Abstract
Physiological responses of different interspecific Pyrus hybrids and an open pollinated Pyrus communis ‘Williams’ (Pcw) grown under in vitro culture conditions simulating lime induced chlorosis were studied. The hybrids were derived from crosses between the ‘Pyriam’ pear rootstock and four Pyrus species of the Mediterranean region, namely P. amygdaliformis Vill. (Pa), P. amygdaliformis persica Bornme. (Pap), P. communis cordata (Desv.) Hook. (Pcc), and P. elaeagrifolia Pall (Pe), all known for their higher field tolerance to iron-chlorosis than P. communis. Twenty hybrids and one open pollinated Pcw were micropropagated, and plantlets were in vitro characterized for their physiological responses to iron-deficiency conditions. Rooted plantlets were transferred to a culture medium with 2 µM Fe3+ DTPA and 10 or 20 mM NaHCO3. These physiological responses were scored at 1, 3, 7, and 28 days from the start of the in vitro assay. Leaf total chlorophyll content, the capacity of roots to acidify the medium, reduced iron, and exudates of phenolic acids and organic acids were analyzed in each media and time sample. Leaf chlorophyll levels for the clones derived from Pcc were the highest, especially under the highest bicarbonate concentration, followed by those derived from Pap and Pa. The higher chlorophyll content of Pcc clones were related with their higher capacity to acidify the media but not with their iron reduction capacity at the root level. On the other hand, hybrid clones derived from Pe showed a higher Fe3+ reduction ability than clones from all the other species during the whole assay but only when the bicarbonate concentration was lower. The exudation of phenolic acids by the roots was higher in Pcw than in the other species, and this response might explain why the total chlorophyll levels in Pcw clones are similar to those of Pe and Pa ones. These results with Pyrus spp. bring more evidence in support of the idea that iron reduction capacity at the root level is not directly related with a higher tolerance to iron deficiency caused by the high pH of calcareous soils. Instead, the ability to acidify the rhizosphere is the trait of choice for the selection of the pear hybrid clones better adapted to lime induced chlorosis. In addition, the in vitro assay to select the Pyrus clones for tolerance to iron chlorosis could be shortened to one week of culture in 10 mM NaHCO3, measuring the leaf chlorophyll level, acidification of the culture medium, and exudation of phenolic acids as the physiological responses to predict tolerance to lime-induced chlorosis.
1. Introduction
Iron is an essential element for plants and it is vital for photosynthesis, respiration, and plant growth. Despite its high abundance in the Earth’s crust, Fe is frequently inaccessible to plants as it tends to form insoluble ferric hydroxide complexes under aerobic and alkaline conditions. Plants grown in calcareous soils cope with Fe deficiency leading to reductions in growth, crop yield, and quality. Under low Fe availability, iron deficiency chlorosis (IDC) is a common growth limiting condition for plants. This iron chlorosis is caused by the low availability of iron in soils with a high content in calcium carbonate and high pH. In fruit crops, this nutritional disorder limits growth, affects fruit quality, and causes great economic losses in a wide range of fruit crops, such as peach, pear, quince, kiwifruit, and grapes cultivated in the Mediterranean basin [,,,,,]. The abundance of calcareous soils and limestone in the Mediterranean area and worldwide, buffers the soil pH, neutralizing the acidification response carried out by the roots of some plant species, which aggravates the low availability of iron in the soil []. Iron deficiency and a decrease in the iron redistribution capacity from adult leaves to growing parts leads to a reduction in photosynthetic activity, subsequent growth inhibition of the plant, and a decline in the crop [,,]. The use of rootstocks tolerant to lime-induced chlorosis is the best alternative to prevent iron chlorosis in fruit crops [,,]. Starting in 1998 in INRAE [] and to date, a breeding program is going on for selecting pear hybrid rootstocks, generated from interspecific crosses between species with desirable characteristics to overcome soil and disease problems in Mediterranean environments [].
Fruit trees are classified as strategy I plants, which under iron deficiency conditions develop morphological and biochemical changes aimed at enhancing its acquisition from the soil []. Some morphological changes include the development of lateral roots, formation of root hairs, and differentiation of specialized transfer cells to increase the surface area between the plant and the soil for improving the iron uptake. The biochemical and physiological changes can include local rhizosphere acidification, synthesis of organic acids, and reducing the capacity of Fe3+ [,,,]. This acidification helps to increase the solubility of Fe(III) complexes in the soil, followed by the reduction of Fe(III) to Fe(II) and the subsequent uptake by the roots. After acidification, this reduction is performed by the membrane-bound ferric chelate reductase FRO2 (ferric reductase oxidase 2). Iron is then taken up into root epidermal cell layers by the specialized root Fe2+ iron transporter IRT1 []. The reduction from Fe(III) to Fe(II) appears to be crucial; a tight regulation of Fe homeostasis is essential, and it is strictly controlled by regulating iron uptake, transport, and storage.
A temporal solution to iron deficiency in high pH calcareous soils is the periodic application of chelated iron in its reduced form. However, a more desirable permanent strategy is breeding for genotypes tolerant to lime induced chlorosis. In fruit trees, the selection of rootstocks is performed by obtaining genotypes which confer tolerance to the grafted varieties. For this reason, peach varieties are grafted on rootstocks, which are hybrids between almond (Prunus amygdalus Mill.) that are more tolerant to calcareous soils, and peach (P. persica L.), which confer good compatibility with the varieties. The currently existing pear rootstocks are clones of Pyrus or Cydonia. Quince rootstocks can be unattractive because of their incompatibility with some varieties and their susceptibility to calcareous soils. Pyrus rootstocks have a better tolerance to these soils, are fire blight tolerant, and compatible with pear varieties. A breeding program using interspecific hybridization between ‘Pyriam’ and diploid Pyrus species [] has been developed. A part of this program [], dealing with higher tolerance to global warming, is done in collaboration with IRTA, and it is under development to improve the tolerance to lime induced chlorosis in Spain [,]. Four Mediterranean species belonging to INRAE Angers genetics resources have been chosen for their tolerance to drought, hot summers, and to iron chlorosis [].
As reported in [], and more recently [], some Pyrus genotypes, compared with quince (Cydonia oblonga), are able to improve the acquisition of Fe through increasing the enzymatic reduction of Fe(III) through the ferric chelate reductase activity and acidification of the root apoplast, with a higher activity of H+-ATPase. The possibility of simulating in vitro the Fe-limiting environmental conditions caused by high pH, calcareous soils, and the induction of genetic variation has previously been used [] to generate quince clones with a higher tolerance to lime-induced chlorosis. Their superior performance was subsequently checked under field conditions []. Similar in vitro culture conditions were used in the present work, first to study the differential physiological responses of Pyrus interspecific hybrids to lime-induced chlorosis, and second to simplify and shorten the in vitro selection protocol for future selection of seedlings or clones.
2. Material and Methods
Plant Material. Twenty-one clones were established in vitro between 2012 and 2014 from field plots of the pear rootstocks breeding program, oriented to select the most tolerant to iron chlorosis after being grafted with the commercial variety ‘Conference’ and in comparison with Cydonia oblonga ‘BA29’ [,]. Twenty of these clones were derived from interspecific crosses between OH11, also named ‘Pyriam’ [], and four Pyrus species, namely P. amygdaliformis (Pa), P. amygdaliformis spp persica (Pap), P. communis spp cordata (Pcc), and P. elaeagrifolia (Pe). These Pyrus parents were selected for their higher field tolerance to iron-chlorosis, drought, hot summers and sandy soil than P. communis []. Two clones (coded 74 and 170) were ‘Pyriam’ x Pa hybrids, eight clones (coded 66, 101, 103, 105, 109, 123, 129, and 162) were ‘Pyriam’ x Pap hybrids, seven clones (coded 25, 32, 36, 38, 45, 87, and 88) were ‘Pyriam’ x Pcc hybrids, and three clones (coded 55, 58, and 111) were ‘Pyriam’ x Pe hybrids. In addition, a clone (coded 12) derived from open pollinated P. communis ‘Williams’ (Pc) was included.
