How Does the Agro-Ecological Conditions Grown Kiwifruit (Actinidia deliciosa) Affect the Fruit Quality Traits and Bioactive Compounds during Shelf Life?
Abstract
:1. Introduction
2. Materials and Methods
2.1. Plant Materials
2.2. Experimental Design
2.3. Climate and Soil Characteristics of the Study Areas
2.3.1. Climate Characteristics
2.3.2. Soil Characteristics
2.4. Respiration Rate and Firmness
2.5. Skin and Flesh Color
2.6. Vitamin C, SSC, and Acidity (TA)
2.7. Total Phenolics (TP), Total Flavonoids (TF), and Antioxidant Activity
2.8. Statistical Analysis
3. Results
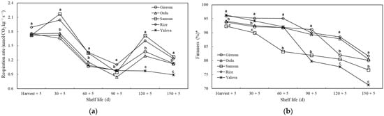
3.1. Respiration Rate and Firmness
3.2. Skin and Flesh Color
3.3. Vitamin C, SSC and Acidity
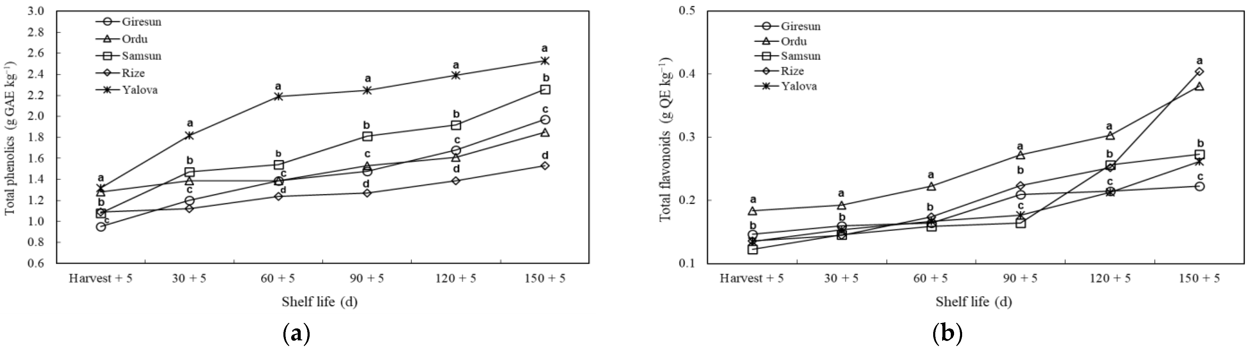
3.4. Total Phenolics (TP), Total Flavonoids (TF), and Antioxidant Activity
4. Discussion
Author Contributions
Funding
Data Availability Statement
Acknowledgments
Conflicts of Interest
References
- Ferguson, A.R. Botanical Description. In The Kiwifruit Genome; Testolin, R., Huang, H.-W., Ferguson, A.R., Eds.; Springer International Publishing: Cham, Switzerland, 2016; pp. 1–13. ISBN 978-3-319-32274-2. [Google Scholar]
- Huang, S.; Ding, J.; Deng, D.; Tang, W.; Sun, H.; Liu, D.; Zhang, L.; Niu, X.; Zhang, X.; Meng, M.; et al. Draft Genome of the Kiwifruit Actinidia Chinensis. Nat. Commun. 2013, 4, 2640. [Google Scholar] [CrossRef]
- Wu, J.H. Cultivar, Environment and Integration of Cultural Practices Will Determine the Future of the Kiwifruit Industry. Scr. Hortic. 2020, 20, 171–178. [Google Scholar]
- Koday, S. Türkiye’de Kivi Üretimi. Doğu Coğrafya Derg. 2000, 6, 103–122. [Google Scholar]
- Bochare, S.; Kshirsagar, R.; Sawate, A.; Agarkar, B.; Patil, B. Studies on Effect of Guar Gum as Stabilizer on Kiwi Fruit Ready to Serve Beverage Incorporated with Lemongrass. Pharma Innov. J. 2020, 9, 109–111. [Google Scholar]
- Satpal, D.; Kaur, J.; Bhadariya, V.; Sharma, K. Actinidia Deliciosa (Kiwi Fruit): A Comprehensive Review on the Nutritional Composition, Health Benefits, Traditional Utilization, and Commercialization. J. Food Process Preserv. 2021, 45, e15588. [Google Scholar] [CrossRef]
- Boukouvalas, S.; Chouliaras, V. Factors Affecting Storage Life in Kiwifruit. Agro Thesis 2005, 3, 26–32. [Google Scholar]
- Ruiz-Aracil, M.C.; Guillén, F.; Ilea, M.I.M.; Martínez-Romero, D.; Lorente-Mento, J.M.; Valverde, J.M. Comparative Effect of Melatonin and 1-Methylcyclopropene Postharvest Applications for Extending ‘Hayward’ Kiwifruit Storage Life. Agriculture 2023, 13, 806. [Google Scholar] [CrossRef]
- Retamales, J.; Pérez-Villarreal, A.; Callejas, R. Ethylene Biosynthesis Inhibitor Improves Firmness of Kiwifruit. Acta Hortic. 1995, 394, 159–164. [Google Scholar] [CrossRef]
- Choi, H.R.; Baek, M.W.; Tilahun, S.; Jeong, C.S. Long-Term Cold Storage Affects Metabolites, Antioxidant Activities, and Ripening and Stress-Related Genes of Kiwifruit Cultivars. Postharvest Biol. Technol. 2022, 189, 111912. [Google Scholar] [CrossRef]
