Abstract
This study aimed to explore the effects of different concentrations of indole-3-acetic acid (IAA), indole-3-butyric acid (IBA), and indene-naphthaleneacetic acid (ABT-1) on the rooting and dynamic changes of the endogenous hormone content of Australian Mulberry (vegetable Mulberry) and Kirin mulberry (Fruit Mulberry) hardwood cuttings. As exhibited by the results, the rooting process of both vegetable mulberry and fruit mulberry could be divided into three stages, namely the initiation stage (1–18 days), the callus formation stage (18–28 days), and the adventitious root formation and elongation stage (28–48 days). The two treatments with 1000 mg·L−1 ABT-1 and 500 mg·L−1 ABT-1 achieved the highest rooting efficiencies of vegetable mulberry and fruit mulberry, significantly higher than those of other treatments (p < 0.01), with average rooting rates of 63.3% and 68.7%, and rooting efficiency indices of 25.3 and 34.3, respectively. During the rooting process, the contents of endogenous IAA and zeatin riboside (ZR) and the ratios of IAA/ABA and IAA/ZR presented a trend of decreasing before increasing, while the abscisic acid (ABA) and jasmonic acid (JA) contents exhibited a trend of increasing before decreasing, and the gibberellin (GA3), strigolactone (SL), and IBA contents showed a continuous decreasing trend. Hence, ABT-1 was effective in inducing the synthesis of IAA, IBA, JA, and SL, reducing the contents of ABA, ZR, and GA3, and promoting the rooting of vegetable mulberry and fruit mulberry cuttings. For fruit mulberry and vegetable mulberry cuttings, the optimal concentrations of ABT-1 were 500 mg·L−1 and 1000 mg·L−1, respectively, demonstrating applicability for the efficient propagation of Morus alba L. cuttings.
1. Introduction
As a deciduous tree of the genus Morus in the family Moraceae, Morus alba L. [1] derives from northern and central China. Characterized by drought resistance, barren land tolerance,, waterlogging resistance, cold tolerance, and strong adaptability to soil, Morus alba L. is an excellent timber, as well as environmental protection and economic tree species [2]. In addition, as a valuable plant, Morus alba L. can be used both medicinally and as a food source, with its fruit, leaves, branches, and roots being highly prized. Furthermore, known as the “Chinese holy tree”, Morus alba L. has been listed by the Ministry of Health as a dual-purpose plant for food and medicine on account of its high development and utilization value [2]. Following the promotion of scientific and technological innovation in the sericulture industry, this industry is gradually developing towards a diversified and multi-purpose direction, including fruit mulberry, vegetable mulberry, medicinal mulberry, and ecological feed mulberry [3]. In view of the large demand for Morus alba L. seedlings, it is essential to develop asexual propagation techniques, especially cutting propagation techniques, thereby ensuring high-quality seedlings [4].
Cutting propagation has many advantages, such as easy access to materials, simple operation, short seedling cycle, and low cost [5]. As discovered by most studies, plant growth hormones can greatly promote the rooting rate of cutting propagation [6,7,8,9,10]. Indole-3-acetic acid (IAA) [9], indole-3-butyric acid (IBA) [11], and indene-naphthaleneacetic acid (ABT-1) [12] (Table 1) are widely employed in the rooting of plant cuttings. Hormone treatment has been found to accelerate the rooting of cuttings of various plants such as camptotheca acuminata [13], Cyclocarya paliurus [14], Picea abies (L.) Karst [15] and Malus hupehensis [9]. As exhibited by numerous studies, the dynamic balance of endogenous hormones in cuttings is crucial for the formation of adventitious roots [16], and exogenous plant growth hormones can regulate the balance of endogenous hormones in cuttings [17]. For instance, during critical periods of adventitious root formation in Sapindus mukorossi [18], Picea abies [19] and Tamarix taklamakanensis [20], various endogenous hormones show dynamic change, thus enhancing rooting of cuttings. Nonetheless, there are few studies on the dynamic change of endogenous hormone content in Morus alba L. cuttings resulted by growth hormones, and the mechanism of the correlation between Morus alba L. cuttings and endogenous hormones is still unclear. Hence, to clarify the inherent mechanism of Morus alba L. cuttings rooting, we conduct studies on Morus alba L. cuttings and explore the relationship between growth hormones and endogenous hormones in rooting of cuttings.
Table 1.
Introduction to plant growth hormones.
2. Materials and Methods
In this study, a new variety of Australian Mulberry (vegetable Mulberry) introduced from McLaren Vale in 2016 and a new variety of Kirin mulberry (Fruit Mulberry) introduced from China Agricultural University in 2018 were selected as study objects, and rooting responses of vegetable mulberry and fruit mulberry hardwood cuttings to different concentrations of growth hormones and endogenous hormones were explored, thereby screening for high-efficiency cutting schemes for large-scale and rapid propagation of vegetable mulberry and fruit mulberry.
2.1. Study Site and Materials
The study was conducted from 24 March to 9 May 2021 at the Morus alba L. cultivation base in Mawuzhai village, Laiji town, Xinmi city, Henan province (113°29′ E, 34°28′ N). Mawuzhai village is located in an area with a sub-tropical monsoon climate characterized by distinct seasons, abundant rainfall, humid air, and yellow–brown soil. The 3-year-old healthy and vigorous vegetable and fruit mulberry trees were chosen as the mother plants for cuttings. In March of the same year, disease-free, strong, and full-budded 1-year-old branches were cut from the mother plants. One week before the cuttings, an 800-fold dilution of a 50% wettable powder of carbendazim (Lanfeng Bio-Chemical Co., Ltd., Xuzhou, China) was uniformly sprayed on the substrate, followed by drying in the sun.
2.2. Study Methods
2.2.1. Study of Cuttings
In this study, a randomized complete block design was adopted, and a total of 26 treatment groups were included, with three replicates per group and 50 cuttings per replicate. A total of 3900 cuttings were required. The cuttings were uniform in thickness and length, with a diameter between 0.6–0.8 cm and a length between 12–15 cm. The upper end of the cutting was trimmed flat, and the lower end was cut at a 45° angle. In total, 50 cuttings were selected for each group, followed by soaking in an 800-fold dilution of a 50% wettable powder of carbendazim for 1 min at the base and three growth regulators, namely ABT-1 (Abiti Biotechnology Co., Ltd., Beijing, China), IAA, and IBA (Solaibao Technology Co., Ltd., Beijing, China) with 99% purity. Furthermore, 100% alcohol was used for dissolving IAA, IBA, and ABT-1 at 0.2 g, 0.5 g, 1 g and 1.5 g, respectively, and then 1 L of water was employed to dilute them to concentrations of 200, 500, 1000, and 1500 mg·L−1 [21], respectively, followed by soaking the base of cuttings for 4 h. The specific study design is exhibited in Table 2 and Table 3. The cuttings were inserted into the substrate to a depth of approximately 7–8 cm, with a spacing of 10 cm between every two cuttings, and the cuttings were maintained slanted downwards with the buds facing upwards. Successively, the soil was compacted and watered, thereby guaranteeing close contact between the cutting base and the substrate and ensuring adequate water supply. Every 9 days after the cuttings, carbendazim was sprayed with an 800-fold dilution for disinfection, and field water management was needed, aiming at keeping the soil moisture at around 50% and removing weeds manually at proper time.
Table 2.
