Biodegradable Food Packaging of Wild Rocket (Diplotaxis tenuifolia L. [DC.]) and Sea Fennel (Crithmum maritimum L.) Grown in a Cascade Cropping System for Short Food Supply Chain
Abstract
1. Introduction
2. Materials and Methods
2.1. Plant Material and Growing Conditions for Main Crop (Wild Rocket)
2.2. Plant Material and Growing Conditions for Secondary Crop (Sea Fennel)
2.3. Processing, Packaging and Storage
2.4. Physicochemical Analyses
2.4.1. Head-Space Composition
2.4.2. Weight Loss
2.4.3. Microbial Quality
2.4.4. Colour
2.4.5. Sensory Evaluation
2.4.6. Nitrate Content
2.4.7. Vitamin C
2.4.8. Total Phenolics and Total Flavonoids Content
2.4.9. Total Antioxidant Capacity
2.5. Experimental Design and Statistical Analyses
3. Results and Discussion
3.1. Head-Space Composition
3.2. Weight Loss
3.3. Microbial Quality
3.4. Colour
3.5. Sensory Evaluation
3.6. Nitrate Content
3.7. Vitamin C
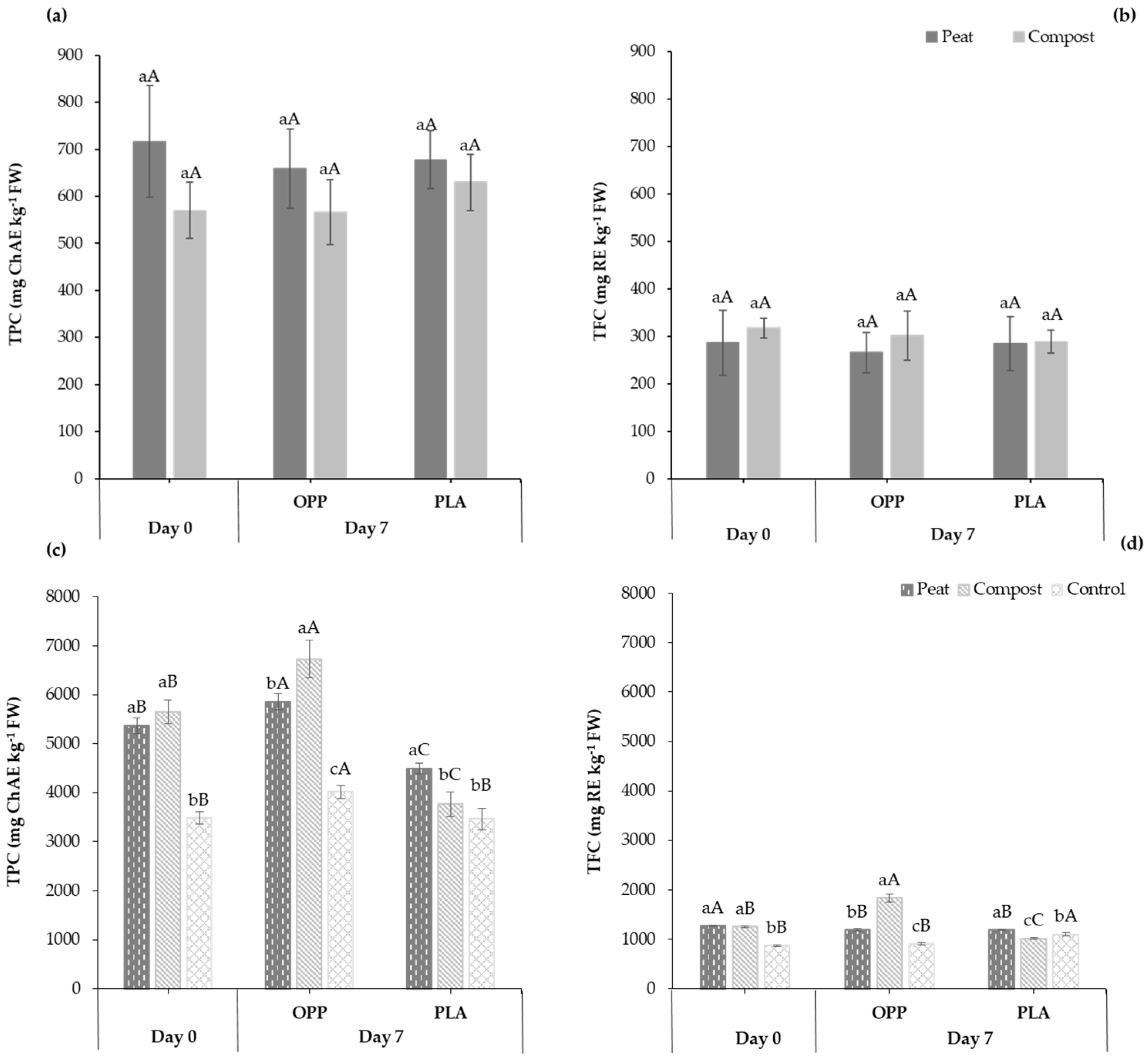
3.8. Total Phenolics Content and Total Flavonoids Content
3.9. Total Antioxidant Capacity
4. Conclusions
Author Contributions
Funding
Data Availability Statement
Acknowledgments
Conflicts of Interest
References
- Orsini, F.; Pennisi, G.; Zulfiqar, F.; Gianquinto, G. Sustainable use of resources in plant factories with artificial lighting (PFALs). Eur. J. Hortic. Sci. 2020, 85, 297–309. [Google Scholar] [CrossRef]
- Mohareb, E.; Heller, M.; Novak, P.; Goldstein, B.; Fonoll, X.; Raskin, L. Considerations for reducing food system energy demand while scaling up urban agriculture. Environ. Res. Lett. 2017, 12, 125004. [Google Scholar] [CrossRef]
- Parkes, M.G.; Azevedo, D.L.; Domingos, T.; Teixeira, R.F.M. Narratives and Benefits of Agricultural Technology in Urban Buildings: A Review. Atmosphere 2022, 13, 1250. [Google Scholar] [CrossRef]
- Floriš, N.; Schwarcz, P.; Schwarczová, L.; Munk, M. Short food supply chains and small farms—Evidence from Slovakia. Sustainability 2022, 14, 2728. [Google Scholar] [CrossRef]
- Buehler, D.; Junge, R. Global Trends and Current Status of Commercial Urban Rooftop Farming. Sustainability 2016, 8, 1108. [Google Scholar] [CrossRef]
- Santos, M.G.; Moreira, G.S.; Pereira, R.; Carvalho, S.M. Assessing the potential use of drainage from open soilless production systems: A case study from an agronomic and ecotoxicological perspective. Agric. Water Manag. 2022, 273, 107906. [Google Scholar] [CrossRef]
