Exploration of Phenolic Content and Antioxidant Potential from Plants Used in Traditional Medicine in Viesca, Mexico
Abstract
:1. Introduction
2. Materials and Methods
2.1. Reagents
2.2. Plant Material
2.3. Obtaining Plant Extracts
2.4. Evaluation of the Phenolic Content of 23 Plants
2.5. Evaluation of Extraction Methods
2.5.1. Quantification of Phenols
2.5.2. Antioxidant Activity Assay
DPPH Assay
FRAP Assay
ABTS Assay
2.6. RP-HPLC-ESI-MS Analysis
2.7. Statistical Analysis
3. Results
3.1. Evaluation of the Phenolic Content of 23 Plants
3.2. Evaluation of Extraction Methods
3.2.1. Antioxidant Activity Assay
DPPH Assay
FRAP Assay
ABTS Assay
3.3. Analysis of the Extraction Methods Evaluated
3.4. RP-HPLC-ESI-MS Analysis
4. Conclusions
Author Contributions
Funding
Data Availability Statement
Acknowledgments
Conflicts of Interest
References
- Contreras-Esquivel, J.C.; Cano-González, C.N.; Ascacio-Valdes, J.; Aguirre-Joya, J.A.; Aguillón-Gutierrez, D.; Breccia, J.; Espinoza-Perez, J.D.; Aguilar, C.N.; Torres-León, C. Polyphenolic-Rich Extracts from the Leaves of Ilex Paraguariensis and Larrea Divaricata and Their Antioxidant and AntiCOVID-19 Potential. Biotecnia 2023, 25, 61–66. [Google Scholar] [CrossRef]
- Newman, D.J.; Cragg, G.M. Natural Products as Sources of New Drugs over the Nearly Four Decades from 01/1981 to 09/2019. J. Nat. Prod. 2020, 83, 770–803. [Google Scholar] [CrossRef]
- Rao, H.; Rao, I.; Saeed, L.; Aati, H.Y.; Aati, S.; Zeeshan, M.; ur Rehman Khan, K. Phytochemical Analysis and Bioactivity Assessment of Five Medicinal Plants from Pakistan: Exploring Polyphenol Contents, Antioxidant Potential, and Antibacterial Activities. Saudi J. Biol. Sci. 2023, 30, 103783. [Google Scholar] [CrossRef] [PubMed]
- Cömert, E.D.; Gökmen, V. Evolution of Food Antioxidants as a Core Topic of Food Science for a Century. Food Res. Int. 2018, 105, 76–93. [Google Scholar] [CrossRef] [PubMed]
- Huang, D.; Boxin, O.U.; Prior, R.L. The Chemistry behind Antioxidant Capacity Assays. J. Agric. Food Chem. 2005, 53, 1841–1856. [Google Scholar] [CrossRef] [PubMed]
- Chaves, N.; Santiago, A.; Alías, J.C. Quantification of the Antioxidant Activity of Plant Extracts: Analysis of Sensitivity and Hierarchization Based on the Method Used. Antioxidants 2020, 9, 76. [Google Scholar] [CrossRef]
