Effects of Different Growth Hormones on Rooting and Endogenous Hormone Content of Two Morus alba L. Cuttings
Abstract
1. Introduction
2. Materials and Methods
2.1. Study Site and Materials
2.2. Study Methods
2.2.1. Study of Cuttings
2.2.2. Observation and Statistical Analysis of Rooting Morphology
2.2.3. Determination of Endogenous Hormone Content
3. Results
3.1. Observation of Rooting Progress of Vegetable Mulberry and Fruit Mulberry
3.2. Effects of Different Treatments on Rooting of Vegetable Mulberry Hardwood Cuttings
3.3. Effects of Different Treatments on Rooting of Fruit Mulberry Hardwood Cuttings
3.4. Changes in Endogenous Hormone Content and Ratio during the Rooting Process of Vegetable Mulberry Cuttings
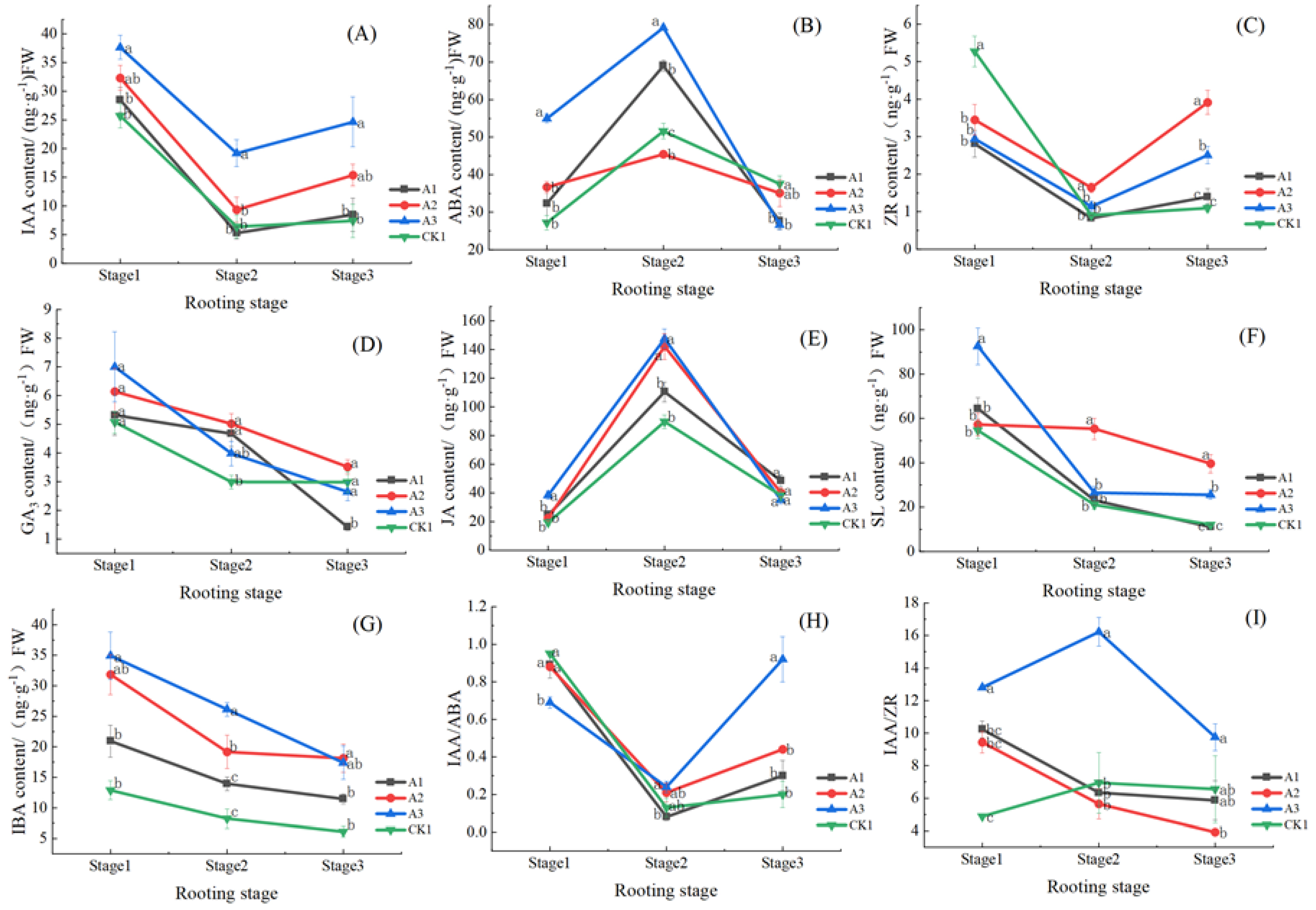
3.4.1. Changes in Endogenous IAA Content
3.4.2. Changes in Endogenous ABA Content
3.4.3. Changes in Endogenous ZR
3.4.4. Changes in Endogenous GA3
3.4.5. Changes in Endogenous JA
3.4.6. Changes in Endogenous SL
3.4.7. Changes in Endogenous IBA
3.4.8. Changes in IAA/ABA Ratio
3.4.9. Changes in IAA/ZR Ratio
3.5. Changes in Endogenous Hormone Content and Ratio during the Rooting Process of Fruit Mulberry Cuttings
3.5.1. Changes in Endogenous IAA
3.5.2. Changes in Endogenous ABA
3.5.3. Changes in Endogenous ZR
3.5.4. Changes in Endogenous GA3
3.5.5. Changes in Endogenous JA
3.5.6. Changes in Endogenous SL
3.5.7. Changes in Endogenous IBA
3.5.8. Changes in IAA/ABA Ratio
3.5.9. Changes in IAA/ZR Ratio
4. Discussion
5. Conclusions
Author Contributions
Funding
Data Availability Statement
Conflicts of Interest
References
- Medina, M.G.; García, D.E.; Moratinos, P.; Cova, L.J. Mulberry (Morus spp.) as fodder resource: Research advances and considerations. Trop. Zool. 2009, 27, 343–362. [Google Scholar]
- Nie, Y.X.; Zhang, Y.B.; Wang, Z.H.; Dong, Y.R. Main points of seedling cultivation and planting methods of mulberry. Hubei Agric. Sci. 2019, 58, 298–300. [Google Scholar] [CrossRef]
- Ma, Y. Research on the Current Situation and Development Countermeasures of Large Scale Sericulture Base Construction in China. Master’s Thesis, Jiangsu University of Science and Technology, Zhenjiang, Chian, 2021. [Google Scholar]
- Qadri, S.F.I.; Sheikh, N.D.; Malik, M.A.; Baqual, M.F.; Mir, M.R.; Sabahat, A.; Ahamad, F. Performance of mulberry saplings in foot hills of kashmir, propagated through cuttings under polyhouse conditions. Int. J. Agric. Stat. Sci. 2011, 7, 125–130. [Google Scholar]
- Yang, X.P.; Yu, H.; Wang, G. Studies on micro-cuttage propagation with hardwood cuttings of Zanthoxylum bungeanum. J. Northwest For. Univ. 2021, 36, 145–149. [Google Scholar] [CrossRef]
- Balestri, E.; Vallerini, F.; Castelli, A.; Lardicci, C. Application of plant growth regulators, a simple technique for improving the establishment success of plant cuttings in coastal dune restoration. Estuar. Coast. Shelf Sci. 2012, 99, 74–84. [Google Scholar] [CrossRef]
