efficient Quality Food Production, 1st ed.; Academic Press: Cambridge, MA, USA, 2019. [Google Scholar]
- Choi, K.Y.; Yang, E.Y.; Park, D.K.; Kim, Y.C.; Seo, T.C.; Yun, H.K.; Seo, H.D. Development of nutrient solution for hydroponics of Cruciferae leaf vegetables based on nutrient-water absorption rate and the cation ratio. J. Bio-Environ. Control 2005, 14, 289–297. [Google Scholar]
- Nguyen, T.K.L.; Yeom, M.S.; Oh, M.M. Effect of a newly-developed nutrient solution and electrical conductivity on growth and bioactive compounds in Perilla frutescens var. crispa. Agronomy 2021, 11, 932. [Google Scholar] [CrossRef]
- Yeom, M.S.; Nguyen, T.K.L.; Cho, J.S.; Oh, M.M. Improving germination rate of coastal glehnia by cold stratification and pericarp removal. Agronomy 2021, 11, 944. [Google Scholar] [CrossRef]
- Havlin, J.L.; Soltanpour, P.N. A nitric acid plant tissue digest method for use with inductively coupled plasma spectrometry. Commun. Soil Sci. Plant Anal. 1980, 11, 969–980. [Google Scholar] [CrossRef]
- Steiner, A.A. The selective capacity of plants for ions and its importance for the composition and treatment of the nutrient solution. Acta Hortic. 1980, 98, 87–98. [Google Scholar] [CrossRef]
- Ainsworth, E.A.; Gillespie, K.M. Estimation of total phenolic content and other oxidation substrates in plant tissues using Folin–Ciocalteu reagent. Nat. Protoc. 2007, 2, 875–877. [Google Scholar] [CrossRef]
- Son, K.H.; Oh, M.M. Leaf shape, growth, and antioxidant phenolic compounds of two lettuce cultivars grown under various combinations of blue and red light-emitting diodes. HortScience 2013, 48, 988–995. [Google Scholar] [CrossRef]
- Miller, N.J.; Rice-Evans, C.A. Spectrophotometric determination of antioxidant activity. Redox Rep. 1996, 2, 161–171. [Google Scholar] [CrossRef]
- Park, S.Y.; Oh, S.B.; Kim, S.M.; Cho, Y.Y.; Oh, M.M. Evaluating the effects of a newly developed nutrient solution on growth, antioxidants, and chicoric acid contents in Crepidiastrum denticulatum. Hortic. Environ. Biotechnol. 2016, 57, 478–486. [Google Scholar] [CrossRef]
- Ågren, G.I.; Wetterstedt, J.Å.M.; Billberger, M.F.K. Nutrient limitation on terrestrial plant growth–modeling the interaction between nitrogen and phosphorus. New Phytol. 2012, 194, 953–960. [Google Scholar] [CrossRef] [PubMed]
- Ko, S.M.; Lee, J.H.; Oh, M.M. Development of nutrient solution for in vitro propagation of ‘M9′ apple rootstock plantlets. Hortic. Sci. Technol. 2018, 36, 202–214. [Google Scholar] [CrossRef]
- Pal, P.K.; Mahajan, M.; Prasad, R.; Pathania, V.; Singh, B.; Ahuja, P.S. Harvesting regimes to optimize yield and quality in annual and perennial Stevia rebaudiana under sub-temperate conditions. Ind. Crops Prod. 2015, 65, 556–564. [Google Scholar] [CrossRef]
- Duarte, B.; Sleimi, N.; Caçador, I. Biophysical and biochemical constraints imposed by salt stress: Learning from halophytes. Front. Plant Sci. 2014, 5, 746. [Google Scholar] [CrossRef]
- Wu, M.; Kubota, C. Effects of high electrical conductivity of nutrient solution and its application timing on lycopene, chlorophyll and sugar concentrations of hydroponic tomatoes during ripening. Sci. Hortic. 2008, 116, 122–129. [Google Scholar] [CrossRef]
- Bugbee, B. Determining the potential productivity of food crops in controlled environments. Adv. Space Res. 1992, 12, 85–95. [Google Scholar] [CrossRef] [PubMed]
- Sun, X.; Chen, F.; Yuan, L.; Mi, G. The physiological mechanism underlying root elongation in response to nitrogen deficiency in crop plants. Planta 2020, 251, 84. [Google Scholar] [CrossRef]
- Moon, W.; Yu, D.J. Physiology of Cultivated Plants; Know Press: Seoul, Republic of Korea, 2015. [Google Scholar]
- Aye, M.M.; Aung, H.T.; Sein, M.M.; Armijos, C. A review on the phytochemistry, medicinal properties and pharmacological activities of 15 selected Myanmar medicinal plants. Molecules 2019, 24, 293. [Google Scholar] [CrossRef] [PubMed]
- Jarrell, W.M.; Beverly, R.B. The dilution effect in plant nutrition studies. Adv. Agron. 1981, 34, 197–224. [Google Scholar] [CrossRef]
- Xu, Z.; Chen, Q.; Zhang, Y.; Liang, C. Coumarin-based derivatives with potential anti-HIV activity. Fitoterapia 2021, 150, 104863. [Google Scholar] [CrossRef]
- Kim, Y.J.; Nguyen, T.K.L.; Oh, M.M. Growth and ginsenosides content of ginseng sprouts according to LED-based light quality changes. Agronomy 2020, 10, 12. [Google Scholar] [CrossRef]