Treatment of three plant growth hormones on vegetable mulberry cuttings.
Table 3.
Treatment of three plant growth hormones on fruit mulberry cuttings.
2.2.2. Observation and Statistical Analysis of Rooting Morphology
The first sampling was performed on the day after the cuttings, and subsequent samplings were conducted every 9 days. After being randomly sampled from each treatment, 5 cuttings were washed with water, and the bark was peeled off within 2 cm of the base. Afterwards, the samples were stored in a −80 °C ultra-low temperature freezer for determining the endogenous hormone content. At the sixth sampling, all cuttings were pulled out, thereby exploring number of rooted cuttings, number of roots per cutting, and root length.
Rooting rate = number of rooted cuttings/total number of cuttings × 100%
Average number of roots = sum of the number of roots/total number of cuttings
Average root length = sum of root length/total number of cuttings
Root system effectiveness index = (rooting rate × average number of roots) × average root length [22].
2.2.3. Determination of Endogenous Hormone Content
High-performance liquid chromatography—mass spectrometry (HPLC—MS) (Aibo CAISI Analytical Instrument Trading Co., Ltd., Shanghai, China) was employed for the determination [23] (The column, Waters ACQUITY HPLC HSS T3 C18 (100 mm × 2.1 mm i.d., 1.8 µm). Methanol and 0.1 mol/L−1 acetic acid were deemed as the mobile phase for gradient elution, and the contents of IAA, abscisic acid (ABA), zeatin riboside (ZR), gibberellin (GA3), jasmonic acid (JA), strigolactone (SL), and IBA were determined at 254 nm for the vegetable mulberry cuttings control group (CK1), the vegetable mulberry cuttings treatment groups with 200 mg·L−1 ABT-1 (A1), 500 mg·L−1 ABT-1 (A2) and 1000 mg·L−1 ABT-1 (A3), and the fruit mulberry cuttings control group (CK2), the fruit mulberry cuttings treatment groups with 200 mg·L−1 ABT-1 (B1), 500 mg·L−1 ABT-1 (B2) and 1000 mg·L−1 ABT-1 (B3) on days 1, 28, and 48, respectively. The study was repeated three times.
Statistical analysis and organization were applied to the study data using Microsoft Excel 2016, and SPSS 25.0 software was also employed for statistical analysis. Origin 2021 was adopted for drawing. The least significant difference (LSD) method was used for multiple comparisons, and two-way analysis of variance was performed for different concentrations and types of plant growth hormones.
3. Results
3.1. Observation of Rooting Progress of Vegetable Mulberry and Fruit Mulberry
As revealed by observation, for the treatment groups of both vegetable mulberry (Figure 1) and fruit mulberry (Figure 2), the incision at the base began to swell and crack to produce callus tissue at 18 days after the cuttings, and adventitious roots started to form and emerge from the bark between 18–28 days after the cuttings. From 28 to 48 days after the cuttings, numerous adventitious roots were generated and continued to elongate. Compared with the treatment group, the control group of vegetable mulberry and fruit mulberry cuttings exhibited later rooting progress. The rooting process of vegetable mulberry and fruit mulberry cuttings could be divided into three stages, namely the initiation stage (1–18 days), the callus tissue generation stage (18–28 days), and the adventitious root generation and elongation stage (28–48 days).
Figure 1.
Rooting process of vegetable mulberry cuttings. (A): 1-day morphology of vegetable mulberry cuttings; (B): 18-day morphology of vegetable mulberry cuttings; (C): 18–28-day morphology of vegetable mulberry cuttings; (D): 28–48-day morphology of vegetable mulberry cuttings.
Figure 2.
Rooting process of fruit mulberry. (a): 1-day morphology of fruit mulberry cuttings; (b): 18-day morphology of fruit mulberry cuttings; (c): 18–28-day morphology of fruit mulberry cuttings; (d): 28–48-day morphology of fruit mulberry cutting.
3.2. Effects of Different Treatments on Rooting of Vegetable Mulberry Hardwood Cuttings
The effects of different treatments on the rooting of vegetable mulberry hardwood cuttings are exhibited in Table 4. After treatment with plant growth hormones, the rooting rate, average number of roots, average root length, average longest root length, and root system index of vegetable mulberry were all promoted to varying degrees, increasing before decreasing with the increase in concentration of plant growth hormones. Regarding the rooting rate, the highest rooting rate was observed in ABT-1—1000 mg·L−1, and the average rooting rate was 63.3%, 4.1 times higher than that of the control group (15.3%), and notably higher than that of other treatments (p < 0.01). For average number of roots, the average highest number of roots was noticed in ABT-1—1000 mg·L−1, with 8.89 roots per cutting, followed by ABT-1—500 mg·L−1 and IBA—1000 mg·L−1 (with no remarkable difference between the two). For average root length, the optimal treatment was exhibited in IBA—1000 mg·L−1, with an average root length of 4.8 cm, 3.8 cm longer than that of the control group. For average longest root length, IBA—1000 mg·L−1 had the highest value, with an average longest root length of 8.4 cm, 82.9% greater than that of the control group. There was no notable difference between ABT-1—1000 mg·L−1 and IBA—1000 mg·L−1. Additionally, considering effectiveness evaluation of cuttings, the root system index is also a key indicator. ABT-1—1000 mg·L−1 had the greatest root system index, which was 25.3, 120.5 times greater than that of the control group, and remarkably higher than that of other treatment groups and the control group. To sum up, the best results were achieved by applying 1000 mg/L−1 ABT-1 in treating vegetable mulberry hardwood cuttings, thereby promoting the generation of numerous strong roots for vegetable mulberry.
Table 4.
Effects of different treatments on rooting indices of vegetable mulberry hardwood cuttings.
As indicated by the results of the analysis of variance for the five rooting indices (Table 5), both the type and quality concentration of plant growth hormones had extremely obvious effects on all rooting indices (p < 0.01), and there was a notable interaction between the type and quality concentration of plant growth hormones. Regarding the magnitude of the F value, the type of plant growth hormones had the greatest effect on vegetable mulberry hardwood cuttings, followed by the quality concentration.
Table 5.
Analysis of variance for the results of vegetable mulberry cuttings.
3.3. Effects of Different Treatments on Rooting of Fruit Mulberry Hardwood Cuttings
The effects of different treatments on the rooting of fruit mulberry hardwood cuttings are exhibited in Table 6. The results indicated great differences in rooting among different treatments. The highest rooting rate was observed in ABT-1—500 mg·L−1, reaching 68.7% that was 5.2 times higher than the control group, and obviously different from other treatments (p < 0.05). Except for IBA—1500 mg·L−1, all treatments had higher values for average number of roots, average root length, and average longest root length compared with the control group. Among them, ABT-1—500 mg·L−1 had the average highest number of roots and average longest root length, namely 10.1 and 9.3 cm, respectively; ABT-1—200 mg·L−1 had the average longest root length, namely 5.2 cm. According to multiple comparisons, there was a notable difference in average number of roots between ABT-1—200 mg·L−1 and ABT-1—500 mg·L−1, but no obvious difference in average root length and average longest root length between ABT-1—200 mg·L−1 and ABT-1—500 mg·L−1. Regarding the root system effect index, ABT-1—500 mg·L−1 had the highest value of 34.3, remarkably higher than other treatment groups. Nevertheless, the rooting rates of 200 mg·L−1 IAA (9.3%) and 1500 mg·L−1 IBA (0) treatment groups were lower than that of the control group (13.3%) suggesting that high concentration of plant growth hormones does not play a role in promoting the growth of fruit mulberry even while inhibiting its growth. As illustrated by data analysis, the optimal concentration of ABT-1 for fruit mulberry cuttings was 500 mg·L−1.