In vitro culture micropropagation and rooting. The protocol, culture medium, and conditions used for the multiplication were as described in []. Basically, the Murashige and Skoog media [], supplemented with sucrose (30 g·L−1), myo-inositol (100 mg·L−1), tiamina-HCl (1 mg·L−1), nicotinic acid (1 mg·L−1), pyridoxine-HCl (1 mg·L−1), 5 µM Benzylaminopurine (BAP), pH adjusted to 5.7, and Difco Bacto-agar (7 g·L−1), was used to induce vegetative growth. Cultures were kept at a temperature between 24 and 26 °C and with a photoperiod of 16 h day/8 h night (100–150 μEm−2s−1). Before rooting, shoot elongation was achieved using the double phase culture system as previously described []. Rooting of 4- to 6-cm-long shoots was induced by culturing shoots in half strength Murashige and Skoog media, supplemented with 10 mM Fe-EDTA and 10 uM of the auxin Indolebutyric acid (IBA). Cultures were kept in the dark for 7 days and then transferred to an auxin free medium for three more weeks under light conditions.
In vitro assays. Plantlets with a developed root system and with three to four new leaves (Figure 1A) were selected for the lime-induced chlorosis in vitro test as earlier reported [], using a medium described by []. Twenty-four plants per genotype and treatment were submitted from 2012 to 2016 to different conditions by adding 10 or 20 mM NaHCO3 and 2 µM Fe(III)DTPA.

Figure 1.
Rooted plant material used for the in vitro iron deficiency assay (A) in liquid cultures with a paper bridge (B) at day 0 of the assay, and after a 28-day-long culture under iron deficiency conditions in medium with 20 mM NaHCO3 (C,D), showing high leaf chlorophyll levels in the case of ‘Pyriam’ x Pyrus communis spp cordata hybrid Pcc38 (C) or leaf chlorosis in the open pollinated P. communis ‘Williams’ Pcw12 (D). Bars are 1-cm-long.
The conditions of iron deprivation were achieved by transferring the plants to bottles Magentas® (Figure 1B) with chromatography paper bridges (WhatmanTM, GE Heathcare UK Limited, Maidstone, UK) to give stability to the plant as described in [] and adding 25 mL of liquid medium, which was renewed twice a week.
Total chlorophyll level. The chlorophyll level was measured, using a SPAD-502 meter (Minolta Co., Osaka, Japan) on the first and the second expanded leaves, starting from the shoot apex.
Culture medium pH. The pH of the nutrient solution was measured with a pH-meter on days 1, 3, 7, and 28 of culture when the nutrient solution was renewed with a fresh solution, under sterile conditions.
Iron reduction. The ferric chelate reductase (FC-R) activity was monitored in all genotypes following the protocol adapted by []. Four plants per genotype and the treatment were incubated in amber vials containing 11 mL of fresh nutrient solution, with 0.3 mM BPDS and 100 µM Fe(III)-EDTA solution pH 6.0 at a temperature of 24–26 °C, photoperiod 16 h light / 8 h dark (100–150 μEm−2s−1) for 24 h. The ferric chelate reductase (FC-R) activity was measured in absorbance at 535 nm with a spectrophotometer. The amount of reduced iron was calculated from the concentration of the complex Fe(II)-(BPDS) using an extinction coefficient of 22.14 mM·cm−1, and it was expressed in nmol Fe(II) reduced g−1 FW root h−1 [,]. This determination was performed on days 1, 3, 7, and 28.
Total phenols. Phenolics were extracted according to [] with modifications [,]. In brief, shoots were extracted with 70% methanol and after centrifugation (10 min, 5000× g) the supernatant was reextracted three times with ethyl ether to eliminate ether-soluble lipids. The remaining water phase was treated with 2 M HCl for acid hydrolysis of soluble conjugated phenolics. After extraction with ethyl acetate and drying, the residue was redissolved in 50% methanol. Concentrations of phenolic substances in this extract were determined with an HPLC system (Shimadzu LC-10AT) equipped with a diode-array detector (250–400 nm, Shimadzu SPD-M10Avp), using a C18 Nucleosil® column (Sigma-Aldrich, Madrid, Spain) and a gradient solvent-elution (2% acetic acid in water and acetonitrile-water-acetic acid, 80:18:2). The analysis of total free phenols in the samples was performed according to the method for the determination of total phenols by Folin–Ciocalteu spectrophotometry []. The determination was made by comparing the absorbance to an external reference phenol standard curve of gallic acid. Results were expressed in GAE (Gallic Acid Equivalents).
Extraction and analysis of simple organic acids. Root samples of 1 g FW were homogenized in a porcelain mortar with 0.025 N HCl, vortexed, centrifuged at 10,000 rpm for 20 min at 4 °C, and the supernatant was recovered. This supernatant was passed through a Sep-pack Plus C18 cartridge (Waters) previously activated with MeOH, Milli-Q Water and HCl 0.025 N, and then filtered through a Millex 0.22 µm (Millipore, Burlington, MA, USA) directly into a glass HPLC vial [].
Extracts were analyzed by an HPLC system (LC-10 AT, Shimadzu Corporation, Kyoto, Japan) coupled with a C18 AtlantisTM column (Waters Corporation, Milford, MA, USA). Analytical conditions were as follows: 10 µL of injection volume, 0.5 mL min−1 flow rate, 30 °C for column temperature, NaH2PO4 (pH 2.7) as mobile phase, 20 min of run time, and 210 nm wavelength detection []. Identification of the organic acids in the samples was achieved by comparison of component retention times in standard solutions. To quantify the organic acids in the extracts, the integrate peak area of known concentrations of the standards were used to build a calibration curve.
Statistical Analysis of the Results
Each experiment with a completely randomized design consisted of four randomly selected rooted plantlets per clone and treatment. The responses of all clones, derived from the same inter-specific hybrid, were pooled together to analyze the results. Statistical tests included analysis of variance, separation of means by Fisher’s protected LSD, and planned contracts [] using the software JMP® (SAS Institute Inc., Cary, NC, USA).