- Ferguson, A.R.; Seal, A.G. Kiwifruit. In Temperate Fruit Crop Breeding; Springer: Dordrecht, The Netherlands, 2008; pp. 235–264. [Google Scholar]
- Costa, G.; Kukuriannis, B.; Monet, R. Kiwifruit Production in Europe. Acta Hortic. 1992, 297, 141–150. [Google Scholar] [CrossRef]
- Ferguson, A.R. Kiwifruit (Actinidia). Acta Hortic. 1991, 290, 603–656. [Google Scholar] [CrossRef]
- Gao, B.; Yuan, S.W.; Guo, Y.; Zhao, Z. Potential Geographical Distribution of Actinidia Spp. and Its Predominant Indices under Climate Change. Ecol. Inform. 2022, 72, 101865. [Google Scholar] [CrossRef]
- Bostan, S.; Günay, K. ‘Hayward’ (Actinidia Deliciosa Planch) Kivi Çeşidinin Meyve Kalitesi Üzerine Rakım ve yöneyin Etkisi. Akad. Ziraat Derg. 2014, 3, 13–22. [Google Scholar]
- Zenginbal, H.; Ozcan, M. Effect of Altitude on Growth-Development and Fruit Quality Attributes of Kiwifruit (Actinidia Deliciosa Planch) Cultivation. Pak. J. Agric. Sci. 2018, 55, 843–851. [Google Scholar]
- TSMS. Climate Data. Turkish State Meteorological Service. Available online: https://mgm.gov.tr/ (accessed on 16 October 2023).
- Öztürk, B.; Yücedağ, F. Effects of Methyl Jasmonate on Quality Properties and Phytochemical Compounds of Kiwifruit (Actinidiadeliciosa Cv. ‘Hayward’) during Cold Storage and Shelf Life. Turk. J. Agric. For. 2021, 45, 154–164. [Google Scholar] [CrossRef]
- McGuire, R.G. Reporting of Objective Color Measurements. HortScience 1992, 27, 1254–1255. [Google Scholar] [CrossRef]
- Ozturk, B.; Uzun, S.; Karakaya, O. Combined Effects of Aminoethoxyvinylglycine and MAP on the Fruit Quality of Kiwifruit during Cold Storage and Shelf Life. Sci. Hortic. 2019, 251, 209–214. [Google Scholar] [CrossRef]
- Beyhan, Ö.; Elmastas, M.; Gedikli, F. Total Phenolic Compounds and Antioxidant Capacity of Leaf, Dry Fruit and Fresh Fruit of Feijoa (Acca Sellowiana, Myrtaceae). J. Med. Plants Res. 2010, 4, 1065–1072. [Google Scholar]
- Zhishen, J.; Mengcheng, T.; Jianming, W. The Determination of Flavonoid Contents in Mulberry and Their Scavenging Effects on Superoxide Radicals. Food Chem. 1999, 64, 555–559. [Google Scholar] [CrossRef]
- Benzie, I.F.F.; Strain, J.J. The Ferric Reducing Ability of Plasma (FRAP) as a Measure of “Antioxidant Power”: The FRAP Assay. Anal. Biochem. 1996, 239, 70–76. [Google Scholar] [CrossRef]
- Blois, M.S. Antioxidant Determinations by the Use of a Stable Free Radical. Nature 1958, 181, 1199–1200. [Google Scholar] [CrossRef]
- Manolopoulou, H.; Papadopoulou, P. A Study of Respiratory and Physico-Chemical Changes of Four Kiwi Fruit Cultivars during Cool-Storage. Food Chem. 1998, 63, 529–534. [Google Scholar] [CrossRef]
- Watada, A.E.; Ko, N.P.; Minott, D.A. Factors Affecting Quality of Fresh-Cut Horticultural Products. Postharvest Biol. Technol. 1996, 9, 115–125. [Google Scholar] [CrossRef]