- Garay-Arroyo, A.; Sanchez, M.D.; Garcia-Ponce, B.; Azpeitia, E.; Alvarez-Buylla, E.R. Hormone symphony during root growth and development. Dev. Dynam. 2012, 241, 1867–1885. [Google Scholar] [CrossRef] [PubMed]
- Saini, S.; Sharma, I.; Kaur, N.; Pati, P.K. Auxin: A master regulator in plant root development. Plant Cell Rep. 2013, 32, 741–757. [Google Scholar] [CrossRef] [PubMed]
- Zhang, W.X.; Fan, J.J.; Tan, Q.Q.; Zhao, M.M.; Cao, F.L. Mechanisms underlying the regulation of root formation in Malus hupehensis stem cuttings by using exogenous hormones. J. Plant Growth Regul. 2017, 36, 174–185. [Google Scholar] [CrossRef]
- Zhao, Y.Q.; Chen, Y.J.; Jiang, C.; Lu, M.Z.; Zhang, J. Exogenous hormones supplementation improve adventitious root formation in woody plants. Front. Bioeng. Biotechnol. 2022, 10, 1009531. [Google Scholar] [CrossRef]
- Mao, J.P.; Zhang, D.; Zhang, X.; Li, K.; Liu, Z.; Meng, Y.; Lei, C.; Han, M.Y. Effect of exogenous indole-3-butanoic acid (iba) application on the morphology, hormone status, and gene expression of developing lateral roots in malus hupehensis. Sci. Hortic. 2018, 232, 112–120. [Google Scholar] [CrossRef]
- Li, S.M.; Zheng, X.H.; Duan, H.C.; Dong, Q. Effects of ABT-1 treatment on rooting capacity and physiological and biochemical characteristic of crateva unilocalaris cuttings. Acta Agric. Univ. Jiangxiensis 2021, 43, 116–125. [Google Scholar] [CrossRef]
- Zhou, B.; Ren, Y.P.; Mi, Y.F. Effect of iba and abt on endogenous hormones in rooted cuttings of common camptotheca fruit (camptotheca acuminata decne). Fujian J. Agric. Sci. 2017, 32, 387–393. [Google Scholar] [CrossRef]
- Yang, W.X.; Zhuang, J.Q.; Ding, S.Y.; Zhang, M.; Tian, Y.; Wan, S.Y.; Fang, S.Z. Study on cutting cultivation technology and rooting mechanism of Cyclocarya paliurus. Ecol. Chem. Eng. S 2022, 29, 379–389. [Google Scholar] [CrossRef]
- Ouyang, F.Q.; Wang, J.H.; Li, Y. Effects of cutting size and exogenous hormone treatment on rooting of shoot cuttings in norway spruce [Picea abies (L.) karst.]. New For. 2015, 46, 91–105. [Google Scholar] [CrossRef]
- Haissig, B.E. Influence of Indole-3-acetic acid on adventitious root primordia of brittle willow. Planta 1970, 95, 27–35. [Google Scholar] [CrossRef]
- Gao, J.; Liu, X.; Yuan, Y. Water cultured propagation of polygonum multiflorum and dynamic changes of physiological and biochemical characteristics during adventitious roots formation. Chin. J. Chin. Mater. Med. 2011, 36, 375–378. [Google Scholar]
- Han, J.H.; Shao, W.H.; Liu, J.F.; Diao, S.F. Content changes of endogenous hormone and polyphenols during hardwood cuttage progress in Sapindus mukorossi. Non-Wood For. Res. 2019, 37, 37–43+51. [Google Scholar] [CrossRef]
- Oyang, F.Q.; Fu, G.Z.; Wang, J.H.; Mang, J.W.; An, S.P.; Wang, M.Q.; Li, Y. Qualitative analysis of endogenesis hormone and polyphenol during rooting of cuttings in norway spruce (Picea abies). Sci. Silv. Sin. 2015, 51, 155–162. [Google Scholar]