- Torres-León, C.; Rebolledo Ramírez, F.; Aguirre-Joya, J.A.; Ramírez-Moreno, A.; Chávez-González, M.L.; Aguillón-Gutierrez, D.R.; Camacho-Guerra, L.; Ramírez-Guzmán, N.; Hernández Vélez, S.; Aguilar, C.N. Medicinal Plants Used by Rural Communities in the Arid Zone of Viesca and Parras Coahuila in Northeast Mexico. Saudi Pharm. J. 2023, 31, 21–28. [Google Scholar] [CrossRef]
- Martins, S.; Amorim, E.L.C.; Sobrinho, T.J.S.P.; Saraiva, A.M.; Pisciottano, M.N.C.; Aguilar, C.N.; Teixeira, J.A.; Mussatto, S.I. Antibacterial Activity of Crude Methanolic Extract and Fractions Obtained from Larrea Tridentata Leaves. Ind. Crops Prod. 2013, 41, 306–311. [Google Scholar] [CrossRef]
- Bautista-Hernández, I.; Aguilar, C.N.; Martínez-Ávila, G.C.G.; Ilina, A.; Torres-León, C.; Verma, D.K.; Chávez González, M.L. Phenolic Compounds and Antioxidant Activity of Lippia graveolens Kunth Residual Leaves Fermented by Two Filamentous Fungal Strains in Solid-State Process. Food Bioprod. Process. 2022, 136, 24–35. [Google Scholar] [CrossRef]
- Bautista-Hernández, I.; Aguilar, C.N.; Martínez-ávila, G.C.G.; Torres-León, C.; Ilina, A.; Flores-Gallegos, A.C.; Kumar Verma, D.; Chávez-González, M.L. Mexican Oregano (Lippia graveolens Kunth) as Source of Bioactive Compounds: A Review. Molecules 2021, 26, 5156. [Google Scholar] [CrossRef]
- Castro-López, C.; Ventura-Sobrevilla, J.M.; González-Hernández, M.D.; Rojas, R.; Ascacio-Valdés, J.A.; Aguilar, C.N.; Martínez-Ávila, G.C.G. Impact of Extraction Techniques on Antioxidant Capacities and Phytochemical Composition of Polyphenol-Rich Extracts. Food Chem. 2017, 237, 1139–1148. [Google Scholar] [CrossRef] [PubMed]
- Blois, M. Antioxidant Determinations by the Use of a Stable Free Radical. Nature 1958, 181, 1199–1200. [Google Scholar] [CrossRef]
- Magalhães, L.M.; Santos, F.; Segundo, M.A.; Reis, S.; Lima, J.L.F.C. Rapid Microplate High-Throughput Methodology for Assessment of Folin-Ciocalteu Reducing Capacity. Talanta 2010, 83, 441–447. [Google Scholar] [CrossRef] [PubMed]
- Mensor, L.; Menezes, F.; Leitão, G.; Reis, A.; dos Santos, T.; Coube, C.; Leitão, S. Screening of Brazilian Plant Extracts for Antioxidant Activity by the Use of DPPH Free Radical Method. Phytother. Res. 2001, 15, 127–130. [Google Scholar] [CrossRef]
- Re, R.; Pellegrini, N.; Proteggente, A.; Pannala, A.; Yang, M.; Rice, C. Antioxidant Activity Applying an Improved ABTS Radical Cation Decolorization Assay. Free Radic. Biol. Med. 1999, 26, 1231–1237. [Google Scholar] [CrossRef] [PubMed]