- Rufí-Salís, M.; Petit-Boix, A.; Villalba, G.; Sanjuan-Delmás, D.; Parada, F.; Ercilla-Monserrat, M.; Arcas-Pliz, V.; Muñoz-Liesa, J.; Rieradevall, J.; Gabarrell, X. Recirculating water and nutrient in urban agriculture: An opportunity towards environmental sustainability and water use efficiency? J. Clean. Prod. 2020, 261, 121213. [Google Scholar] [CrossRef]
- Kneafsey, M.; Venn, L.; Schmutz, U.; Balázs, B.; Trenchard, L.; Eyden-Wood, T.; Bos, E.; Sutton, G.; Blackett, M. Short Food Supply Chains and Local Food Systems in the EU. A State of Play of Their Socio—Economic Characteristics; EUR 25911; Publications Office of the European Union: Luxembourg, 2013; pp. 123–129, JRC80420. [Google Scholar] [CrossRef]
- De Corato, U. Agricultural waste recycling in horticultural intensive farming systems by on-farm composting and compost-based tea application improves soil quality and plant health: A review under the perspective of a circular economy. Sci. Total Environ. 2020, 738, 139840. [Google Scholar] [CrossRef]
- Hernández-Lara, A.; Ros, M.; Pérez-Murcia, M.D.; Pascual, J.A. The influence of feedstocks and additives in 23 added-value composts as a growing media component on Pythium irregulare suppressivity. Waste Manag. 2021, 120, 351–363. [Google Scholar] [CrossRef]
- Spadafora, N.; Amaro, A.; Pereira, M.; Müller, C.; Pintado, M.; Rogers, H. Multi-trait analysis of post-harvest storage in rocket salad (Diplotaxis tenuifolia) links sensorial, volatile and nutritional data. Food Chem. 2016, 211, 114–123. [Google Scholar] [CrossRef]
- Bell, L.; Wagstaff, C. Rocket science: A review of phytochemical and health-related research in Eruca & Diplotaxis species. Food Chem. 2019, 1, 100002. [Google Scholar] [CrossRef]
- Alemán, A.; Marín-Peñalver, D.; Fernández de Palencia, P.; Gómez-Guillén, M.C.; Montero, P. Anti-Inflammatory Properties, Bioaccessibility and Intestinal Absorption of Sea Fennel (Crithmum maritimum) Extract Encapsulated in Soy Phosphatidylcholine Liposomes. Nutrients 2022, 14, 210. [Google Scholar] [CrossRef] [PubMed]
- Renna, M.; Gonnella, M.; Caretto, S.; Mita, G.; Serio, F. Sea fennel (Crithmum maritimum L.): From underutilized crop to new dried product for food use. Genet. Resour. Crop Evol. 2017, 64, 205–216. [Google Scholar] [CrossRef]
