Nitrogen Fertigation Rate and Foliar Urea Spray Affect Plant Growth, Nitrogen, and Carbohydrate Compositions of Encore Azalea ‘Chiffon’ Grown in Alternative Containers
Abstract
:1. Introduction
2. Materials and Methods
2.1. Plant Culture
2.2. Growth Measurements
2.3. Nitrogen Analyses
2.4. Analysis of Starch
2.5. Analyses of Sugars
2.6. Experimental Design and Data Analyses
3. Results
3.1. Plant Size, Leaf Area, and Dry Weights
3.2. Root Length and Surface Area
3.3. Leaf SPAD
3.4. Flower Number
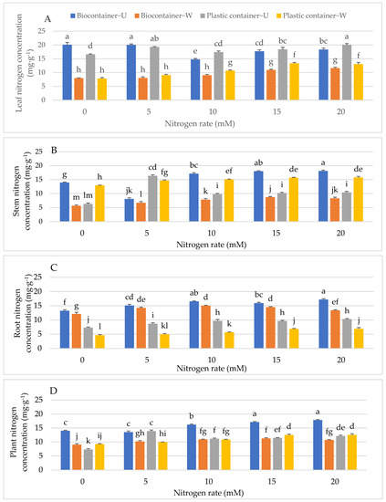
3.5. Nitrogen Concentrations
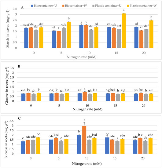
3.6. Starch Concentrations
3.7. Glucose Concentrations
3.8. Fructose Concentrations
3.9. Sucrose Concentrations
4. Discussion
5. Conclusions
Author Contributions
Funding
Institutional Review Board Statement
Informed Consent Statement
Acknowledgments
Conflicts of Interest
References
- United States Department of Agriculture. National Agricultural Statistics Service. Floriculture Crops 2018 Summary; Washington, DC, USA. 2019. Available online: https://www.nass.usda.gov/Publications/Todays_Reports/reports/floran19.pdf (accessed on 17 May 2022).
- Wilson Bros Nursery. Encore Azaleas. 2022. Available online: https://www.wilsonbrosgardens.com/encore-azaleas.html (accessed on 17 May 2022).
- Bi, G.; Scagel, C.F.; Cheng, L.; Dong, S.; Fuchigami, L.H. Spring growth of almond nursery trees depends upon nitrogen from both plant reserves and spring fertilizer application. J. Hortic. Sci. Biotechnol. 2003, 78, 853–858. [Google Scholar] [CrossRef]
- Bi, G.; Scagel, C.F.; Harkess, R.L. Rate of nitrogen fertigation during vegetative growth and spray application of urea in the fall alters growth and flowering of florists’ hydrangeas. HortScience 2008, 43, 472–477. [Google Scholar] [CrossRef]
- Cheng, L.; Xia, G.; Bates, T. Growth and fruiting of young ‘Concord’ grapevines in relation to reserve nitrogen and carbohydrates. J. Am. Soc. Hortic. Sci. 2004, 129, 660–666. [Google Scholar] [CrossRef]
- Li, T.; Bi, G.; Harkess, R.L.; Denny, G.C.; Scagel, C. Nitrogen fertilization and irrigation frequency affect hydrangea growth and nutrient uptake in two container types. HortScience 2019, 54, 167–174. [Google Scholar] [CrossRef] [Green Version]
- Gastal, F.; Lemaire, G. N uptake and distribution in crops: An agronomical and ecophysiological perspective. J. Exp. Bot. 2002, 53, 789–799. [Google Scholar] [CrossRef] [Green Version]
- Scagel, C.F.; Bi, G.; Fuchigami, L.H.; Regan, R.P. Effects of irrigation frequency and nitrogen fertilizer rate on water stress, nitrogen uptake, and plant growth of container-grown rhododendron. HortScience 2011, 46, 1598–1603. [Google Scholar] [CrossRef] [Green Version]
- Scagel, C.F.; Bi, G.; Fuchigami, L.H.; Regan, R.P. Irrigation frequency alters nutrient uptake in container-grown Rhododendron plants grown with different rates of nitrogen. HortScience 2012, 47, 189–197. [Google Scholar] [CrossRef]