3. Results and Discussion
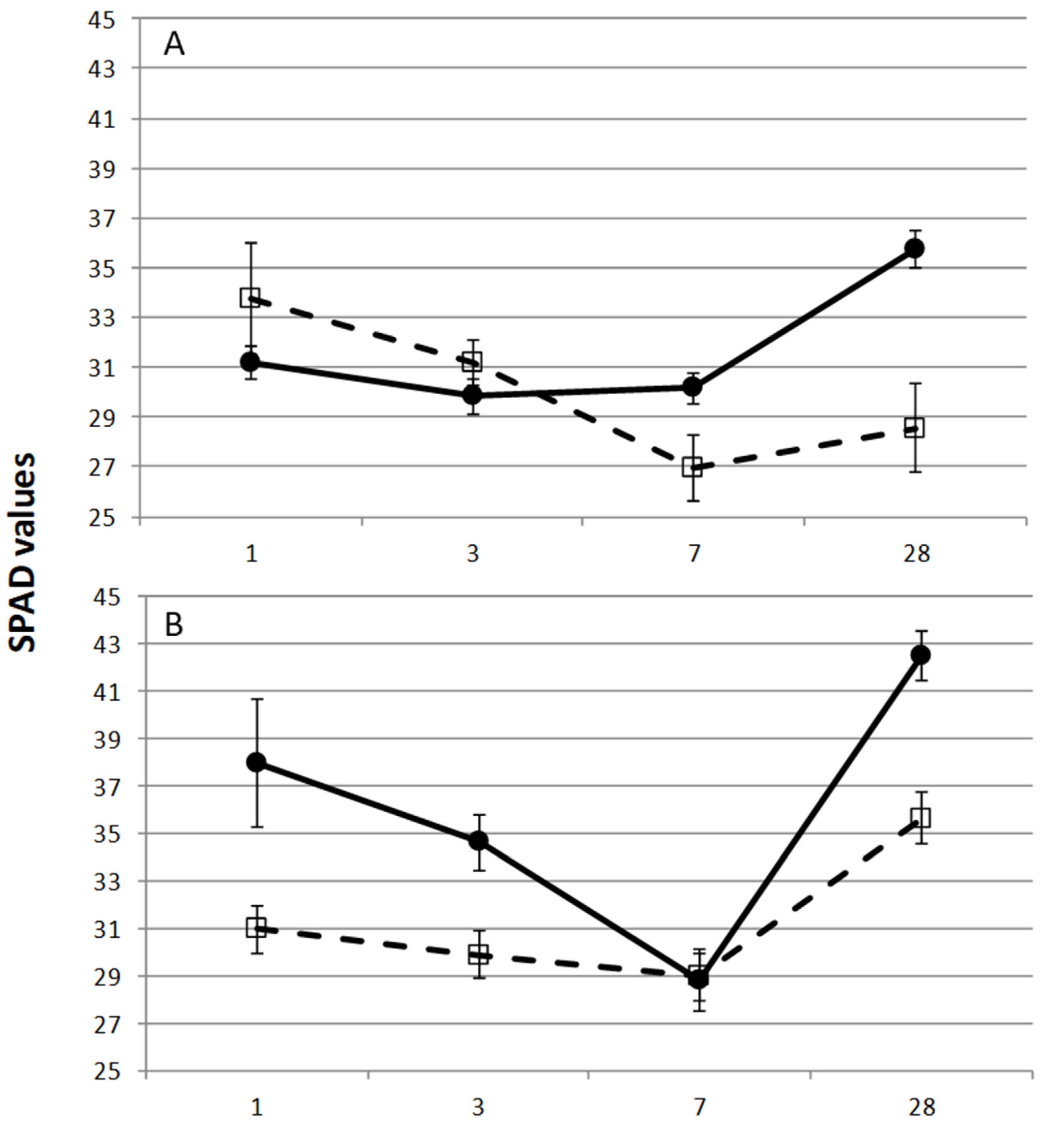
Total chlorophyll level. Genotypic differences were observed on the leaf chlorophyll levels under iron deprivation, indicating a differential susceptibility to lime-induced chlorosis (Figure 1C,D). Increasing the level of bicarbonate, which rises the pH buffering capacity of the culture medium, resulted in a further decrease in the leaf chlorophyll content, and it better discriminated the most tolerant hybrids.
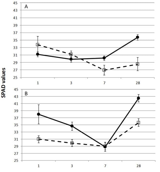
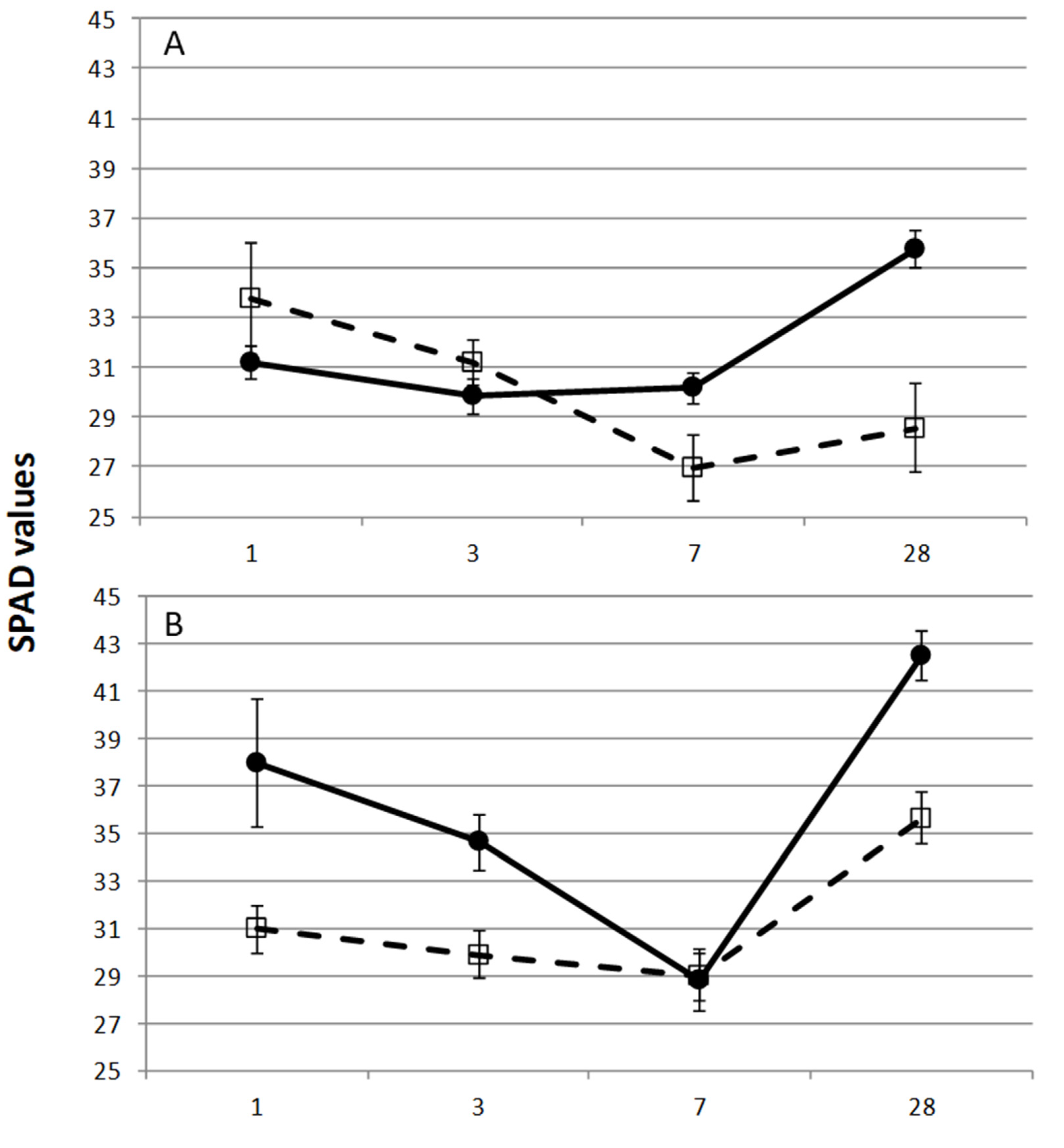
When grown in the lower concentration of NaHCO3 (10 mM), plantlets belonging to hybrids with Pa, Pap, Pcc, and Pe showed similar behavior during the time of conditioning (Figure 2A), significantly (p = 0.006) different to Pcw. While for the former group of hybrids, the leaf chlorophyll level decreased during the first 3 days, it recovered starting at day 7 and reached a maximum at the end of the assay. Contrastingly, the Pcw presented a continuous decrease in the leaf chlorophyll level which never recovered to the initial values.

Figure 2.
Total chlorophyll level (SPAD) measured in leaves from four interspecific Pyrus hybrids (Pa, Pap, Pcc, Pe) and open pollinated Pyrus communis ‘Williams’ (Pcw) under in vitro iron deficiency conditions (during 1, 3, 7, and 28 days) in liquid medium with 10 mM (A) and 20 mM (B) NaHCO3. At 10 mM NaHCO3 (A), Pa, Pap, Pcc, and Pe (
) have the same behavior and they are significantly different (p = 0.006) from Pcw (
). At 20 mM NaHCO3 (B), the Pap, Pcw, and Pe (
) have the same behavior and they are significantly different (p = 0.034) from Pcc (
). Mean values come from the measurements of the three upper first leaves from each plantlet, with four replicates per genotype. Bars represent the standard error.