- Zhang, J.C.; Liu, Y.J.; Wang, F.L.; Ma, J.M.; Wei, L.Y.; Jiang, S.X. Physiological and biochemical characteristics of Tamarix taklamakanensis cuttings during rooting stages. Acta Bot. 2018, 38, 484–492. [Google Scholar] [CrossRef]
- Chen, H.L.; Bi, S.W.; Ni, R.Y.; Lei, Y.Z.; Quan, J.E. Effects of different auxin and mass concentration on mulberry cutting rooting. J. Henan Agric. Univ. 2022, 56, 958–967. [Google Scholar] [CrossRef]
- Wang, Y.J. Cutting Propagation Techniques and Rooting Mechanism of Sophora japomica L. Master’s Thesis, Beijing Forestry University, Beijing, China, 2017. [Google Scholar]
- Niu, Q.; Zong, Y.; Qian, M.; Yang, F.; Teng, Y. Simultaneous quantitative determination of major plant hormones in pear flowers and fruit by uplc/esi-ms/ms. Anal. Methods 2014, 6, 1766–1773. [Google Scholar] [CrossRef]
- Li, C.C.; Quan, W.X.; Chen, X.J. Dynamics of endogenous hormones, anatomical structure during the cutting propagation of wild rhododendron sacbrifolium franch. Pak. J. Bot. 2017, 49, 2295–2299. [Google Scholar]
- Hou, J.T.; Shen, C.C.; Zhang, Y.F.; Ling, N. Review on rooting mechanism of plant cuttings propagation. J. Anhui Agric. Sci. 2019, 47, 1–3, 6. [Google Scholar] [CrossRef]
- Mishra, J.P.; Bhadrawale, D.; Rana, P.K.; Mishra, Y. Evaluation of cutting diameter and hormones for clonal propagation of Bambusa balcooa roxb. J. For. Res. 2019, 24, 320–324. [Google Scholar] [CrossRef]
- Jiang, K.; Feldman, L.J. Root meristem establishment and maintenance: The role of auxin. J. Plant Growth Regul. 2002, 21, 432–440. [Google Scholar] [CrossRef]
- Fukaki, H.; Okushima, Y.; Tasaka, M. Auxin-mediated lateral root formation in higher plants. In International Review of Cytology—A Survey of Cell Biology; K. W. Jeon: Nara, Japan, 2007; Volume 256, pp. 111–137. [Google Scholar]
- Fang, T.; Motte, H.; Parizot, B.; Beeckman, T. Root branching is not induced by auxins in selaginella moellendorffii. Front. Plant. Sci. 2019, 10, 154. [Google Scholar] [CrossRef]
- Ruan, R.G. Effect of plant growth regulators on cutting rooting of Acacia mangium. J. Green Sci. Tech. 2022, 24, 86–89. [Google Scholar] [CrossRef]
- Jiang, X.; Hu, R.C.; Cai, J.B.; He, J.; Wang, Y.; Han, C.Y.; Wu, F.F.; Nie, G. Effects of different auxin on cuttage seedling of Trifolium repens. J. Grass. Forage. Sci. 2021, 5, 11–18. [Google Scholar] [CrossRef]
- Raju, N.L.; Prasad, M.N.V. Influence of growth hormones on adventitious root formation in semi-hardwood cuttings of celasturs paniculatus willd.: A contribution for rapid multiplication and conservation management. Agrofor. Syst. 2010, 79, 249–252. [Google Scholar] [CrossRef]
- Stefancic, M.; Stampar, F.; Osterc, G. Influence of iaa and iba on root development and quality of prunus ‘gisela 5’ leafy cuttings. Hortscience 2005, 40, 2052–2055. [Google Scholar] [CrossRef]