- Ascacio-Valdés, J.A.; Aguilera-Carbó, A.F.; Buenrostro, J.J.; Prado-Barragán, A.; Rodríguez-Herrera, R.; Aguilar, C.N. The Complete Biodegradation Pathway of Ellagitannins by Aspergillus Niger in Solid-State Fermentation. J. Basic Microbiol. 2016, 56, 329–336. [Google Scholar] [CrossRef]
- Soriano-Melgar, L.d.A.A.; Alcaraz-Meléndez, L.; Méndez-Rodríguez, L.C.; Puente, M.E.; Rivera-Cabrera, F.; Zenteno-Savín, T. Antioxidant Responses of Damiana (Turnera diffusa Willd) to Exposure to Artificial Ultraviolet (UV) Radiation in an In Vitro Model: Part I; UV-C Radiation. Nutr. Hosp. 2014, 29, 1109–1115. [Google Scholar] [CrossRef]
- Pinelo, M.; Rubilar, M.; Jerez, M.; Sineiro, J.; Núñez, M.J. Effect of Solvent, Temperature, and Solvent-to-Solid Ratio on the Total Phenolic Content and Antiradical Activity of Extracts from Different Components of Grape Pomace. J. Agric. Food Chem. 2005, 53, 2111–2117. [Google Scholar] [CrossRef]
- Torres-León, C.; Rojas, R.; Serna-Cock, L.; Belmares-Cerda, R.; Aguilar, C.N. Extraction of Antioxidants from Mango Seed Kernel: Optimization Assisted by Microwave. Food Bioprod. Process. 2017, 105, 188–196. [Google Scholar] [CrossRef]
- Jun, X. Caffeine Extraction from Green Tea Leaves Assisted by High Pressure Processing. J. Food Eng. 2009, 94, 105–109. [Google Scholar] [CrossRef]
- Shahar, B.; Dolma, N.; Chongtham, N. Phytochemical Analysis, Antioxidant Activity and Identification of Bioactive Constituents from Three Wild Medicinally Important Underutilized Plants of Ladakh, India Using GCMS and FTIR Based Metabolomics Approach. Food Humanit. 2023, 1, 430–439. [Google Scholar] [CrossRef]
- Sarris, J.; McIntyre, E.; Camfield, D.A. Plant-Based Medicines for Anxiety Disorders, Part 1: A Review of Preclinical Studies. CNS Drugs 2013, 27, 207–219. [Google Scholar] [CrossRef] [PubMed]
- Eun, J.C.; Kim, G.H. Apigenin Induces Apoptosis through a Mitochondria/Caspase-Pathway in Human Breast Cancer MDA-MB-453 Cells. J. Clin. Biochem. Nutr. 2009, 44, 260–265. [Google Scholar] [CrossRef]
- Hasegawa, E.; Nakagawa, S.; Sato, M.; Tachikawa, E.; Yamato, S. Effect of Polyphenols on Production of Steroid Hormones from Human Adrenocortical NCI-H295R Cells. Biol. Pharm. Bull. 2013, 36, 228–237. [Google Scholar] [CrossRef] [PubMed]


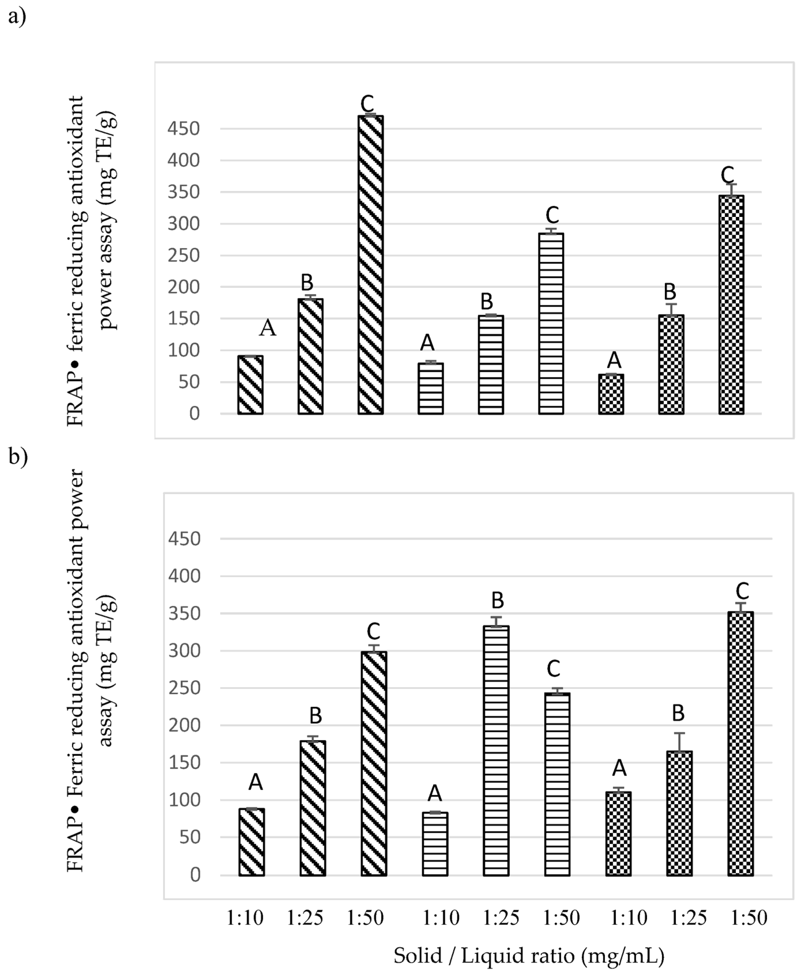
T. diffusa,
L. frutescens, and
G. sarothrae extracts obtained by (a) UAE and (b) maceration. The different letter indicates significant differences (p < 0.05) according to Tukey’s multiple range test.