Table 6.
Effects of different treatments on rooting index of fruit mulberry hardwood cuttings.
The variance analysis of the two-factor completely randomized block design model was conducted for the observation results of fruit mulberry, with the results presented in Table 7. According to the results, the types and quality concentrations of growth hormones had notable effects on all rooting indices (p < 0.01), and there was an obvious interaction between growth hormone types and quality concentrations. Based on the F values, it can be inferred that the quality concentrations have the greatest effect on fruit mulberry hardwood cuttings, followed by the types of growth hormones.
Table 7.
Analysis of variance for the results of fruit mulberry cuttings.
3.4. Changes in Endogenous Hormone Content and Ratio during the Rooting Process of Vegetable Mulberry Cuttings
3.4.1. Changes in Endogenous IAA Content
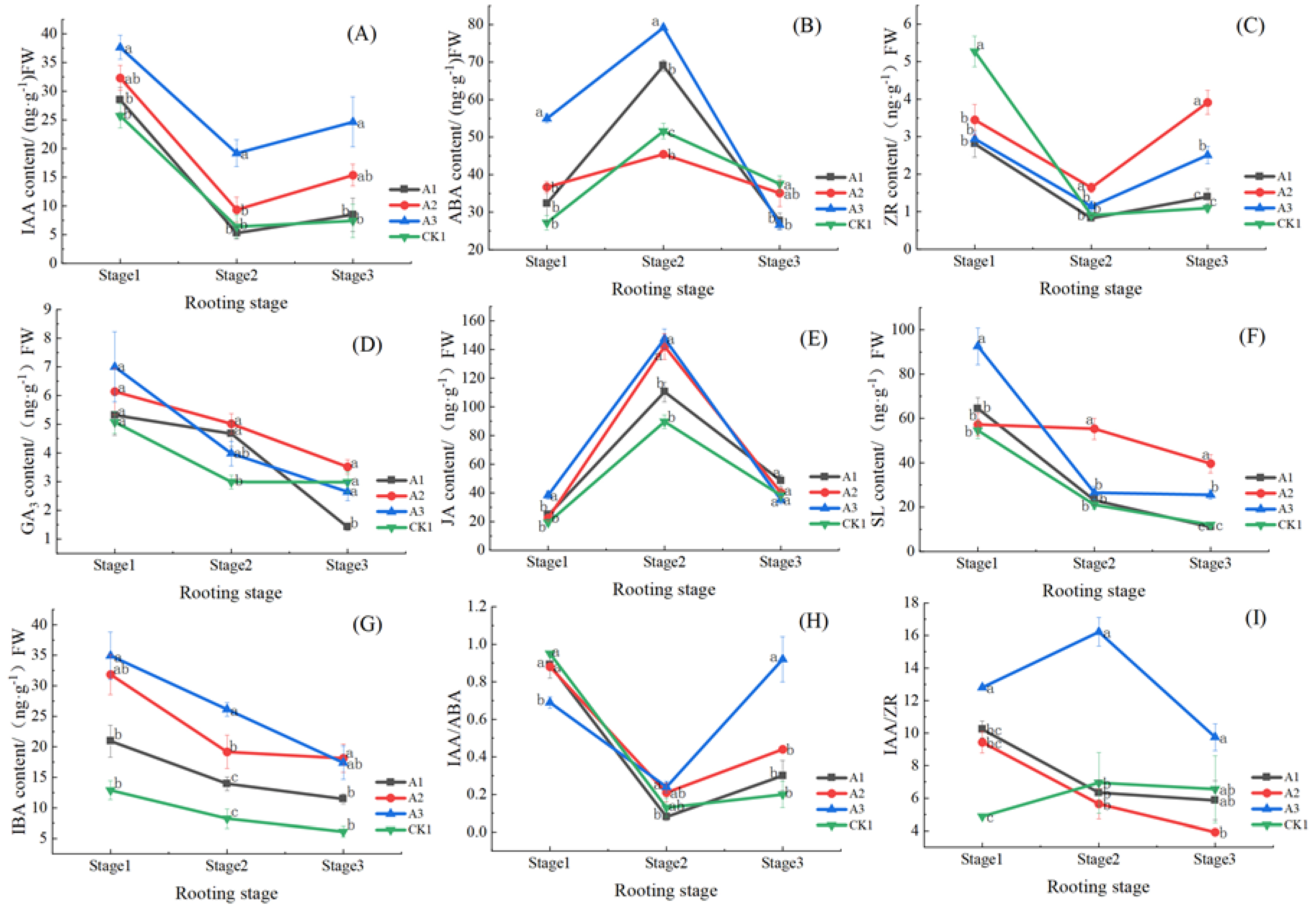
Both the control and treatment groups exhibited a trend of first decreasing before increasing in IAA content (Figure 3A). The IAA contents of the treatment groups and the control group presented a decreasing trend during the callus formation period, possibly due to increased peroxidase activity in the cuttings after separation from the mother plant, resulting in a decrease of IAA content. During this period, callus formation occurred at the lower end of the cutting, which consumed IAA and also reduced IAA content. Simultaneously, compared with the control group, the decrease in IAA content of ABT-1—treated groups was smaller, probably because of the reversal of exogenous hormone absorption by the cuttings themselves after ABT-1 treatment. In general, the IAA content of ABT-1—1000 mg·L−1 was consistently higher than that of other treatments during each time period, suggesting that root growth can be promoted by high levels of IAA.
Figure 3.
Effect of ABT-1 treatment on endogenous hormone content during the rooting process of vegetable mulberry cuttings. (A–I) represents the changes in endogenous hormone contents of IAA, ABA, ZR, GA3, JA, SL, IBA, IAA/ABA, and IAA/ZR in the treatment and control groups of vegetable mulberry under the action of ABT-1 during the rooting period. Different lowercase letters indicate notable differences among the treatments (LSD multiple comparison analysis, p < 0.05). A1—represents 200 mg·L−1 ABT-1 treatment group, A2—denotes 500 mg·L−1 ABT-1 treatment group, A3—signifies 1000 mg·L−1 ABT-1 treatment group and CK1—indicates the control group. Stage 1—represents the initiation stage, Stage 2—refers to the callus formation stage and Stage 3—denotes the adventitious root formation and elongation stage.
3.4.2. Changes in Endogenous ABA Content
As indicated in Figure 3B, ABA content exhibited a trend of initial increase followed by a decrease. During the initiation period, the treatment groups and the control group showed an upward trend, possibly due to the increase in ABA secretion from the cuttings in response to external stimuli for separation from the mother plant. The ABA content reached a peak during the callus formation period, followed by a decrease. In this process, the root primordia gradually developed and began to produce adventitious roots. By this time, the ABA content of ABT-1—1000 mg·L−1 decreased sharply, even lower than that during the initiation period, while the ABA content of the control group remained relatively high, indicating that a low level of ABA content is beneficial to the production and elongation of adventitious roots.