- Burg, S.P.; Burg, E.A. Ethylene Action and the Ripening of Fruits Ethylene Influences the Growth and Development of Plants and Is the Hormone Which Initiates Fruit Ripening. Science 1965, 148, 1190–1196. [Google Scholar] [CrossRef] [PubMed]
- Meena, N.K.; Baghel, M.; Jain, S.K.; Asrey, R. Postharvest Biology and Technology of Kiwifruit. In Postharvest Biology and Technology of Temperate Fruits; Springer International Publishing: Cham, Switzerland, 2018; pp. 299–329. [Google Scholar]
- Cai, W.; Al Shoffe, Y.; Park, D.; Watkins, C.B. Harvest Maturity and Preharvest Aminoethoxyvinylglycine Treatment Effects on Cold-Induced Ethylene Production of ‘Gala’ Apples. HortScience 2023, 58, 532–538. [Google Scholar] [CrossRef]
- Wright, A.H.; Prange, R.K. The Effect of Aminoethoxyvinylglycine and Dynamic Controlled Atmosphere on the Storage of ‘Bartlett’ Pear. Erwerbs-Obstbau 2023, 65, 1303–1313. [Google Scholar] [CrossRef]
- Uzun, S. Postharvest Quality Traits of Chestnut (Castanea Sativa Mill.) Fruit as Affected by Methyl Jasmonate During Cold Storage. Erwerbs-Obstbau 2023, 65, 1453–1462. [Google Scholar] [CrossRef]
- Burdon, J.; Lallu, N. Kiwifruit (Actinidia spp.). In Postharvest Biology and Technology of Tropical and Subtropical Fruits; Woodhead Publishing Limited: Cambridge, UK, 2011; pp. 326–360. [Google Scholar] [CrossRef]
- Öztürk, B.; Ağlar, E. The Influence of Modified Atmosphere Packaging on Quality Properties of Kiwifruits During Cold Storage and Shelf Life. Iğdır Üniv. Fen Bilim. Enstitüsü Derg. 2019, 9, 614–625. [Google Scholar] [CrossRef]
- Uzun, S.; Ozturk, B. Effects of Aminoethoxyvinylglycine and Modified Atmosphere Packaging Treatments on the Color Characteristics and Antioxidant Activity of Kiwifruit during Cold Storage and Shelf Life. J. Postharvest Technol. 2020, 8, 9–17. [Google Scholar]
- Fattahi, J.; Fifaii, R.; Babri, M. Postharvest Quality of Kiwifruit (Actinidia deliciosa cv. Hayward) Affected by Pre-Storage Application of Salicylic Acid. South West. J. 2010, 1, 175–186. [Google Scholar]
- Guldas, M. Peeling and the Physical and Chemical Properties of Kiwi Fruit. J. Food Process Preserv. 2003, 27, 271–284. [Google Scholar] [CrossRef]
- Fisk, C.L.; Silver, A.M.; Strik, B.C.; Zhao, Y. Postharvest Quality of Hardy Kiwifruit (Actinidia Arguta ‘Ananasnaya’) Associated with Packaging and Storage Conditions. Postharvest Biol. Technol. 2008, 47, 338–345. [Google Scholar] [CrossRef]
- Macrae, E.A.; Lallu, N.; Searle, A.N.; Bowen, J.H. Changes in the Softening and Composition of Kiwifruitb (Actinidia Deliciosa) Affected by Maturity at Harvest and Postharvest Treatments. J. Sci. Food Agric. 1989, 49, 413–430. [Google Scholar] [CrossRef]
- Marsh, K.; Attanayake, S.; Walker, S.; Gunson, A.; Boldingh, H.; MacRae, E. Acidity and Taste in Kiwifruit. Postharvest Biol. Technol. 2004, 32, 159–168. [Google Scholar] [CrossRef]
- Liang, J.; Ren, Y.; Wang, Y.; Han, M.; Yue, T.; Wang, Z.; Gao, Z. Physicochemical, Nutritional, and Bioactive Properties of Pulp and Peel from 15 Kiwifruit Cultivars. Food Biosci. 2021, 42, 101157. [Google Scholar] [CrossRef]