- Singh, K.K.; Choudhary, T.; Kumar, A. Effect of various concentrations of iba and naa on the rooting of stem cuttings of mulberry (Morus alba L.) under mist house condition in garhwal hill region. Indian J. Hill Farm. 2015, 27, 74–77. [Google Scholar]
- Hu, Y.J.; Omary, M.; Hu, Y.; Doron, O.; Hoermayer, L.; Chen, Q.G.; Megides, O.; Chekli, O.; Ding, Z.J.; Friml, J.; et al. Cell kinetics of auxin transport and activity in arabidopsis root growth and skewing. Nat. Commun. 2021, 12, 1657. [Google Scholar] [CrossRef] [PubMed]
- Die, H.U.; Xinru, H.E.; Yongzheng, M.A.; Fei, Y. Effects of abt on the morphogenesis and inclusions of Taxus chinensis (pilger) rehd f. Baokangsis cutting rooting. Not. Bot. Horti Agrobot. 2021, 49, 12200. [Google Scholar] [CrossRef]
- Shuting, W.; Guodong, S.; Ying, L.; Wenjun, Q.; Kai, F.; Zhaotang, D.; Jianhui, H. Role of iaa and primary metabolites in two rounds of adventitious root formation in softwood cuttings of Camellia sinensis (L.). Agronomy 2022, 12, 2486. [Google Scholar] [CrossRef]
- Xie, A.D.; Jin, D.X.; Hou, W.T.; Jiang, Z.Y.; Song, C.; Wu, H.Y.; Ke, Y.F.; Ren, A. Effects of plant growth regulator abt on rooting of climbing rose cuttings and the correlations and principal components analysis. J. Anhui Agric. Sci. 2022, 50, 123–126. [Google Scholar] [CrossRef]
- Hu, H.; Chai, N.; Zhu, H.X.; Li, R.; Huang, R.W.; Wang, X.; Liu, D.F.; Li, M.Y.; Song, X.R.; Sui, S.Z. Factors affecting vegetative propagation of wintersweet (Chimonanthus praecox) by softwood cuttings. Hortscience 2020, 55, 1853–1860. [Google Scholar] [CrossRef]
- Sun, J.; Xia, J.; Zhao, X.; Su, L.; Liu, P. Effects of 1-aminobenzotriazole on the growth and physiological characteristics of tamarix chinensis cuttings under salt stress. J. For. Res. 2020, 32, 1641–1651. [Google Scholar] [CrossRef]
- Li, S.; Huang, P.; Ding, G.; Zhou, L.; Tang, P.; Sun, M.; Zheng, Y.; Lin, S. Optimization of hormone combinations for root growth and bud germination in chinese fir (Cunninghamia lanceolata) clone leaf cuttings. Sci. Rep. 2017, 7, 5046. [Google Scholar] [CrossRef]
- Xie, T.T.; Ji, J.; Chen, W.; Yue, J.Y.; Du, C.J.; Sun, J.C.; Chen, L.Z.; Jiang, Z.P.; Shi, S.Q. Gaba negatively regulates adventitious root development in poplar. J. Exp. Bot. 2019, 71, 1459–1474. [Google Scholar] [CrossRef]
- Deng, S.C.; Tian, Y.P.; Chen, L.B.; Chen, C.L.; Xu, P.Z.; Pang, D.D.; Bao, Y.X.; Li, Y.Y. Effects of abt rooting powders on endogenous hormone levels and cuttings rooting of big-leaf tea plants. Acta Agric. Jiangxi 2021, 33, 43–48. [Google Scholar] [CrossRef]
- Shang, W.Q.; Wang, Z.; He, S.L.; He, D.; Dong, N.L.; Guo, Y. Changes of endogenous iaa and related enzyme activities during rooting of Paeonia suffruticosa in vitro. J. Northwest AF Univ. (Nat. Sci. Ed.) 2021, 49, 129–136. [Google Scholar] [CrossRef]
- Zhang, D. Study on the Interaction of Two Indoles Plant Growth Regulators with Protein and DNA. Master’s Thesis, Nanchang University, Nanchang, China, 2022. [Google Scholar]
