Ethanol and Methyl Jasmonate Fumigation Impact on Quality, Antioxidant Capacity, and Phytochemical Content of Broccoli Florets during Storage †
Abstract
1. Introduction
2. Materials and Methods
2.1. Broccoli
2.2. Selection of the Optimal Dose of Ethanol and MeJA
2.3. Treatments and Storage Conditions
2.4. Color and Respiration Rate of Broccoli Florets
2.5. Chemical Assays
2.6. Glucosinolates and Hydroxycinnamic Acid Analysis
2.7. Statistical Analysis
3. Results and Discussion
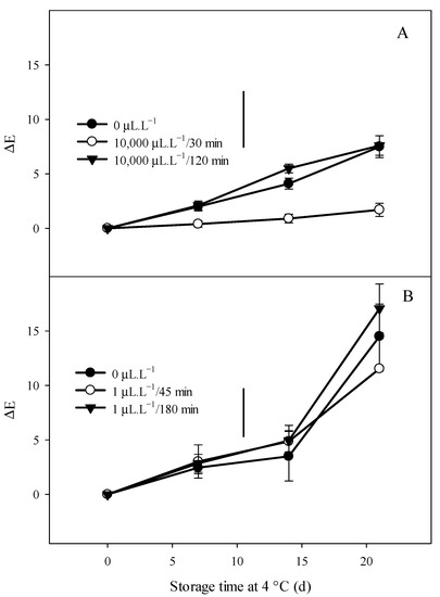
3.1. Hormetic Dose
3.2. Color Evolution and Respiration Rate during Storage
3.3. Secondary Metabolism Modification by Ethanol and Methyl Jasmonate
4. Conclusions
Author Contributions
Funding
Institutional Review Board Statement
Informed Consent Statement
Data Availability Statement
Acknowledgments
Conflicts of Interest
References
- Moreno, D.A.; Carvajal, M.; López-Berenguer, C.; García-Viguera, C. Chemical and biological characterisation of nutraceutical compounds of broccoli. J. Pharm. Biomed. Anal. 2006, 41, 1508–1522. [Google Scholar] [CrossRef] [PubMed]
- Traka, M.; Gasper, A.V.; Melchini, A.; Bacon, J.R.; Needs, P.W.; Frost, V.; Chantry, A.; Jones, A.M.; Ortori, C.A.; Barrett, D.A.; et al. Broccoli consumption interacts with GSTM1 to perturb oncogenic signalling pathways in the prostate. PLoS ONE 2008, 3, e2568. [Google Scholar] [CrossRef] [PubMed]
- Rangkadilok, N.; Tomkins, B.; Nicolas, M.E.; Premier, R.R.; Bennett, R.N.; Eagling, D.R.; Taylor, P.W.J. The effect of post-harvest and packaging treatments on glucoraphanin concentration in broccoli (Brassica oleracea var. Italica). J. Agric. Food Chem. 2002, 50, 7386–7391. [Google Scholar] [CrossRef] [PubMed]
- Forney, C.F. Hot-water dips extend the shelf life of fresh broccoli. HortScience 1995, 30, 1054–1057. [Google Scholar] [CrossRef]
- Fukasawa, A.; Suzuki, Y.; Terai, H.; Yamauchi, N. Effects of postharvest ethanol vapor treatment on activities and gene expression of chlorophyll catabolic enzymes in broccoli florets. Postharvest Biol. Technol. 2010, 55, 97–102. [Google Scholar] [CrossRef]
- Toivonen, P.M.A.; Forney, C. Broccoli. In The Commercial Storage of Fruits, Vegetables, and Florist and Nursery Stocks; Gross, K.C., Wang, C.Y., Saltveit, M., Eds.; USDA, ARS: Washington, DC, USA, 2016; Volume 66, pp. 248–251. [Google Scholar]
- Troyer, J.K.; Stephenson, K.K.; Fahey, J.W. Analysis of glucosinolates from broccoli and other cruciferous vegetables by hydrophilic interaction liquid chromatography. J. Chromatogr. A 2001, 919, 299–304. [Google Scholar] [CrossRef]
- Textor, S.; Gershenzon, J. Herbivore induction of the glucosinolate–myrosinase defense system: Major trends, biochemical bases and ecological significance. Phytochem. Rev. 2009, 8, 149–170. [Google Scholar] [CrossRef]
- Mewis, I.; Schreiner, M.; Nguyen, C.N.; Krumbein, A.; Ulrichs, C.; Lohse, M.; Zrenner, R. UV-B irradiation changes specifically the secondary metabolite profile in broccoli sprouts: Induced signaling overlaps with defense response to biotic stressors. Plant Cell Physiol. 2012, 53, 1546–1560. [Google Scholar] [CrossRef]
