Abstract
The present study has been carried out to determine the effects of four different illuminators with red, far-red, blue, and white light-emitting diodes (LEDs) on the growth, morphology, pigment composition, and chlorophyll fluorescence of spinach (Spinacia oleracea L.) of the ‘Zhirnolistny’ cultivar. We investigated these variants in two photon flux densities, 400–800 nm (PFD) 120 µmol m−2 s−1 and 180 µmol m−2 s−1. The studies were carried out in a climate chamber. Plant measurements were carried out on the 30th and 45th days of cultivation. The results showed that during the period of active growth, on the 30th day, spinach plants accumulated 2.6 and 2.4 times more fresh weight in the variant with a higher PFD (180 µmol m−2 s−1). At the end of the growing season, only a decrease in PFD had an effect on the fresh and dry weight of plants. The highest concentration of chlorophyll on both the 30th and 45th days of vegetation was found when spinach plants were grown under red-blue (RB) LEDs in a spectrum proportion of R70:B30. It was found that the variants had a higher proportion of green radiation in the spectrum of illuminators with PFD 180 µmol m−2 s−1, and the nitrate content in spinach was slightly lower than in other variants.
1. Introduction
Spinach (Spinacia oleracea L.) is a popular leaf vegetable of the amaranth family (Amaranthaceae). It is one of the ten healthiest foods, as it contains large amounts of vitamins, minerals, and antioxidants and has anti-inflammatory, anticancer, and hypoglycemic and hypolipidemic properties [1,2,3,4]. Spinach contains plenty of vitamin K, which helps support bone health. The widespread use of spinach in dietetics is due to its low-calorie content. Despite these valuable qualities, spinach consumption is still low compared to other leafy vegetables [1]. The peculiarity of spinach cultivation is the difference in temperatures required for germination and further growth. In addition, spinach leads the list of leafy vegetables in terms of the frequency of overload with pesticides and nitrates [5,6]. Another problem is that spinach is a long-day plant; therefore, in daylight hours of 14–16 h, it develops a flowering stem, and in short daylight hours, rosettes form, and the active growth of biomass occurs. The influence of these factors usually determines the seasonal nature of spinach cultivation.
One solution to the problem of the year-round cultivation of spinach is to cultivate plants in controlled conditions of climate chambers and city farms. When growing spinach in vertical farms, it is necessary to take into account the fact that spinach is a nitrate accumulator plant, along with green crops, such as arugula and lettuce. The value of the nitrate content in spinach is inversely proportional to light intensity [7], so photosynthetic photon flux density (PPFD) plays a key role when cultivating spinach.
The costs of irradiation systems may account for a significant part of growing plants in climate chambers and city farms. A comparison of fluorescent red (R)/blue (B) = 9/5 and LED lighting (LED) R/B = 9/10, 6/5 and 9/4 with different levels of DLIs (daily light integrals) (11.5; 14.4, 17.3 and 20.2 mol m−2 day−1) in hydroponic spinach cultivation was found that plant fresh and dry weight; photosynthesis level and energy efficiency (1.73 kWh per 100 g) were higher at DLI = 17.3 mol m−2 day−1 under LED illumination R/B = 6/5. Energy consumption under LED lighting was 38% less than under fluorescent lamps [8]. In assessing the impact the effect of red-blue (RB) LED lighting (R:B = 4:1) of different PPFD levels (90, 140, 190, and 240 µmol m−2 s−1) on the growth and quality of hydroponically grown spinach, it was found that with increasing light intensity, plant height, the number of leaves, the length of the root system, leaf width, the weight of fresh and dry shoots, and the weight of fresh and dry roots increased, but the specific weight of the leaf and the ratio of shoots to roots did not increase. Optimal growth parameters were observed in the variant with 190 µmol m−2 s−1. A decrease in potassium and oxalic acid was observed at higher light intensities [9]. When the effects of B, R, RB, and white (W) spectrum fluorescent lamps were studied at a PPFD of 300 μmol m−2 s−1, it was found that blue spectrum irradiation was not suitable for growing spinach because of a sharp decline in shoot dry weight, although carotenoid content slightly increased, and R irradiation reduced nitrate content. The authors recommend combining lighting, using W-lamps for growth, and using additional lighting with B-lamps a few hours before harvesting [10]. According to the literature data, when choosing lighting for additional illumination of spinach, it has been found that the photoperiod is the most important factor, light intensity is the second most important, and light quality is the least important [11]. It was found that when the photosynthetic photon flux density is 100 µmol m−2 s−1 and the photoperiod is 13/11 h, the best light regime for obtaining plants with a larger leaf surface area was a lower light intensity with a longer photoperiod and a spectral range ratio of R:B = 4:1. To improve the quality and taste of spinach, it is necessary to increase the PPFD level and reduce the photoperiod (PPFD = 150 µmol m−2 s−1 and 9/15 h) with R:B = 4:1 spectral ranges [11].