- Heide, O.M. Stimulation of adventitious bud formation in begonia leaves by abscisic acid. Nature 1968, 219, 960–961. [Google Scholar] [CrossRef]
- Liu, G.B.; Zhao, J.Z.; Liao, T.; Wang, Y.; Guo, L.Q.; Yao, Y.W.; Cao, J. Histological dissection of cutting-inducible adventitious rooting in platycladus orientalis reveals developmental endogenous hormonal homeostasis. Ind. Crop. Prod. 2021, 170, 113817. [Google Scholar] [CrossRef]
- Uwe, D.; Philipp, F.; Hajirezaei, M.R. Plant hormone homeostasis, signaling, and function during adventitious root formation in cuttings. Front. Plant Sci. 2016, 7, 381. [Google Scholar] [CrossRef]
- Liu, M.G.; Wang, L.; Dong, S.J.; Cai, X.D. Endogenous hormone variation in cuttings of thuja occidentalis l. In the period of adventitious root formation. J. Shenyang Agric. Univ. 2010, 41, 555–559. [Google Scholar] [CrossRef]
- Mu, H.Z.; Jin, X.H.; Ma, X.Y.; Zhao, A.Q.; Gao, Y.T.; Lin, L. Ortet age effect, anatomy and physiology of adventitious rooting in Tilia mandshurica softwood cuttings. Forests 2022, 13, 1427. [Google Scholar] [CrossRef]
- Shao, F.; Wang, S.; Huang, W.; Liu, Z. Effects of iba on the rooting of branch cuttings of chinese jujube (zizyphus jujuba mill.) and changes to nutrients and endogenous hormones. J. For. Res. 2018, 29, 1557–1567. [Google Scholar] [CrossRef]
- Yan, S.P.; Yang, R.H.; Wang, F.; Sun, L.N.; Song, X.S. Effect of auxins and associated metabolic changes on cuttings of hybrid aspen. Forests 2017, 8, 117. [Google Scholar] [CrossRef]
- Lv, G.X.; Meng, Y.D.; Qing, J.; He, F.; Liu, P.F.; Du, Q.X.; Du, H.Y.; Du, L.Y.; Wang, L. Changes of anatomical structure and physiology during softwood cutting rooting of Eucommia ulmoides ‘huazhong no. 6’. Sci. Silv. Sin. 2022, 58, 113–124. [Google Scholar]
- Koyama, R.; Ribeiro Junior, W.A.; Zeffa, D.M.; Faria, R.T.; Saito, H.M.; Azeredo Goncalves, L.S.; Roberto, S.R. Association of indolebutyric acid with azospirillum brasilense in the rooting of herbaceous blueberry cuttings. Horticulturae 2019, 5, 68. [Google Scholar] [CrossRef]
- Kapulnik, Y.; Delaux, P.M.; Resnick, N.; Koltai, H. Strigolactones affect lateral root formation and root-hair elongation in Arabidopsis. Planta 2010, 233, 209–216. [Google Scholar] [CrossRef]
- Ruyter-Spira, C.; Kohlen, W.; Charnikhova, T.; Zeijl, A.V.; Bezouwen, L.V.; Ruijter, N.D.; Cardoso, C.; Lopez-Raez, J.A.; Matusova, R.; Bours, R. Physiological effects of the synthetic strigolactone analog gr24 on root system architecture in arabidopsis: Another belowground role for strigolactones? J. Plant Physiol. 2011, 155, 721–743. [Google Scholar] [CrossRef] [PubMed]
- Brewer, P.B.; Koltai, H.; Beveridge, C.A. Diverse roles of strigolactones in plant development. Mol. Biol. 2013, 6, 18–28. [Google Scholar] [CrossRef]