- Lee, J.Y.; Hiyama, M.; Hikosaka, S.; Goto, E. Effects of concentration and temperature of nutrient solution on growth and camptothecin accumulation of Ophiorrhiza pumila. Plants 2020, 9, 793. [Google Scholar] [CrossRef]
- Yamazaki, K. Management of pH in nutrient solution in hydroponics. Agric. Hortic. 1982, 57, 327–331. [Google Scholar]
- Alexopoulos, A.A.; Marandos, E.; Assimakopoulou, A.; Vidalis, N.; Petropoulos, S.A.; Karapanos, I.C. Effect of nutrient solution pH on the growth, yield and quality of Taraxacum officinale and Reichardia picroides in a floating hydroponic system. Agronomy 2021, 11, 1118. [Google Scholar] [CrossRef]
- Alam, S.M.; Naqvi, S.S.M.; Ansari, R. Impact of soil pH on nutrient uptake by crop plants. In Handbook of Plant and Crop Stress, 4th ed.; Pessarakli, M., Ed.; Marcel Dekker Inc.: New York, NY, USA, 1999; pp. 51–60. [Google Scholar]
- Lee, H.J.; Yang, E.Y.; Park, K.S.; Lee, Y.B.; Bae, J.H.; Jeon, K.S. Effect of EC and pH of nutrient solution on the growth and quality of single-stemmed rose in cutted rose production factory. J. Bio-Environ. Control 2004, 13, 258–265. [Google Scholar]
- Long, A.; Zhang, J.; Yang, L.T.; Ye, X.; Lai, N.W.; Tan, L.L.; Lin, D.; Chen, L.S. Effects of low pH on photosynthesis, related physiological parameters, and nutrient profiles of citrus. Front. Plant Sci. 2017, 8, 185. [Google Scholar] [CrossRef] [PubMed]
- Putra, P.A.; Yuliando, H. Soilless culture system to support water use efficiency and product quality: A review. Agric. Agricul. Sci. Procedia 2015, 3, 283–288. [Google Scholar] [CrossRef]
- Rouphael, Y.; Petropoulos, S.A.; Cardarelli, M.; Colla, G. Salinity as eustressor for enhancing quality of vegetables. Sci. Hortic. 2018, 234, 361–369. [Google Scholar] [CrossRef]
- Bugbee, B. Nutrient management in recirculating hydroponic culture. In Proceedings of the South Pacific Soilless Culture Conference-SPSCC, Palmerston North, New Zealand, 10–13 February 2004; Volume 648, pp. 99–112. [Google Scholar] [CrossRef]








| Shoot Fresh Weight | Shoot Dry Weight | Leaf Area | Number of Leaves | |
|---|---|---|---|---|
| Number of harvests (A) | *** z | *** | *** | *** |
| EC levels (B) | *** | *** | *** | *** |
| A × B | NS | NS | NS | NS |
| Treatment | EC (dS·m−1) | N | P | K | Ca | Mg | S |
|---|---|---|---|---|---|---|---|
| mg·L−1 | |||||||
| H | 1.0 | 105 | 16 | 117 | 80 | 24 | 32 |
| N | 114 | 14 | 195 | 63 | 18 | 24 |
| Shoot Fresh Weight | Shoot Dry Weight | Leaf Area | Number of Leaves | |
|---|---|---|---|---|
| Number of harvests (A) | NS | NS | NS | NS |
| Nutrient solution (B) | NS | * z | * | NS |
| A × B | NS | NS | NS | NS |
| TP per Gram | TP per Shoot | AOS per Gram | AOS per Shoot | |
|---|---|---|---|---|
| Number of harvests (A) | *** z | * y | *** | * |
| EC levels (B) | NS | NS | NS | NS |
| A × B | NS | NS | NS | NS |
Disclaimer/Publisher’s Note: The statements, opinions and data contained in all publications are solely those of the individual author(s) and contributor(s) and not of MDPI and/or the editor(s). MDPI and/or the editor(s) disclaim responsibility for any injury to people or property resulting from any ideas, methods, instructions or products referred to in the content. |
© 2023 by the authors. Licensee MDPI, Basel, Switzerland. This article is an open access article distributed under the terms and conditions of the Creative Commons Attribution (CC BY) license (https://creativecommons.org/licenses/by/4.0/).
Share and Cite
Yeom, M.-S.; Oh, M.-M. Improving Production Yield and Nutritional Quality of Coastal Glehnia Using Developed Hydroponic Nutrient Solution in Controlled Environment Agriculture. Horticulturae 2023, 9, 776. https://doi.org/10.3390/horticulturae9070776
Yeom M-S, Oh M-M. Improving Production Yield and Nutritional Quality of Coastal Glehnia Using Developed Hydroponic Nutrient Solution in Controlled Environment Agriculture. Horticulturae. 2023; 9(7):776. https://doi.org/10.3390/horticulturae9070776
Chicago/Turabian StyleYeom, Moon-Sun, and Myung-Min Oh. 2023. "Improving Production Yield and Nutritional Quality of Coastal Glehnia Using Developed Hydroponic Nutrient Solution in Controlled Environment Agriculture" Horticulturae 9, no. 7: 776. https://doi.org/10.3390/horticulturae9070776
APA StyleYeom, M.-S., & Oh, M.-M. (2023). Improving Production Yield and Nutritional Quality of Coastal Glehnia Using Developed Hydroponic Nutrient Solution in Controlled Environment Agriculture. Horticulturae, 9(7), 776. https://doi.org/10.3390/horticulturae9070776