3.4.3. Changes in Endogenous ZR
The trend of ZR content showed an initial decrease followed by an increase (Figure 3C). During the initiation period, the ZR content of the control group was higher than that of the treatment groups, suggesting that ABT-1 reduces the ZR content in cuttings. During the callus formation period, the ZR content of the control group exhibited a sharp decrease, while the treatment group only presented a slight decrease, indicating that some ZR is consumed by the formation of callus tissue in cuttings. Meanwhile, the control group demonstrated a poor ability to synthesize ZR, so ZR content exhibited a rapid decrease. During the adventitious root formation and elongation period, ZR content presented varying degrees of increase in both the treatment and control groups, thus promoting cell division and growth and benefiting growth and development of adventitious roots.
3.4.4. Changes in Endogenous GA3
As indicated by Figure 3D, for the treatment groups and the control group, the contents of GA3 exhibited a continuous decrease over time. During the initiation period, the GA3 content of ABT-1—1000 mg·L−1 reached the highest level, namely 7.0 ng·g−1. After callus formation, the GA3 content of both treatment and control groups decreased, with that of treatment groups decreasing obviously, possibly due to the high demand for GA3 in the growth of root primordia [24]. During the adventitious root formation and elongation period, the GA3 contents of treatment groups were again observed as decreasing, but there was no obvious change in the GA3 content of the control group. At this point, adventitious roots were formed. As the root tip emerged from the skin pore, the GA3 content gradually decreased, probably because high concentrations of GA3 inhibited its elongation growth.
3.4.5. Changes in Endogenous JA
Generally, vegetable mulberry JA content displayed a similar trend with ABA content, and the magnitude of change was great at each stage (Figure 3E). The JA content increased obviously over time, reaching a peak during callus formation. ABT-1—1000 mg·L−1 had the highest JA content at 147.6 ng·g−1, 1.7 times that of the control group, laying the foundation for the formation of root primordia and adventitious roots. After callus formation, the JA content presented a sharp decrease, followed by adventitious root formation.
3.4.6. Changes in Endogenous SL
The SL content presented a continuous decreasing trend (Figure 3F). In the initiation period, ABT-1—1000 mg·L−1 showed the highest SL content at 92.6 ng·g−1. The most notable trend of ABT-1—1000 mg·L−1 was observed during the callus formation, suggesting that high concentrations of ABT-1 could increase SL content. After callus formation, the SL content of ABT-1—1000 mg·L−1 did not change obviously, indicating that ABT-1—1000 mg·L−1 could stabilize the SL content earlier.
3.4.7. Changes in Endogenous IBA
After cuttings, the IBA content exhibited a gradual decreasing trend among groups (Figure 3G). ABT-1—1000 mg·L−1 presented the highest IBA content in the initiation period (35.0 ng·g−1). During callus formation, both the treatment and control groups showed a decreasing trend, with ABT-1—500 mg·L−1 exhibiting the greatest decrease in IBA content. During adventitious root formation and elongation period, ABT-1—500 mg·L−1 did not show obvious change, while ABT-1—1000 mg·L−1 presented a larger magnitude of change.
3.4.8. Changes in IAA/ABA Ratio
According to studies, the rooting of plant cuttings has relations with not only the endogenous IAA and ABA contents but also the ratio between the two contents [25]. As shown in Figure 3H, the IAA/ABA ratio showed a trend of decreasing before increasing. In the initiation period, the control group exhibited the highest IAA/ABA ratio. Meanwhile, after callus formation, ABT-1—1000 mg·L−1 presented higher IAA/ABA ratio compared with the treatment groups with 200 and 500 mg·L−1, and the control group, especially during adventitious root formation and elongation period, where the IAA/ABA ratio of ABT-1—1000 mg·L−1 was 4.6 times that of the control group. This indicates that a lower IAA/ABA ratio in the early stages of cuttings is conducive to root primordia differentiation and formation, while a higher IAA/ABA value after callus formation is beneficial to root system development.
3.4.9. Changes in IAA/ZR Ratio
As presented in Figure 3I, the IAA/ZR values for ABT-1—1000 mg·L−1 showed a trend of increasing followed by decreasing, with a slightly smaller decrease in the control group and a continuous decrease in the treatment groups with 200 and 500 mg·L−1 ABT-1. In the whole rooting period, the optimal treatment 1000 mg·L−1 ABT-1 had the higher IAA/ZR values compared with other treatments and the control, indicating that a higher IAA/ZR value contributes to rooting of cuttings.
3.5. Changes in Endogenous Hormone Content and Ratio during the Rooting Process of Fruit Mulberry Cuttings
3.5.1. Changes in Endogenous IAA
As exhibited in Figure 4A, the changes in IAA content in the treatment groups and the control group showed a trend of decreasing before increasing. In the initiation period, the IAA contents in the treatment groups were higher than that in the control group, suggesting that ABT-1 could promote the synthesis of endogenous IAA. During callus formation, the IAA content presented a decreasing trend, possibly due to the active respiration and metabolism of internal cells of cuttings that needed a large amount of IAA to form callus tissue. After root primordia broke through the callus tissue and produced numerous new roots, IAA synthesis was promoted, and the IAA content increased. The IAA content of ABT-1—500 mg·L−1 (32.8 ng·g−1) was greater than that of ABT-1—200 mg·L−1 (15.9 ng·g−1) and ABT-1—1000 mg·L−1 (21.8 ng·g−1), and the control group (20.2 ng·g−1).
Figure 4.
Effects of ABT-1 treatment on endogenous hormone level during the rooting process of fruit mulberry cuttings. Panels (A–I) exhibit changes of the levels of IAA, ABA, ZR, GA3, JA, SL, IBA, IAA/ABA, and IAA/ZR in the ABT-1 treatment groups and control group during the rooting stages. Different lowercase letters indicate remarkable differences among the treatments (LSD multiple comparison analysis, p < 0.05). B1—represents 200 mg·L−1 ABT-1 treatment group, B2—denotes 500 mg·L−1 ABT-1 treatment group, B3—signifies 1000 mg·L−1 ABT-1 treatment group and CK2—refers to the control group. Stage 1—represents the initiation stage, Stage 2—denotes the callus formation stage and Stage 3—indicates the adventitious root formation and elongation stage.
3.5.2. Changes in Endogenous ABA
The ABA content presented a trend of first increasing and then decreasing (Figure 4B). During the initiation period, the ABA content in the treatment groups was higher than that in the control group, and the ABA content in both the treatment and control groups exhibited an increasing trend, with a peak reached during callus formation. This may be caused by the stress response of cuttings to the environment after detachment from the mother plant, resulting in an increase in ABA content and accumulation of nutrients, which is conducive to callus formation and survival of cuttings. After callus formation, the ABA content began to decrease. During the adventitious root formation and elongation period, ABT-1—500 mg·L−1 had the lowest ABA content, namely 22.3 ng·g−1, merely 49% of that of the control group (45.4 ng·g−1), suggesting that high ABA concentration inhibits adventitious root formation and elongation.
3.5.3. Changes in Endogenous ZR
The ZR content presented a trend of decreasing before increasing (Figure 4C). After the initiation period, the ZR content of the treatments and control exhibited a decreasing trend, with a more obvious decrease exhibited in the treatment group. After callus formation, the ZR content in the control group was higher than that in the treatment groups, indicating that high ZR concentration has an inhibitory impact on adventitious root formation.