- Huang, T.; Zhang, H.H.; Sheng, Q.Q.; Zhu, Z.L. Morphological, anatomical, physiological and biochemical changes during adventitious roots formation of Bougainvillea buttiana ‘miss manila’. Horticulturae 2022, 8, 1156. [Google Scholar] [CrossRef]
- Quan, J.E.; Ni, R.Y.; Wang, Y.G.; Sun, J.J.; Ma, M.Y.; Bi, H.T. Effects of different growth regulators on the rooting of catalpa bignonioides softwood cuttings. Life 2022, 12, 1231. [Google Scholar] [CrossRef] [PubMed]
- Liu, L.; Jiang, P.; Huang, Y.; Ynag, Y.; Gou, J.; Zhao, D.; Wang, T.; Dai, W.; Qi, D.M.; Hu, J.Y. Preliminary study on twig cuttage and its rooting mechanism of Rosa damascene miller. Seed 2020, 39, 92–100. [Google Scholar] [CrossRef]




| Type of Growth Hormones | Name | Molecular Formula | Molecular Structure Formula |
|---|---|---|---|
| IAA | Indole-3-acetic acid | C10H9NO2 | ![]() (Solaibao Technology Co., Ltd., Beijing, China) |
| IBA | Indole-3-butyric acid | C12H13NO2 | ![]() (Solaibao Technology Co., Ltd., Beijing, China) |
| ABT-1 | Indene-naphthaleneacetic acid | N.A. | N.A. |
| Treatment | Type of Growth Hormones | Quality Concentration of Growth Hormones/(mg·L−1) |
|---|---|---|
| CK1 | N.A. | N.A. |
| A1 | ABT-1 | 200 |
| A2 | 500 | |
| A3 | 1000 | |
| A4 | 1500 | |
| A5 | IAA | 200 |
| A6 | 500 | |
| A7 | 1000 | |
| A8 | 1500 | |
| A9 | IBA | 200 |
| A10 | 500 | |
| A11 | 1000 | |
| A12 | 1500 |
| Treatment | Type of Growth Hormones | Quality Concentration of Growth Hormones/(mg·L−1) |
|---|---|---|
| CK2 | N.A. | N.A. |
| B1 | ABT-1 | 200 |
| B2 | 500 | |
| B3 | 1000 | |
| B4 | 1500 | |
| B5 | IAA | 200 |
| B6 | 500 | |
| B7 | 1000 | |
| B8 | 1500 | |
| B9 | IBA | 200 |
| B10 | 500 | |
| B11 | 1000 | |
| B12 | 1500 |
| Treatment | Rooting Rate(%) | Average Number of Roots (n) | Average Root Length (cm) | Average Longest Root Length (cm) | Root System Index |
|---|---|---|---|---|---|
| A1 | 43.3 ± 1.8 Bc | 6.0 ± 0.2 Cc | 2.6 ± 0.2 Bc | 5.1 ± 0.2 Bc | 6.7 ± 0.8 Bc |
| A2 | 50.7 ± 3.5 Bb | 7.2 ± 0.5 Bb | 3.4 ± 0.5 Bb | 6.8 ± 0.8 Ab | 12.9 ± 3.4 Bb |
| A3 | 63.3 ± 2.4 Aa | 8.9 ± 0.4 Aa | 4.4 ± 0.5 Aa | 8.2 ± 0.5 Aa | 25.3 ± 5.1 Aa |
| A4 | 21.3 ± 1.8 Dd | 2.6 ± 0.5 Dd | 1.3 ± 0.4 Cd | 2.4 ± 0.5 Cd | 0.8 ± 0.3 Cd |
| A5 | 18.7 ± 0.7 Dd | 1.8 ± 0.2 Dd | 1.0 ± 0.1 Cd | 1.7 ± 0.1 Ce | 0.3 ± 0.0 Cd |
| A6 | 43.3 ± 1.8 Bc | 5.9 ± 0.2 Cc | 3.0 ± 0.1 Bb | 6.2 ± 0.3 Bb | 7.8 ± 0.8 Bc |
| A7 | 16.7 ± 1.8 Dd | 1.4 ± 0.3 De | 0.7 ± 0.1 Cd | 1.3 ± 0.3 De | 0.2 ± 0.1 Cd |
| A8 | 11.3 ± 2.4 Ee | 0.9 ± 0.2 Ee | 0.6 ± 0.1 Dd | 1.2 ± 0.2 De | 0.1 ± 0.0 Cd |
| A9 | 39.3 ± 1.8 Cc | 5.4 ± 0.3 Cc | 3.5 ± 0.4 Bb | 6.2 ± 0.5 Bb | 7.6 ± 1.5 Bc |
| A10 | 44.7 ± 2.4 Bc | 6.2 ± 0.4 Bb | 4.3 ± 0.4 Aa | 6.7 ± 0.6 Ab | 12.8 ± 1.7 Bb |
| A11 | 51.3 ± 3.5 Bb | 7.2 ± 0.5 Bb | 4.8 ± 0.2 Aa | 8.4 ± 0.3 Aa | 17.9 ± 3.4 Ab |
| A12 | 21.3 ± 1.8 Dd | 2.5 ± 0.5 Dd | 1.9 ± 0.5 Cc | 3.2 ± 0.7 Cd | 1.2 ± 0.5 Cd |
| CK1 | 15.3 ± 1.8 Dd | 1.3 ± 0.2 De | 0.9 ± 0.1 Cd | 1.4 ± 0.2 Ce | 0.2 ± 0.1 Cd |
