Insecticidal Activity against Myzus persicae of Terpinyl Acetate and Bornyl Acetate in Thuja occidentalis Essential Oil
Abstract
1. Introduction
2. Materials and Methods
2.1. Plant Material and Chemicals
2.2. Extraction of Essential Oil
2.3. Chemical Profiling of T. occidentalis Essential Oils through GC-MS
2.4. Insecticidal Activity of Essential Oils of Three Cupressaceae Plants
2.5. Insecticidal Assay of Essential Oil, Terpinyl Acetate, and Bornyl Acetate against M. persicae
2.6. Statistical Analysis
3. Results
3.1. Insecticide Activity of Essential Oils of Three Cupressaceae Plants
3.2. Extraction of T. occidentalis Essential Oils
3.3. Chemical Profiling of T. occidentalis Essential Oils through GC-MS
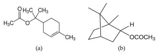
3.4. Selection of Putative Insecticidal Compounds from the Essential Oil
3.5. Insecticidal Activity of T. occidentalis Essential Oils
3.6. Insecticide Activity of Terpinyl Acetate and Bornyl Acetate
3.7. Insecticidal Activity of Essential Oil and Monoterpenes with Surfactant
4. Discussion
5. Conclusions
Author Contributions
Funding
Acknowledgments
Conflicts of Interest
References
- Rattan, R.S. Mechanism of action of insecticidal secondary metabolites of plant origin. Crop Prot. 2010, 29, 913–920. [Google Scholar] [CrossRef]
- Harborne, J. Introduction to Ecological Biochemistry, 4th ed.; Academic Press: London, UK, 1993. [Google Scholar]
- Marcic, D. Acaricides in modern management of plant-feeding mites. J. Pest Sci. 2012, 85, 395–408. [Google Scholar] [CrossRef]
- Koul, O. Insect Antifeedants, 1st ed.; CRC Press: Boca Raton, FL, USA, 2004. [Google Scholar]
- Adeyemi, M.M.H. The potential of secondary metabolites in plant material as deterents against insect pests: A review. Afr. J. Pure Appl. Chem. 2010, 4, 243–246. [Google Scholar]
- Costa, E.M.; Araujo, E.L.; Maia, A.V.P.; Silva, F.E.L.; Bezerra, C.E.S.; Silva, J.G. Toxicity of insecticides used in the Brazilian melon crop to the honey bee Apis mellifera under laboratory conditions. Apidologie 2013, 45, 34–44. [Google Scholar] [CrossRef]
- Da Silva, I.M.; Zanuncio, J.C.; Brügger, B.P.; Soares, M.A.; Zanuncio, A.J.V.; Wilcken, C.F.; Tavares, W.D.S.; Serrão, J.E.; Sediyama, C.S. Selectivity of the botanical compounds to the pollinators Apis mellifera and Trigona hyalinata (Hymenoptera: Apidae). Sci. Rep. 2020, 10, 4820. [Google Scholar] [CrossRef]
- Johnston, W. Thuja occidentalis L.: Northern White-Cedar. In Silvics of North America; Burns, R., Honkalla, B., Eds.; USDA: Washington, DC, USA, 1990. [Google Scholar]
- Naser, B.; Bodinet, C.; Tegtmeier, M.; Lindequist, U. Thuja occidentalis (Arbor vitae): A Review of its Pharmaceutical, Pharmacological and Clinical Properties. Evid.-Based Complement. Altern. Med. 2005, 2, 69–78. [Google Scholar] [CrossRef]
- Zimmer, M. Gezielte konservative Therapie der akuten Sinusitis in der HNO-Praxis. Therapiewoche 1985, 35, 4024–4028. [Google Scholar]