In 2020, in the phytotron of the laboratory of light culture and vertical farming of the Federal State Budgetary Educational Institution of Higher Education of St. Petersburg State Agrarian University, experiments were carried out to investigate the productivity of five varieties of spinach for cultivation in total control environment [12]. Spectral composition R/B = 5/1 with a day/night ratio = 12/12 h was considered with irradiation intensity options of 80, 110, 140, and 170 µmol m−2 s−1. As a result of the experiment, the variety specificity of spinach plant reactions to irradiation intensity was established. The varieties ‘Matador’, ‘Zhirnolistny’, and ‘Spokane’ had a higher yield at 170 µmol m−2 s−1, the varieties ‘Krepysh’ and ‘Rembrandt’ had yields at 140 µmol m−2 s−1. The ‘Zhirnolistny’ variety is more valuable for cultivation in vertical farming in PPFD 170 µmol m−2 s−1 since the production of a unit of its biomass requires the least amount of energy—16.56 kW/kg with 0.04 kg/m2 yield [12]. Avinash Agarwal et al. studied the effect of different ratios of R and B light in a spectrum of illuminators (100R:0B, 75R:25B, 50R:50B, 25R:75B, and 0R:100B) on the vegetation of spinach plants [13]. It was found that 25R:75B to 75R:25B light treatments reduced non-photochemical quenching (NPQ) and oxidative stress, while the suppression of photosynthetic activity under B-band deficiency resulted in growth arrest due to impaired C- and N-assimilation [13]. It was also found that the rate of photosynthesis tends to increase with an increasing PFD of blue light up to 100 µmol m−2 s−1, which is associated with an increase in the nitrogen content in leaves and was not necessarily the result of an increase in dry weight per unit leaf area [14]. The treatment of light with a PFD of 120 µmol m−2 s−1 with an increase the B-component of the spectrum shows a slight increase in NPQ and, consequently, in oxidative stress, which is consistent with studies by other authors conducted on quasi-bichromatic illuminators [13]; at a PFD of 180 µmol m−2 s−1, the increase in plant NPQ under RB illumination is less pronounced.
Most of the published research on spinach cultivation under controlled conditions focuses on assessing the impact of light intensity levels on plant growth and development [11,12,13,14]. Therefore, of particular interest is the assessment of the influence of the spectral composition of light for different levels of light intensity on the growth and development of spinach plants, as well as on the quality of the obtained product. The purpose of our study is to assess the influence of the spectral composition and intensity of lighting on the morphological and biochemical parameters of spinach under full light culture and to select optimal lighting parameters for spinach cultivation in the conditions of vertical farms.
2. Materials and Methods
2.1. Characteristics of the Spinach Variety
To grow hydroponic spinach in full light culture, we used the mid-season (28–30 days before technical ripeness) variety of spinach ‘Zhirnolistny’, which has medium-sized compact rosettes, which are up to 28 cm in diameter. The fresh weight of one plant reaches 20–28 g. This variety is the most attractive from an economic point of view.
2.2. Cultivation Conditions
The studies were carried out in a climate chamber developed by the Federal Scientific Research Center VIM (Moscow, Russia). Plants were grown in a hydroponic flooding setup. Mineral wool was used as a substrate. The seeds were germinated in a thermostat at a temperature of 10–12 °C and a relative humidity of 70–80%, according to the recommendations [15]. Next, one sprout at a time was planted in pots with mineral wool, which were placed on racks with hydroponics using Ebb & Flow technology. To grow spinach, eight light-insulated racks were used according to the experimental variants. The area of each rack was 0.68 m2, and the planting density was 44 plants per 1 m2. A microclimate was maintained in the chamber with a day/night air temperature of 18/16 °C and a relative air humidity of 75%. To prepare nutrient solutions, a complex of fertilizers for hydroponics Flora Series® (GHE, Paris, France) was used. The chemical composition of the nutrient solution was N-NO3 15.004 mM; N-NH4 3.0 mM; P-PO4 2.50 mM; K 11.00 mM; Ca 4.50 mM; Mg 3.00 mM; S-SO4 6.00 mM; Fe 40.00 µM; B 30.00 µM; Cu 1.00 µM; Zn 5.00 µM; Mn 10.00 µM; and Mo 1.00 µM. The electrical conductivity of the nutrient solution was maintained within the range of 1600–1800 µS∙cm−1.
After reviewing the literature, some sources suggest that the optimal PFD for growing spinach is 170–190 µmol m−2 s−1, while others claim that lower PFD levels = 100–150 µmol m−2 s−1 are more favorable in terms of growth and product safety [7,11]. To find the optimal lighting mode, we selected two PFD levels, 120 and 180 µmol m−2 s−1, and four illumination spectra were provided by the combined LEDs of different spectral compositions (Table 1).
Table 1.
Spectral characteristics of lighting options.