- Charles, M.T.; Tano, K.; Asselin, A.; Arul, J. Physiological basis of UV-C induced resistance to Botrytis cinerea in tomato fruit. V. Constitutive defence enzymes and inducible pathogenesis-related proteins. Postharvest Biol. Technol. 2009, 51, 414–424. [Google Scholar] [CrossRef]
- Cisneros-Zevallos, L. The use of controlled postharvest abiotic stresses as a tool for enhancing the nutraceutical content and adding-value of fresh fruits and vegetables. J. Food Sci. 2003, 68, 1560–1565. [Google Scholar] [CrossRef]
- Terry, L.A.; Joyce, D.C. Elicitors of induced disease resistance in postharvest horticultural crops: A brief review. Postharvest Biol. Technol. 2004, 32, 1–13. [Google Scholar] [CrossRef]
- Wang, K.; Jin, P.; Shang, H.; Zheng, Y. Effect of methyl jasmonate in combination with ethanol treatment on postharvest decay and antioxidant capacity in chinese bayberries. J. Agric. Food Chem. 2010, 58, 9597–9604. [Google Scholar] [CrossRef] [PubMed]
- Wang, Q.; Nie, X.; Cantwell, M. Hot water and ethanol treatments can effectively inhibit the discoloration of fresh-cut sunchoke (Helianthus tuberosus L.) tubers. Postharvest Biol. Technol. 2014, 94, 49–57. [Google Scholar] [CrossRef]
- Zhang, W.; Li, X.; Wang, X.; Wang, G.; Zheng, J.; Abeysinghe, D.C.; Ferguson, I.B.; Chen, K. Ethanol vapour treatment alleviates postharvest decay and maintains fruit quality in Chinese bayberry. Postharvest Biol. Technol. 2007, 46, 195–198. [Google Scholar] [CrossRef]
- Jin, Y.Z.; Lv, D.Q.; Liu, W.W.; Qi, H.Y.; Bai, X.H. Ethanol vapor treatment maintains postharvest storage quality and inhibits internal ethylene biosynthesis during storage of oriental sweet melons. Postharvest Biol. Technol. 2013, 86, 372–380. [Google Scholar] [CrossRef]
- Asoda, T.; Terai, H.; Kato, M.; Suzuki, Y. Effects of postharvest ethanol vapor treatment on ethylene responsiveness in broccoli. Postharvest Biol. Technol. 2009, 52, 216–220. [Google Scholar] [CrossRef]
- Corcuff, R.; Arul, J.; Hamza, F.; Castaigne, F.; Makhlouf, J. Storage of broccoli florets in ethanol vapor enriched atmospheres. Postharvest Biol. Technol. 1996, 7, 219–229. [Google Scholar] [CrossRef]
- Mori, T.; Terai, H.; Yamauchi, N.; Suzuki, Y. Effects of postharvest ethanol vapor treatment on the ascorbate–glutathione cycle in broccoli florets. Postharvest Biol. Technol. 2009, 52, 134–136. [Google Scholar] [CrossRef]
- Albano, E. Alcohol, oxidative stress and free radical damage. Proc. Nutr. Soc. 2006, 65, 278–290. [Google Scholar] [CrossRef]
- Sergent, O.; Pereira, M.; Belhomme, C.; Chevanne, M.; Huc, L.; Lagadic-Gossmann, D. Role for membrane fluidity in ethanol-induced oxidative stress of primary rat hepatocytes. J. Pharmacol. Exp. Ther. 2005, 313, 104. [Google Scholar] [CrossRef]
- Rohwer, C.L.; Erwin, J.E. Horticultural applications of jasmonates: A review. J. Hortic. Sci. Biotechnol. 2008, 83, 283–304. [Google Scholar] [CrossRef]
- Koo, A.J.K.; Howe, G.A. The wound hormone jasmonate. Phytochemistry 2009, 70, 1571–1580. [Google Scholar] [CrossRef] [PubMed]