- Park, B.; Lee, M.-J.; Lee, S.-K.; Lee, S.-B.; Jeong, I.-H.; Park, S.-K.; Jeon, Y.-J.; Lee, H.-S. Insecticidal activity of coriander and cinnamon oils prepared by various methods against three species of agricultural pests (Myzus persicae, Teyranychus urticae and Plutella xylostella). J. Appl. Biol. Chem. 2017, 60, 137–140. [Google Scholar] [CrossRef]
- Kim, K.W.; Jeong, H.C. Repellency of herb plants and essential oils against the green peach aphid, Myzus persicae. J. Korean Soc. Tob. Sci. 2003, 25, 7–11. [Google Scholar]
- Dawson, F.A. The amazing terpenes. Nav. Stores Rev. 1994, 104, 6–12. [Google Scholar]
- Abdelgaleil, S.A.M.; Mohamed, M.I.E.; Badawy, M.; El-Arami, S.A.A. Fumigant and Contact Toxicities of Monoterpenes to Sitophilus oryzae (L.) and Tribolium castaneum (Herbst) and their Inhibitory Effects on Acetylcholinesterase Activity. J. Chem. Ecol. 2009, 35, 518–525. [Google Scholar] [CrossRef] [PubMed]
- Lu, J.; Wu, S. Bioactivity of essential oil from Ailanthus altissima bark against 4 major stored-grain insects. Afr. J. Microbiol. Res. 2010, 4, 154–157. [Google Scholar] [CrossRef]
- Huang, Y.; Lam, S.; Ho, S. Bioactivities of essential oil from Elletaria cardamomum (L.) Maton. to Sitophilus zeamais Motschulsky and Tribolium castaneum (Herbst). J. Stored Prod. Res. 2000, 36, 107–117. [Google Scholar] [CrossRef]
- Deb, M.; Kumar, D. Bioactivity and efficacy of essential oils extracted from Artemisia annua against Tribolium casteneum (Herbst. 1797) (Coleoptera: Tenebrionidae): An eco-friendly approach. Ecotoxicol. Environ. Saf. 2020, 189, 109988. [Google Scholar] [CrossRef]
- Blount, J.W.; Masoud, S.; Sumner, L.W.; Huhman, D.; Dixon, R.A. Over-expression of cinnamate 4-hydroxylase leads to increased accumulation of acetosyringone in elicited tobacco cell-suspension cultures. Planta 2002, 214, 902–910. [Google Scholar] [CrossRef]
- Frydman, A.; Weisshaus, O.; Bar-Peled, M.; Huhman, D.V.; Sumner, L.W.; Marin, F.R.; Lewinsohn, E.; Fluhr, R.; Gressel, J.; Eyal, Y. Citrus fruit bitter flavors: Isolation and functional characterization of the gene Cm1,2RhaT encoding a 1,2 rhamnosyltransferase, a key enzyme in the biosynthesis of the bitter flavonoids of citrus. Plant J. 2004, 40, 88–100. [Google Scholar] [CrossRef]
- Prithiviraj, B.; Vikram, A.; Kushalappa, A.; Yaylayan, V. Volatile Metabolite Profiling for the Discrimination of Onion Bulbs Infected by Erwinia carotovora ssp. carotovora, Fusarium oxysporum and Botrytis allii. Eur. J. Plant Pathol. 2004, 110, 371–377. [Google Scholar] [CrossRef]
- Schulz, H.; Krüger, H.; Liebmann, A.J.; Peterka, H. Distribution of Volatile Sulfur Compounds in an Interspecific Hybrid between Onion (Allium cepa L.) and Leek (Allium porrum L.). J. Agric. Food Chem. 1998, 46, 5220–5224. [Google Scholar] [CrossRef]
- Aydin, T.; Bayrak, N.; Baran, E.; Cakir, A. Insecticidal effects of extracts of Humulus lupulus (hops) L. cones and its principal component, xanthohumol. Bull. Èntomol. Res. 2017, 107, 543–549. [Google Scholar] [CrossRef]