Full-spectrum luminaires based on Refond RF-W40QI35DS-DF-J-Y LEDs (Shenzhen Refond Optoelectronics Co., Ltd., Shenzhen, China) were chosen as a control lighting option since their emission spectrum is as close as possible to the spectrum of sunlight. In other lighting options, lamps produced by FSBSI FSAC VIM were used; they consisted of combinations of the latest generation LED, TM LUXEON 2835 (Lumileds Holding B.V. (San Jose, CA, USA), for crop production, which included blue (445 nm), red (630 nm and 660 nm), far-red (730 nm and 660 nm), and white LEDs. We used similar spectra earlier in work devoted to the cultivation of leaf mustard, a long-day green crop [16]. The light period day/night was 12/12 h [12,15]. PFD and spectral irradiance measurements were performed using an MK350D Compact Spectrometer (UPRtek Corp., Miaoli County, Taiwan).
2.3. Determination of Biometric and Biochemical Indicators
To determine biometric parameters, 10 spinach plants of each variant were selected on the 30th and 45th days of cultivation. The following indicators were measured: fresh and dry plant weight, number of leaves, leaf surface area, and plant height. To obtain dry weight, the plants were crushed and dried in an oven at 100 °C until constant mass was obtained. The fresh and dry weight of plants was weighed on a Sartorius LA230S scale (Laboratory Scale, Jena, Germany). Leaf surface area was determined using a photoplanimeter LI-COR—LI-3100 AREA METER (LI-COR, Inc. Lincoln, NE, USA).
Sampling to determine the content of pigments was carried out from the leaves of the 3rd tier with the same uniformity of illumination in triplicate. A sample of fresh leaves weighing 0.1 g was crushed, and then pigments were extracted using 100% acetone. The optical density of the resulting solution was determined at 662 nm (chlorophyll a), 644 nm (chlorophyll b), and 440.5 nm (carotenoids) on a SPEX SSP-705 spectrophotometer (Spectroscopic Systems, Moscow, Russia). The pigment content was calculated using the Holm–Wettstein formula [17,18].
Determination of nitrates in the spinach plant was carried out from samples taken on the 45th day of cultivation to assess product safety before harvesting. Three plants were selected from each experimental variant, and the weight of each sample was 10 g. The selected samples were crushed, and the resulting sample was placed in a measuring glass and extracted with a 1% solution of potassium alum [19] and then stirred for 3 min on a magnetic stirrer. In the resulting suspension, the concentration of nitrate ions was measured using a pH meter—an Ethan ion meter (Tomanalit, Tomsk, Russia).
2.4. Fluorescence Measurement
To measure the activity of the light stage of photosynthesis on the 45th day of cultivation, a portable fluorometer, PAR-FluorPen FP 110-LM/D (Photon Systems Instruments, Drásov, Czech Republic), was used, which was designed to record active chlorophyll fluorescence and its further analysis using the PAM method or OJIP test. PAR-FluorPen FP 110-LM/D includes a detector (PIN photodiode with bandpass filters, operating optical range from 667 to 750 nm) and a blue LED emitter (a maximum of about 470 nm), an external light sensor [20].
The following parameters of chlorophyll fluorescence were determined: the rate of linear electron transport (ETR) and the non-photochemical quenching coefficient (NPQ). Active fluorescence was measured on leaves of the 3rd tier in triplicate. To measure NPQ, the leaf was dark-adapted for at least 30 min [21].
2.5. Data Analysis
All experiments were carried out threefold. All of the data were subjected to a two-way analysis of variance (ANOVA) using RStudio 1.4.1717 software. The significant differences (p < 0.05) in each parameter among the treatments are indicated by different letters.
3. Results and Discussion
3.1. Morphological Parameters of Spinach Plants
On the 30th day of cultivation of spinach plants, it was found that in all variants, except for the control one, the plants were more developed under lighting with an intensity of 180 µmol m−2 s−1; the best lighting options in terms of spectral composition were white with a predominance of the red component of the spectrum (V1) and red-blue (V3). The fresh weight of these plants was 2.6 and 2.4 times higher, respectively, and they were distinguished by a greater number of leaves and a 1.9 times greater leaf surface area. The results of the obtained measurements are shown in Table 2.
Table 2.
Biometric indicators of spinach plants of the ‘Zhirnolistny’ variety. Values represent mean SEM (n = 10). Letters indicate significant differences between experimental variants compared to the control group of plants (p < 0.05) according to a two-way ANOVA.
On the 45th day of cultivation, the trends in spinach growth activity under lamps of different spectral compositions changed (Figure 1). The spectral composition did not have a statistically significant effect on the growth of spinach, and high light intensity had a significant effect on the fresh and dry weight of plants, as well as on the number of leaves (Table 2). The best options for fresh weight accumulation and growth of leaf surface area were V1 at 120 and 180 µmol m−2 s−1 PFD and red-blue V3 at 180 µmol m−2 s−1 PFD. In terms of yield and energy savings, lighting option V1 at 120 µmol m−2 s−1 showed good results, but the dry weight of the plants was 13.7% less; therefore, the plants contained more moisture, which reduced their nutritional value and may affect the duration of storage.
Figure 1.
Appearance of spinach plants under studied spectral compositions and PFD levels.