3.5.4. Changes in Endogenous GA3
The GA3 content in the treatment groups presented a sustained decreasing trend, while that in the control group showed a slight decreasing trend (Figure 4D). In the initiation period, the GA3 content in the treatment groups was higher than that in the control group, suggesting that ABT-1 treatment could effectively enhance GA3 synthesis. During the callus formation period, the GA3 content in the control group and the treatment groups decreased in various degrees, and the highest GA3 content (3.9 ng·g−1) was observed in ABT-1—500 mg·L−1, while the control group had a GA3 content of merely 1.4 ng·g−1. During the adventitious root formation and elongation period, the GA3 content in ABT-1—500 mg·L−1 was the lowest at 1.1 ng·g−1, probably due to the consumption of large amounts of GA3 for the formation of adventitious roots in cuttings at this stage.
3.5.5. Changes in Endogenous JA
The JA content exhibited a trend of increasing before decreasing (Figure 4E). In the initiation period, the JA content in the treatment groups was higher than that in the control group, and increased with time reaching a peak value (126.5 ng·g−1) during callus formation, followed by decrease. As indicated by analysis, the accumulation of JA in the early stage was beneficial to callus formation, while a low level of JA in the later stage was conducive to adventitious root formation and elongation.
3.5.6. Changes in Endogenous SL
According to Figure 4F, the SL content presented a sustained decreasing trend. By viewing the overall rooting period, the largest change appeared in the control group, while the change in the optimal treatment 500 mg·L−1 ABT-1 was relatively small, suggesting that the effect of endogenous hormones on cuttings is the result of the combined action of multiple hormones.
3.5.7. Changes in Endogenous IBA
As indicated in Figure 4G, endogenous IBA content exhibited a similar change with the changes of GA3 and SL. The highest level of endogenous IBA occurred in the initiation stage, followed by a gradual decrease till the emergence and elongation of adventitious roots. The lowest level of endogenous IBA was observed in the control group (1.4 ng·g−1), while the content of ABT-1—500 mg·L−1 was 3.6 times higher than that of the control group, suggesting that a higher IBA content can accelerate the growth of fruit mulberry cuttings.
3.5.8. Changes in IAA/ABA Ratio
As presented in Figure 4H, the IAA/ABA ratio of both treatment and control groups exhibited a decreasing trend in the early stage, followed by an increasing trend. Compared with the treatment groups with 200 and 1000 mg·L−1 ABT-1 and the control group, ABT-1—500 mg·L−1 had a higher IAA/ABA ratio throughout the rooting process, while the control group possessed a consistently lower IAA/ABA ratio. This suggests that auxin can enhance the rooting ability of cuttings, and that IAA and ABA can act together, thereby regulating the development and growth of the root system of cuttings.
3.5.9. Changes in IAA/ZR Ratio
The IAA/ZR ratio of the treatment group with 500 and 1000 mg·L−1 ABT-1 and the control group showed a trend of decreasing before increasing, while that of ABT-1—200 mg·L−1 exhibited a continuous decreasing trend (Figure 4I). By combining with the analysis of rooting process and morphology, the IAA/ZR ratio of the optimal treatment group 500 mg·L−1 ABT-1 reached the lowest value during the callus formation, peaked during the emergence and elongation of adventitious roots, and was significantly higher than that of other treatments. This indicates that a higher IAA/ZR ratio is conducive to the elongation of adventitious roots.
4. Discussion
According to the results of this study, the rooting of Morus alba L. cuttings induced by auxins is superior to that of the control group treated with water, and the ABT-1 treatment is the most effective, followed by IAA and IBA. Auxins can accelerate the initiation of root primordia and propel the formation of adventitious roots, causing a notable improvement in rooting [26,27,28,29], which aligns with the results of Acacia mangium et al. [30].
IAA can stimulate cell division in the cambium and regulate the formation of callus tissue [31]. In this study, IAA promoted the rooting rate of Morus alba L., and the rooting rate gradually decreased with an increase in IAA concentration within the study concentration range, which was contrary to the results of Li et al. [24] and similar to the results of Raju et al. [32].This phenomenon may be caused by the fact that IAA is easily destroyed by metabolism in plants, its action is highly unstable, it easily decomposes in water, and its action time is short [31]. Moreover, the stability of IAA decreases with an increase in concentration. IBA can accelerate cell metabolism and promote the induction and formation of root primordia [33]. According to Singh et al. [34], the rooting percentage, longest root sprout length, germination rate, and root length of Morus alba L. cuttings treated with 2000 mg·L−1 IBA are all higher. These findings bear similarity to the results of the vegetable mulberry treatment, but differ from those of the fruit mulberry treatment. As indicated by the notable difference in the effect of IBA concentration required by vegetable mulberry and fruit mulberry, the plants exhibit different sensitivities to the same type of auxin, affecting the physiological and biochemical processes inside the cuttings, and further causing differences in rooting efficiency, which is consistent with the results of Hu [35]. ABT-1 can accelerate the synthesis of hormones in the rooting region and promote branch proliferation [36]. As discovered by Chen et al. [21], ABT-1 is most effective in promoting the rooting of Morus alba L., followed by IBA and IAA. As indicated by the results of this study, the optimal treatment for rooting of vegetable mulberry cuttings is 1000 mg·L−1 ABT-1, and 500 mg·L−1 ABT-1 for rooting of fruit mulberry. The different optimal treatment concentrations for vegetable mulberry and fruit mulberry may be caused by the different sensitivities of different plants to exogenous auxins. Hence, for different plant cuttings, the optimal concentration range of auxins is also different [37]. The results of this study show that the effects of IAA and IBA treatment are inferior to that of ABT-1. This is probably caused by the fact that ABT-1 is a composite of IBA and NAA, which can more effectively propel the increase in endogenous hormone content and important enzyme activity and promote plant metabolism intensity, thereby greatly improving rooting ability [38]. These findings are similar to the results of studies on Chimonanthus praecox [39], Sophora japonica [22] and Taxus chinensis (Pilger) Rehd F. [36].