- Vezzulli, S.; Civardi, S.; Ferrari, F.; Bavaresco, L. Methyl jasmonate treatment as a trigger of resveratrol synthesis in cultivated grapevine. Am. J. Enol. Vitic. 2007, 58, 530. [Google Scholar] [CrossRef]
- Wiesner, M.; Hanschen, F.S.; Schreiner, M.; Glatt, H.; Zrenner, R. Induced production of 1-methoxy-indol-3-ylmethyl glucosinolate by jasmonic acid and methyl jasmonate in sprouts and leaves of pak choi (Brassica rapa ssp. chinensis). Int. J. Mol. Sci. 2013, 14, 14996–15016. [Google Scholar] [CrossRef] [PubMed]
- Zhang, L.; Xing, D. Methyl jasmonate induces production of reactive oxygen species and alterations in mitochondrial dynamics that precede photosynthetic dysfunction and subsequent cell death. Plant Cell Physiol. 2008, 49, 1092–1111. [Google Scholar] [CrossRef]
- Acevedo, C.; Sanchez, E.; Young, M.E.; Simpson, R. Prediction correlation of vapor pressure for methyl jasmonate. J. Food Eng. 2003, 59, 431–433. [Google Scholar] [CrossRef]
- Duarte-Sierra, A.; Forney, C.F.; Michaud, D.; Angers, P.; Arul, J. Influence of hormetic heat treatment on quality and phytochemical compounds of broccoli florets during storage. Postharvest Biol. Technol. 2017, 128, 44–53. [Google Scholar] [CrossRef]
- Warren, C.R. Rapid Measurement of Chlorophylls with a Microplate Reader. J. Plant Nutr. 2008, 31, 1321–1332. [Google Scholar] [CrossRef]
- Dao, T.; Dantigny, P. Control of food spoilage fungi by ethanol. Food Control 2011, 22, 360–368. [Google Scholar] [CrossRef]
- Duarte-Sierra, A.; Forney, C.F.; Thomas, M.; Angers, P.; Arul, J. Phytochemical Enhancement in Broccoli Florets after Harvest by Controlled Doses of Ozone. Foods 2022, 11, 2195. [Google Scholar] [CrossRef]
- Duarte-Sierra, A.; Munzoor Hasan, S.M.; Angers, P.; Arul, J. UV-B radiation hormesis in broccoli florets: Glucosinolates and hydroxy-cinnamates are enhanced by UV-B in florets during storage. Postharvest Biol. Technol. 2020, 168, 111278. [Google Scholar] [CrossRef]
- Duarte-Sierra, A.; Thomas, M.; Angers, P.; Arul, J. Hydrogen Peroxide Can Enhance the Synthesis of Bioactive Compounds in Harvested Broccoli Florets. Front. Sustain. Food Syst. 2022, 6, 812123. [Google Scholar] [CrossRef]
- Podd, L.A.; Van Staden, J. The role of ethanol and acetaldehyde in flower senescence and fruit ripening—A review. Plant Growth Regul. 1998, 26, 183–189. [Google Scholar] [CrossRef]
- Jones, R.P. Biological principles for the effects of ethanol. Enzym. Microb. Technol. 1989, 11, 130–153. [Google Scholar] [CrossRef]
- Burdon, J.; Dori, S.; Marinansky, R.; Pesis, E. Acetaldehyde inhibition of ethylene biosynthesis in mango fruit. Postharvest Biol. Technol. 1996, 8, 153–161. [Google Scholar] [CrossRef]
- Pesis, E.; Marinansky, R. Carbon dioxide and ethylene production by harvested grape berries in response to acetaldehyde and ethanol. J. Am. Soc. Hortic. Sci. Jashs 1992, 117, 110–113. [Google Scholar] [CrossRef]
- Pesis, E. The role of the anaerobic metabolites, acetaldehyde and ethanol, in fruit ripening, enhancement of fruit quality and fruit deterioration. Postharvest Biol. Technol. 2005, 37, 1–19. [Google Scholar] [CrossRef]