3.2. Biochemical Parameters of Spinach Plants
The data obtained during our experiments are further confirmation that the pigment composition of a plant is largely dependent on the intensity and spectral composition of light. The highest concentration of chlorophyll a on the 30th and 45th days of cultivation was found when spinach plants were grown under RB light (Figure 2), with a B proportion of 30%, which looks like magenta (V3). It was previously shown that the chlorophyll content has a positive relationship with the increase in the blue component of the light spectrum [22]. We also note that at higher PFD (180 µmol m−2 s−1), total chlorophyll content was lower in all irradiance spectral compositions; hence, plants at 120 μmol m−2 s−1 were stressed due to lack of light, irrespective of irradiance spectrum. This is consistent with other studies where plants accumulated more chlorophyll at lower irradiation levels [23,24].
Figure 2.
Concentration of photosynthetic pigments of spinach plants on the 30th (a) and 45th (b) days of cultivation. The data shown are the means, and the vertical bars indicate standard errors (n = 5). Statistically significant differences are within p ≤ 0.05. The different letters indicate significant differences among groups. Capital letters were used in groups with plants grown at PFD 180 μmol m−2 s−1, capital letters in groups with PFD 120 μmol m−2 s−1, the apostrophe corresponds to chlorophylls a and b and carotenoids.
It was previously established by way of the example of beet microgreens, which, like spinach, are short-day plants and belong to the same botanical family (Amaranthaceae). The concentrations of chlorophylls a and b and carotenoids were 1.2–4.3 times higher during treatment blue light 33% at PPFD 300 µmol m−2 s−1 compared to lower doses of blue light (0, 8, 16, 25%) [25]. In our experience, a similar trend can be observed at an intensity of 120 µmol m−2 s−1. At 180 µmol m−2 s−1, no significant differences between the content of photosynthetic pigments were observed on the 30th or 45th day of cultivation.
A previous study on the different R and B ratios of LED 83R:17B; 91R:9B; 95R:5B, and 100R:0B, which was carried out at PPFD 200 µmol m−2 s−1 and a photoperiod of 16 h, showed that the plant height and number of spinach leaves did not change significantly among the experimental variants. The fresh and dry weight of the studied plants increased in light treatment 91R:9B and 95R:5B. Chlorophyll a and chlorophyll b contents in spinach were significantly increased in 91R:9B treatment [26]. In our experiment, similar results were obtained using a light intensity of 120 µmol m−2 s−1 on the 30th and 45th days of cultivation. As it was noted above, at PFD 180 µmol m−2 s−1, there was no significant difference in the content of photosynthetic pigments. Under an irradiation intensity of 120 µmol m−2 s−1, carotenoid accumulation was the highest at a high proportion of blue light (V3). In a study [26], the accumulation of carotenoids in cabbage and basil also increased significantly with a high proportion of blue light. A similar effect was observed in other studies [27,28]. This confirms that a high proportion of blue light stimulates the accumulation of carotenoids in spinach, but in our study, this relationship was observed only at low PFD levels (120 µmol m−2 s−1).
It was found [29] that spinach plants under R and red-green (RG) lighting spectrums showed signs of shading. The thickening of the leaf blade increased the content of photosynthetic pigments, and, as a consequence, resulted in a higher photosynthetic capacity compared to plants under W and RB irradiation.
In our case, spinach plants did not show signs of shading (an increase in the concentration of photosynthetic pigments) with an increase in the proportion of R and G components in the light spectrum, as shown in studies [29].
As in an early study with plants of the Brassicaceae family [16], nitrate content in spinach plants (Figure 3) decreases with increasing light intensity [7,9]. It is worth emphasizing that in our case, more contrasting values of nitrate concentration with an increase in illumination from 120 to 180 µmol m−2 s−1 were observed in the control and V2 variants with spectral compositions; in other variants, the difference was not significant. In the territory of the Russian Federation, the maximum permissible concentration of nitrates in leafy vegetables should not exceed 2000 mg/g [30,31]; thus, only lamps with the spectral composition control and V2 with a PFD of 180 µmol m−2 s−1 can be used for growing ‘Zhirnolistny’ spinach, the second of which gives greater plant productivity compared to the control.
Figure 3.
Nitrate concentration in ‘Zhirnolistny’ spinach on the 45th day of cultivation under the studied spectral compositions and PFD levels. The data shown are the means, and the vertical bars indicate standard errors (n = 5). Statistically significant differences are within p ≤ 0.05. The different letters indicate significant differences among groups.
It can be noted that in the variants with a greater proportion of the G light in the spectrum (control and V2) at a PFD level of 180 µmol m−2 s−1, the nitrate content in spinach is slightly lower than in other variants.
Recent studies show that green light has positive functions that help reduce nitrate content in plants since it is assumed that green light is involved in the regulation of nitrogen metabolism and increases plant resistance to abiotic stress [32].
The possibility of changing the spectral composition of lighting options V1 and V3 in favor of the green and red range a few days before harvest to reduce the concentration of nitrates is considered a perspective [14,33].
