Physicochemical Characteristics and Nutritional Composition during Fruit Ripening of Akebia trifoliata (Lardizabalaceae)
Abstract
:1. Introduction
2. Materials and Methods
2.1. Plant Material
2.2. Physical Parameters
2.3. Biochemical Parameters
2.4. Determination of Sugars
2.5. Determination of Starch
2.6. Determination of Ascorbic Acid, Total Phenolics, and Total Flavonoids
2.7. Proximate Analysis
2.8. Statistical Analysis
3. Results
3.1. Changes in the Physical Parameters of A. trifoliata Fruit during Maturity Stages
3.2. Changes in Fruit Firmness, Total Soluble Solids, and Titratable Acidity during Maturity Stages
3.3. Changes in Carbohydrates Contents during Maturity Stages
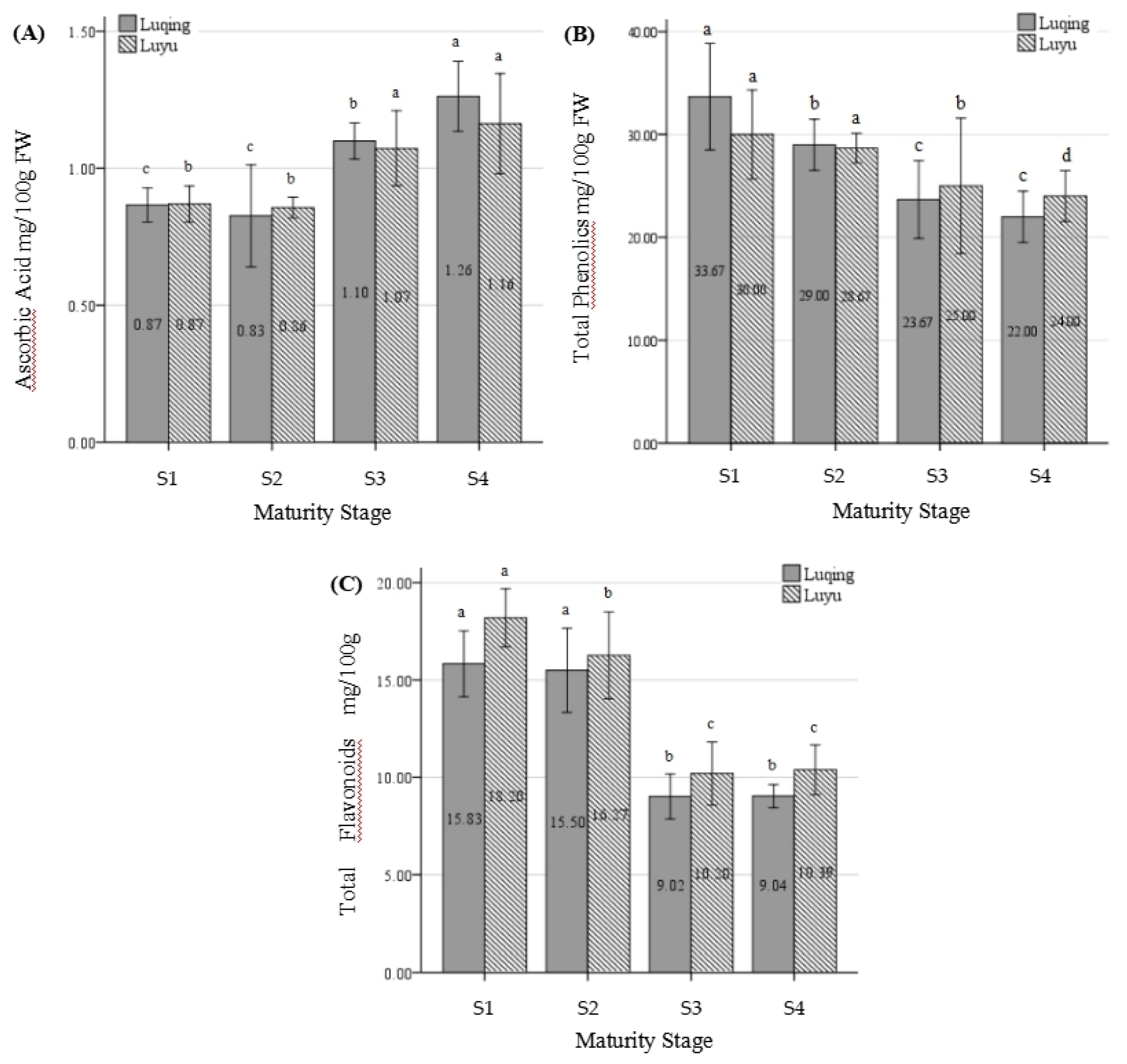
3.4. Changes in AsA, Total Phenolics, and Total Flavonoids during Maturity Stages
3.5. Proximate Composition
4. Discussion
5. Conclusions
Author Contributions
Funding
Institutional Review Board Statement
Informed Consent Statement
Data Availability Statement
Conflicts of Interest
References
- Li, L.; Yao, X.H.; Zhong, C.H.; Chen, X.Z.; Huang, H.W. Akebia: A Potential New Fruit Crop in China. Hortscience 2010, 45, 4–10. [Google Scholar] [CrossRef]
- Wang, D.; Li, F.; Yan, J.; Zhong, H. Study and application of nutritional components of wild plant Akebia trifoliata Var australis (Diels) Rehd. Amino Acids Biot. Resour. 2004, 26, 16–17. [Google Scholar]
- Zhong, C.H.; Bu, F.W.; Wang, Z.Y.; Peng, D.F. Fruit development and biological characteristics of seedling progenies of Akebia trifoliata. Hunan Agric. Sci. 2006, 1, 27–29. [Google Scholar]
- Deng, A.; Li, H.; Wang, Y.; Xie, P.; Cheng, L.; Peng, C. Study on fabrication of Akebia trifoliata fruit tea. Guangzhou Chem. Ind. 2018, 46, 120–123. [Google Scholar]
- Luo, M.; Zhou, D.D.; Shang, A.; Gan, R.Y.; Li, H.B. Influences of Microwave-Assisted Extraction Parameters on Antioxidant Activity of the Extract from Akebia trifoliata Peels. Foods 2021, 10, 1432. [Google Scholar] [CrossRef]
- Lu, W.L.; Yang, T.; Song, Q.J.; Fang, Z.Q.; Pan, Z.Q.; Liang, C.; Jia, D.W.; Peng, P.K. Akebia trifoliata (Thunb.) Koidz Seed Extract inhibits human hepatocellular carcinoma cell migration and invasion in vitro. J. Ethnopharmacol. 2019, 234, 204–215. [Google Scholar] [CrossRef]
- Ouyang, J.K.; Dong, L.M.; Xu, Q.L.; Wang, J.; Liu, S.B.; Qian, T.; Yuan, Y.F.; Tan, J.W. Triterpenoids with α-glucosidase inhibitory activity and cytotoxic activity from the leaves of Akebia trifoliata. RSC Adv. 2018, 8, 40483–40489. [Google Scholar] [CrossRef] [Green Version]