According to most scholars, endogenous hormone expression and nutrient allocation in cuttings are regulated by exogenous hormones [40,41,42]. In this study, the changes in IAA content suggest that ABT-1 can increase endogenous IAA content and enhance adventitious root formation [43], similar to the results of Shang et al. [44]. This demonstrates that endogenous IAA can propel root primordium accumulation and adventitious root formation [31]. Endogenous IBA can drive root primordium formation and promote rooting [45]. As observed from the changes in IBA content in this study, IBA content remarkably increases under ABT-1 treatment, thereby enhancing adventitious root formation and elongation. ABA is an inhibitory plant hormone [46]. As discovered in various studies, the ABA content of vegetable and fruit mulberry cuttings increases, thereby regulating the adaptability of cuttings to stress and preparing them for the formation of root primordia, followed by decreases in endogenous ABA content, suggesting that low levels of ABA are conducive to root primordium differentiation and root formation [47]. In this study, changes in ABA content indicate that ABT-1 can induce a decrease in ABA content during the production of callus tissue, which is beneficial to the growth and development of adventitious roots. ZR can promote cell division and differentiation, thereby affecting adventitious root formation [22]. As shown by previous studies, low concentrations of ZR are conducive to adventitious root formation and differentiation [48,49]. In this study, the control group had a higher ZR content compared with the treatment group after the initiation period, indicating that ABT-1 has an inhibitory effect on ZR in the early rooting stage, thus promoting root primordia. Subsequently, the ZR content in the treatment group exhibited a slight increase before decreasing, suggesting that cuttings can synthesize ZR by themselves during the production and elongation of adventitious roots, thus causing an increase in ZR content. For the rooting process of vegetable and fruit mulberry cuttings, low ZR concentration facilitates the formation of callus tissue, and high ZR concentration contributes to the formation of adventitious roots, in accordance with the results of Tilia mandshurica [50], Zizyphus jujuba Mill. [51] and Hybrid Aspen [52]. GA3 mainly enhances cell division and elongation [53]. Studies have discovered that a high concentration of GA3 inhibits adventitious root formation, and that a low concentration of GA3 is conducive to adventitious root formation [54]. This was confirmed by the changes in GA3 content in this study, conforming to findings from the study of Mu et al. [50]. JA can promote plant regeneration [47]. In this study, the JA content reached its peak during the production of callus tissue, suggesting that high levels of JA can mediate the development of callus tissue and provide conditions for root primordium formation. Afterwards, the JA content gradually decreased, indicating the consumption of JA by adventitious root growth and development. Nevertheless, in comparison to the control group, the treatment group presented the higher JA content, indicating that ABT-1 can improve cell regeneration ability and stimulate callus tissue development, thereby enhancing adventitious root formation. As demonstrated in previous studies, SL can regulate root system morphology, and promote lateral roots and root hair production [55,56,57]. Furthermore, in this study, the optimal treatment group presented the highest SL content during the initiation period, and the SL content gradually stabilized after the production of callus tissue, suggesting that ABT-1 can propel a large amount of SL synthesis during the initiation period and provide conditions for adventitious root development.
During plant cuttings, the ratio of endogenous hormone levels bears close relation with the formation of adventitious roots [58]. According to Quan et al. [59], the higher the values of IAA/ABA and IAA/ZR are, the easier it is to form roots. As discovered in this study, the IAA/ABA and IAA/ZR values in the treatment group greatly increased after the formation of callus, indicating that Morus alba L. can be induced to root under the combined action of auxin and endogenous hormones.
5. Conclusions
In summary, all the three plant growth hormones of IAA, IBA and ABT-1, were able to promote the rooting of cuttings of vegetable mulberry and fruit mulberry, with ABT-1 exhibiting the best effect. Among them, the treatment with 1000 mg·L−1 ABT-1 presented the optimal impact on the rooting of vegetable mulberry, with a rooting rate of 63.3% and a rooting effect index of 25.3. The treatment with 500 mg·L−1 ABT-1 showed the optimal impact on the rooting of fruit mulberry, with a rooting rate of 68.7% and a rooting effect index of 34.3. During the rooting process, ABT-1 treatment effectively increased the contents of IAA, IBA, JA and SL, and decreased the contents of ABA, ZR, and GA3, contributing to the production of adventitious roots. The rooting mechanism of plant cuttings is extremely complex, and follow-up studies will focus on molecular biology methods including transcriptomics and proteomics [60], thereby further revealing the rooting mechanism of vegetable mulberry and fruit mulberry cuttings.
Author Contributions
Conceptualization, J.Q. and H.B.; methodology, J.Q. and H.C.; software, H.C. and Y.L.; validation, Y.L., J.S., M.M. and P.D.; Data Curation, H.C., J.S., M.M. and P.D.; writing—original draft preparation, H.C. and Y.L.; writing—review and editing, J.Q. and H.B.; funding acquisition, J.Q. and H.B. All authors have read and agreed to the published version of the manuscript.
Funding
This research was funded by the National Natural Science Foundation of China (grant number 31700549) and Forestry Germplasm Resources Project of Henan Province (grant number 30802649).
Data Availability Statement
Not applicable.
Conflicts of Interest
The authors declare no conflict of interest.
References
- Medina, M.G.; García, D.E.; Moratinos, P.; Cova, L.J. Mulberry (Morus spp.) as fodder resource: Research advances and considerations. Trop. Zool. 2009, 27, 343–362. [Google Scholar]
- Nie, Y.X.; Zhang, Y.B.; Wang, Z.H.; Dong, Y.R. Main points of seedling cultivation and planting methods of mulberry. Hubei Agric. Sci. 2019, 58, 298–300. [Google Scholar] [CrossRef]
- Ma, Y. Research on the Current Situation and Development Countermeasures of Large Scale Sericulture Base Construction in China. Master’s Thesis, Jiangsu University of Science and Technology, Zhenjiang, Chian, 2021. [Google Scholar]