T. diffusa,
L. frutescens, and
G. sarothrae extracts obtained by (a) UAE and (b) maceration. The different letter indicates significant differences (p < 0.05) according to Tukey’s multiple range test.
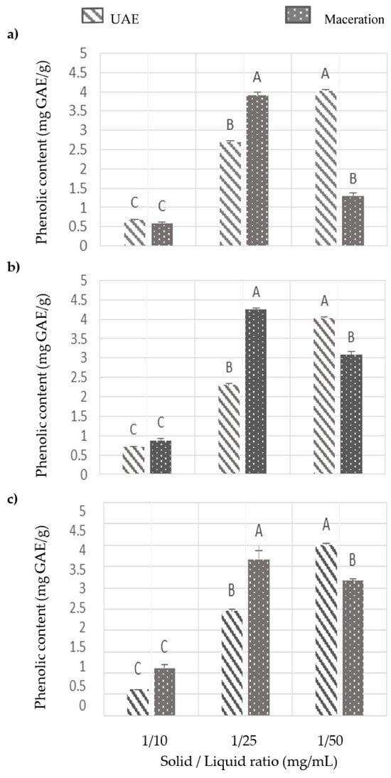
T. diffusa,
L. frutescens, and
G. sarothrae extracts obtained by (a) UAE and (b) maceration. The different letter indicates significant differences (p < 0.05) according to Tukey’s multiple range test.
T. diffusa,
L. frutescens, and
G. sarothrae extracts obtained by (a) UAE and (b) maceration. The different letter indicates significant differences (p < 0.05) according to Tukey’s multiple range test.
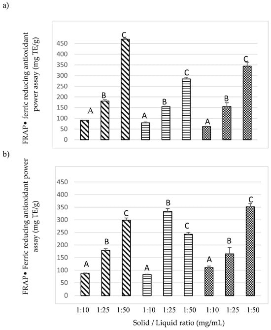
T. diffusa,
L. frutescens, and
G. sarothrae extracts obtained by (a) UAE and (b) maceration. The different letter indicates significant differences (p < 0.05) according to Tukey’s multiple range test.
T. diffusa,
L. frutescens, and
G. sarothrae extracts obtained by (a) UAE and (b) maceration. The different letter indicates significant differences (p < 0.05) according to Tukey’s multiple range test.