| Rooting Index | Source of Variation | Sum of Squares | Freedom | Mean Square | F Value | p Value |
|---|---|---|---|---|---|---|
| Rooting rate | Type of growth hormones (A) | 3197.6 | 2 | 1598.8 | 107.5 | 0.0 ** |
| Quality concentration (B) | 4434.2 | 3 | 1478.1 | 99.4 | 0.0 ** | |
| A × B | 1669.1 | 6 | 278.2 | 18.7 | 0.0 ** | |
| Error | 386.7 | 26 | 14.9 | |||
| Total | 55,620.0 | 39 | ||||
| Average number of roots | Type of growth hormones (A) | 87.5 | 2 | 43.7 | 107.4 | 0.0 ** |
| Quality concentration (B) | 104.7 | 3 | 34.9 | 85.7 | 0.0 ** | |
| A × B | 43.7 | 6 | 7.3 | 17.9 | 0.0 ** | |
| Error | 10.6 | 26 | 0.4 | |||
| Average root length | Total | 1037.7 | 39 | |||
| Type of growth hormones (A) | 31.8 | 2 | 15.9 | 57.0 | 0.0 ** | |
| Quality concentration (B) | 28.6 | 3 | 9.5 | 34.2 | 0.0 ** | |
| A × B | 12.0 | 6 | 2.0 | 7.1 | 0.0 ** | |
| Error | 7.3 | 26 | 0.3 | |||
| Total | 329.1 | 39 | ||||
| Average longest root length | Type of growth hormones (A) | 86.5 | 2 | 43.3 | 75.0 | 0.0 ** |
| Quality concentration (B) | 99.9 | 3 | 33.3 | 57.7 | 0.0 ** | |
| A × B | 49.8 | 6 | 8.3 | 14.4 | 0.0 ** | |
| Error | 15.0 | 26 | 0.6 | |||
| Total | 1078.2 | 39 | ||||
| Root system index | Type of growth hormones (A) | 600.9 | 2 | 300.4 | 23.7 | 0.0 ** |
| Quality concentration (B) | 1033.8 | 3 | 344.6 | 27.2 | 0.0 ** | |
| A × B | 545.8 | 6 | 91.0 | 7.2 | 0.0 ** | |
| Error | 329.9 | 26 | 12.7 | |||
| Total | 4704.3 | 39 |
| Treatment | Rooting Rate(%) | Average Number of Roots (n) | Average Root Length (cm) | Average Longest Root Length (cm) | Root System Index |
|---|---|---|---|---|---|
| B1 | 60.7 ± 2.9 Ab | 8.5 ± 0.3 Bb | 5.2 ± 0.6 Aa | 9.1 ± 0.5 Aa | 27.1 ± 5.0 Ab |
| B2 | 68.7 ± 2.4 Aa | 10.1 ± 0.7 Aa | 4.9 ± 0.1 Aa | 9.3 ± 0.3 Aa | 34.3 ± 4.0 Aa |
| B3 | 12.7 ± 1.8 Ef | 1.2 ± 0.1 Ff | 0.7 ± 0.1 Ef | 1.3 ± 0.1 Ee | 0.1 ± 0.0 Ce |
| B4 | 9.3 ± 1.8 Ef | 0.8 ± 0.2 Ff | 0.7 ± 0.1 Ef | 1.0 ± 0.2 Ee | 0.1 ± 0.0 Ce |
| B5 | 47.3 ± 1.3 Bc | 6.7 ± 0.3 Cc | 4.0 ± 0.1 Bb | 7.0 ± 0.5 Bb | 12.6 ± 1.3 Bc |
| B6 | 41.3 ± 1.3 Bd | 5.8 ± 0.2 Cc | 3.0 ± 0.2 Cc | 5.6 ± 0.2 Bc | 7.2 ± 1.0 Bc |
| B7 | 37.3 ± 2.9 Cd | 5.2 ± 0.4 Dd | 2.4 ± 0.3 Cd | 4.7 ± 0.7 Cc | 4.9 ± 1.4 Cd |
| B8 | 22.7 ± 1.8 De | 3.3 ± 0.3 Ee | 1.7 ± 0.1 De | 3.0 ± 0.1 Dd | 1.2 ± 0.1 Cd |
| B9 | 36.7 ± 1.8 Cd | 5.0 ± 0.5 Dd | 3.1 ± 0.1 Bc | 5.3 ± 0.2 Cc | 5.7 ± 1.0 Bd |
| B10 | 20.7 ± 2.9 De | 2.6 ± 0.7 Ee | 1.6 ± 0.3 De | 2.8 ± 0.5 Dd | 1.0 ± 0.5 Cd |
| B11 | 17.3 ± 1.3 De | 1.7 ± 0.4 Ff | 1.0 ± 0.2 Df | 1.7 ± 0.3 De | 0.4 ± 0.2 Cd |
| B12 | 0 Fg | 0 Gg | 0 Eg | 0 Ef | 0 Ce |
| CK2 | 13.3 ± 1.3 Ef | 0.6 ± 0.1 Fg | 0.6 ± 0.1 Ef | 1.0 ± 0.2 Ee | 0.1 ± 0.0 Ce |
| Rooting Index | Source of Variation | SUM of Squares | Freedom | Mean Square | F Value | p Value |
|---|---|---|---|---|---|---|
| Rooting rate | Type of growth hormones (A) | 2840.2 | 2 | 1420.1 | 121.5 | 0.0 ** |