- Qadri, S.F.I.; Sheikh, N.D.; Malik, M.A.; Baqual, M.F.; Mir, M.R.; Sabahat, A.; Ahamad, F. Performance of mulberry saplings in foot hills of kashmir, propagated through cuttings under polyhouse conditions. Int. J. Agric. Stat. Sci. 2011, 7, 125–130. [Google Scholar]
- Yang, X.P.; Yu, H.; Wang, G. Studies on micro-cuttage propagation with hardwood cuttings of Zanthoxylum bungeanum. J. Northwest For. Univ. 2021, 36, 145–149. [Google Scholar] [CrossRef]
- Balestri, E.; Vallerini, F.; Castelli, A.; Lardicci, C. Application of plant growth regulators, a simple technique for improving the establishment success of plant cuttings in coastal dune restoration. Estuar. Coast. Shelf Sci. 2012, 99, 74–84. [Google Scholar] [CrossRef]
- Garay-Arroyo, A.; Sanchez, M.D.; Garcia-Ponce, B.; Azpeitia, E.; Alvarez-Buylla, E.R. Hormone symphony during root growth and development. Dev. Dynam. 2012, 241, 1867–1885. [Google Scholar] [CrossRef] [PubMed]
- Saini, S.; Sharma, I.; Kaur, N.; Pati, P.K. Auxin: A master regulator in plant root development. Plant Cell Rep. 2013, 32, 741–757. [Google Scholar] [CrossRef] [PubMed]
- Zhang, W.X.; Fan, J.J.; Tan, Q.Q.; Zhao, M.M.; Cao, F.L. Mechanisms underlying the regulation of root formation in Malus hupehensis stem cuttings by using exogenous hormones. J. Plant Growth Regul. 2017, 36, 174–185. [Google Scholar] [CrossRef]
- Zhao, Y.Q.; Chen, Y.J.; Jiang, C.; Lu, M.Z.; Zhang, J. Exogenous hormones supplementation improve adventitious root formation in woody plants. Front. Bioeng. Biotechnol. 2022, 10, 1009531. [Google Scholar] [CrossRef]
- Mao, J.P.; Zhang, D.; Zhang, X.; Li, K.; Liu, Z.; Meng, Y.; Lei, C.; Han, M.Y. Effect of exogenous indole-3-butanoic acid (iba) application on the morphology, hormone status, and gene expression of developing lateral roots in malus hupehensis. Sci. Hortic. 2018, 232, 112–120. [Google Scholar] [CrossRef]
- Li, S.M.; Zheng, X.H.; Duan, H.C.; Dong, Q. Effects of ABT-1 treatment on rooting capacity and physiological and biochemical characteristic of crateva unilocalaris cuttings. Acta Agric. Univ. Jiangxiensis 2021, 43, 116–125. [Google Scholar] [CrossRef]
- Zhou, B.; Ren, Y.P.; Mi, Y.F. Effect of iba and abt on endogenous hormones in rooted cuttings of common camptotheca fruit (camptotheca acuminata decne). Fujian J. Agric. Sci. 2017, 32, 387–393. [Google Scholar] [CrossRef]
- Yang, W.X.; Zhuang, J.Q.; Ding, S.Y.; Zhang, M.; Tian, Y.; Wan, S.Y.; Fang, S.Z. Study on cutting cultivation technology and rooting mechanism of Cyclocarya paliurus. Ecol. Chem. Eng. S 2022, 29, 379–389. [Google Scholar] [CrossRef]
- Ouyang, F.Q.; Wang, J.H.; Li, Y. Effects of cutting size and exogenous hormone treatment on rooting of shoot cuttings in norway spruce [Picea abies (L.) karst.]. New For. 2015, 46, 91–105. [Google Scholar] [CrossRef]
- Haissig, B.E. Influence of Indole-3-acetic acid on adventitious root primordia of brittle willow. Planta 1970, 95, 27–35. [Google Scholar] [CrossRef]
- Gao, J.; Liu, X.; Yuan, Y. Water cultured propagation of polygonum multiflorum and dynamic changes of physiological and biochemical characteristics during adventitious roots formation. Chin. J. Chin. Mater. Med. 2011, 36, 375–378. [Google Scholar]
- Han, J.H.; Shao, W.H.; Liu, J.F.; Diao, S.F. Content changes of endogenous hormone and polyphenols during hardwood cuttage progress in Sapindus mukorossi. Non-Wood For. Res. 2019, 37, 37–43+51. [Google Scholar] [CrossRef]
- Oyang, F.Q.; Fu, G.Z.; Wang, J.H.; Mang, J.W.; An, S.P.; Wang, M.Q.; Li, Y. Qualitative analysis of endogenesis hormone and polyphenol during rooting of cuttings in norway spruce (Picea abies). Sci. Silv. Sin. 2015, 51, 155–162. [Google Scholar]
- Zhang, J.C.; Liu, Y.J.; Wang, F.L.; Ma, J.M.; Wei, L.Y.; Jiang, S.X. Physiological and biochemical characteristics of Tamarix taklamakanensis cuttings during rooting stages. Acta Bot. 2018, 38, 484–492. [Google Scholar] [CrossRef]
- Chen, H.L.; Bi, S.W.; Ni, R.Y.; Lei, Y.Z.; Quan, J.E. Effects of different auxin and mass concentration on mulberry cutting rooting. J. Henan Agric. Univ. 2022, 56, 958–967. [Google Scholar] [CrossRef]
- Wang, Y.J. Cutting Propagation Techniques and Rooting Mechanism of Sophora japomica L. Master’s Thesis, Beijing Forestry University, Beijing, China, 2017. [Google Scholar]
- Niu, Q.; Zong, Y.; Qian, M.; Yang, F.; Teng, Y. Simultaneous quantitative determination of major plant hormones in pear flowers and fruit by uplc/esi-ms/ms. Anal. Methods 2014, 6, 1766–1773. [Google Scholar] [CrossRef]
- Li, C.C.; Quan, W.X.; Chen, X.J. Dynamics of endogenous hormones, anatomical structure during the cutting propagation of wild rhododendron sacbrifolium franch. Pak. J. Bot. 2017, 49, 2295–2299. [Google Scholar]
- Hou, J.T.; Shen, C.C.; Zhang, Y.F.; Ling, N. Review on rooting mechanism of plant cuttings propagation. J. Anhui Agric. Sci. 2019, 47, 1–3, 6. [Google Scholar] [CrossRef]
- Mishra, J.P.; Bhadrawale, D.; Rana, P.K.; Mishra, Y. Evaluation of cutting diameter and hormones for clonal propagation of Bambusa balcooa roxb. J. For. Res. 2019, 24, 320–324. [Google Scholar] [CrossRef]
- Jiang, K.; Feldman, L.J. Root meristem establishment and maintenance: The role of auxin. J. Plant Growth Regul. 2002, 21, 432–440. [Google Scholar] [CrossRef]
- Fukaki, H.; Okushima, Y.; Tasaka, M. Auxin-mediated lateral root formation in higher plants. In International Review of Cytology—A Survey of Cell Biology; K. W. Jeon: Nara, Japan, 2007; Volume 256, pp. 111–137. [Google Scholar]
- Fang, T.; Motte, H.; Parizot, B.; Beeckman, T. Root branching is not induced by auxins in selaginella moellendorffii. Front. Plant. Sci. 2019, 10, 154. [Google Scholar] [CrossRef]
- Ruan, R.G. Effect of plant growth regulators on cutting rooting of Acacia mangium. J. Green Sci. Tech. 2022, 24, 86–89. [Google Scholar] [CrossRef]
- Jiang, X.; Hu, R.C.; Cai, J.B.; He, J.; Wang, Y.; Han, C.Y.; Wu, F.F.; Nie, G. Effects of different auxin on cuttage seedling of Trifolium repens. J. Grass. Forage. Sci. 2021, 5, 11–18. [Google Scholar] [CrossRef]
- Raju, N.L.; Prasad, M.N.V. Influence of growth hormones on adventitious root formation in semi-hardwood cuttings of celasturs paniculatus willd.: A contribution for rapid multiplication and conservation management. Agrofor. Syst. 2010, 79, 249–252. [Google Scholar] [CrossRef]
- Stefancic, M.; Stampar, F.; Osterc, G. Influence of iaa and iba on root development and quality of prunus ‘gisela 5’ leafy cuttings. Hortscience 2005, 40, 2052–2055. [Google Scholar] [CrossRef]
- Singh, K.K.; Choudhary, T.; Kumar, A. Effect of various concentrations of iba and naa on the rooting of stem cuttings of mulberry (Morus alba L.) under mist house condition in garhwal hill region. Indian J. Hill Farm. 2015, 27, 74–77. [Google Scholar]