- Li, T.; Bi, G.; Harkess, R.L.; Denny, G.C.; Blythe, E.K.; Zhao, X. Nitrogen rate, irrigation frequency, and container type affect plant growth and nutrient uptake of Encore azalea ‘Chiffon’. HortScience 2018, 53, 560–566. [Google Scholar] [CrossRef] [Green Version]
- Li, T.; Bi, G.; Zhao, X.; Harkess, R.L.; Scagel, C. Nitrogen fertilization, container type, and irrigation frequency affect mineral nutrient uptake of hydrangea. Water 2020, 12, 1987. [Google Scholar] [CrossRef]
- Bi, G.; Scagel, C.F.; Cheng, L.; Fuchigami, L.H. Soil and foliar nitrogen supply affects the composition of nitrogen and carbohydrates in young almond trees. J. Hortic. Sci. Biotechnol. 2004, 79, 175–181. [Google Scholar] [CrossRef]
- Xia, G.; Cheng, L. Foliar urea application in the fall affects both nitrogen and carbon storage in young ‘Concord’ grapevines under a wide range of nitrogen supply. J. Am. Soc. Hortic. Sci. 2004, 129, 653–659. [Google Scholar] [CrossRef] [Green Version]
- Scagel, C.F.; Bi, G.; Fuchigami, L.H.; Regan, R.P. Rate of nitrogen application during the growing season and spraying plants with urea in the autumn alters uptake of other nutrients by deciduous and evergreen container-grown Rhododendron cultivars. HortScience 2008, 43, 1569–1579. [Google Scholar] [CrossRef] [Green Version]
- Cheng, L.; Fuchigami, L.H. Rubisco activation state decreases with increasing nitrogen content in apple leaves. J. Exp. Bot. 2002, 51, 1687–1694. [Google Scholar] [CrossRef] [Green Version]
- Dennis, J.L.; Lopez, R.G.; Behe, B.K.; Hall, C.R.; Yue, C.; Campbell, B.I. Sustainable production practices adopted by greenhouse and nursery plant growers. HortScience 2010, 45, 1232–1237. [Google Scholar] [CrossRef] [Green Version]
- Hall, T.J.; Dennis, J.H.; Lopez, R.G.; Marshall, M.I. Factors affecting grower’s willingness to adopt sustainable floriculture practices. HortScience 2009, 44, 1346–1351. [Google Scholar] [CrossRef]
- Hall, C.R.; Campbell, B.J.; Behe, B.K.; Yue, C.; Lopez, R.G.; Dennis, J.H. The appeal of biodegradable packaging to floral consumers. HortScience 2010, 45, 583–591. [Google Scholar] [CrossRef]
- Yue, C.; Dennis, J.H.; Behe, B.K.; Hall, C.R.; Campbell, B.L.; Lopez, R.G. Investigating consumer preferences for organic, local, or sustainable plants. HortScience 2011, 46, 610–615. [Google Scholar] [CrossRef] [Green Version]
- Juanga-Labayen, J.P.; Yuan, Q. Making biodegradable seedling pots from textile and paper waster-part B: Development and evaluation of seedling pots. Int. J. Environ. Res. Public Health 2021, 18, 7609. [Google Scholar] [CrossRef]
- Beeks, S.A.; Evans, M.R. Growth of cyclamen in biocontainers on an ebb-and-flood subirrigation system. HortTechnology 2013, 23, 173–176. [Google Scholar] [CrossRef] [Green Version]