- Shin, S.; Son, D.; Kim, M.; Lee, S.; Roh, K.B.; Ryu, D.; Lee, J.; Jung, E.; Park, D. Ameliorating Effect of Akebia quinata Fruit Extracts on Skin Aging Induced by Advanced Glycation End Products. Nutrients 2015, 7, 9337–9352. [Google Scholar] [CrossRef] [Green Version]
- Song, D.H.; Kim, G.J.; Chung, K.H.; Lee, K.J.; An, J.H. Ormosanine from Akebia quinata suppresses ethanol-induced inflammation and apoptosis and activates antioxidants via the mitogen activated protein kinase signaling pathway. J. Funct. Foods 2018, 48, 357–366. [Google Scholar] [CrossRef]
- Sung, Y.Y.; Kim, D.S.; Kim, H.K. Akebia quinata extract exerts anti-obesity and hypolipidemic effects in high-fat diet-fed mice and 3 T3-L1 adipocytes. J. Ethnopharmacol. 2015, 168, 17–24. [Google Scholar] [CrossRef]
- Wang, X.Y.; Yu, N.X.; Peng, H.L.; Hu, Z.Y.; Sun, Y.; Zhu, X.M.; Jiang, L.; Xiong, H. The profiling of bioactives in Akebia trifoliata pericarp and metabolites, bioavailability and in vivo anti-inflammatory activities in DSS-induced colitis mice. Food Funct. 2019, 10, 3977–3991. [Google Scholar] [CrossRef] [PubMed]
- Zou, S.Y.; Yao, X.H.; Zhong, C.H.; Zhao, T.T.; Huang, H.W. Genetic analysis of fruit traits and selection of superior clonal lines in Akebia trifoliate (Lardizabalaceae). Euphytica 2018, 214, 111. [Google Scholar] [CrossRef]
- Zou, S.Y.; Yao, X.H.; Zhong, C.H.; Zhao, T.T.; Huang, H.W. Effectiveness of recurrent selection in Akebia trifoliata (Lardizabalaceae) breeding. Sci. Hortic. 2019, 246, 79–85. [Google Scholar] [CrossRef]
- Huang, H.; Liang, J.; Tan, Q.; Ou, L.F.; Li, X.L.; Zhong, C.H.; Huang, H.L.; Moller, I.M.; Wu, X.J.; Song, S.Q. Insights into triterpene synthesis and unsaturated fatty-acid accumulation provided by chromosomal-level genome analysis of Akebia trifoliata subsp. australis. Hortic. Res. 2021, 8, 33. [Google Scholar] [CrossRef]
- Zozio, S.; Servent, A.; Cazal, G.; Mbeguie-A-Mbeguie, D.; Ravion, S.; Pallet, D.; Abel, H. Changes in antioxidant activity during the ripening of jujube (Ziziphus mauritiana Lamk). Food Chem. 2014, 150, 448–456. [Google Scholar] [CrossRef]
- Aubert, C.; Bruaut, M.; Chalot, G.; Cottet, V. Impact of maturity stage at harvest on the main physicochemical characteristics, the levels of vitamin C, polyphenols and volatiles and the sensory quality of Gariguette strawberry. Eur. Food Res. Technol. 2021, 247, 37–49. [Google Scholar] [CrossRef]
- Nayab, S.; Razzaq, K.; Ullah, S.; Rajwana, I.A.; Amin, M.; Faried, H.N.; Akhtar, G.; Khan, A.S.; Asghar, Z.; Hassan, H.; et al. Genotypes and harvest maturity influence the nutritional fruit quality of mulberry. Sci. Hortic. 2020, 266, 109311. [Google Scholar] [CrossRef]