- Hu, Y.J.; Omary, M.; Hu, Y.; Doron, O.; Hoermayer, L.; Chen, Q.G.; Megides, O.; Chekli, O.; Ding, Z.J.; Friml, J.; et al. Cell kinetics of auxin transport and activity in arabidopsis root growth and skewing. Nat. Commun. 2021, 12, 1657. [Google Scholar] [CrossRef] [PubMed]
- Die, H.U.; Xinru, H.E.; Yongzheng, M.A.; Fei, Y. Effects of abt on the morphogenesis and inclusions of Taxus chinensis (pilger) rehd f. Baokangsis cutting rooting. Not. Bot. Horti Agrobot. 2021, 49, 12200. [Google Scholar] [CrossRef]
- Shuting, W.; Guodong, S.; Ying, L.; Wenjun, Q.; Kai, F.; Zhaotang, D.; Jianhui, H. Role of iaa and primary metabolites in two rounds of adventitious root formation in softwood cuttings of Camellia sinensis (L.). Agronomy 2022, 12, 2486. [Google Scholar] [CrossRef]
- Xie, A.D.; Jin, D.X.; Hou, W.T.; Jiang, Z.Y.; Song, C.; Wu, H.Y.; Ke, Y.F.; Ren, A. Effects of plant growth regulator abt on rooting of climbing rose cuttings and the correlations and principal components analysis. J. Anhui Agric. Sci. 2022, 50, 123–126. [Google Scholar] [CrossRef]
- Hu, H.; Chai, N.; Zhu, H.X.; Li, R.; Huang, R.W.; Wang, X.; Liu, D.F.; Li, M.Y.; Song, X.R.; Sui, S.Z. Factors affecting vegetative propagation of wintersweet (Chimonanthus praecox) by softwood cuttings. Hortscience 2020, 55, 1853–1860. [Google Scholar] [CrossRef]
- Sun, J.; Xia, J.; Zhao, X.; Su, L.; Liu, P. Effects of 1-aminobenzotriazole on the growth and physiological characteristics of tamarix chinensis cuttings under salt stress. J. For. Res. 2020, 32, 1641–1651. [Google Scholar] [CrossRef]
- Li, S.; Huang, P.; Ding, G.; Zhou, L.; Tang, P.; Sun, M.; Zheng, Y.; Lin, S. Optimization of hormone combinations for root growth and bud germination in chinese fir (Cunninghamia lanceolata) clone leaf cuttings. Sci. Rep. 2017, 7, 5046. [Google Scholar] [CrossRef]
- Xie, T.T.; Ji, J.; Chen, W.; Yue, J.Y.; Du, C.J.; Sun, J.C.; Chen, L.Z.; Jiang, Z.P.; Shi, S.Q. Gaba negatively regulates adventitious root development in poplar. J. Exp. Bot. 2019, 71, 1459–1474. [Google Scholar] [CrossRef]
- Deng, S.C.; Tian, Y.P.; Chen, L.B.; Chen, C.L.; Xu, P.Z.; Pang, D.D.; Bao, Y.X.; Li, Y.Y. Effects of abt rooting powders on endogenous hormone levels and cuttings rooting of big-leaf tea plants. Acta Agric. Jiangxi 2021, 33, 43–48. [Google Scholar] [CrossRef]
- Shang, W.Q.; Wang, Z.; He, S.L.; He, D.; Dong, N.L.; Guo, Y. Changes of endogenous iaa and related enzyme activities during rooting of Paeonia suffruticosa in vitro. J. Northwest AF Univ. (Nat. Sci. Ed.) 2021, 49, 129–136. [Google Scholar] [CrossRef]
- Zhang, D. Study on the Interaction of Two Indoles Plant Growth Regulators with Protein and DNA. Master’s Thesis, Nanchang University, Nanchang, China, 2022. [Google Scholar]
- Heide, O.M. Stimulation of adventitious bud formation in begonia leaves by abscisic acid. Nature 1968, 219, 960–961. [Google Scholar] [CrossRef]
- Liu, G.B.; Zhao, J.Z.; Liao, T.; Wang, Y.; Guo, L.Q.; Yao, Y.W.; Cao, J. Histological dissection of cutting-inducible adventitious rooting in platycladus orientalis reveals developmental endogenous hormonal homeostasis. Ind. Crop. Prod. 2021, 170, 113817. [Google Scholar] [CrossRef]
- Uwe, D.; Philipp, F.; Hajirezaei, M.R. Plant hormone homeostasis, signaling, and function during adventitious root formation in cuttings. Front. Plant Sci. 2016, 7, 381. [Google Scholar] [CrossRef]
- Liu, M.G.; Wang, L.; Dong, S.J.; Cai, X.D. Endogenous hormone variation in cuttings of thuja occidentalis l. In the period of adventitious root formation. J. Shenyang Agric. Univ. 2010, 41, 555–559. [Google Scholar] [CrossRef]
- Mu, H.Z.; Jin, X.H.; Ma, X.Y.; Zhao, A.Q.; Gao, Y.T.; Lin, L. Ortet age effect, anatomy and physiology of adventitious rooting in Tilia mandshurica softwood cuttings. Forests 2022, 13, 1427. [Google Scholar] [CrossRef]
- Shao, F.; Wang, S.; Huang, W.; Liu, Z. Effects of iba on the rooting of branch cuttings of chinese jujube (zizyphus jujuba mill.) and changes to nutrients and endogenous hormones. J. For. Res. 2018, 29, 1557–1567. [Google Scholar] [CrossRef]
- Yan, S.P.; Yang, R.H.; Wang, F.; Sun, L.N.; Song, X.S. Effect of auxins and associated metabolic changes on cuttings of hybrid aspen. Forests 2017, 8, 117. [Google Scholar] [CrossRef]
- Lv, G.X.; Meng, Y.D.; Qing, J.; He, F.; Liu, P.F.; Du, Q.X.; Du, H.Y.; Du, L.Y.; Wang, L. Changes of anatomical structure and physiology during softwood cutting rooting of Eucommia ulmoides ‘huazhong no. 6’. Sci. Silv. Sin. 2022, 58, 113–124. [Google Scholar]
- Koyama, R.; Ribeiro Junior, W.A.; Zeffa, D.M.; Faria, R.T.; Saito, H.M.; Azeredo Goncalves, L.S.; Roberto, S.R. Association of indolebutyric acid with azospirillum brasilense in the rooting of herbaceous blueberry cuttings. Horticulturae 2019, 5, 68. [Google Scholar] [CrossRef]
- Kapulnik, Y.; Delaux, P.M.; Resnick, N.; Koltai, H. Strigolactones affect lateral root formation and root-hair elongation in Arabidopsis. Planta 2010, 233, 209–216. [Google Scholar] [CrossRef]
- Ruyter-Spira, C.; Kohlen, W.; Charnikhova, T.; Zeijl, A.V.; Bezouwen, L.V.; Ruijter, N.D.; Cardoso, C.; Lopez-Raez, J.A.; Matusova, R.; Bours, R. Physiological effects of the synthetic strigolactone analog gr24 on root system architecture in arabidopsis: Another belowground role for strigolactones? J. Plant Physiol. 2011, 155, 721–743. [Google Scholar] [CrossRef] [PubMed]
- Brewer, P.B.; Koltai, H.; Beveridge, C.A. Diverse roles of strigolactones in plant development. Mol. Biol. 2013, 6, 18–28. [Google Scholar] [CrossRef]
- Huang, T.; Zhang, H.H.; Sheng, Q.Q.; Zhu, Z.L. Morphological, anatomical, physiological and biochemical changes during adventitious roots formation of Bougainvillea buttiana ‘miss manila’. Horticulturae 2022, 8, 1156. [Google Scholar] [CrossRef]
- Quan, J.E.; Ni, R.Y.; Wang, Y.G.; Sun, J.J.; Ma, M.Y.; Bi, H.T. Effects of different growth regulators on the rooting of catalpa bignonioides softwood cuttings. Life 2022, 12, 1231. [Google Scholar] [CrossRef] [PubMed]
- Liu, L.; Jiang, P.; Huang, Y.; Ynag, Y.; Gou, J.; Zhao, D.; Wang, T.; Dai, W.; Qi, D.M.; Hu, J.Y. Preliminary study on twig cuttage and its rooting mechanism of Rosa damascene miller. Seed 2020, 39, 92–100. [Google Scholar] [CrossRef]
Disclaimer/Publisher’s Note: The statements, opinions and data contained in all publications are solely those of the individual author(s) and contributor(s) and not of MDPI and/or the editor(s). MDPI and/or the editor(s) disclaim responsibility for any injury to people or property resulting from any ideas, methods, instructions or products referred to in the content. |
© 2023 by the authors. Licensee MDPI, Basel, Switzerland. This article is an open access article distributed under the terms and conditions of the Creative Commons Attribution (CC BY) license (https://creativecommons.org/licenses/by/4.0/).