- Labiad, M.H.; Giménez, A.; Varol, H.; Tüzel, Y.; Egea-Gilabert, C.; Fernández, J.A.; Martínez-Ballesta, M.D.C. Effect of exogenously applied methyl jasmonate on yield and quality of salt-stressed hydroponically grown sea fennel (Crithmum maritimum L.). Agronomy 2021, 11, 1083. [Google Scholar] [CrossRef]
- Renna, M.; Gonnella, M. The use of the sea fennel as a new spice-colorant in culinary preparations. Int. J. Gastron. Food Sci. 2012, 1, 111–115. [Google Scholar] [CrossRef]
- Battini, D.; Calzavara, M.; Persona, A.; Sgarbossa, F. Sustainable packaging development for fresh food supply chains. Packag. Technol. Sci. 2016, 29, 25–43. [Google Scholar] [CrossRef]
- Sari, N.H.; Suteja, S.; Sapuan, S.M.; Ilyas, R.A. Properties and food packaging application of poly-(lactic) acid. In Bio-Based Packaging: Material, Environmental and Economic Aspects, 1st ed.; Sapuan, S.M., Ilyas, R.A., Eds.; John Wiley & Sons Ltd.: Hoboken, NJ, USA, 2021. [Google Scholar] [CrossRef]
- Diañez, I.; Martínez, I.; Gómez, P.A. Effect of plasticiser on the morphology, mechanical properties and permeability of albumen-based nanobiocomposites. Food Packag. Shelf Life 2020, 24, 100499. [Google Scholar] [CrossRef]
- Jabeen, N.; Majid, I.; Nayik, G.A. Bioplastics and food packaging: A review. Cogent Food Agric. 2015, 1, 1117749. [Google Scholar] [CrossRef]
- Karan, H.; Funk, C.; Grabert, M.; Oey, M.; Hankamer, B. Green bioplastics as part of a circular bioeconomy. Trends Plant Sci. 2019, 24, 237–249. [Google Scholar] [CrossRef]
- Zhao, X.; Cornish, K.; Vodovotz, Y. Narrowing the gap for bioplastic use in food packaging: An update. Environ. Sci. Technol. 2020, 54, 4712–4732. [Google Scholar] [CrossRef]
- Singh, S.; Chunglok, W.; Nwabor, O.F.; Chulrik, W.; Jansakun, C.; Bhoopong, P. Porous biodegradable sodium alginate composite fortified with Hibiscus sabdariffa L. calyx extract for the multifarious biological applications and extension of climacteric fruit shelf-life. J. Polym. Environ. 2020, 31, 922–938. [Google Scholar] [CrossRef]