- Cheng, C.H.; Seal, A.G.; Boldingh, H.L.; Marsh, K.B.; MacRae, E.A.; Murphy, S.J.; Ferguson, A.R. Inheritance of Taste Characters and Fruit Size and Number in a Diploid Actinidia Chinensis (Kiwifruit) Population. Euphytica 2004, 138, 185–195. [Google Scholar] [CrossRef]
- Lee, S.K.; Kader, A.A. Preharvest and Postharvest Factors Influencing Vitamin C Content of Horticultural Crops. Postharvest Biol. Technol. 2000, 20, 207–220. [Google Scholar] [CrossRef]
- Wei, L.; Chen, C.; Wan, C.; Chen, M.; Chen, J. Citral Delays Postharvest Senescence of Kiwifruit by Enhancing Antioxidant Capacity under Cold Storage. J. Food Qual. 2021, 2021, 6684172. [Google Scholar] [CrossRef]
- Jeong, H.R.; Cho, H.S.; Cho, Y.S.; Kim, D.O. Changes in Phenolics, Soluble Solids, Vitamin C, and Antioxidant Capacity of Various Cultivars of Hardy Kiwifruits during Cold Storage. Food Sci. Biotechnol. 2020, 29, 1763–1770. [Google Scholar] [CrossRef]
- Ates, U. Harvest Time Influences Quality Attributes and Phenolic Composition of Fig Fruit: Insights from Physicochemical Analysis and Antioxidant Activity Assessment. Erwerbs-Obstbau 2023, 65, 1627–1632. [Google Scholar] [CrossRef]
- Veltman, R.H.; Sanders, M.G.; Persijn, S.T.; Peppelenbos, H.W.; Oosterhaven, J. Decreased Ascorbic Acid Levels and Brown Core Development in Pears (Pyrus communis L. Cv. Conference). Physiol. Plant. 1999, 107, 39–45. [Google Scholar] [CrossRef]
- Baltazari, A.; Mtui, H.D.; Mwatawala, M.W.; Chove, L.M.; Msogoya, T.; Samwel, J.; Subramanian, J. Effects of Storage Conditions, Storage Duration and Post-Harvest Treatments on Nutritional and Sensory Quality of Orange (Citrus sinensis (L) Osbeck) Fruits. Int. J. Fruit Sci. 2020, 20, 737–749. [Google Scholar] [CrossRef]








| Soil Texture | pH | Salinity (%) | ||||
| Result | Status | Result | Status | Result | Status | |
| Ordu-1 | 52 | Clay loam | 5.78 | Slightly acid | 0.0128 | Unsalted |
| Ordu-2 | 42 | Loamy | 7.36 | Neutral | 0.0066 | Unsalted |
| Ordu-3 | 60 | Clay loam | 5.07 | Medium acid | 0.0160 | Unsalted |
| Giresun-1 | 38 | Loamy | 7.35 | Neutral | 0.0076 | Unsalted |
| Giresun-2 | 42 | Loamy | 7.83 | Slightly alkaline | 0.0930 | Unsalted |
| Giresun-3 | 46 | Loamy | 6.70 | Neutral | 0.0162 | Unsalted |
| Rize-1 | 46 | Loamy | 5.83 | Slightly acid | 0.0166 | Unsalted |
| Rize-2 | 50 | Loamy | 5.01 | Medium acid | 0.0049 | Unsalted |
| Rize-3 | 52 | Clay loam | 5.61 | Slightly acid | 0.0059 | Unsalted |
| Samsun-1 | 52 | Clay loam | 7.60 | Slightly alkaline | 0.0260 | Unsalted |
| Samsun-2 | 52 | Clay loam | 7.82 | Slightly alkaline | 0.0242 | Unsalted |
| Samsun-3 | 56 | Clay loam | 7.80 | Slightly alkaline | 0.0301 | Unsalted |
| Yalova-1 | 52 | Clay loam | 7.71 | Slightly alkaline | 0.0247 | Unsalted |
| Yalova-2 | 40 | Loamy | 7.74 | Slightly alkaline | 0.0148 | Unsalted |