- Nimitkeatkai, H.; Shishido, M.; Okawa, K.; Ohara, H.; Ban, Y.; Kita, M.; Moriguchi, T.; Ikeura, H.; Hayata, Y.; Kondo, S. Effect of jasmonates on ethylene biosynthesis and aroma volatile emission in japanese apricot infected by a pathogen (Colletotrichum gloeosporioides). J. Agric. Food Chem. 2011, 59, 6423–6429. [Google Scholar] [CrossRef]
- Zhao, J.; Davis, L.C.; Verpoorte, R. Elicitor signal transduction leading to production of plant secondary metabolites. Biotechnol. Adv. 2005, 23, 283–333. [Google Scholar] [CrossRef]
- Tian, M.S.; Downs, C.G.; Lill, R.E.; King, G.A. A role for ethylene in the yellowing of broccoli after harvest. J. Am. Soc. Hortic. Sci. Jashs 1994, 119, 276–281. [Google Scholar] [CrossRef]
- Fan, X.; Mattheis, J.P. Methyl jasmonate promotes apple fruit degreening independently of ethylene action. HortScience 1999, 34, 310–312. [Google Scholar] [CrossRef]
- Shan, X.; Zhang, Y.; Peng, W.; Wang, Z.; Xie, D. Molecular mechanism for jasmonate-induction of anthocyanin accumulation in Arabidopsis. J. Exp. Bot. 2009, 60, 3849–3860. [Google Scholar] [CrossRef] [PubMed]
- Bodnaryk, R.P. Potent effect of jasmonates on indole glucosinolates in oilseed rape and mustard. Phytochemistry 1994, 35, 301–305. [Google Scholar] [CrossRef]
- Goldstein, D.B. Effect of alcohol on cellular membranes. Ann. Emerg. Med. 1986, 15, 1013–1018. [Google Scholar] [CrossRef] [PubMed]
- Gibson Wood, W.; Schroeder, F. Membrane effects of ethanol: Bulk lipid versus lipid domains. Life Sci. 1988, 43, 467–475. [Google Scholar] [CrossRef]
- Dufour, E.; Haertl’, T. Alcohol-induced changes of β-lactoglobulin—Retinol-binding stoichiometry. Protein Eng. Des. Sel. 1990, 4, 185–190. [Google Scholar] [CrossRef]
- Cossins, E.A.; Beevers, H. Ethanol metabolism in plant tissues. Plant Physiol. 1963, 38, 375–380. [Google Scholar] [CrossRef]
- Fletcher, J.S.; Beevers, H. Acetate metabolism in cell suspension cultures. Plant Physiol. 1970, 45, 765–772. [Google Scholar] [CrossRef]
- Brader, G.; Tas, E.; Palva, E.T. Jasmonate-dependent induction of indole glucosinolates in Arabidopsis by culture filtrates of the nonspecific pathogen Erwinia carotovora. Plant Physiol. 2001, 126, 849–860. [Google Scholar] [CrossRef]
- Doughty, K.J.; Kiddle, G.A.; Pye, B.J.; Wallsgrove, R.M.; Pickett, J.A. Selective induction of glucosinolates in oilseed rape leaves by methyl jasmonate. Phytochemistry 1995, 38, 347–350. [Google Scholar] [CrossRef]
- Pérez-Balibrea, S.; Moreno, D.A.; García-Viguera, C. Improving the phytochemical composition of broccoli sprouts by elicitation. Food Chem. 2011, 129, 35–44. [Google Scholar] [CrossRef]
- Fahey, J.W.; Zhang, Y.; Talalay, P. Broccoli sprouts: An exceptionally rich source of inducers of enzymes that protect against chemical carcinogens. Proc. Natl. Acad. Sci. USA 1997, 94, 10367. [Google Scholar] [CrossRef] [PubMed]