Moreover, under the more extreme iron limiting conditions (20 mM NaHCO3) (Figure 2B), hybrids belonging to Pcc had a higher leaf chlorophyll content than the other species (p = 0.034), during the first days (1st and 3rd) and also at the end of the assay. The recovery of the leaf chlorophyll content under the higher pH buffering capacity of this conditioning media was slower than at 10 mM NaHCO3, as indicated by the fact that on the seventh day the chlorophyll level reached a minimum for all hybrids.
Outstandingly, P. communis cordata (Pcc) was found to be significantly different from the rest of the individuals (Figure 3), presenting a much higher recovery capacity of the leaf chlorophyll content (Figure 2B). Instead, P. communis ‘Williams’ (Pcw) was the most sensitive to iron chlorosis even under mild pH buffering conditions (Figure 2A). The hybrids belonging to Pap had a better tolerance than Pcw and Pe. The level of tolerance to iron chlorosis, considering the leaf chlorophyll content, was similar among the hybrids derived from Pa, Pcw, and Pe (Figure 3). These results are in accordance to what was formerly observed in field plots, after grafting with a pear variety, as well as in previous in vitro assays [,,].

Figure 3.
Average total chlorophyll level (SPAD) measured in leaves from four interspecific Pyrus hybrids (Pa, Pap, Pcc, Pe) and open pollinated Pyrus communis ‘Williams’ (Pcw) under in vitro iron deficiency conditions. Since no significant interaction was observed between NaHCO3 and Pyrus species (p = 0.452), mean values come from the measures of 32 replicates per genotype. Bars represent the standard error. Hybrids with different letter are significantly different (Tukey, p < 0.05).
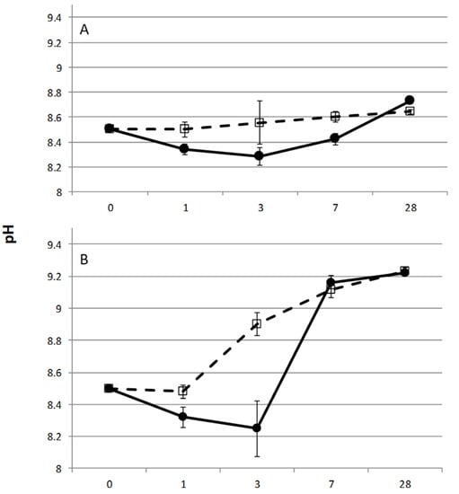
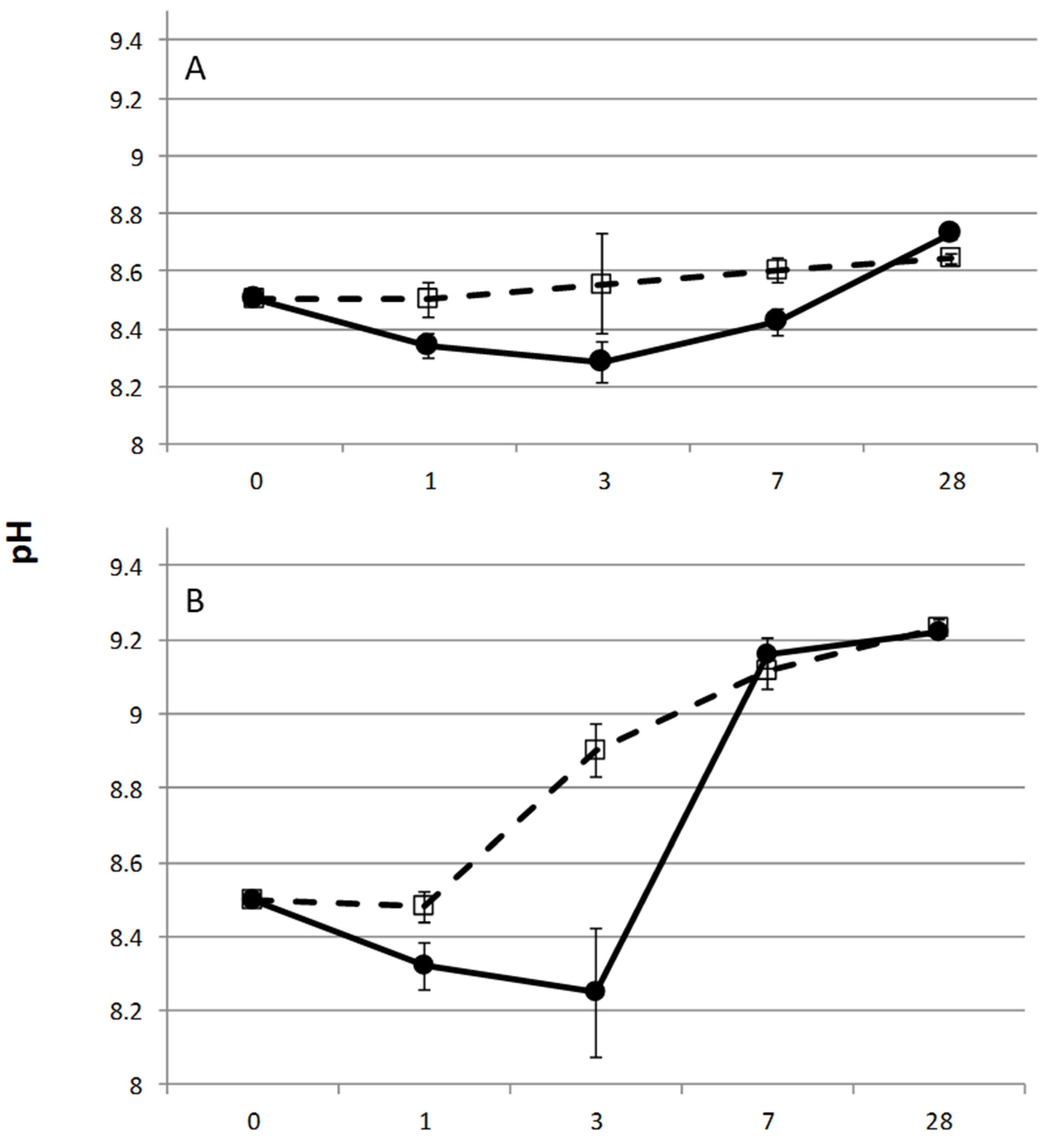
pH of the culture medium. Acidification of the rhizosphere is one of the physiological responses that strategy I plants have to counteract lime-induced chlorosis. Here we found that the acidification of the culture media was determined by the Pyrus spp parents of the evaluated hybrids. When the medium with 10 mM NaHCO3 was employed (Figure 4A), Pa, Pcc, Pcw, and Pe had a higher capacity to acidify the media than Pap (p = 0.027). Instead, when the NaHCO3 concentration was higher, hybrids derived from Pcc had a significantly higher acidifying capacity than the other four species (p < 0.001). The higher capacity of Pcc to acidify the medium was maintained up to the third day of culture conditioning, even with the 20 mM NaHCO3 treatment. This ability was clearly related to a higher leaf chlorophyll content.

Figure 4.
Medium acidification by roots of plantlets belonging to four interspecific Pyrus hybrids (Pa, Pap, Pcc, Pe) and open pollinated Pyrus communis ‘Williams’ (Pcw) under in vitro iron deficiency conditions (during 0, 1, 3, 7, and 28 days) in liquid medium with 10 mM (A) and 20 mM (B) NaHCO3. At 10 mM NaHCO3 (A), Pa, Pcc, Pcw, and Pe (
) have the same behavior and they are significantly different (p = 0.027) from Pap (
). At 20 mM NaHCO3 (B), Pcc (
) is significantly different (p < 0.001) from Pa, Pap, Pcw, and Pe (
), which have the same performance. Mean values come from the measures taken on the culture medium of four replicates, one plantlet each per genotype. Bars represent the standard error.