- Fawole, O.A.; Opara, U.L.; Theron, K.I. Chemical and Phytochemical Properties and Antioxidant Activities of Three Pomegranate Cultivars Grown in South Africa. Food Bioprocess Technol. 2012, 5, 2934–2940. [Google Scholar] [CrossRef]
- Lee, S.K.; Kader, A.A. Preharvest and postharvest factors influencing vitamin C content of horticultural crops. Postharvest Biol. Technol. 2000, 20, 207–220. [Google Scholar] [CrossRef] [Green Version]
- Opara, U.L.; Al-Ani, M.R. Antioxidant contents of pre-packed fresh-cut versus whole fruit and vegetables. Br. Food J. 2010, 112, 797–810. [Google Scholar] [CrossRef]
- Leonardi, C.; Ambrosino, P.; Esposito, F.; Fogliano, V. Antioxidative activity and carotenoid and tomatine contents in different typologies of fresh consumption tomatoes. J. Agric. Food Chem. 2000, 48, 4723–4727. [Google Scholar] [CrossRef]
- Song, J.X.; Bi, J.F.; Chen, Q.Q.; Wu, X.Y.; Lyu, Y.; Meng, X.J. Assessment of sugar content, fatty acids, free amino acids, and volatile profiles in jujube fruits at different ripening stages. Food Chem. 2019, 270, 344–352. [Google Scholar] [CrossRef] [PubMed]
- Wang, C.T.; Cheng, D.; Cao, J.K.; Jiang, W.B. Antioxidant capacity and chemical constituents of Chinese jujube (Ziziphus jujuba Mill.) at different ripening stages. Food Sci. Biotechnol. 2013, 22, 639–644. [Google Scholar] [CrossRef]
- Hussain, S.B.; Anjum, M.A.; Hussain, S.; Ejaz, S.; Ahmed, M. Physico-Chemical Profiling of Promising Sweet Orange Cultivars Grown under Different Agro-Climatic Conditions of Pakistan. Erwerbs-Obstbau 2017, 59, 315–324. [Google Scholar] [CrossRef]
- Razzaq, K.; Khan, A.S.; Malik, A.U.; Shahid, M. Ripening period influences fruit softening and antioxidative system of ‘Samar Bahisht Chaunsa’ mango. Sci. Hortic. 2013, 160, 108–114. [Google Scholar] [CrossRef]
- Zhao, Y.T.; Zhu, X.; Hou, Y.Y.; Pan, Y.F.; Shi, L.; Li, X.H. Effects of harvest maturity stage on postharvest quality of winter jujube (Zizyphus jujuba Mill. cv. Dongzao) fruit during cold storage. Sci. Hortic. 2021, 277, 109778. [Google Scholar] [CrossRef]
- Abdullahi, I.I.; Abdullahi, N.; Muhammad Abdu, A.; Ibrahim, A.S. Proximate, Mineral and Vitamin Analysis of Fresh and Canned Tomato. Biosci. Biotechnol. Res. Asia 2016, 13, 1163–1169. [Google Scholar] [CrossRef]
- Imran, M.; Khan, H.; Shah, M.; Khan, R.; Khan, F. Chemical composition and antioxidant activity of certain Morus species. J. Zhejiang Univ. Sci. B 2010, 11, 973–980. [Google Scholar] [CrossRef]