- Negahban, M.; Moharramipour, S.; Sefidkon, F. Fumigant toxicity of essential oil from Artemisia sieberi Besser against three stored-product insects. J. Stored Prod. Res. 2007, 43, 123–128. [Google Scholar] [CrossRef]
- Yong, S.H.; Song, H.J.; Park, D.J.; Kim, D.H.; Park, K.B.; Choi, M.S. Chemical compositions and antifungal activity against Botrytis cinerea of the essential oils from the leaves of three conifer species. For. Sci. Technol. 2021, 17, 169–179. [Google Scholar] [CrossRef]
- Nauen, R. Insecticide resistance in disease vectors of public health importance. Pest Manag. Sci. 2007, 63, 628–633. [Google Scholar] [CrossRef] [PubMed]
- Sarma, R.; Adhikari, K.; Mahanta, S.; Khanikor, B. Combinations of Plant Essential Oil Based Terpene Compounds as Larvicidal and Adulticidal Agent against Aedes aegypti (Diptera: Culicidae). Sci. Rep. 2019, 9, 9471. [Google Scholar] [CrossRef] [PubMed]
- Soonwera, M.; Moungthipmalai, T.; Takawirapat, W.; Sittichok, S. Ovicidal and repellent activities of several plant essential oils against Periplaneta americana L. and enhanced activities from their combined formulation. Sci. Rep. 2022, 12, 12070. [Google Scholar] [CrossRef] [PubMed]
- Hummelbrunner, L.A.; Isman, M.B. Acute, Sublethal, Antifeedant, and Synergistic Effects of Monoterpenoid Essential Oil Compounds on the Tobacco Cutworm, Spodoptera litura (Lep., Noctuidae). J. Agric. Food Chem. 2001, 49, 715–720. [Google Scholar] [CrossRef]
- Pavela, R.; Vrchotová, N.; Tříska, J. Mosquitocidal activities of thyme oils (Thymus vulgaris L.) against Culex quinquefasciatus (Diptera: Culicidae). Parasitol. Res. 2009, 105, 1365. [Google Scholar] [CrossRef]
- Yang, J.K.; Kang, B.K.; Kim, T.H.; Hong, S.C.; Seo, W.T.; Choi, M.S. Efficient extraction methods and analysis of essential oil from softwood leaves. Korean J. Biotechnol. Bioeng. 2002, 17, 357–364. [Google Scholar]
- Seo, W.T.; Yang, J.K.; Kang, B.K.; Park, W.J.; Hong, S.C.; Kang, Y.M.; Jung, H.Y.; Kim, Y.D.; Kang, S.M.; Kim, S.W.; et al. Extraction and biological activities of essential oil from Thuja occidental Leaves. Korean J. Med. Crop Sci. 2003, 11, 364–370. [Google Scholar]
- McLafferty, F.W. Wiley Registry of Mass Spectral Data, 6th ed.; John Wiley and Sons: New York, NY, USA, 1994. [Google Scholar]
- Van Den Dool, H.; Kratz, P.D. A generalization of the retention index system including linear temperature programmed gas—Liquid partition chromatography. J. Chromatogr. A 1963, 11, 463–471. [Google Scholar] [CrossRef]
- Szołyga, B.; Gniłka, R.; Szczepanik, M.; Szumny, A. Chemical composition and insecticidal activity of Thuja occidentalis and Tanacetum vulgare essential oils against larvae of the lesser mealworm, Alphitobius diaperinus. Èntomol. Exp. Appl. 2014, 151, 1–10. [Google Scholar] [CrossRef]