| Yalova-3 | 52 | Clay loam | 7.74 | Slightly alkaline | 0.0252 | Unsalted |
| Organic Matter | Chalk (%) | Potassium | ||||
| Result | Status | Result | Status | Result | Status | |
| Ordu-1 | 3.26 | Good | 0.361 | Slightly chalky | 406.35 | Sufficient |
| Ordu-2 | 1.77 | Low | 2.340 | Chalky | 127.00 | Sufficient |
| Ordu-3 | 3.18 | Good | 0.361 | Slightly chalky | 323.20 | Sufficient |
| Giresun-1 | 1.46 | Low | 1.980 | Chalky | 366.95 | Sufficient |
| Giresun-2 | 1.81 | Low | 2.810 | Chalky | 331.64 | Sufficient |
| Giresun-3 | 3.67 | Good | 2.390 | Chalky | 248.00 | Sufficient |
| Rize-1 | 3.40 | Good | 0.361 | Slightly chalky | 465.77 | Sufficient |
| Rize-2 | 3.57 | Good | 0.361 | Slightly chalky | 271.87 | Sufficient |
| Rize-3 | 4.66 | High | 0.361 | Slightly chalky | 274.76 | Sufficient |
| Samsun-1 | 3.02 | Good | 2.660 | Chalky | 266.80 | Sufficient |
| Samsun-2 | 2.54 | Medium | 2.200 | Chalky | 268.00 | Sufficient |
| Samsun-3 | 2.38 | Medium | 2.850 | Chalky | 386.00 | Sufficient |
| Yalova-1 | 1.73 | Low | 2.160 | Chalky | 279.20 | Sufficient |
| Yalova-2 | 2.85 | Medium | 2.010 | Chalky | 258.61 | Sufficient |
| Yalova-3 | 2.73 | Medium | 2.880 | Chalky | 346.94 | Sufficient |
Disclaimer/Publisher’s Note: The statements, opinions and data contained in all publications are solely those of the individual author(s) and contributor(s) and not of MDPI and/or the editor(s). MDPI and/or the editor(s) disclaim responsibility for any injury to people or property resulting from any ideas, methods, instructions or products referred to in the content. |
© 2023 by the authors. Licensee MDPI, Basel, Switzerland. This article is an open access article distributed under the terms and conditions of the Creative Commons Attribution (CC BY) license (https://creativecommons.org/licenses/by/4.0/).
Share and Cite
Korkmaz, M.; Ozturk, B.; Uzun, S. How Does the Agro-Ecological Conditions Grown Kiwifruit (Actinidia deliciosa) Affect the Fruit Quality Traits and Bioactive Compounds during Shelf Life? Horticulturae 2023, 9, 1182. https://doi.org/10.3390/horticulturae9111182
Korkmaz M, Ozturk B, Uzun S. How Does the Agro-Ecological Conditions Grown Kiwifruit (Actinidia deliciosa) Affect the Fruit Quality Traits and Bioactive Compounds during Shelf Life? Horticulturae. 2023; 9(11):1182. https://doi.org/10.3390/horticulturae9111182
Chicago/Turabian StyleKorkmaz, Murat, Burhan Ozturk, and Serkan Uzun. 2023. "How Does the Agro-Ecological Conditions Grown Kiwifruit (Actinidia deliciosa) Affect the Fruit Quality Traits and Bioactive Compounds during Shelf Life?" Horticulturae 9, no. 11: 1182. https://doi.org/10.3390/horticulturae9111182
APA StyleKorkmaz, M., Ozturk, B., & Uzun, S. (2023). How Does the Agro-Ecological Conditions Grown Kiwifruit (Actinidia deliciosa) Affect the Fruit Quality Traits and Bioactive Compounds during Shelf Life? Horticulturae, 9(11), 1182. https://doi.org/10.3390/horticulturae9111182