Light intensity has a profound effect on the accumulation of nitrates by plants, as it induces the activity of nitrate metabolic enzymes. For example, the concentration of nitrates in Brassica microgreens decreased by 37.7–84.5% with increasing light intensity from 110 to 545 µmol m−2 s−1 [34].
According to the standards of the European Union [35] established by the Council Regulation of the European Economic Community 1881/2006 of December 19, 2006, the maximum permissible nitrate content in spinach is 3500 mg/kg. That is, all nitrate values obtained using the emitters under study do not exceed the EU MAC, which means they can be used to produce products for the EU.
3.3. Chlorophyll Fluorescence Parameters
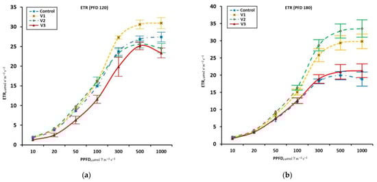
On the 45th day of spinach cultivation, the influence of the spectral composition and light intensity on the magnitude of the photosynthetic electron flow through photosystem II (ETR), and non-photochemical fluorescence quenching (NPQ) was studied (Figure 4). It is known that at low irradiation intensity, the most effective from the point of view of the photosynthetic activity of light is irradiation with light in the red range of the spectrum [36], while growing under monochrome light is not effective [37]. For this reason, we expected that with a total PFD RED of 120 µmol m−2 s−1, the highest rate between photosystems would be in variants V3 (81.6 µmol m−2 s−1 RED) and V1 (75.6 µmol m−2 s−1 RED); however, only variant V1 had the highest ETR at low irradiation intensity. Variant V3, where the light spectrum is red-blue, showed the lowest rate of electron flow through photosystem II. This is due to the low penetration of both R and B light into spinach leaves, as well as the absence of G light in the spectrum [38]. RB light had a significant effect on plant photomorphogenesis at an intensity of 120 µmol m−2 s−1. Judging by the slope of the non-photochemical fluorescence quenching curve of NPQ spinach grown under RB light (V3) with an intensity of 120 µmol m−2 s−1, after a bright flash, photosynthesis saturation occurred faster, and more energy dissipated as heat.

Figure 4.
Dependences of the rate of electron transport (ETR) (a,b) and non-photochemical quenching (NPQ) of chlorophyll fluorescence (c,d) on the PAR of spinach plants. Values represent mean SEM (n = 6).
At an intensity of 180 µmol m−2 s−1, the highest ETR was detected in options V1 and V2, which is due to the high proportion of both R and G light in the irradiation spectrum, while no significant differences were found between lighting options. G light has a beneficial effect on photosynthesis processes in spinach, allowing light to be more evenly distributed throughout the entire thickness of the leaf between the chloroplasts [36,39].
The spectral composition of illumination, in general, did not cause significant changes in spinach plants; at the same time, there was a tendency toward a decrease in ETR in plants with increasing actinic light intensity cultivated under RB light conditions (variant V3). This effect was observed in plants grown at intensity levels of 120 and 180 µmol m−2 s−1.
The results obtained suggest that it is the low ETR value and high NPQ that may be the cause of the stress state of spinach plants grown under red-blue light, but this did not affect the final productivity of the plants.
Light intensity directly affects plant growth parameters (Figure 1), thereby determining their productivity. But the light spectrum also plays an important role, so in option 1, an increase in PFD from 120 to 180 µmol m−2 s−1 did not lead to a significant increase in the fresh weight of plants, and this can be associated with the high ETR value of this option, even at low light levels. With this spectrum option, additional photosynthetic photons are not used effectively to gain biomass; growth may be delayed due to the excess light intensity [40]. Accordingly, this spectrum option is more effective for photosynthesis and, as a consequence, the productivity of spinach plants at low PFD values, but the plant dry weight was 13.7% less. At high PFD values, the sensitivity of spinach plants to the spectral composition is less pronounced; this can also be associated with the light saturation of photosynthesis [41]. At the same time, energy costs increase to maintain a high PFD without a proportional yield response. For other green crops, increasing the photoperiod may also increase productivity [42], but for spinach plants, this is not permissible due to the start of the flowering phase, and the selection of light quality remains preferable to increase productivity. However, the mechanisms of action of different parts of the spectrum on the productivity and quality of spinach at different light levels are largely unknown, which merits further study of the influence of lighting conditions.
4. Conclusions
In the middle of the active growth period on day 30, spinach plants accumulated 2.6- and 2.4-fold more crude mass under V1 and V3 illumination at an intensity of 180 μmol m−2 s−1 and differed by 1.9-fold in the leaf surface area. At the end of cultivation, before harvesting spinach on the 45th day, only high light intensity had a significant effect on the fresh and dry weight and number of plant leaves. Reduced photosynthetic efficiency, as indicated by lower ETR values, was observed in the control and V3 plants, but this did not have a significant effect on plant productivity. The best options in terms of fresh weight accumulation and increasing leaf surface area were V2 (the total proportion of R and G in the spectrum was maximum) and red-blue V3, with a PFD of 180 µmol m−2 s−1. In terms of yield and energy savings, lighting option V1 at 120 µmol m−2 s−1 showed good results, but the plant dry weight was 13.7% less. A high light intensity is often expensive and difficult to maintain, and V1 treatment will be preferable. In these lighting options, spinach plants comply with EU standards for nitrate content. The results of this study may provide spinach growers with a better understanding of optimal lighting conditions to improve spinach productivity.