- Zhao, Y.T.; Zhu, X.; Hou, Y.Y.; Wang, X.Y.; Li, X.H. Postharvest nitric oxide treatment delays the senescence of winter jujube (Zizyphus jujuba Mill. cv. Dongzao) fruit during cold storage by regulating reactive oxygen species metabolism. Sci. Hortic. 2020, 261, 109009. [Google Scholar] [CrossRef]
- Mahmood, T.; Anwar, F.; Afzal, N.; Kausar, R.; Ilyas, S.; Shoaib, M. Influence of ripening stages and drying methods on polyphenolic content and antioxidant activities of mulberry fruits. J. Food Meas. Charact. 2017, 11, 2171–2179. [Google Scholar] [CrossRef]
- Khodabakhshian, R.; Emadi, B.; Khojastehpour, M.; Golzarian, M.R. Determining quality and maturity of pomegranates using multispectral imaging. J. Saudi. Soc. For. Agric. Sci. 2015, 16, 322–331. [Google Scholar] [CrossRef] [Green Version]
- Niu, J.; Shi, Y.L.; Huang, K.Y.; Zhong, Y.C.; Chen, J.; Sun, Z.M.; Luan, M.B.; Chen, J.H. Integrative transcriptome and proteome analyses provide new insights into different stages of Akebia trifoliata fruit cracking during ripening. Biotechnol. Biofuels 2020, 13, 149. [Google Scholar] [CrossRef]
- Wu, J.; Xu, Z.; Zhang, Y.; Chai, L.; Yi, H.; Deng, X. An integrative analysis of the transcriptome and proteome of the pulp of a spontaneous late-ripening sweet orange mutant and its wild type improves our understanding of fruit ripening in citrus. J. Exp. Bot. 2014, 65, 1651–1671. [Google Scholar] [CrossRef] [PubMed] [Green Version]
- Michailidis, M.; Karagiannis, E.; Bazakos, C.; Tanou, G.; Ganopoulos, I.; Molassiotis, A. Genotype- and tissue-specific metabolic networks and hub genes involved in water-induced distinct sweet cherry fruit cracking phenotypes. Comput. Struct. Biotechnol. J. 2021, 19, 5406–5420. [Google Scholar] [CrossRef] [PubMed]
- Chen, J.; Duan, Y.; Hu, Y.; Li, W.; Sun, D.; Hu, H.; Xie, J. Transcriptome analysis of atemoya pericarp elucidates the role of polysaccharide metabolism in fruit ripening and cracking after harvest. BMC Plant Biol. 2019, 19, 219. [Google Scholar] [CrossRef] [PubMed] [Green Version]
- Saquet, A.A. Storage of pears. Sci. Hortic. 2019, 246, 1009–1016. [Google Scholar] [CrossRef]
- Niu, J.; Sun, Z.M.; Shi, Y.L.; Huang, K.Y.; Zhong, Y.C.; Chen, J.; Chen, J.H.; Luan, M.B. Comparative Analysis of Akebia trifoliata Fruit Softening at Different Flesh Ripening Stages Using Tandem Mass Tag Technology. Front. Nutr. 2021, 8, 684271. [Google Scholar] [CrossRef]
- Wang, Y.J.; Ao, W.C.; He, X.S.; Duan, W.H.; Xin, W.N.; Gong, C. Comparative study of physical and chemical components of Akebia trifoliata from 9 places of production in China. J. West China For. Sci. 2016, 45, 43–48. [Google Scholar] [CrossRef]