- Evans, M.R.; Hensley, D.L. Plant growth in plastic, peat, and processed poultry feather fiber growing containers. HortScience 2004, 39, 1012–1014. [Google Scholar] [CrossRef] [Green Version]
- Evans, M.R.; Karcher, D. Properties of plastic, peat, and processed poultry feather fiber growing containers. HortScience 2004, 39, 1008–1011. [Google Scholar] [CrossRef] [Green Version]
- Kuehny, J.S.; Taylor, M.; Evans, M.R. Greenhouse and landscape performance of bedding plants in biocontainers. HortTechnology 2011, 21, 155–161. [Google Scholar] [CrossRef] [Green Version]
- Li, T.; Bi, G.; Niu, G.; Nambuthiri, S.S.; Geneve, R.L.; Wang, X.; Fernandez, T.; Sun, Y.; Zhao, X. Feasibility of using biocontainers in a pot-in-pot system for nursery production of river birch. HortTechnology 2015, 25, 57–62. [Google Scholar] [CrossRef] [Green Version]
- Koeser, A.; Lovell, S.T.; Evans, M.; Stewart, J.R. Biocontainer water use in short-term greenhouse crop production. HortTechnology 2013, 23, 215–219. [Google Scholar] [CrossRef] [Green Version]
- Wang, X.; Fernandez, R.T.; Cregg, B.M.; Auras, R.; Fulcher, A.; Cochran, D.R.; Niu, G.; Sun, Y.; Bi, G.; Nambuthiri, S.; et al. Multistate evaluation of plant growth and water use in plastic and alternative nursery containers. HortTechnology 2015, 25, 42–49. [Google Scholar] [CrossRef] [Green Version]
- Nambuthiri, B.; Geneve, R.L.; Sun, Y.; Wang, X.; Fernandez, R.T.; Niu, G.; Bi, G.; Fulcher, A. Substrate temperature in plastic and alternative nursery containers. HortTechnology 2015, 25, 50–56. [Google Scholar] [CrossRef] [Green Version]
- Nelson, D.W.; Sommers, L.E. Total Carbon, Organic Carbon, and Organic Matter. In Methods of Soil Analysis, Part, 3-Chemical Methods; Sparks, D.L., Ed.; SSSA: Madison, WI, USA, 1996; pp. 961–1010. [Google Scholar]
- Smith, A.M.; Zeeman, S.C. Quantification of starch in plant tissues. Nat. Protoc. 2006, 1, 1342–1345. [Google Scholar] [CrossRef]
- Barickman, T.C.; Kopsell, D.A.; Sams, C.E. Abscisic acid impacts tomato carotenoids, soluble sugars, and organic acids. HortScience 2016, 51, 370–376. [Google Scholar] [CrossRef] [Green Version]
- Li, T.; Bi, G.; Harkess, R.L. Seasonal growth and nitrogen uptake of Encore azalea ‘Chiffon’ affected by nitrogen availability and containers. HortScience 2019, 54, 948–954. [Google Scholar] [CrossRef] [Green Version]
- Million, J.B.; Yeager, T.H. Fabric containers increased irrigation demand but decreased leachate loss of nitrogen and phosphorus compared with conventional plastic containers during production of dwarf burford holly. HortScience 2022, 57, 743–749. [Google Scholar] [CrossRef]
- Bi, G.; Scagel, C.F.; Fuchigami, L.H.; Regan, R.P. Rate of nitrogen application during the growing season alters the response of container-grown rhododendron and azalea to foliar application of urea in the autumn. J. Hortic. Sci. Biotechnol. 2007, 82, 753–763. [Google Scholar] [CrossRef]