- Kéïta, S.M.; Vincent, C.; Schmidt, J.-P.; Arnason, J.T. Insecticidal effects of Thuja occidentalis (Cupressaceae) essential oil on Callosobruchus maculatus [Coleoptera: Bruchidae]. Can. J. Plant Sci. 2001, 81, 173–177. [Google Scholar] [CrossRef]
- Xie, Y.; Wang, K.; Huang, Q.; Lei, C. Evaluation toxicity of monoterpenes to subterranean termite, Reticulitermes chinensis Snyder. Ind. Crops Prod. 2014, 53, 163–166. [Google Scholar] [CrossRef]
- Feng, Y.-X.; Wang, Y.; Chen, Z.-Y.; Guo, S.-S.; You, C.-X.; Du, S.-S. Efficacy of bornyl acetate and camphene from Valeriana officinalis essential oil against two storage insects. Environmental Science amd Polluion Research. 2019, 26, 16157–16165. [Google Scholar] [CrossRef]
- Pascual-Villalobos, M.J.; Cantó-Tejero, M.; Guirao, P.; López, M.D. Fumigant Toxicity in Myzus persicae Sulzer (Hemiptera: Aphididae): Controlled Release of (E)-anethole from Microspheres. Plants 2020, 9, 124. [Google Scholar] [CrossRef] [PubMed]
- Sharifi-Rad, M.; Varoni, E.M.; Salehi, B.; Sharifi-Rad, J.; Matthews, K.R.; Ayatollahi, S.A.; Kobarfard, F.; Ibrahim, S.A.; Mnayer, D.; Zakaria, Z.A.; et al. Plants of the Genus Zingiber as a Source of Bioactive Phytochemicals: From Tradition to Pharmacy. Molecules 2017, 22, 2145. [Google Scholar] [CrossRef] [PubMed]
- Giatropoulos, A.; Pitarokili, D.; Papaioannou, F.; Papachristos, D.P.; Koliopoulos, G.; Emmanouel, N.; Tzakou, O.; Michaelakis, A. Essential oil composition, adult repellency and larvicidal activity of eight Cupressaceae species from Greece against Aedes albopictus (Diptera: Culicidae). Parasitol. Res. 2013, 112, 1113–1123. [Google Scholar] [CrossRef] [PubMed]
- Hashemi, S.M.; Rostaefar, A. Insecticidal activity of essential oil from Juniperus communis L. subsp. hemisphaerica (Presl) nyman against two stored product beetles. Ecol. Balk. 2014, 6, 87–93. [Google Scholar]
- Tümen, I.; Hafizoglu, H.; Kilic, A.; Dönmez, I.E.; Sivrikaya, H.; Reunanen, M. Yields and Constituents of Essential Oil from Cones of Pinaceae spp. Natively Grown in Turkey. Molecules 2010, 15, 5797–5806. [Google Scholar] [CrossRef]
- Sonboli, A.; Kanani, M.R.; Yousefzadi, M.; Mojarad, M. Chemical composition and antibacterial activity of the essential oil of Salvia hydrangea from two localities of Iran. J. Med. Plants 2009, 8, 20–28. [Google Scholar]
- Kotan, R.; Kordali, S.; Cakir, A.; Kesdek, M.; Kaya, Y.; Kilic, H. Antimicrobial and insecticidal activities of essential oil isolated from Turkish Salvia hydrangea DC. ex Benth. Biochem. Syst. Ecol. 2008, 36, 360–368. [Google Scholar] [CrossRef]
- The European Agency for the Evaluation of Medicinal Products (EMEA). Committee for Veterinary Medicinal Products—Thuja occidentalis; Summary Report; EMEA: London, UK, 1999. [Google Scholar]
- Wallach, O. Zur Kenntniss der Terpene und der ätherischen Oele. Justus Liebigs Ann. Chem. 1893, 277, 105–154. [Google Scholar] [CrossRef]
- Banthorpe, D.V. Terpenoids. In Natural Products: Their Chemistry and Biological Significance; Mann, J.R., Davidson, S., Hobbs, J.B., Banthorpe, D.V., Harborne, J.B., Eds.; Longman Scientific & Technical, Longman Group: Harlow, UK, 1994; pp. 289–359. [Google Scholar]