Author Contributions
Conceptualization and methodology, N.O.C. and N.A.S.; validation, N.A.S. and A.S.I.; formal analysis, N.A.S. and A.A.D.; investigation and resources, A.A.S. and N.I.U.; writing—original draft preparation, A.A.S., D.A.B. and Y.A.P.; writing—review and editing, N.A.S., N.O.C. and Y.A.P., visualization, Y.A.P.; supervision and funding acquisition, A.S.D.; project administration, A.S.D. All authors have read and agreed to the published version of the manuscript.
Funding
This research was funded by a grant from the Ministry of Science and Higher Education of the Russian Federation for large scientific projects in priority areas of scientific and technological development (subsidy identifier 075-15-2020-774).
Data Availability Statement
No additional data are available.
Conflicts of Interest
The authors declare no conflict of interest. The funders had no role in the design of the study, in the collection, analyses, or interpretation of the data, in the writing of the manuscript, or in the decision to publish the results.
References
- Roberts, J.L.; Moreau, R. Functional properties of spinach (Spinacia oleracea L.) phytochemicals and bioactives. Food Funct. 2016, 7, 3337–3353. [Google Scholar] [CrossRef] [PubMed]
- Chen, Y.-S.; Li, J.; Neja, S.; Kapoor, S.; Perez, J.E.T.; Tripathi, C.; Menon, R.; Jayaraman, A.; Lee, K.; Dashwood, W.M.; et al. Metabolomics of Acute vs. Chronic Spinach Intake in an Apc-Mutant Genetic Background: Linoleate and Butanoate Metabolites Targeting HDAC Activity and IFN-γ Signaling. Cells 2022, 11, 573. [Google Scholar] [CrossRef] [PubMed]
- Ko, S.H.; Park, J.H.; Kim, S.Y.; Lee, S.W.; Chun, S.S.; Park, E. Antioxidant Effects of Spinach (Spinacia oleracea L.) Supplementation in Hyperlipidemic Rats. Prev. Nutr. Food. Sci. 2014, 19, 19–26. [Google Scholar] [CrossRef] [PubMed]
- Gutierrez, R.M.P.; Velazquez, E.G.; Carrera, S.P.P. Spinacia oleracea Linn Considered as One of the Most Perfect Foods: A Pharmacological and Phytochemical Review. Mini Rev. Med. Chem. 2019, 19, 1666–1680. [Google Scholar] [CrossRef]
- EWG’s 2022 Shopper’s Guide to Pesticides in Produce. 2022. Available online: https://www.ewg.org/foodnews/summary.php (accessed on 7 September 2023).
- Karwowska, M.; Kononiuk, A. Nitrates/Nitrites in Food-Risk for Nitrosative Stress and Benefits. Antioxidants 2020, 9, 241. [Google Scholar] [CrossRef]
- Najera, C.; Urrestarazu, M. Effect of the intensity and spectral quality of LED light on yield and nitrate accumulation in vegetables. HortScience 2019, 54, 1745–1750. [Google Scholar] [CrossRef]
- Gao, W.; He, D.; Ji, F.; Zhang, S.; Zheng, J. Effects of Daily Light Integral and LED Spectrum on Growth and Nutritional Quality of Hydroponic Spinach. Agronomy 2020, 10, 1082. [Google Scholar] [CrossRef]
- Nguyen, T.-P.-D.; Vu, N.-T.; Tran, T.-T.-H.; Nguyen, Q.-T.; Cao, P.-B.; Kim, I.-S.; Jang, D.-C. Growth and Quality of Hydroponic Cultivated Spinach (Spinacia oleracea L.) Affected by the Light Intensity of Red and Blue LEDs. Sains Malays. 2022, 51, 473–483. [Google Scholar] [CrossRef]
- Ohashi-Kaneko, K.; Takase, M.; Kon, N.; Fujiwara, K.; Kurata, K. Effect of Light Quality on Growth and Vegetable Quality in Leaf Lettuce, Spinach and Komatsuna. Environ. Control. Biol. 2007, 45, 189–198. [Google Scholar] [CrossRef]
- Zou, T.; Huang, C.; Wu, P.; Ge, L.; Xu, Y. Optimization of Artificial Light for Spinach Growth in Plant Factory Based on Orthogonal Test. Plants 2020, 9, 490. [Google Scholar] [CrossRef]
- Lebedeva, O.S.; Osipova, G.S. The Influence of Irradiation Power on the Growth, Development and Productivity of Spinach Varieties When Grown in Closed Systems. Intellectual Potential of Young Scientists as a Driver for the Development of the Agro-Industrial Complex: Proceedings of the International Scientific and Practical Conference of Young Scientists and Students; St. Petersburg State Agrarian University: St Petersburg, Russia, 2021; pp. 97–100. [Google Scholar]
- Agarwal, A.; Gupta, S.D.; Barman, M.; Mitra, A. Photosynthetic apparatus plays a central role in photosensitive physiological acclimations affecting spinach (Spinacia oleracea L.) growth in response to blue and red photon flux ratios. Environ. Exp. Bot. 2018, 156, 170–182. [Google Scholar] [CrossRef]
- Matsuda, R.; Ohashi-Kaneko, K.; Fujiwara, K.; Kurata, K. Analysis of the relationship between blue-light photon flux density and the photosynthetic properties of spinach (Spinacia oleracea L.) leaves with regard to the acclimation of photosynthesis to growth irradiance. Soil Sci. Plant Nutr. 2007, 53, 459–465. [Google Scholar] [CrossRef]
- Spinach. 7 Components of Cultural Success. Available online: https://gavrishprof.ru/info/publications/shpinat-7-sostavlyayushchih-uspeha-kultury (accessed on 7 September 2023).