| Scientific Name | Common Name | Date of Collection | Part Used |
|---|---|---|---|
| Heterotheca inuloides Cass | Arnica amarilla | 9 September 2021 | Whole plant |
| Ruta graveolens L. | Ruda | 12 September 2021 | Leaves |
| Lippia graveolens Kunth | Orégano | 15 September 2021 | Leaves |
| Ephedra antisyphilitica Berland. ex C.A.Mey | Pito real | 17 September 2021 | Stem |
| Larrea tridentata Var. | Gobernadora | 18 September 2021 | Leaves and stem |
| Salvia officinalis L. | Salvilla | 21 September 2021 | Leaves |
| Flourensia cernua DC | Hojasén | 23 September 2021 | Leaves and stem |
| Jatropha dioica Sessé | Sangre de drago | 21 September 2021 | Stem |
| Nicotiana glauca Graham | hojas de virginio | 22 September 2021 | Leaves |
| Leucophyllum frutescens (Berland.) I.M. Johnst. | Cenizo | 23 September 2021 | Whole plant |
| Bauhinia forficata Link | Pata de res | 26 September 2021 | Whole plant |
| Fouquieria splendens Engelm | Ocotillo | 30 September 2021 | Stem |
| Parthenium incanum Kunth | Mariola | 28 September 2021 | Leaves |
| Parthenium hysterophorus L. | Hierba amargosa | 3 October 2021 | Leaves and stem |
| Gutierrezia sarothrae (Pursh) Britton & Rusby | Hierba de San Nicolas | 25 September 2021 | Leaves and stem |
| Astragalus nitidiflorus Jimenez & Pau | Garbancillo | 26 September 2021 | Leaves and stem |
| Abutilon Coahuilae Kearney | Hierba del buen día | 26 September 2021 | Leaves and stem |
| Selaginelales moell endorffii | Siempre viva | 27 September 2021 | Whole plant |
| Argemone munita Durand & Hilg. | Chicalote | 1 October 2021 | Whole plant |
| Prosopis glandulosa Torr. | Mezquite regional | 28 September 2021 | Leaves |
| Parkinsonia aculata L. | retama o palo verde | 2 October 2021 | Leaves |
| Sphaeralcea angustifolia (Cav.) G.Don | Trompillo | 2 October 2021 | Leaves and stem |
| Turnera diffusa Willd. Ex Schult. | Damiana | 8 October 2021 | Leaves |
| Plant | UAE | Maceration | UAE | Maceration | UAE | Maceration |
|---|---|---|---|---|---|---|
| DPPH• (mg TE/g) | FRAP (mg TE/g) | ABTS•+ (mg TE/g) | ||||
| T. diffusa | 95 ± 1.7 (1:50) | 99 ± 4.1 *(1:50) | 469 ± 3.5 (1:50) | 300 ± 9 (1:50) | 300 ± 2 (1:50) | 32 ± 27.1 (1:50) |
| L. frutescens | 55 ± 0.6 (1:25) | 57 ± 0.57 *(1:25) | 154 ± 2.4 (1:25) | 332 ± 12.1 *(1:25) | 21 ± 14.3 (1:25) | 50 ± 16.0 *(1:25) |
| G. sarothrae | 104 ± 4.3 *(1:50) | 90 ± 0.1 (1:50) | 350 ± 18.6 (1:50) | 350 ± 12.2 (1:50) | 111 ± 27.7 (1:25) | 141 ± 8.9 (1:25) |
| Name | Retention Time (min) | [M–H]− | Compound | Family |
|---|---|---|---|---|
| T. diffusa | 6.31 | 190.9 | Scopoletin | Hydroxycoumarins |
| 6.9 | 365.8 | Secoisolariciresinol | Lignans | |
| 34.74 | 592.8 | Apigenin 6,8-di-C-glucoside | Flavones | |
| 34.95 | 370.9 | Sinensetin | Methoxyflavones | |
| 37.98 | 638.8 | Malvidin 3-O-(6″-p-coumaroyl-glucoside) | Anthocyanins | |
| 38.29 | 668.8 | Spinacetin 3-O-glucosyl-(1->6)-glucoside | Methoxyflavonols | |
| 41.06 | 590.7 | Cyanidin 3-O-(6″-dioxalyl-glucoside) | Anthocyanins | |
| 42.18 | 574.7 | 24-Methylcholesterol ferulate | Methoxycinnamic acids | |
| 49.86 | 310.8 | Caffeoyl tartaric acid | Hydroxycinnamic acids | |
| 50.57 | 576.7 | Procyanidin dimer B1 | Proanthocyanidin dimers | |
| 51.09 | 408.8 | 6-Geranylnaringenin | Alkylflavanones | |