- Lee, N.-H.; Lee, S.-M.; Lee, T.-M.; Chung, N.; Lee, H.-S. GC-MS Analyses of the Essential Oils Obtained from Pinaceae Leaves in Korea. J. Essent. Oil Bear. Plants 2015, 18, 538–542. [Google Scholar] [CrossRef]
- Bonikowski, R.; Celiński, K.; Wojnicka-Półtorak, A.; Maliński, T. Composition of essential oils isolated from the needles of Pinus uncinata and P. uliginosa grown in Poland. Nat. Prod. Commun. 2015, 10, 371–373. [Google Scholar] [CrossRef] [PubMed]
- Ioannou, E.; Koutsaviti, A.; Tzakou, O.; Roussis, V. The genus Pinus: A comparative study on the needle essential oil composition of 46 pine species. Phytochem. Rev. 2014, 13, 741–768. [Google Scholar] [CrossRef]
- Masotti, V.; Juteau, F.; Bessière, J.M.; Viano, J. Seasonal and Phenological Variations of the Essential Oil from the Narrow Endemic Species Artemisia molinieri and Its Biological Activities. J. Agric. Food Chem. 2003, 51, 7115–7121. [Google Scholar] [CrossRef]
- Oliveira, M.; Brugnera, D.; Cardoso, M.; Guimarães, L.; Piccoli, R. Rendimento, composição química e atividade antilisterial de óleos essenciais de espécies de Cymbopogon. Rev. Bras. Plantas Med. 2011, 13, 8–16. [Google Scholar] [CrossRef]
- Liu, X.C.; Li, Y.P.; Li, H.Q.; Deng, Z.W.; Zhou, L.; Liu, Z.L.; Du, S.S. Identification of Repellent and Insecticidal Constituents of the Essential Oil of Artemisia rupestris L. Aerial Parts against Liposcelis bostrychophila Badonnel. Molecules 2013, 18, 10733–10746. [Google Scholar] [CrossRef]
- Zouari-Bouassida, K.; Trigui, M.; Makni, S.; Jlaiel, L.; Tounsi, S. Seasonal Variation in Essential Oils Composition and the Biological and Pharmaceutical Protective Effects of Mentha longifolia Leaves Grown in Tunisia. BioMed Res. Int. 2018, 2018, 7856517. [Google Scholar] [CrossRef]
- Park, I.-K.; Lee, S.-G.; Choi, D.-H.; Park, J.-D.; Ahn, Y.-J. Insecticidal activities of constituents identified in the essential oil from leaves of Chamaecyparis obtusa against Callosobruchus chinensis (L.) and Sitophilus oryzae (L.). J. Stored Prod. Res. 2003, 39, 375–384. [Google Scholar] [CrossRef]
- Kim, S.-I.; Chae, S.-H.; Youn, H.-S.; Yeon, S.-H.; Ahn, Y.-J. Contact and fumigant toxicity of plant essential oils and efficacy of spray formulations containing the oils against B- and Q-biotypes of Bemisia tabaci. Pest Manag. Sci. 2011, 67, 1093–1099. [Google Scholar] [CrossRef]
- Regnault-Roger, C.; Hamraoui, A. Fumigant toxic activity and reproductive inhibition induced by monoterpenes on Acanthoscelides obtectus (Say) (coleoptera), a bruchid of kidney bean (Phaseolus vulgaris L.). J. Stored Prod. Res. 1995, 31, 291–299. [Google Scholar] [CrossRef]
- Herzfeld, D.; Sargent, K. Chapter 4: Pesticide Formulations. In Private Pesticide Applicator Safety Education Manual, 19th ed.; University of Minnesota Extension: Falcon Heights, MN, USA, 2011; pp. 85–108. [Google Scholar]