- Ku, K.M.; Choi, J.-H.; Kushad, M.M.; Jeffery, E.H.; Juvik, J.A. Pre-harvest methyl jasmonate treatment enhances cauliflower chemoprotective attributes without a loss in postharvest quality. Plant Foods Hum. Nutr. 2013, 68, 113–117. [Google Scholar] [CrossRef] [PubMed]
- Hudgins, J.W.; Franceschi, V.R. Methyl jasmonate-induced ethylene production is responsible for conifer phloem defense responses and reprogramming of stem cambial zone for traumatic resin duct formation. Plant Physiol. 2004, 135, 2134. [Google Scholar] [CrossRef] [PubMed]
- Xu, Y.; Chang, P.F.L.; Liu, D.; Narasimhan, M.L.; Raghothama, K.G.; Hasegawa, P.M.; Bressan, R.A. Plant defense genes are synergistically induced by ethylene and methyl jasmonate. Plant Cell 1994, 6, 1077–1085. [Google Scholar] [CrossRef]
- Xu, F.; Chen, X.; Jin, P.; Wang, X.; Wang, J.; Zheng, Y. Effect of ethanol treatment on quality and antioxidant activity in postharvest broccoli florets. Eur. Food Res. Technol. 2012, 235, 793–800. [Google Scholar] [CrossRef]
- Sharan, M.; Taguchi, G.; Gonda, K.; Jouke, T.; Shimosaka, M.; Hayashida, N.; Okazaki, M. Effects of methyl jasmonate and elicitor on the activation of phenylalanine ammonia-lyase and the accumulation of scopoletin and scopolin in tobacco cell cultures. Plant Sci. 1998, 132, 13–19. [Google Scholar] [CrossRef]
- Wang, S.Y.; Zheng, W. Preharvest application of methyl jasmonate increases fruit quality and antioxidant capacity in raspberries. Int. J. Food Sci. Technol. 2005, 40, 187–195. [Google Scholar] [CrossRef]
- Wang, S.Y.; Bowman, L.; Ding, M. Methyl jasmonate enhances antioxidant activity and flavonoid content in blackberries (Rubus sp.) and promotes antiproliferation of human cancer cells. Food Chem. 2008, 107, 1261–1269. [Google Scholar] [CrossRef]







| Ethanol | MeJA | |
|---|---|---|
| Glucobrassicin (g.kg−1) | ||
| Control | 10.9 ± 0.8 | 8.4 ± 0.8 |
| Hormetic dose | 11.9 ± 1.5 | 8.9 ± 0.2 |
| High dose | 11.8 ± 0.9 | 8.9 ± 0.5 |
| Neoglucobrassicin (g.kg−1) | ||
| Control | 4.3 ± 0.3 | 4.9 ± 0.3 |
| Hormetic dose | 4.8 ± 0.6 | 6.2 ± 0.4 * |
| High dose | 4.9 ± 0.4 | 5.9 ± 0.4 * |
| 4-Hydroxyglucobrassicin (g.kg−1) | ||
| Control | 1.7 ± 0.1 | 1.8 ± 0.0 |
| Hormetic dose | 1.9 ± 0.3 | 2.5 ± 0.3 * |
| High dose | 2.0 ± 0.2 | 2.6 ± 0.3 * |
| 4-Methoxyglucobrassicin (g.kg−1) | ||
| Control | 3.1 ± 0.3 | 2.6 ± 0.1 |
| Hormetic dose | 3.5 ± 0.3 | 2.8 ± 0.2 |
| High dose | 3.4 ± 0.2 | 2.9 ± 0.2 |
| Ethanol | MeJA | |
|---|---|---|
| 1,2-Disinapoylgentibiose (g.kg−1) | ||
| Control | 2.2 ± 0.1 | 2.3 ± 0.2 |
| Hormetic dose | 2.5 ± 0.1 | 2.4 ± 0.1 |
| High dose | 2.5 ± 0.3 | 2.5 ± 0.1 |
| 1-sinapoyl-2-feruloylgentibiose (g.kg−1) | ||
| Control | 4.9 ± 0.2 | 4.6 ± 0.1 |
| Hormetic dose | 5.9 ± 0.4 * | 4.8 ± 0.2 |
| High dose | 5.9 ± 0.4 * | 5.1 ± 0.3 * |
| 1,2-Diferuoylgentiobiose (g.kg−1) | ||
| Control | 1.3 ± 0.1 | 1.1 ± 0.1 |
| Hormetic dose | 1.5 ± 0.1 | 1.1 ± 0.1 |
| High dose | 1.5 ± 0.1 | 1.2 ± 0.2 |
| 1,2,2-Trisinapoylgentibiose (g.kg−1) | ||
| Control | 1.5 ± 0.1 | 1.8 ± 0.1 |
| Hormetic dose | 1.7 ± 0.1 | 1.9 ± 0.0 |
| High dose | 1.7 ± 0.1 | 2.0 ± 0.1 |
| 1,2-Disynalpoyl-2-feruloylgentiobiose (g.kg−1) | ||