| Quality concentration (B) | 8466.2 | 3 | 2822.1 | 241.4 | 0.0 ** | |
| A × B | 3314.4 | 6 | 552.4 | 47.2 | 0.0 ** | |
| Error | 304.0 | 26 | 11.7 | |||
| Total | 50,552.0 | 39 | ||||
| Average number of roots | Type of growth hormones (A) | 66.6 | 2 | 33.3 | 76.6 | 0.0 ** |
| Quality concentration (B) | 185.6 | 3 | 61.9 | 142.3 | 0.0 ** | |
| A × B | 84.8 | 6 | 14.1 | 32.5 | 0.0 ** | |
| Error | 11.3 | 26 | 0.4 | |||
| Average root length | Total | 994.6 | 39 | |||
| Type of growth hormones (A) | 15.5 | 2 | 7.7 | 53.0 | 0.0 ** | |
| Quality concentration (B) | 62.7 | 3 | 20.9 | 143.1 | 0.0 ** | |
| A × B | 17.1 | 6 | 2.9 | 19.5 | 0.0 ** | |
| Error | 3.8 | 26 | 0.1 | |||
| Total | 296.5 | 39 | ||||
| Average longest root length | Type of growth hormones (A) | 58.4 | 2 | 29.2 | 80.3 | 0.0 ** |
| Quality concentration (B) | 199.9 | 3 | 66.6 | 183.4 | 0.0 ** | |
| A × B | 63.1 | 6 | 10.5 | 28.9 | 0.0 ** | |
| Error | 9.4 | 26 | 0.4 | |||
| Total | 981.5 | 39 | ||||
| Root system index | Type of growth hormones (A) | 1145.4 | 2 | 572.7 | 53.0 | 0.0 ** |
| Quality concentration (B) | 1658.0 | 3 | 552.7 | 51.2 | 0.0 ** | |
| A × B | 1492.5 | 6 | 248.8 | 23.0 | 0.0 ** | |
| Error | 280.7 | 26 | 10.8 | |||
| Total | 6807.6 | 39 |
Disclaimer/Publisher’s Note: The statements, opinions and data contained in all publications are solely those of the individual author(s) and contributor(s) and not of MDPI and/or the editor(s). MDPI and/or the editor(s) disclaim responsibility for any injury to people or property resulting from any ideas, methods, instructions or products referred to in the content. |
© 2023 by the authors. Licensee MDPI, Basel, Switzerland. This article is an open access article distributed under the terms and conditions of the Creative Commons Attribution (CC BY) license (https://creativecommons.org/licenses/by/4.0/).
Share and Cite
Chen, H.; Lei, Y.; Sun, J.; Ma, M.; Deng, P.; Quan, J.; Bi, H. Effects of Different Growth Hormones on Rooting and Endogenous Hormone Content of Two Morus alba L. Cuttings. Horticulturae 2023, 9, 552. https://doi.org/10.3390/horticulturae9050552
Chen H, Lei Y, Sun J, Ma M, Deng P, Quan J, Bi H. Effects of Different Growth Hormones on Rooting and Endogenous Hormone Content of Two Morus alba L. Cuttings. Horticulturae. 2023; 9(5):552. https://doi.org/10.3390/horticulturae9050552
Chicago/Turabian StyleChen, Hanlei, Youzhen Lei, Jiajia Sun, Mingyue Ma, Peng Deng, Jin’e Quan, and Huitao Bi. 2023. "Effects of Different Growth Hormones on Rooting and Endogenous Hormone Content of Two Morus alba L. Cuttings" Horticulturae 9, no. 5: 552. https://doi.org/10.3390/horticulturae9050552
APA StyleChen, H., Lei, Y., Sun, J., Ma, M., Deng, P., Quan, J., & Bi, H. (2023). Effects of Different Growth Hormones on Rooting and Endogenous Hormone Content of Two Morus alba L. Cuttings. Horticulturae, 9(5), 552. https://doi.org/10.3390/horticulturae9050552