| Compounds | RT a | MF b | MW c | RI d | Essential Oil Composition (%) e | ||
|---|---|---|---|---|---|---|---|
| Thujaoccidentalis | Chamaecypariscbtusa | Chamaecyparispisifera | |||||
| α-Pinene | 5.33 | C10H16 | 136 | 934 | 9.21 | 4.02 | 10.79 |
| Camphene | 5.62 | C10H16 | 136 | 970 | 2.52 | 4.46 | |
| β-Phellandrene | 6.11 | C10H16 | 136 | 1014 | 1.64 | ||
| β-myrcene | 6.46 | C10H16 | 136 | 991 | 14.62 | 2.76 | 10.55 |
| Limonene | 7.14 | C10H16 | 136 | 1198 | 5.05 | 6.07 | |
| thujone | 8.53 | C10H16O | 152 | 1105 | 16.58 | ||
| α-Thujone | 8.69 | C10H16O | 152 | 105 | 3.56 | ||
| Camphor | 9.16 | C10H16O | 152 | 1129 | 1.97 | ||
| Bornyl acetate | 11.31 | C12H20O2 | 196 | 1283 | 9.31 | 14.45 | 20.43 |
| Terpinyl acetate | 12.18 | C12H20O2 | 196 | 1327 | 8.52 | 12.04 | 4.61 |
| Caryophyllene oxide | 15.23 | C15H2 | 204 | 1409 | 1.53 | ||
| α-cedrol | 15.47 | C15H26O | 222 | 1596 | 1.93 | 1.78 | |
| 7-Methanoazulen | 15.77 | C15H24 | 204 | 2110 | 1.07 | ||
| α-Cedrane | 15.82 | C15H2 | 206 | 1633 | 1.06 | 2.24 | |
| Phenanthrene | 18.69 | C14H10 | 178 | 1792 | 3.14 | 2.16 | |
| Norkaur | 19.13 | C20H32 | 272 | 1198 | 10.82 | 3.99 | 3.63 |
| Sum of Squares | df | Mean Squares | F | p | |
|---|---|---|---|---|---|
| Between Groups | 186.89 | 2 | 93.44 | 1.281 | 0.313 |
| Within Groups | 875.66 | 12 | 72.97 | ||
| Total | 102.55 | 14 |
Publisher’s Note: MDPI stays neutral with regard to jurisdictional claims in published maps and institutional affiliations. |
© 2022 by the authors. Licensee MDPI, Basel, Switzerland. This article is an open access article distributed under the terms and conditions of the Creative Commons Attribution (CC BY) license (https://creativecommons.org/licenses/by/4.0/).
Share and Cite
Song, H.-J.; Yong, S.-H.; Kim, H.-G.; Kim, D.-H.; Park, K.-B.; Shin, K.-C.; Choi, M.-S. Insecticidal Activity against Myzus persicae of Terpinyl Acetate and Bornyl Acetate in Thuja occidentalis Essential Oil. Horticulturae 2022, 8, 969. https://doi.org/10.3390/horticulturae8100969
Song H-J, Yong S-H, Kim H-G, Kim D-H, Park K-B, Shin K-C, Choi M-S. Insecticidal Activity against Myzus persicae of Terpinyl Acetate and Bornyl Acetate in Thuja occidentalis Essential Oil. Horticulturae. 2022; 8(10):969. https://doi.org/10.3390/horticulturae8100969
Chicago/Turabian StyleSong, Hyun-Jin, Seong-Hyeon Yong, Hak-Gon Kim, Do-Hyun Kim, Kwan-Been Park, Keum-Chul Shin, and Myung-Suk Choi. 2022. "Insecticidal Activity against Myzus persicae of Terpinyl Acetate and Bornyl Acetate in Thuja occidentalis Essential Oil" Horticulturae 8, no. 10: 969. https://doi.org/10.3390/horticulturae8100969
APA StyleSong, H.-J., Yong, S.-H., Kim, H.-G., Kim, D.-H., Park, K.-B., Shin, K.-C., & Choi, M.-S. (2022). Insecticidal Activity against Myzus persicae of Terpinyl Acetate and Bornyl Acetate in Thuja occidentalis Essential Oil. Horticulturae, 8(10), 969. https://doi.org/10.3390/horticulturae8100969