| Control | 2.0 ± 0.2 | 2.6 ± 0.1 |
| Hormetic dose | 2.4 ± 0.2 | 2.7 ± 0.1 |
| High dose | 2.3 ± 0.1 | 2.9 ± 0.2 |
| Ethanol | MeJA | |
|---|---|---|
| ORAC (g.kg−1) | ||
| Control | 149.5 ± 5.7 | 180.6 ± 11.8 |
| Hormetic dose | 150.1 ± 3.9 | 137.3 ± 12.8 * |
| High dose | 147.7 ± 4.1 | 134.6 ± 7.7 * |
| Total ascorbic acid (g.kg−1) | ||
| Control | 14.1 ± 0.4 | 8.9 ± 0.5 |
| Hormetic dose | 13.7 ± 0.5 | 8.7 ± 0.5 |
| High dose | 14.1 ± 0.7 | 8.7 ± 0.6 |
| Reduced ascorbic acid (g.kg−1) | ||
| Control | 10.1 ± 0.3 | 5.7 ± 0.3 |
| Hormetic dose | 9.9 ± 0.3 | 5.5 ± 0.4 |
| High dose | 9.9 ± 0.3 | 5.4 ± 0.3 |
| Oxidized ascorbic acid (g.kg−1) | ||
| Control | 4.0 ± 0.1 | 3.2 ± 0.2 |
| Hormetic dose | 3.8 ± 0.2 | 3.3 ± 0.1 |
| High dose | 4.2 ± 0.4 | 3.3 ± 0.3 |
| Total phenols (g.kg−1) | ||
| Control | 12.8 ± 0.3 | 14.5 ± 0.6 |
| Hormetic dose | 14.8 ± 0.4 * | 14.5 ± 0.5 |
| High dose | 15.1 ± 0.2 * | 14.7 ± 0.8 |
| Total flavonoids (g.kg−1) | ||
| Control | 3.7 ± 0.4 | 4.0 ± 0.4 |
| Hormetic dose | 3.7 ± 0.1 | 3.9 ± 0.2 |
| High dose | 4.0 ± 0.2 | 4.5 ± 0.4 |
| Chlorogenic acid (g.kg−1) | ||
| Control | 2.2 ± 0.1 | 1.9 ± 0.1 |
| Hormetic dose | 2.5 ± 0.2 | 2.0 ± 0.1 |
| High dose | 2.5 ± 0.2 | 2.0 ± 0.1 |
| Kaempferol (g.kg−1) | ||
| Control | 1.6 ± 0.1 | 1.4 ± 0.1 |
| Hormetic dose | 2.0 ± 0.2 * | 1.5 ± 0.1 |
| High dose | 2.0 ± 0.1 * | 1.5±0.1 |
Disclaimer/Publisher’s Note: The statements, opinions and data contained in all publications are solely those of the individual author(s) and contributor(s) and not of MDPI and/or the editor(s). MDPI and/or the editor(s) disclaim responsibility for any injury to people or property resulting from any ideas, methods, instructions or products referred to in the content. |
© 2023 by the authors. Licensee MDPI, Basel, Switzerland. This article is an open access article distributed under the terms and conditions of the Creative Commons Attribution (CC BY) license (https://creativecommons.org/licenses/by/4.0/).
Share and Cite
Duarte-Sierra, A.; Thomas, M.; Arul, J. Ethanol and Methyl Jasmonate Fumigation Impact on Quality, Antioxidant Capacity, and Phytochemical Content of Broccoli Florets during Storage. Horticulturae 2023, 9, 465. https://doi.org/10.3390/horticulturae9040465
Duarte-Sierra A, Thomas M, Arul J. Ethanol and Methyl Jasmonate Fumigation Impact on Quality, Antioxidant Capacity, and Phytochemical Content of Broccoli Florets during Storage. Horticulturae. 2023; 9(4):465. https://doi.org/10.3390/horticulturae9040465
Chicago/Turabian StyleDuarte-Sierra, Arturo, Minty Thomas, and Joseph Arul. 2023. "Ethanol and Methyl Jasmonate Fumigation Impact on Quality, Antioxidant Capacity, and Phytochemical Content of Broccoli Florets during Storage" Horticulturae 9, no. 4: 465. https://doi.org/10.3390/horticulturae9040465
APA StyleDuarte-Sierra, A., Thomas, M., & Arul, J. (2023). Ethanol and Methyl Jasmonate Fumigation Impact on Quality, Antioxidant Capacity, and Phytochemical Content of Broccoli Florets during Storage. Horticulturae, 9(4), 465. https://doi.org/10.3390/horticulturae9040465