- He, X.S.; Gong, C.; Huang, J.J.; Ao, W.C.; Zuo, J.L.; Wang, Y.J. Comparison of differences between fruit economic characteristics in Akebia trifoliata (Thunb.) Koidz. Subsp. australis (Diels) T. Shimizu from different geographical provenances. Non-Wood For. Res. 2017, 35, 36–42. [Google Scholar]
- Mahmood, T.; Anwar, F.; Abbas, M.; Boyce, M.C.; Saari, N. Compositional Variation in Sugars and Organic Acids at Different Maturity Stages in Selected Small Fruits from Pakistan. Int. J. Mol. Sci. 2012, 13, 1380–1392. [Google Scholar] [CrossRef]
- Riaz, M.; Zamir, T.; Rashid, N.; Jamil, N.; Rizwan, S.; Masood, Z.; Mushtaq, A.; Tareen, H.; Khan, M.; Ali, M. Comparative study of nutritional quality of orange (Citrus sinensis) at different maturity stages in relation to significance for human health. Am. Eur. J. Toxicol. Sci. 2015, 7, 209–213. [Google Scholar]
- Sanchez, E.M.; Calin-Sanchez, A.; Carbonell-Barrachina, A.A.; Melgarejo, P.; Hernandez, F.; Martinez-Nicolas, J.J. Physicochemical characterisation of eight Spanish mulberry clones: Processing and fresh market aptitudes. Int. J. Food Sci. Technol. 2014, 49, 477–483. [Google Scholar] [CrossRef]
- Rolland, F.; Baena-Gonzalez, E.; Sheen, J. Sugar sensing and signaling in plants: Conserved and novel mechanisms. Annu. Rev. Plant Biol. 2006, 57, 675–709. [Google Scholar] [CrossRef] [Green Version]
- Araya, T.; Noguchi, K.; Terashima, I. Effects of carbohydrate accumulation on photosynthesis differ between sink and source leaves of Phaseolus vulgaris L. Plant Cell Physiol. 2006, 47, 644–652. [Google Scholar] [CrossRef] [PubMed] [Green Version]
- Cao, Y.; Xiong, D.S.; Zhu, J.T.; Yu, Z.H.; Li, G.Z. Study on the respiration physiology of Akebia trifoliate fruit and the suitable storage conditions. J. Fruit Sci. 2003, 20, 512–514. [Google Scholar]
- Basson, C.E.; Groenewald, J.H.; Kossmann, J.; Cronje, C.; Bauer, R. Sugar and acid-related quality attributes and enzyme activities in strawberry fruits: Invertase is the main sucrose hydrolysing enzyme. Food Chem. 2010, 121, 1156–1162. [Google Scholar] [CrossRef]
- Glew, R.H.; Ayaz, F.A.; Sanz, C.; Vanderjagt, D.J.; Huang, H.S.; Chuang, L.T.; Strnad, M. Changes in sugars, organic acids and amino acids in medlar (Mespilus germanica L.) during fruit development and maturation. Food Chem. 2003, 83, 363–369. [Google Scholar] [CrossRef]
- Wu, B.H.; Liu, H.F.; Guan, L.; Fan, P.G.; Li, S.H. Carbohydrate metabolism in grape cultivars that differ in sucrose accumulation. Vitis 2011, 50, 51–57. [Google Scholar]
- Zhang, Y.Z.; Li, P.M.; Cheng, L.L. Developmental changes of carbohydrates, organic acids, amino acids, and phenolic compounds in ‘Honeycrisp’ apple flesh. Food Chem. 2010, 123, 1013–1018. [Google Scholar] [CrossRef]