- Helland, H.; Leufvén, A.; Bengtsson, G.; Pettersen, M.K.; Lea, P.; Wold, A. Storage of fresh-cut swede and turnip: Effect of temperature, including sub-zero temperature, and packaging material on sensory attributes, sugars and glucosinolates. Postharvest Biol. Technol. 2016, 111, 370–379. [Google Scholar] [CrossRef]
- Signore, A.; Amoruso, F.; Gallegos-Cedillo, V.M.; Gómez, P.A.; Ochoa, J.; Egea-Gilabert, C.; Costa-Pérez, A.; Domínguez-Perles, R.; Moreno, D.A.; Pascual, J.A.; et al. Agro-Industrial Compost in Soilless Cultivation Modulates the Vitamin C Content and Phytochemical Markers of Plant Stress in Rocket Salad (Diplotaxis tenuifolia (L.) DC.). Agronomy 2023, 13, 544. [Google Scholar] [CrossRef]
- Amoruso, F.; Signore, A.; Gómez, P.A.; Martínez-Ballesta, M.C.; Giménez, A.; Franco, J.A.; Fernández, J.A.; Egea-Gilabert, C. Effect of saline-nutrient solution on yield, quality, and shelf-life of sea fennel (Crithmum maritimum L.) plants. Horticulturae 2022, 8, 127. [Google Scholar] [CrossRef]
- Zapata, S.; Dufour, J.P. Ascorbic, dehydroascorbic and isoascorbic and simultaneous determinations by reverse phase ion interaction HPLC. J. Food Sci. 1992, 57, 506–511. [Google Scholar] [CrossRef]
- Martínez-Zamora, L.; Castillejo, N.; Artés-Hernández, F. Postharvest UV-B and photoperiod with blue + red LEDs as strategies to stimulate carotenogenesis in bell peppers. Appl. Sci. 2021, 11, 3736. [Google Scholar] [CrossRef]
- Castillejo, N.; Martínez-Zamora, L.; Gómez, P.A.; Pennisi, G.; Crepaldi, A.; Fernández, J.A.; Orsini, F.; Artés–Hernández, F. Postharvest LED Lighting: Effect of red, blue, and far red on quality of minimally processed broccoli sprouts. J. Sci. Food Agric. 2021, 101, 44–53. [Google Scholar] [CrossRef]
- Løkke, M.; Seefeldt, H.; Skov, T.; Edelenbos, M. Freshness and sensory quality of packaged wild rocket. Postharvest Biol. Technol. 2012, 73, 99–106. [Google Scholar] [CrossRef]
- Martínez-Sánchez, A.; Marín, A.; Llorach, R.; Ferreres, F.; Gil, M.I. Controlled atmosphere preserves quality and phytonutrients in wild rocket (Diplotaxis tenuifolia). Postharvest Biol. Technol. 2006, 40, 26–33. [Google Scholar] [CrossRef]
- Holcroft, D. Water Relations in Harvested Fresh Produce. PEF White Paper No. 15-01. The Postharvest Education Foundation (PEF). 2015. Available online: http://www.postharvest.org/Water%20relations%20PEF%20white%20paper%20FINAL%20MAY%202015.pdf (accessed on 24 February 2023).