| Dry Weights | |||||||||
|---|---|---|---|---|---|---|---|---|---|
| N Rate | Container 1 | PGI 2,3 | Leaf Area | Leaf | Stem | Root | Total Plant | Root Length | Root Surface Area |
| (mM) | (cm2) | (g) | (g) | (g) | (g) | (cm) | (cm2) | ||
| 0 | Biocontainer | 10.8 f | 21 d | 0.23 d | 1.48 d | 1.63 ef | 3.34 d | 3653 de | 202 de |
| Plastic | 12.8 e | 25 d | 0.27 d | 1.80 d | 1.36 f | 3.43 d | 2602 de | 130 e | |
| 5 | Biocontainer | 15.9 cd | 149 c | 1.61 bc | 2.72 c | 3.19 c | 7.52 bc | 5541 c | 348 c |
| Plastic | 15.1 d | 123 c | 1.24 c | 2.75 c | 2.38 d | 6.36 c | 3510 de | 209 de | |
| 10 | Biocontainer | 22.7 a | 399 a | 4.31 a | 5.40 a | 5.89 a | 15.61 a | 8016 a | 599 a |
| Plastic | 18.2 b | 218 b | 2.16 b | 4.15 b | 3.25 c | 9.56 b | 3740 d | 269 cd | |
| 15 | Biocontainer | 21.9 a | 360 a | 3.87 a | 5.90 a | 5.30 b | 15.06 a | 7290 ab | 563 a |
| Plastic | 17.5 bc | 172 bc | 1.70 bc | 4.01 b | 2.53 cd | 8.25 bc | 2706 de | 199 de | |
| 20 | Biocontainer | 22.2 a | 351 a | 3.67 a | 5.94 a | 4.53 b | 14.14 a | 6301 bc | 462 b |
| Plastic | 18.0 b | 149 c | 1.38 c | 3.41 bc | 2.12 de | 6.92 bc | 2366 e | 163 e | |
| p-value | N × C 4 | <0.0001 | <0.0001 | <0.0001 | <0.0001 | <0.0001 | <0.0001 | 0.0011 | 0.0001 |
| N Rate (mM) | SPAD 1 | Flowers Per Plant | Glucose Leaf | Fructose Leaf | Sucrose Stem |
|---|---|---|---|---|---|
| (No.) | (mg·g−1) | (mg·g−1) | (mg·g−1) | ||
| 0 | 20.7 d | 3.7 c | 1.34 d | 1.46 c | 1.3 c |
| 5 | 25.8 c | 12.5 a | 1.72 bc | 1.99 a | 1.42 bc |
| 10 | 31.5 b | 15.0 a | 1.63 c | 1.79 b | 1.74 a |
| 15 | 32.6 ab | 10.4 ab | 1.86 ab | 2.01 a | 1.64 a |
| 20 | 33.9 a | 6.9 bc | 1.93 a | 2.08 a | 1.48 b |
| p-value | <0.0001 | <0.0001 | <0.0001 | <0.0001 | <0.0001 |
| Container | SPAD 1 | Flowers Per Plant | Glucose Leaf | Fructose Leaf |
|---|---|---|---|---|
| (No.) | (mg·g−1) | (mg·g−1) | ||
| Biocontainer | 29.9 a | 11.5 a | 1.88 a | 2.12 a |
| Plastic | 27.9 b | 7.8 b | 1.69 b | 1.70 b |
| p-value | 0.0016 | 0.020 | <0.0001 | <0.0001 |
| N rate | Container | Starch 1 Stem | Glucose Stem | Fructose Stem | Fructose Root |
|---|---|---|---|---|---|
| (mM) | (mg·g−1) | ||||
| 0 | Biocontainer | 1.37 abc | 0.85 de | 0.85 de | 0.87 bc |
| Plastic | 0.75 e | 0.87 de | 0.87 d | 0.89 b | |
| 5 | Biocontainer | 1.26 abcd | 0.87 de | 0.86 d | 0.88 bc |
| Plastic | 0.96 de | 0.91 bcd | 0.89 cd | 0.85 cde | |
| 10 | Biocontainer | 1.14 bcd | 1.11 a | 1.15 a | 0.92 a |
| Plastic | 1.52 a | 0.9 bcd | 0.86 d | 0.83 ef | |
| 15 | Biocontainer | 1.25 abcd | 0.96 bc | 0.97 bc | 0.87 bcd |
| Plastic | 1.36 abc | 0.89 cd | 0.86 d | 0.83 def | |
| 20 | Biocontainer | 1.38 ab | 0.97 b | 0.99 b | 0.87 bcde |
| Plastic | 1.07 cd | 0.81 e | 0.77 e | 0.81 f | |
| p-value | N × C 2 | 0.0003 | <0.0001 | <0.0001 | 0.0021 |