- Sturm, K.; Koron, D.; Stampar, F. The composition of fruit of different strawberry varieties depending on maturity stage. Food Chem. 2003, 83, 417–422. [Google Scholar] [CrossRef]
- Zhong, W.M.; Ma, Y.H. Fruit nutrition quality of a good Akebia trifoliate plant. Guizhou Agric. Sci. 2015, 43, 140–142. [Google Scholar]
- Wan, M.C.; Liu, X.W.; Ban, X.C.; Luo, K.M.; Shi, L.J.; Zhang, C.J.; Yang, Y.Y.; Li, Z.J.; He, Y.C. The fruit character and nutrition composition of Akebia trifoliata (Thunb.) Koidz under the cultivation condition. Guizhou Agric. Sci. 2008, 36, 121–122. [Google Scholar]
- Jin, P.; Wu, X.; Xu, F.; Wang, X.L.; Wang, J.; Zheng, Y.H. Enhancing Antioxidant Capacity and Reducing Decay of Chinese Bayberries by Essential Oils. J. Agric. Food Chem. 2012, 60, 3769–3775. [Google Scholar] [CrossRef] [PubMed]
- Kirigia, D.; Winkelmann, T.; Kasili, R.; Mibus, H. Nutritional composition in African nightshade (Solanum scabrum) influenced by harvesting methods, age and storage conditions. Postharvest Biol. Technol. 2019, 153, 142–151. [Google Scholar] [CrossRef]
- Fawole, O.A.; Opara, U.L. Changes in physical properties, chemical and elemental composition and antioxidant capacity of pomegranate (cv. Ruby) fruit at five maturity stages. Sci. Hortic. 2013, 150, 37–46. [Google Scholar] [CrossRef]
- Fawole, O.A.; Opara, U.L. Effects of maturity status on biochemical content, polyphenol composition and antioxidant capacity of pomegranate fruit arils (cv. ‘Bhagwa’). S. Afr. J. Bot. 2013, 85, 23–31. [Google Scholar] [CrossRef] [Green Version]
- Zhang, Q.; Wang, L.L.; Liu, Z.G.; Zhao, Z.H.; Zhao, J.; Wang, Z.T.; Zhou, G.F.; Liu, P.; Liu, M.J. Transcriptome and metabolome profiling unveil the mechanisms of Ziziphus jujuba Mill. peel coloration. Food Chem. 2020, 312, 125903. [Google Scholar] [CrossRef] [PubMed]
- Zoratti, L.; Karppinen, K.; Escobar, A.L.; Haggman, H.; Jaakola, L. Light-controlled flavonoid biosynthesis in fruits. Front. Plant Sci. 2014, 5, 534. [Google Scholar] [CrossRef]
- Mahmood, T.; Anwar, F.; Bhatti, I.A.; Iqbal, T. Effect of maturity on proximate composition, phenolics and antioxidant attributes of cherry fruit. Pak. J. Bot. 2013, 45, 909–914. [Google Scholar]




| Clonal Lines | Maturity Stages | Fruit Weight/g | Fruit Length/mm | Fruit Diameter/mm |
|---|---|---|---|---|
| Luqing | S1 | 203.19 ± 11.59 d | 128.17 ± 2.62 c | 52.44 ± 1.23 c |
| S2 | 289.54 ± 13.38 c | 148.10 ± 3.03 b | 59.45 ± 1.43 b | |
| S3 | 463.10 ± 14.66 a | 168.27 ± 3.32 a | 69.69 ± 1.56 a | |