Since no interaction (p = 0.676) was found between NaHCO3 treatment and Pyrus spp hybrids, the analysis of the acidification capacity of the different genotypes (Figure 5) showed that Pcc had the highest capacity to acidify the medium, followed by Pa and Pe. Contrastingly, Pcw is less able to acidify the medium than the other four species.

Figure 5.
Average media acidification by roots of plantlets belonging to four interspecific Pyrus hybrids (Pa, Pap, Pcc, Pe) and open pollinated Pyrus communis ‘Williams’ (Pcw) under in vitro iron deficiency conditions. Since no significant interaction was observed between NaHCO3 and Pyrus species (p = 0.676), mean values come from the measures of 32 replicates per genotype. Bars represent the standard error. Hybrids with different letter are significantly different (Tukey, p < 0.05).
Little evidence is found in the literature regarding this character in Pyrus [,,], and this is one of the first works that reported such evidence.
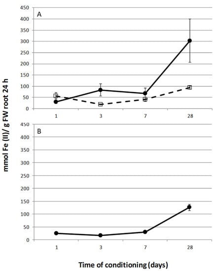
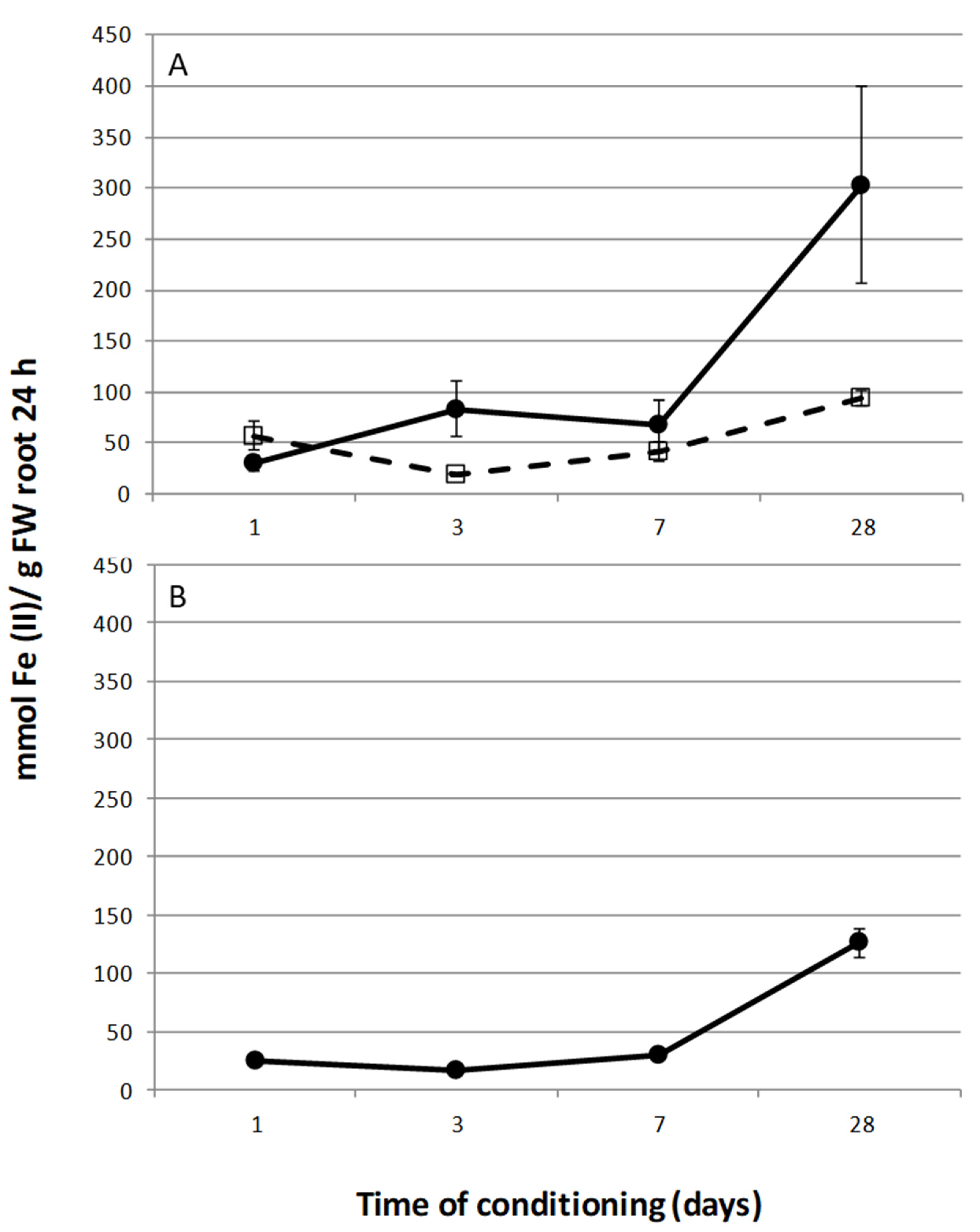
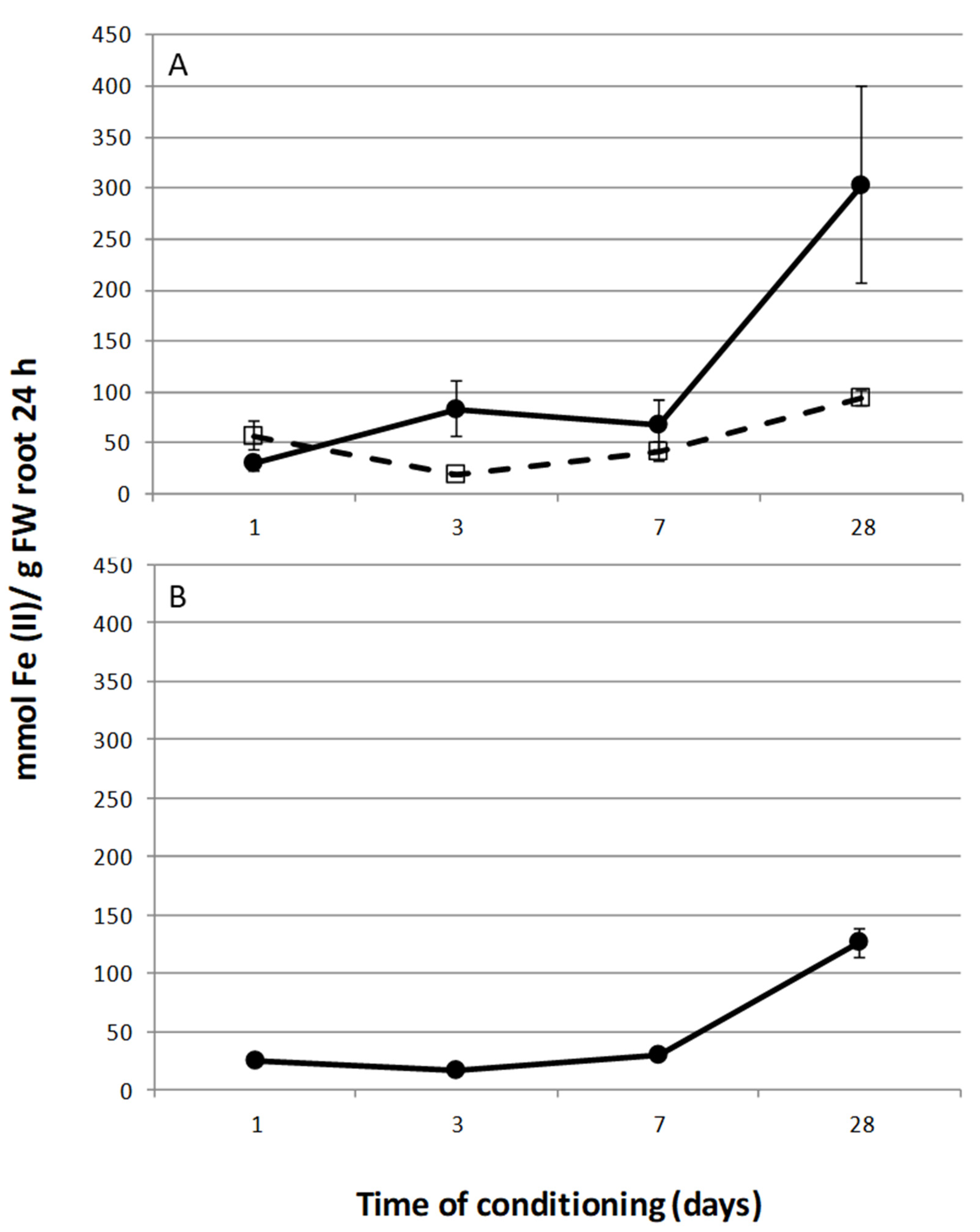
Iron reduction. The FC-R activity was measured in the roots of intact plants submitted to both treatments 10 mM and 20 mM NaHCO3 (Figure 6). Along with the time of conditioning and for both NaHCO3 concentrations, an increase in FC-R activity was observed for all genotypes. After 28 days of iron deprivation, plants growing in media with 20 mM NaHCO3 had lower FC-R activity than plants growing in media with 10 mM NaHCO3, which could be due to an intoxication of plants with the NaHCO3 or its pH buffering capacity.