- González-Buesa, J.; Page, N.; Kaminski, C.; Ryser, E.T.; Beaudry, R.; Almenar, E. Effect of non-conventional atmospheres and bio-based packaging on the quality and safety of Listeria monocytogenes-inoculated fresh-cut celery (Apium graveolens L.) during storage. Postharvest Biol. Technol. 2014, 93, 29–37. [Google Scholar] [CrossRef]
- Proikakis, C.S.; Mamouzelos, N.J.; Tarantili, P.A.; Andreopoulos, A.G. Swelling and hydrolytic degradation of poly (D, L–lactic acid) in aqueous solutions. Polym. Degrad. Stab. 2006, 91, 614–619. [Google Scholar] [CrossRef]
- Mangin, R.; Vahabi, H.; Sonnier, R.; ChivasJoly, C.; López-Cuesta, J.M.; Cochez, M. Improving the resistance to hydrothermal ageing of flame-retarded PLA by incorporating miscible PMMA. Polym. Degrad. Stab. 2018, 155, 52–66. [Google Scholar] [CrossRef]
- Scarfato, P.; Di Maio, L.; Incarnato, L. Recent advances and migration issues in biodegradable polymers from renewable sources for food packaging. J. Appl. Polym. Sci. 2015, 132, 48–55. [Google Scholar] [CrossRef]
- Gutiérrez, D.; Rodríguez, S. Combined Effect of UV-C and Ozone on Bioactive Compounds and Microbiological Quality of Fresh-Cut Rocket Leaves. Am. J. Food Sci. Technol. 2019, 7, 71–78. [Google Scholar] [CrossRef]
- Giménez, A.; Gómez, P.A.; Bustamante, M.Á.; Pérez-Murcia, M.D.; Martínez-Sabater, E.; Ros, M.; Pascual, J.A.; Egea-Gilabert, C.; Fernández, J.A. Effect of Compost Extract Addition to Different Types of Fertilizers on Quality at Harvest and Shelf Life of Spinach. Agronomy 2021, 11, 632. [Google Scholar] [CrossRef]
- Løkke, M.; Seefeldt, H.; Skov, T.; Edelenbos, M. Color and textural quality of packaged wild rocket measured by multispectral imaging. Postharvest Biol. Technol. 2013, 75, 86–95. [Google Scholar] [CrossRef]
- Mastrandrea, L.; Amodio, M.L.; de Chiara, M.V.; Pati, S.; Colelli, G. Effect of temperature abuse and improper atmosphere packaging on volatile profile and quality of rocket leaves. Food Packag. Shelf Life 2017, 14 Pt A, 59–65. [Google Scholar] [CrossRef]
- Martínez-Sánchez, A.; Luna, M.; Selma, M.V.; Tudela, J.A.; Abad, J.; Gil, M.I. Baby-leaf and multi-leaf of green and red lettuces are suitable raw materials for the fresh-cut industry. Postharvest Biol Technol. 2012, 63, 1–10. [Google Scholar] [CrossRef]
- Saltveit, M.E. A summary of CA requirements and recommendations for vegetables. Acta Hortic. 2003, 600, 723–727. [Google Scholar] [CrossRef]
- Guijarro-Real, C.; Prohens, J.; Rodríguez-Burruezo, A.; Fita, A. Consumers acceptance and volatile profile of wall rocket (Diplotaxis erucoides). Food Res. Int. 2020, 132, 109008. [Google Scholar] [CrossRef]
- Cavaiuolo, M.; Ferrante, A. Nitrates and glucosinolates as strong determinants of the nutritional quality in rocket leafy salads. Nutrients 2014, 6, 1519–1538. [Google Scholar] [CrossRef] [PubMed]
- Santamaria, P. Nitrate in vegetables: Toxicity, content, intake and EC regulation. J. Food Agri. 2006, 86, 10–17. [Google Scholar] [CrossRef]