| Container | Starch 1 Stem | Glucose Stem | Sucrose Leaf | |
|---|---|---|---|---|
| (mg·g−1) | ||||
| Biocontainer | Urea | 1.08 bc | 0.93 b | 3.53 b |
| No-urea | 1.48 a | 0.98 a | 3.17 b | |
| Plastic | Urea | 1.27 b | 0.88 bc | 2.20 c |
| No-urea | 1.00 c | 0.87 c | 4.05 a | |
| p-value | <0.0001 | 0.0397 | <0.0001 | |
| Structure Type | Starch 1 | Glucose | Fructose | Sucrose |
|---|---|---|---|---|
| mg·g−1 | ||||
| Leaf | 1.91 b | 1.74 a | 1.91 a | 3.25 a |
| Stem | 2.29 b | 0.91 b | 0.91 b | 1.51 b |
| Root | 5.96 a | 0.83 c | 0.78 c | 1.63 b |
| p-value | <0.0001 | <0.0001 | <0.0001 | <0.0001 |
| N Rate | Urea | Fructose 1 Stem | Fructose Root | Sucrose Leaf |
|---|---|---|---|---|
| (mM) | (mg·g−1) | |||
| 0 | Urea | 0.82 e | 0.85 de | 1.82 e |
| No-urea | 0.90 bcde | 0.92 ab | 2.76 de | |
| 5 | Urea | 0.89 cde | 0.83 e | 3.11 cd |
| No-urea | 0.86 de | 0.89 bc | 3.05 cd | |
| 10 | Urea | 0.97 abc | 0.83 e | 3.11 cd |
| No-urea | 1.05 a | 0.93 a | 3.82 b | |
| 15 | Urea | 0.97 ab | 0.82 e | 2.94 cd |
| No-urea | 0.86 de | 0.87 cd | 3.55 bc | |
| 20 | Urea | 0.85 de | 0.81 e | 2.64 de |
| No-urea | 0.91 bcd | 0.86 de | 4.60 a | |
| p-value | N × U 2 | 0.006 | 0.045 | 0.002 |
Publisher’s Note: MDPI stays neutral with regard to jurisdictional claims in published maps and institutional affiliations. |
© 2022 by the authors. Licensee MDPI, Basel, Switzerland. This article is an open access article distributed under the terms and conditions of the Creative Commons Attribution (CC BY) license (https://creativecommons.org/licenses/by/4.0/).
Share and Cite
Li, T.; Zhao, X.; Bi, G.; Barickman, T.C.; Harkess, R.L. Nitrogen Fertigation Rate and Foliar Urea Spray Affect Plant Growth, Nitrogen, and Carbohydrate Compositions of Encore Azalea ‘Chiffon’ Grown in Alternative Containers. Horticulturae 2022, 8, 525. https://doi.org/10.3390/horticulturae8060525
Li T, Zhao X, Bi G, Barickman TC, Harkess RL. Nitrogen Fertigation Rate and Foliar Urea Spray Affect Plant Growth, Nitrogen, and Carbohydrate Compositions of Encore Azalea ‘Chiffon’ Grown in Alternative Containers. Horticulturae. 2022; 8(6):525. https://doi.org/10.3390/horticulturae8060525
Chicago/Turabian StyleLi, Tongyin, Xiaojie Zhao, Guihong Bi, T. Casey Barickman, and Richard L. Harkess. 2022. "Nitrogen Fertigation Rate and Foliar Urea Spray Affect Plant Growth, Nitrogen, and Carbohydrate Compositions of Encore Azalea ‘Chiffon’ Grown in Alternative Containers" Horticulturae 8, no. 6: 525. https://doi.org/10.3390/horticulturae8060525
APA StyleLi, T., Zhao, X., Bi, G., Barickman, T. C., & Harkess, R. L. (2022). Nitrogen Fertigation Rate and Foliar Urea Spray Affect Plant Growth, Nitrogen, and Carbohydrate Compositions of Encore Azalea ‘Chiffon’ Grown in Alternative Containers. Horticulturae, 8(6), 525. https://doi.org/10.3390/horticulturae8060525