Figure 6.
Iron reduction capacity of plantlet roots of four interspecific Pyrus hybrids (Pa, Pap, Pcc, Pe) and open pollinated Pyrus communis ‘Williams’ (Pcw) under in vitro iron deficiency conditions (during 1, 3, 7, and 28 days) in liquid medium with 10 mM (A) and 20 mM (B) NaHCO3. At 10 mM NaHCO3 (A), Pe (
) is significantly different (p < 0.001) from Pa, Pap, Pcc, and Pcw (
), which have the same reduction response. At 20 mM NaHCO3 (B), all genotypes (
) have the same behavior (p = 0.229). Mean values come from the measures taken on the roots of four replicates, one plantlet each per genotype. Bars represent the standard error.



Overall NaHCO3 concentrations and time of conditioning (Figure 7) for Pe and Pa interspecific hybrids showed the highest iron reduction capacity. At the end of the conditioning time, the FC-R activity of Pe hybrids in 10 mM NaHCO3 was 2-fold higher than with 20 mM (Figure 6) and 3-fold higher than that of the other three interspecific hybrids (Pa, Pap, Pcc) or the open pollinated Pcw.

Figure 7.
Average iron reduction capacity of roots of plantlets belonging to four interspecific Pyrus hybrids (Pa, Pap, Pcc, Pe) and open pollinated Pyrus communis ‘Williams’ (Pcw) under in vitro iron deficiency conditions. Since no significant interaction was observed between NaHCO3 and Pyrus species (p = 0.361), mean values come from the measures of 32 replicates per genotype. Bars represent the standard error. Hybrids with different letter are significantly different (Tukey, p < 0.05).
While a higher ability to reduce iron at the root level could be related to a higher tolerance to iron deficiency in calcareous soils, this might not be sufficient. The fact that buffered higher pH levels affect FC-R activity in the roots, suggests that in order to avoid leaf chlorosis symptoms, sufficient acidification and FC-R activity should be present in the leaf cells of the Pyrus hybrids rootstocks or the scions grafted on them.
Total phenol exudation. There were no significant differences between treatments (p = 0.713) so the values obtained throughout the experiment are presented in a single graph showing the behavior of the interspecific hybrids and the free pollination variety Williams subjected to deficiency conditions of iron with both treatments (10 and 20 mM NaHCO3) (Figure 8). P. communis ‘Williams’ showed significant differences (p ≤ 0.001) with the other hybrids in the exudation response of total phenols to the medium, presenting a considerable production of these compounds on days 3 and 28 but with a decrease at day 7. The decrease in total phenols exuded to the medium at day 7 was also present, although to a lesser extent, in the rest of the genotypes. Therefore, they were grouped in the same behavior trend. Pyrus communis ‘Williams’ presented a higher exudation rate of total phenols to the medium than the rest of the hybrids: P. communis cordata, P. elaeagrifolia, and P. amygdaliformis persica (Figure 9).

Figure 8.
Phenolic exudation to the medium by plantlet roots of four interspecific Pyrus hybrids (Pa, Pap, Pcc, Pe) and open pollinated Pyrus communis ‘Williams’ (Pcw), under in vitro iron deficiency conditions (during 3, 7 and 28 days). Pcw (
) is significantly different (p < 0.001) from Pa, Pap, Pcc, and Pe (
), which have the same phenol exudation response. Since no significant interaction was observed between NaHCO3 (p = 0.713), mean values come from the measures taken on the roots of eight replicates, one plantlet each per genotype. Bars represent the standard error.



Figure 9.
Average phenolic exudation to the medium by roots of plantlets belonging to three interspecific Pyrus hybrids (Pap, Pcc, Pe) and open pollinated Pyrus communis ‘Williams’ (Pcw), under in vitro iron deficiency conditions. Since no significant interaction was observed between NaHCO3 and Pyrus species (p = 0.164) mean values come from the measures of eight replicates per genotype. Bars represent the standard error. Hybrids with different letter are significantly different (Tukey, p < 0.05).
Organic acid content in roots. Oxalate was the only organic acid found in all genotypes and treatments. However, the hybrids of P. elaeagrifolia exhibited a different pattern. While Pe55 showed the highest content (6673 µg/g FW), Pe111 had the lowest (140 µg/g FW). Only in the roots of Pcc45 was citric acid detected (357 µg/g FW); in this genotype succinate was also found (1374 µg/g FW). Malic acid was present in the roots of Pap101 (5318 µg/g FW) as well as in Pcw12 (601 µg/g FW). Tartaric acid was detected in genotypes Pcw12, Pap103, and Pe111 (499 µg/g FW, 350 µg/g FW, and 949 µg/g FW, respectively). The highest diversity in organic acids was found for the genotype Pcw12.
An increase in the organic acid content in roots exposed to Fe deficiency has been demonstrated in Malus domestica [], Actinidia deliciosa [], and in Vitis spp. []. The root responds quickly to altered iron concentration and this increase in the content of organic acids in the roots responds to strategy 1 in the iron uptake, and it can ameliorate the transport of Fe to along the plant.
The high level of oxalate in the roots of Pcc can entail a major tolerance to Fe deficiency because the organic acids are responsible for keeping iron solubilized in the roots. In that way, Pcc is one of the genotypes that show a higher resistance to this deficiency and that may indicate that the production of this kind of compound is in response to Fe deficiency.
As reported [], bicarbonate supply to the nutrient solution resulted in ferric chlorosis and in an increase of citrate, malate and succinate in barley, sorghum and corn. In our work, Pcc45 also presented oxalate and citrate and the best response in the acidification of the medium and in chlorophyll content in leaves suggesting a better mobilization of Fe within the plant. However, Pe111 showed the greatest Fe content in leaves and the smallest oxalate content in roots; totally the opposite to the Pe55 genotype. In addition, Pe55, in contrast to the other genotypes, showed an increase in chlorophyll content three days after treatment. Although the relationship between organic acid content and Fe-chelate reductase (FQ-R) is well known in Fe deficiency, the accumulation of organic acids not always is in accordance to this [,,]. This is the “paradox” of ferric chlorosis [], where under Fe-deficiency conditions part of Fe is reduced by the ferric-chelate reductase and accumulates in an inactive form in some parts of the plant [,,]. This may explain both the accumulation of oxalate in Pe55 roots, and why plants of the same species perform differently under Fe-deficiency conditions.