- Santamaria, P.; Elia, A.; Serio, F. Effect of solution nitrogen concentration on yield, leaf element content, and water and nitrogen use efficiency of three hydroponically-grown rocket salad genotypes. J. Plant Nutr. 2002, 25, 245–258. [Google Scholar] [CrossRef]
- European Commission. Commission Regulation (EU) N1258/2011 of 2 December 2011 Amending Regulation (EC) N1881/2006 as Regards Maximum Levels for Nitrates in Foodstuffs; European Commission: Brussels, Belgium, 2011. [Google Scholar]
- Santamaria, P.; Elia, A.; Papa, G.; Serio, F. Nitrate and ammonium nutrition in chicory and rocket salad plants. J. Plant Nutr. 1998, 21, 1779–1789. [Google Scholar] [CrossRef]
- Signore, A.; Bell, L.; Santamaria, P.; Wagstaff, C.; Van Labeke, M.C. Red light is effective in reducing nitrate concentration in rocket by increasing nitrate reductase activity, and contributes to increased total glucosinolates content. Front. Plant Sci. 2020, 11, 604. [Google Scholar] [CrossRef]
- Selma, M.V.; Martínez-Sánchez, A.; Allende, A.; Ros, M.; Hernández, M.T.; Gil, M.I. Impact of Organic Soil Amendments on Phytochemicals and Microbial Quality of Rocket Leaves (Eruca sativa). J. Agric. Food Chem. 2010, 58, 8331–8337. [Google Scholar] [CrossRef]
- Martínez-Sánchez, A.; Gil-Izquierdo, A.; Gil, M.I.; Ferreres, F. A comparative study of flavonoid compounds, vitamin C, and antioxidant properties of baby leaf Brassicaceae species. J. Agric. Food Chem. 2008, 56, 2330–2340. [Google Scholar] [CrossRef] [PubMed]
- Duyar, H.; Kiliç, C.C. A research on production of rocket and parsley in floating system. J. Agric. Sci. 2016, 8, 54–60. [Google Scholar] [CrossRef]
- Conesa, E.; Niñirola, D.; Vicente, M.J.; Ochoa, J.; Bañón, S.; Fernández, J.A. The influence of nitrate/ammonium ratio on yield quality and nitrate, oxalate and vitamin c content of baby leaf spinach and bladder campion plants grown in a floating system. Acta Hortic. 2009, 843, 269–274. [Google Scholar] [CrossRef]
- Bonasia, A.; Conversa, G.; Lazzizera, C.; Elia, A. Post-harvest performance of ready-to-eat wild rocket salad as affected by growing period, soilless cultivation system and genotype. Postharvest Biol. Technol. 2019, 156, 110909. [Google Scholar] [CrossRef]
- Renna, M. Reviewing the prospects of sea fennel (Crithmum maritimum L.) as emerging vegetable crop. Plants 2018, 7, 92. [Google Scholar] [CrossRef] [PubMed]
- Gutiérrez, D.; Chaves, A.; Rodríguez, S. UV-C and ozone treatment influences on the antioxidant capacity and antioxidant system of minimally processed rocket (Eruca sativa Mill.). Postharvest Biol. Technol. 2018, 138, 107–113. [Google Scholar] [CrossRef]
- Podsedek, A. Natural antioxidants and antioxidant capacity of Brassica vegetables: A review. LWT Food Sci. Technol. 2007, 40, 111. [Google Scholar] [CrossRef]







| O2 (kPa) at Day 7 (*) | CO2 (kPa) at Day 7 (*) | |||
|---|---|---|---|---|
| OPP | PLA | OPP | PLA | |
| Wild rocket | ||||
| Peat | 14.7 ± 0.8 bA | 11.5 ± 2.2 aB | 6.2 ± 0.8 aB | 9.4 ± 2.2 aA | 
| Compost | 16.8 ± 0.9 aA | 13.0 ± 1.4 aB | 4.1 ± 0.9 bB | 7.9 ± 1.4 aA | 
| Sea fennel | ||||
| Peat leach | 19.6 ± 0.3 aA | 16.9 ± 1.1 aB | 1.5 ± 0.3 abB | 3.8 ± 1.0 aA | 
| Compost leach | 19.8 ± 0.3 aA | 15.1 ± 0.4 aB | 1.2 ± 0.2 bB | 5.4 ± 0.6 aA | 