- Semenova, N.A.; Smirnov, A.A.; Dorokhov, A.S.; Proshkin, Y.A.; Ivanitskikh, A.S.; Chilingaryan, N.O.; Dorokhov, A.A.; Yanykin, D.V.; Gudkov, S.V.; Izmailov, A.Y. Evaluation of the Effectiveness of Different LED Irradiators When Growing Red Mustard (Brassica juncea L.) in Indoor Farming. Energies 2022, 15, 8076. [Google Scholar] [CrossRef]
- Holm, G. Chlorophyll mutations in barley. Acta Agric. Scand. 1954, 4, 457–471. [Google Scholar] [CrossRef]
- Wettstein, D. Chlorophyll letale und der submikroskopische Formwechsel der Plastiden. Exp. Cell Res. 1957, 12, 427–434. [Google Scholar] [CrossRef] [PubMed]
- GOST 29270-95–2012; Interstate Standard for Processed Fruits and Vegetables. Methods for Determining Nitrates. Interstate Council for Standardization, Metrology and Certification: Moscow, Russia, 2012; p. 11.
- Padhi, B.; Chauhan, G.; Kandoi, D.; Stirbet, A.; Tripathy, B.C.; Govindjee, G. A comparison of chlorophyll fluorescence transient measurements, using Handy PEA and FluorPen fluorometers. Photosynthetica 2021, 59, 399–408. [Google Scholar] [CrossRef]
- Puglielli, G.; Redondo-Gómez, S.; Gratani, L.; Mateos-Naranjo, E. Highlighting the differential role of leaf paraheliotropism in two Mediterranean Cistus species under drought stress and well-watered conditions. J. Plant Physiol. 2017, 213, 199–208. [Google Scholar] [CrossRef] [PubMed]
- Hogewoning, S.W.; Trouwborst, G.; Maljaars, H.; Poorter, H.; van Ieperen, W.; Harbinson, J. Blue light dose-responses of leaf photosynthesis, morphology, and chemical composition of Cucumis sativus grown under different combinations of red and blue light. J. Exp. Bot. 2010, 61, 3107–3117. [Google Scholar] [CrossRef] [PubMed]
- Liu, L.; Lin, N.; Liu, X.; Yang, S.; Wang, W.; Wan, X. From Chloroplast Biogenesis to Chlorophyll Accumulation: The Interplay of Light and Hormones on Gene Expression in Camellia sinensis cv. Shuchazao Leaves. Front. Plant Sci. 2020, 11, 256. [Google Scholar] [CrossRef]
- Kappel, F.; Flore, J.A. Effect of Shade on Photosynthesis, Specific Leaf Weight, Leaf Chlorophyll Content, and Morphology of Young Peach Trees. J. Am. Soc. Hortic. Sci. 1983, 108, 541–544. [Google Scholar] [CrossRef]
- Samuolienė, G.; Viršilė, A.; Brazaitytė, A.; Jankauskienė, J.; Sakalauskienė, S.; Vaštakaitė, V.; Novičkovas, A.; Viškelienė, A.; Sasnauskas, A.; Duchovskis, P. Blue light dosage affects carotenoids and tocopherols in microgreens. Food Chem. 2017, 228, 50–56. [Google Scholar] [CrossRef]
- Naznin, M.; Lefsrud, M.; Gravel, V.; Azad, M. Blue Light added with Red LEDs Enhance Growth Characteristics, Pigments Content, and Antioxidant Capacity in Lettuce, Spinach, Kale, Basil, and Sweet Pepper in a Controlled Environment. Plants 2019, 8, 93. [Google Scholar] [CrossRef] [PubMed]
- Li, Y.; Zheng, Y.; Liu, H.; Zhang, Y.; Hao, Y.; Song, S.; Lei, B. Effect of supplemental blue light intensity on the growth and quality of Chinese kale. Hortic. Environ. Biotechnol. 2018, 60, 49–57. [Google Scholar] [CrossRef]
- Li, Q.; Kubota, C. Effects of supplemental light quality on growth and phytochemicals of baby leaf lettuce. Environ. Exp. Bot. 2009, 67, 59–64. [Google Scholar] [CrossRef]
- Vitale, L.; Vitale, E.; Guercia, G.; Turano, M.; Arena, C. Effects of different light quality and biofertilizers on structural and physiological traits of Spinach plants. Photosynthetica 2020, 58, 932–943. [Google Scholar] [CrossRef]
- Resolution of the Chief State Sanitary Doctor of the Russian Federation Dated November 14, 2001 N 36 “On the Implementation of Sanitary Rules” (as Amended on 31 May, 20 August 2002, 15 April 2003). Available online: https://soeks.ru/informaciya/normy_pdk (accessed on 7 September 2023).