4. Conclusions
Physiological responses to iron deficiency vary from one individual to another, even within the same species. The physiological characterization of each individual allows for comparing these responses and selecting the clone that is more tolerant to iron chlorosis.
The physiological responses that correlated with the resistance to iron chlorosis of the interspecific pear hybrids under in vitro conditions were the leaf chlorophyll content and the acidification of the medium. Reduction of iron by roots is not correlated with tolerance to iron deficiency in Pyrus spp. Further studies are required to determine whether a differential ability to reduce iron in the leaves is related to the observed chlorosis.
The interspecific hybrid most tolerant to iron chlorosis under in vitro conditions was P. communis cordata, followed by P. amygdaliformis persica; the most susceptible was P. elaeagrifolia together with the control P. communis ‘Williams’.
Author Contributions
Conceptualization, C.P.M.-C., R.T., C.P. and R.D.-S.; methodology, C.P.M.-C., R.T., C.P., E.C. and R.D.-S.; software, C.P.M.-C., R.T., R.P., C.P. and R.D.-S.; validation, R.T., C.P., E.C. and R.D.-S.; formal analysis, C.P.M.-C., R.T., R.P., E.C. and R.D.-S.; investigation, C.P.M.-C., R.T., C.P. and R.D.-S.; resources, R.T., C.P., M.-H.S., L.A., P.V., J.B., and R.D.-S.; data curation, C.P.M.-C., R.T., R.P., C.P., E.C. and R.D.-S.; writing—original draft preparation, C.P.M.-C., R.T., C.P. and R.D.-S.; writing—review and editing, R.T., C.P., M.-H.S. and R.D.-S.; visualization, R.T., C.P., M.-H.S., L.A., P.V., J.B. and R.D.-S.; supervision, R.T., C.P., M.-H.S. and R.D.-S.; project administration, R.T., C.P., M.-H.S., L.A., J.B. and R.D.-S.; funding acquisition, R.T., C.P., M.-H.S., L.A., J.B. and R.D.-S. All authors have read and agreed to the published version of the manuscript.
Funding
This work has been funded by the CERCA Programme/Generalitat de Catalunya, IRTA, the Ministry of Economy, Industry and Competitiveness (MINECO) project reference BFU2016-75176-R and the INIA project reference RTA2012-0049.
Institutional Review Board Statement
Not applicable.
Informed Consent Statement
Not applicable.
Data Availability Statement
Not applicable.
Conflicts of Interest
The authors declare no conflict of interest.
References
- Bunnag, S.; Dolcet-Sanjuan, R.; Mok, D.W.S.; Mok, M.C. Responses of two somaclonal variants of quince (Cydonia oblonga) to iron deficiency in the greenhouse and field. J. Am. Soc. Hortic. Sci. 1996, 121, 1054–1058. [Google Scholar] [CrossRef] [Green Version]
- Dolcet-Sanjuan, R.; Claveria, E.; Bonany, J.; Iglesias, I.; Asín, L.; Simard, M.H. Selection for new pear rootstocks: In vitro screening and field evaluation for tolerance to iron chlorosis. Acta Hortic. 2004, 658, 463–468. [Google Scholar] [CrossRef]
- Gonzalo, M.J.; Moreno, M.A.; Gogorcena, Y. Physiological responses and differential gene expression in Prunus rootstocks under iron deficiency conditions. J. Plant Physiol. 2011, 168, 887–893. [Google Scholar] [CrossRef] [PubMed] [Green Version]
- Iglesias, I.; Vilardell, P.; Bonany, J.; Claveria, E.; Dolcet-Sanjuan, R. Micropropagation and field evaluation of the pear (Pyrus communis L.) ‘IGE 2002’, a new selection of the cultivar Dr. Jules Guyot. J. Am. Soc. Hortic. Sci. 2004, 129, 389–393. [Google Scholar] [CrossRef]
- Tagliavini, M.; Rombola, A.D.; Marangoni, B. Response to iron-deficiency stress of pear and quince genotypes. J. Plant Nutr. 1995, 18, 2465–2482. [Google Scholar] [CrossRef]
- Tagliavini, M.; Rombolá, D. Iron deficiency and chlorosis in orchard and vineyard ecosystems. Eur. J. Agron. 2001, 15, 71–92. [Google Scholar] [CrossRef]
- Pestana, M.; de Varennes, A.; Araújo Faria, E. Diagnosis and correction of iron chlorosis in fruit trees: A review. Food Agric. Environ. 2003, 1, 46–51. [Google Scholar]
- Chaney, R.L. Diagnostic practices to identify iron deficiency in higher plants. J. Plant Nutr. 1984, 7, 47–67. [Google Scholar] [CrossRef]
- Donnini, S.; Castagna, A.; Ranieri, A.; Zocchi, G. Differential responses in pear and quince genotypes induced by Fe deficiency and bicarbonate. J. Plant Physiol. 2009, 166, 1181–1193. [Google Scholar] [CrossRef]
- Gogorcena, Y.; Abadía, J.; Abadía, A. A new technique for screening iron-efficient genotypes in peach rootstocks: Elicitation of root ferric chelate reductase by manipulation of external iron concentrations. J. Plant Nutr. 2004, 27, 1710–1715. [Google Scholar] [CrossRef]
- Jiménez, S.; Pinochet, J.; Abadía, A.; Moreno, M.A.; Gogorcena, Y. Tolerance responses to iron chlorosis of Prunus selections as rootstocks. HortScience 2008, 43, 304–309. [Google Scholar] [CrossRef] [Green Version]
- Simard, M.H. French contribution to rootstocks breeding and evaluation. In Proceedings of the International Conference on Fruit Tree Rootstocks, Pisa, Italy, 26 June 2009; pp. 33–43. [Google Scholar]
- Dolcet-Sanjuan, R.; Claveria, E.; Vilardell, P.; Bonany, J.; Asin, L.; Simard, M.H. Towards the Selection of a New Pear Rootstock: In Vitro and Field Evaluation for Tolerance to Iron Chlorosis, Low Vigor and Micropropagation of Selected Clones. Acta Hortic. 2008, 800, 683–691. [Google Scholar] [CrossRef]
- Römheld, V.; Marschner, H. Mobilization of iron in the rhizosphere of different plant species. In Advances in Plant Nutrition; Tinker, A., Läuchli, A., Eds.; Praeger Scientific: New York, NY, USA, 1986; pp. 155–204. [Google Scholar]
- Li, H.; Wang, L.; Yang, Z.M. Co-expression analysis reveals a group of genes potentially involved in regulation of plant responses to iron-deficieny. Gene 2015, 554, 16–24. [Google Scholar] [CrossRef] [PubMed]
- Schmidt, W. Iron stress responses in roots of strategy I plants. In Iron Nutrition in Plants and Rhizospheric Microorganisms; Barton, L.L., Abadía, J., Eds.; Springer: Dordrecht, The Netherlands, 2003; pp. 229–250. [Google Scholar]
- Zocchi, G. Metabolic changes in iron-stressed dicotyledoneous plants. In Iron Nutrition in Plants and Rhizospheric Microorganisms; Barton, L.L., Abadía, J., Eds.; Springer: Dordrecht, The Netherlands, 2006; pp. 359–370. [Google Scholar]