| Control | 19.1 ± 0.2 aA | 16.1 ± 0.9 aB | 1.9 ± 0.1 aB | 4.6 ± 0.6 aA | 
| L* | Hue | |||||
|---|---|---|---|---|---|---|
| Day 0 | Day 7 | Day 0 | Day 7 | |||
| OPP | PLA | OPP | PLA | |||
| Wild rocket | ||||||
| Peat | 45.3 ± 4.6 aA | 48.3 ± 5.1 aA | 47.2 ± 4.3 aA | 122.7 ± 1.3 aA | 122.3 ± 1.6 aA | 122.3 ± 2.0 bA | 
| Compost | 44.7 ± 2.1 aB | 48.2 ± 3.7 aA | 47.7 ± 4.9aA | 122.4 ± 0.8 aAB | 121.9 ± 1.7 aB | 123.3 ± 1.7 aA | 
| Sea fennel | ||||||
| Peat leach | 42.7 ± 4.2 aB | 46.9 ± 3.1 aA | 46.9 ± 3.2 aA | 115.0 ± 4.4 bA | 115.8 ± 4.1 cA | 115.5 ± 4.5 bA | 
| Compost leach | 38.1 ± 4.1 bB | 44.2 ± 4.9 aA | 42.9 ± 3.5 bA | 118.3 ± 9.1 abA | 119.3 ± 2.1 bA | 123.1 ± 3.1 aA | 
| Control | 33.4 ± 4.4 cB | 39.2 ± 1.9 bA | 39.9 ± 4.6 dA | 122.8 ± 2.5 aA | 123.5 ± 4.3 aA | 125.4 ± 3.5 aA | 
| Disclaimer/Publisher’s Note: The statements, opinions and data contained in all publications are solely those of the individual author(s) and contributor(s) and not of MDPI and/or the editor(s). MDPI and/or the editor(s) disclaim responsibility for any injury to people or property resulting from any ideas, methods, instructions or products referred to in the content. | 
© 2023 by the authors. Licensee MDPI, Basel, Switzerland. This article is an open access article distributed under the terms and conditions of the Creative Commons Attribution (CC BY) license (https://creativecommons.org/licenses/by/4.0/).
Share and Cite
Gómez, P.A.; Egea-Gilabert, C.; Giménez, A.; Benaissa, R.R.; Amoruso, F.; Signore, A.; Gallegos-Cedillo, V.M.; Ochoa, J.; Fernández, J.A. Biodegradable Food Packaging of Wild Rocket (Diplotaxis tenuifolia L. [DC.]) and Sea Fennel (Crithmum maritimum L.) Grown in a Cascade Cropping System for Short Food Supply Chain. Horticulturae 2023, 9, 621. https://doi.org/10.3390/horticulturae9060621
Gómez PA, Egea-Gilabert C, Giménez A, Benaissa RR, Amoruso F, Signore A, Gallegos-Cedillo VM, Ochoa J, Fernández JA. Biodegradable Food Packaging of Wild Rocket (Diplotaxis tenuifolia L. [DC.]) and Sea Fennel (Crithmum maritimum L.) Grown in a Cascade Cropping System for Short Food Supply Chain. Horticulturae. 2023; 9(6):621. https://doi.org/10.3390/horticulturae9060621
Chicago/Turabian StyleGómez, Perla A., Catalina Egea-Gilabert, Almudena Giménez, Rachida Rania Benaissa, Fabio Amoruso, Angelo Signore, Victor M. Gallegos-Cedillo, Jesús Ochoa, and Juan A. Fernández. 2023. "Biodegradable Food Packaging of Wild Rocket (Diplotaxis tenuifolia L. [DC.]) and Sea Fennel (Crithmum maritimum L.) Grown in a Cascade Cropping System for Short Food Supply Chain" Horticulturae 9, no. 6: 621. https://doi.org/10.3390/horticulturae9060621
APA StyleGómez, P. A., Egea-Gilabert, C., Giménez, A., Benaissa, R. R., Amoruso, F., Signore, A., Gallegos-Cedillo, V. M., Ochoa, J., & Fernández, J. A. (2023). Biodegradable Food Packaging of Wild Rocket (Diplotaxis tenuifolia L. [DC.]) and Sea Fennel (Crithmum maritimum L.) Grown in a Cascade Cropping System for Short Food Supply Chain. Horticulturae, 9(6), 621. https://doi.org/10.3390/horticulturae9060621
 
        





 
       