| S4 | 536.33 ± 18.93 a | 172.35 ± 4.29 a | 72.04 ± 2.02 a | |
| Luyu | S1 | 152.93 ± 5.81 d | 117.86 ± 1.67 d | 48.19 ± 0.95 c |
| S2 | 191.37 ± 6.22 c | 123.77 ± 1.79 c | 51.76 ± 1.01 b | |
| S3 | 259.50 ± 6.71 b | 129.41 ± 1.93 b | 61.49 ± 1.09 a | |
| S4 | 302.82 ± 8.22 a | 139.90 ± 2.37 a | 62.12 ± 1.34 a |
| Clonal Lines | Maturity Stage | Dry Matter Content (%) | Moisture (%) | Crude Fiber(%) | Fat Content(%) | Protein Content(%) |
|---|---|---|---|---|---|---|
| Luqing | S1 | 25.78 ± 1.21 b | 74.22 ± 1.21 b | 0.67 ± 0.03 a | 0.50 ± 0.00 a | 1.14 ± 0.05 a |
| S2 | 23.46 ± 1.23 b | 76.54 ± 1.23 b | 0.60 ± 0.06 a | 0.40 ± 0.06 a | 0.99 ± 0.01 b | |
| S3 | 19.63 ± 0.80 a | 80.37 ± 0.80 a | 0.20 ± 0.00 b | 0.20 ± 0.00 b | 0.56 ± 0.02 c | |
| S4 | 17.19 ± 1.10 a | 82.81 ± 1.10 a | 0.17 ± 0.03 b | 0.17 ± 0.03 b | 0.54 ± 0.01 c | |
| Luyu | S1 | 29.68 ± 0.63 b | 70.32 ± 0.63 b | 0.70 ± 0.06 a | 0.47 ± 0.03 a | 1.05 ± 0.01 a |
| S2 | 26.98 ± 1.89 b | 72.90 ± 1.89 b | 0.70 ± 0.06 a | 0.43 ± 0.03 a | 0.98 ± 0.03 b | |
| S3 | 21.26 ± 0.84 a | 78.74 ± 0.84 a | 0.20 ± 0.00 b | 0.23 ± 0.03 b | 0.52 ± 0.02 c | |
| S4 | 18.71 ± 1.28 a | 81.29 ± 1.28 a | 0.20 ± 0.00 b | 0.20 ± 0.00 b | 0.52 ± 0.01 c |
Publisher’s Note: MDPI stays neutral with regard to jurisdictional claims in published maps and institutional affiliations. |
© 2022 by the authors. Licensee MDPI, Basel, Switzerland. This article is an open access article distributed under the terms and conditions of the Creative Commons Attribution (CC BY) license (https://creativecommons.org/licenses/by/4.0/).
Share and Cite
Zou, S.; Gao, P.; Jia, T.; Huang, H. Physicochemical Characteristics and Nutritional Composition during Fruit Ripening of Akebia trifoliata (Lardizabalaceae). Horticulturae 2022, 8, 326. https://doi.org/10.3390/horticulturae8040326
Zou S, Gao P, Jia T, Huang H. Physicochemical Characteristics and Nutritional Composition during Fruit Ripening of Akebia trifoliata (Lardizabalaceae). Horticulturae. 2022; 8(4):326. https://doi.org/10.3390/horticulturae8040326
Chicago/Turabian StyleZou, Shuaiyu, Puxin Gao, Tianjiao Jia, and Hongwen Huang. 2022. "Physicochemical Characteristics and Nutritional Composition during Fruit Ripening of Akebia trifoliata (Lardizabalaceae)" Horticulturae 8, no. 4: 326. https://doi.org/10.3390/horticulturae8040326
APA StyleZou, S., Gao, P., Jia, T., & Huang, H. (2022). Physicochemical Characteristics and Nutritional Composition during Fruit Ripening of Akebia trifoliata (Lardizabalaceae). Horticulturae, 8(4), 326. https://doi.org/10.3390/horticulturae8040326