- Satbhai, S.; Setzer, C.; Freynschlag, F.; Slovak, R.; Kerdaffrec, E.; Busch, W. Natural allelic variation of FRO2 modulates Arabidopsis root growth under iron deficiency. Nat. Commun. 2017, 8, 15603. [Google Scholar] [CrossRef] [PubMed] [Green Version]
- Simard, M.H.; Guisnel, R.; Demilly, D.; Billy, B.; Honoré, D.; Daguin, F. Is dwarfing in pear rootstocks due to aneuploïd genetic structures? Acta Hortic. 2011, 909, 59–66. [Google Scholar] [CrossRef]
- Asin, L.; Iglesias, I.; Dolcet-Sanjuan, R.; Claveria, E.; Vilardell, P.; Bonany, J.; Simard, M.H. INRA-IRTA Pear Rootstock Breeding Program: Aiming for Tolerance to Iron Chlorosis. In IX International Symposium on Integrating Canopy, Rootstock and Environmental Physiology in Orchard Systems 903; Robinson, T.L., Ed.; ISHS: Leuven, Belgium, 2011; pp. 207–213. [Google Scholar] [CrossRef]
- Dolcet-Sanjuan, R.; Mok, D.W.S.; Mok, M.C. Characterization and in vitro selection for iron efficiency in Pyrus and Cydonia. In Vitro Cell. Dev. Biol. 1992, 28, 25–29. [Google Scholar] [CrossRef]
- Lombard, P.B.; Westwood, M.N. Pear rootstocks. In Rootstocks for Fruit Crops; Rom, R.C., Carlson, R.F., Eds.; John Wiley & Sons, Inc.: New York, NY, USA, 1987; pp. 145–183. [Google Scholar]
- Claveria, E.; Asin, L.; Iglesias, I.; Vilardell, P.; Bonany, J.; Simard, M.H.; Dolcet-Sanjuan, R. In Vitro Screening for Tolerance to Iron Chlorosis as a Reliable Selection Tool in a Pear Rootstock Breeding Program. In XXVIII International Horticultural Congress on Science and Horticulture for People; Leitao, J.M., Ed.; ISHS: Leuven, Belgium, 2012; pp. 199–205. [Google Scholar]
- Simard, M.H.; Michelesi, J.C. ‘Pyriam’: A new pear rootstock. Acta Hortic. 2002, 596, 351–355. [Google Scholar] [CrossRef]
- Murashige, T.; Skoog, F. A revised medium for rapid growth and bio assays with tobacco tissue cultures. Physiol. Plant. 1962, 15, 473–497. [Google Scholar] [CrossRef]
- Chaney, R.L.; Coulombe, B.A.; Bell, P.F.; Angle, J.S. Detailed method to screen dicot cultivars for resistance to Fe-chlorosis using FeDTPA and bicarbonate in nutrient solutions. J. Plant Nutr. 1992, 15, 2063–2083. [Google Scholar] [CrossRef]
- Solecka, D.; Boudet, A.M.; Kacperska, A. Phenylpropanoid and anthocyanin changes in low temperature treated winter oilseed rape leaves. Plant Physiol. Biochem. 1999, 37, 491–496. [Google Scholar] [CrossRef]
- Kidd, P.S.; Llugany, M.; Poschenrieder, C.; Gunsé, B.; Barceló, J. The role of root exudates in aluminium resistance and silicon-induced amelioration of aluminium toxicity in tree varieties of maize (Zea mays L.). J. Exp. Bot. 2001, 52, 1339–1352. [Google Scholar] [PubMed]
- Tolrà, R.; Barceló, J.; Poschenrieder, C. Constitutive and Aluminium-induced Patterns of Phenolic Compounds in Two Maize Varieties Differing in Aluminium Tolerance. J. Inorg. Biochem. 2009, 103, 1486–1490. [Google Scholar] [CrossRef] [PubMed]
- Singlenton, V.J.; Orthofer, R.O.; Lamuela-Raventos, M.R. Analysis of total phenols and other oxidation substrates and antioxidants by means of Folin-Ciocalteu reagent. Methods Enzymol. 1999, 299, 152–178. [Google Scholar] [CrossRef]
- Tolrà, R.; Poschenrieder, C.; Barceló, J. Zinc hyperaccumulation in Thlaspi caerulescens. II. Influence on organic acids. J. Plant Nutr. 1996, 19, 1541–1550. [Google Scholar] [CrossRef]
- Tolrà, R.P.; Poschenrieder, C.; Lupi, B.; Barceló, J. Aluminum-induced changes in the profiles of both organic acids and phenolic substances underlie Al tolerance in Rumex acetosa. Environ. Exp. Bot. 2005, 54, 231–238. [Google Scholar] [CrossRef]
- Petersen, R.G. Design and Analysis of Experiments; Marcel Dekker Inc.: New York, NY, USA, 1985. [Google Scholar] [CrossRef]
- Sun, X.-P.; Wang, S.Y.; Tong, Y.-A.; Korcak, R.F.; Faust, M. Metabolic changes in iron-deficient apple seedlings. J. Plant Nutr. 1987, 10, 1021–1030. [Google Scholar] [CrossRef]
- Rombolà, D.; Brüggemann, W.; López-Millán, A.F.; Tagliavini, M.; Abadía, J.; Marangoni, B.; Moog, P.R. Biochemical responses to iron deficiency in kiwifruit (Actinidia deliciosa). Tree Physiol. 2002, 22, 869–875. [Google Scholar] [CrossRef] [Green Version]
- Covarrubias, J.I.; Rombolà, A.D. Organic acids metabolism in roots of grapevine rootstocks under severe iron deficiency. Plant Soil 2015, 394, 165–175. [Google Scholar] [CrossRef]
- Alhendawi, R.A.; Römheld, V.; Kirkby, E.A.; Marschner, H. Influence of increasing bicarbonate concentrations on plant growth, organic acid accumulation in roots and iron uptake by barley, sorghum, and maize. J. Plant Nutr. 1997, 20, 1731–1753. [Google Scholar] [CrossRef]
- Bienfait, H.F. Is there a metabolic link between H+ excretion and ferric reduction by roots of Fe-deficient plants?—A viewpoint. J. Plant Nutr. 1996, 19, 1211–1222. [Google Scholar] [CrossRef]
- Landsberg, E.C. Organic acid synthesis and release of hydrogen ions in response to Fe deficiency stress of mono- and dicotyledonous plant species. J. Plant Nutr. 1981, 3, 579–591. [Google Scholar] [CrossRef]
- Martinez-Cuenca, M.; Primo-Capella, A.; Quiñones, A.; Bermejo, A.; Forner-Giner, M.A. Rootstock influence on iron uptake responses in Citrus leaves and their regulation under the Fe paradox effect. PeerJ 2017, 5, e3553. [Google Scholar] [CrossRef] [PubMed] [Green Version]
- Abadía, J.; López-Millán, A.F.; Rombolà, A.; Abadía, A. Organic acids and Fe deficiency: A review. Plant Soil 2002, 241, 75–86. [Google Scholar] [CrossRef]
- Morales, F.; Grasa, R.; Abadía, A.; Abadía, J. Iron chlorosis paradox in fruit trees. J. Plant Nutr. 1998, 21, 815–825. [Google Scholar] [CrossRef]
- Ortega-Maldonado, J.M.; Ojeda-Barrios, D.L.; Martínez-Téllez, J.J.; Hernández-Rodríguez, A.; de Jesús Ruíz-Anchondo, T.; Escudero-Almanza, D.J. Aspectos relevantes sobre la bioquímica y la fisiología del fierro en plantas. Tecnociencia Chihuah. 2014, 8, 30–38. [Google Scholar]
Publisher’s Note: MDPI stays neutral with regard to jurisdictional claims in published maps and institutional affiliations. |
© 2022 by the authors. Licensee MDPI, Basel, Switzerland. This article is an open access article distributed under the terms and conditions of the Creative Commons Attribution (CC BY) license (https://creativecommons.org/licenses/by/4.0/).