- Technical Regulations of the Customs Union TR CU 021/2011 “On the Safety of Food Products” (as Amended on 14 July 2021). Available online: https://docs.cntd.ru/document/902320560 (accessed on 7 September 2023).
- Bian, Z.; Wang, Y.; Zhang, X.; Li, T.; Grundy, S.; Yang, Q.; Cheng, R. A Review of Environment Effects on Nitrate Accumulation in Leafy Vegetables Grown in Controlled Environments. Foods 2020, 9, 732. [Google Scholar] [CrossRef]
- Bian, Z.H.; Cheng, R.F.; Wang, Y.; Yang, Q.C.; Lu, C.G. Effect of green light on nitrate reduction and edible quality of hydroponically grown lettuce (Lactuca sativa L.) under short-term continuous light from red and blue light- emitting diodes. Environ. Exp. Bot. 2018, 153, 63–71. [Google Scholar] [CrossRef]
- Samuolienė, G.; Brazaitytė, A.; Jankauskienė, J.; Viršilė, A.; Sirtautas, R.; Novičkovas, A.; Sakalauskienė, S.; Sakalauskaitė, J.; Duchovskis, P. LED irradiance level affects growth and nutritional quality of Brassica microgreens. Open Life Sci. 2013, 8, 1241–1249. [Google Scholar] [CrossRef]
- Council Regulation of the European Economic Community 1881/2006 of December 19, 2006 on the Establishment of Maximum Permissible Contents of Certain Pollutants (Contaminants) in Food Products Appendix. Maximum Levels of Contaminants in Food Section 1: Nitrates. Available online: https://base.garant.ru/2568274/baf8d0298b9a3923e3794eecbe3d1996/ (accessed on 7 September 2023).
- Liu, J.; van Iersel, M.W. Photosynthetic Physiology of Blue, Green, and Red Light: Light Intensity Effects and Underlying Mechanisms. Front. Plant Sci. 2021, 12, 619987. [Google Scholar] [CrossRef]
- Izzo, L.G.; Mele, B.H.; Vitale, L.; Vitale, E.; Arena, C. The role of monochromatic red and blue light in tomato early photomorphogenesis and photosynthetic traits. Environ. Exp. Bot. 2020, 179, 104195. [Google Scholar] [CrossRef]
- Sun, J.; Nishio, J.N.; Vogelmann, T.C. Green Light Drives CO2 Fixation Deep within Leaves. Plant Cell Physiol. 1998, 39, 1020–1026. [Google Scholar] [CrossRef]
- Terashima, I.; Fujita, T.; Inoue, T.; Chow, W.S.; Oguchi, R. Green Light Drives Leaf Photosynthesis More Efficiently than Red Light in Strong White Light: Revisiting the Enigmatic Question of Why Leaves are Green. Plant Cell Physiol. 2009, 50, 684–697. [Google Scholar] [CrossRef] [PubMed]
- Herrmann, H.A.; Schwartz, J.M.; Johnson, G.N. From empirical to theoretical models of light response curves—Linking photosynthetic and metabolic acclimation. Photosynth. Res. 2020, 145, 5–14. [Google Scholar] [CrossRef] [PubMed]
- Xin, P.; Li, B.; Zhang, H.; Hu, J. Optimization and Control of the Light Environment for Greenhouse Crop Production. Sci. Rep. 2019, 9, 8650. [Google Scholar] [CrossRef] [PubMed]
- Kelly, N.; Choe, D.; Meng, Q.; Runkle, E.S. Promotion of Lettuce Growth under an Increasing Daily Light Integral Depends on the Combination of the Photosynthetic Photon Flux Density and Photoperiod. Sci. Hortic. 2020, 272, 109565. [Google Scholar] [CrossRef]
Disclaimer/Publisher’s Note: The statements, opinions and data contained in all publications are solely those of the individual author(s) and contributor(s) and not of MDPI and/or the editor(s). MDPI and/or the editor(s) disclaim responsibility for any injury to people or property resulting from any ideas, methods, instructions or products referred to in the content. |
© 2023 by the authors. Licensee MDPI, Basel, Switzerland. This article is an open access article distributed under the terms and conditions of the Creative Commons Attribution (CC BY) license (https://creativecommons.org/licenses/by/4.0/).