| 53.96 | 270.8 | Naringenin | Flavanones | |
| 55.51 | 324.9 | Feruloyl tartaric acid | Methoxycinnamic acids | |
| 57.15 | 336.8 | 3-p-Coumaroylquinic acid | Hydroxycinnamic acids | |
| 57.55 | 336.7 | 4-p-Coumaroylquinic acid | Hydroxycinnamic acids | |
| 57.97 | 325 | p-Coumaric acid 4-O-glucoside | Hydroxycinnamic acids | |
| L. frutescens | 6.18 | 340.9 | Caffeic acid 4-O-glucoside | Hydroxycinnamic acids |
| 6.57 | 376.8 | 3,4-DHPEA-EA | Tyrosols | |
| 7.57 | 396.8 | 3-Sinapoylquinic acid | Methoxycinnamic acids | |
| 7.7 | 376.9 | 3,4-DHPEA-EA | Tyrosols | |
| 38.02 | 622.8 | Apigenin 7-O-diglucuronide | Flavones | |
| 40.78 | 576.8 | Procyanidin dimer B1 | Proanthocyanidin dimers | |
| 41.49 | 622.8 | Isorhamnetin 3-O-glucoside 7-O-rhamnoside | Methoxyflavonols | |
| 42.45 | 542.8 | 3,4-Diferuloylquinic acid | Methoxycinnamic acids | |
| 43.58 | 264.8 | Formononetin | Methoxyisoflavones | |
| 43.96 | 526.9 | Malvidin 3-O-galactoside | Anthocyanins | |
| 53.45 | 268.7 | Apigenin | Flavones | |
| 54.89 | 324.9 | Feruloyl tartaric acid | Methoxycinnamic acids | |
| G. sarothrae | 28.97 | 330.3 | Jaceosidin | Methoxyflavones |
| 44.53 | 358.7 | Lariciresinol | Lignans | |
| 47 | 772.1 | Kaempferol 3,7,4′-O-triglucoside | Flavonols | |
| 54.59 | 324.8 | Feruloyl tartaric acid | Methoxycinnamic acids |
Disclaimer/Publisher’s Note: The statements, opinions and data contained in all publications are solely those of the individual author(s) and contributor(s) and not of MDPI and/or the editor(s). MDPI and/or the editor(s) disclaim responsibility for any injury to people or property resulting from any ideas, methods, instructions or products referred to in the content. |
© 2023 by the authors. Licensee MDPI, Basel, Switzerland. This article is an open access article distributed under the terms and conditions of the Creative Commons Attribution (CC BY) license (https://creativecommons.org/licenses/by/4.0/).
Share and Cite
Palma-Wong, M.; Ascacio-Valdés, J.A.; Ramírez-Guzmán, N.; Aguirre-Joya, J.A.; Flores-Loyola, E.; Ramírez-Moreno, A.; Torres-León, C. Exploration of Phenolic Content and Antioxidant Potential from Plants Used in Traditional Medicine in Viesca, Mexico. Horticulturae 2023, 9, 1252. https://doi.org/10.3390/horticulturae9121252
Palma-Wong M, Ascacio-Valdés JA, Ramírez-Guzmán N, Aguirre-Joya JA, Flores-Loyola E, Ramírez-Moreno A, Torres-León C. Exploration of Phenolic Content and Antioxidant Potential from Plants Used in Traditional Medicine in Viesca, Mexico. Horticulturae. 2023; 9(12):1252. https://doi.org/10.3390/horticulturae9121252
Chicago/Turabian StylePalma-Wong, Marlene, Juan A. Ascacio-Valdés, Nathiely Ramírez-Guzmán, Jorge A. Aguirre-Joya, Erika Flores-Loyola, Agustina Ramírez-Moreno, and Cristian Torres-León. 2023. "Exploration of Phenolic Content and Antioxidant Potential from Plants Used in Traditional Medicine in Viesca, Mexico" Horticulturae 9, no. 12: 1252. https://doi.org/10.3390/horticulturae9121252
APA StylePalma-Wong, M., Ascacio-Valdés, J. A., Ramírez-Guzmán, N., Aguirre-Joya, J. A., Flores-Loyola, E., Ramírez-Moreno, A., & Torres-León, C. (2023). Exploration of Phenolic Content and Antioxidant Potential from Plants Used in Traditional Medicine in Viesca, Mexico. Horticulturae, 9(12), 1252. https://doi.org/10.3390/horticulturae9121252

