Late Ripening Apple Production Benefits from High Shading and Water Limitation under Exclusion Netting
Abstract
1. Introduction
2. Materials and Methods
2.1. Study Site
2.2. Net Treatments, Weather, and Irrigation
- -
- A100: anti-hail net control irrigation (100% Et0 under the anti-hail net);
- -
- A70: anti-hail net restricted irrigation (70% Et0 under the anti-hail net);
- -
- E70: exclusion net control irrigation (100% Et0 under the exclusion net);
- -
- E50: exclusion net restricted irrigation (70% Et0 under the exclusion net).
2.3. Midday Stem Water Potential and Leaf Gas Exchanges
2.4. Fruit Growth
2.5. Yield Determinants and Fruit Quality
2.6. Statistical Analysis
- -
- Irrigation treatments, under the anti-hail net (A100 A70);
- -
- Irrigation treatments, under the exclusion net (E70 E50);
- -
- The same amount of irrigation, under different net treatments (A70 E70);
- -
- Control irrigation treatments, under different net treatments (A100 E70).
3. Results
3.1. Weather, Net Treatments and Irrigation
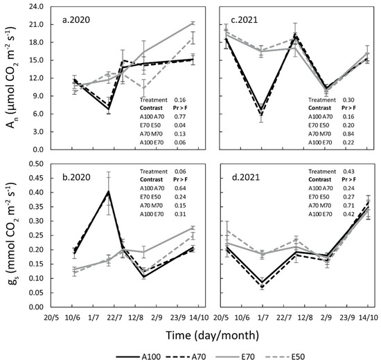
3.2. Midday Stem Water Potential and Leaf Gas Exchanges
3.3. Fruit Growth
3.4. Yield Determinants and Fruit Quality
4. Discussion
5. Conclusions
Author Contributions
Funding
Acknowledgments
Conflicts of Interest
References
- Stagge, J.H.; Kingston, D.G.; Tallaksen, L.M.; Hannah, D.M. Observed drought indices show increasing divergence across Europe. Sci. Rep. 2017, 7, 14045. [Google Scholar] [CrossRef] [PubMed]
- Nistor, M.-M.; Satyanaga, A.; Dezsi, Ş.; Haidu, I. European Grid Dataset of Actual Evapotranspiration, Water Availability and Effective Precipitation. Atmosphere 2022, 13, 772. [Google Scholar] [CrossRef]
- Girona, J.; Behboudian, M.H.; Mata, M.; Del Campo, J.; Marsal, J. Effect of hail nets on the microclimate, irrigation requirements, tree growth, and fruit yield of peach orchards in Catalonia (Spain). J. Hortic. Sci. Biotechnol. 2012, 87, 545–550. [Google Scholar] [CrossRef]
- Boini, A.; Lopez, G.; Morandi, B.; Manfrini, L.; Corelli-Grappadelli, L. Testing the Effect of Different Light Environments and Water Shortage on Apple Physiological Parameters and Yield, Proceedings of the XI International Symposium on Integrating Canopy, Rootstock and Environmental Physiology in Orchard Systems, Bologna, Italy, 28 August 2016; Corelli Grappadelli, L., Ed.; ISHS: Leuven, Belgium, 2018; pp. 397–403. [Google Scholar] [CrossRef]
- Boini, A.; Bresilla, K.; Perulli, G.D.; Manfrini, L.; Corelli Grappadelli, L.; Morandi, B. Photoselective nets impact apple sap flow and fruit growth. Agric. Water Manag. 2019, 226, 105738. [Google Scholar] [CrossRef]
- Lopez, G.; Boini, A.; Manfrini, L.; Torres-Ruiz, J.M.; Pierpaoli, E.; Zibordi, M.; Losciale, P.; Morandi, B.; Corelli-Grappadelli, L. Effect of shading and water stress on light interception, physiology and yield of apple trees. Agric. Water Manag. 2018, 210, 140–148. [Google Scholar] [CrossRef]
- Brito, C.; Rodrigues, M.Â.; Pinto, L.; Gonçalves, A.; Silva, E.; Martins, S.; Rocha, L.; Pavia, I.; Arrobas, M.; Ribeiro, A.C.; et al. Grey and Black Anti-Hail Nets Ameliorated Apple (Malus × domestica Borkh. cv. Golden Delicious) Physiology under Mediterranean Climate. Plants 2021, 10, 2578. [Google Scholar] [CrossRef]
- Nicolás, E.; Barradas, V.; Ortuño, M.; Navarro, A.; Torrecillas, A.; Alarcón, J. Environmental and stomatal control of transpiration, canopy conductance and decoupling coefficient in young lemon trees under shading net. Environ. Exp. Bot. 2008, 63, 200–206. [Google Scholar] [CrossRef]
- Boini, A.; Bortolotti, G.; Perulli, G.D.; Venturi, M.; Bonora, A.; Manfrini, L.; Corelli-Grappadelli, L. Gala apple production benefits from high shading levels and water limitation, under exclusion netting. Sci. Hortic 2022, (in press).
- Romet, L.; Severac, G.; Warlop, F. Overview of ALT’CARPO Concept and Its Development in France, Proceedings of the 14th International Conference on Cultivation Technique and Phytopathological Problems in Organic Fruit-Growing, Hohenheim, Germany, 22–24 February 2010; Fördergemeinschaft, Ökologischer Obstbau, E.V.: Weinsberg, Germany, 2010; pp. 176–182. [Google Scholar]
- Sauphanor, B.; Severac, G.; Maugin, S.; Toubon, J.F.; Capowiez, Y. Exclusion netting may alter reproduction of the codling moth (Cydia pomonella) and prevent associated fruit damage to apple orchards. Agric. For. Entomol. 2012, 14, 399–407. [Google Scholar] [CrossRef]
- Chouinard, G.; Veilleux, J.; Pelletier, F.; Larose, M.; Philion, V.; Cormier, D. Impact of exclusion netting row covers on arthropod presence and crop damage to ‘Honeycrisp’ apple trees in North America: A five-year study. Crop Prot. 2017, 98, 248–254. [Google Scholar] [CrossRef]
- Candian, V.; Pansa, M.G.; Briano, R.; Peano, C.; Tedeschi, R.; Tavella, L. Exclusion nets: A promising tool to prevent Halyomorpha halys from damaging nectarines and apples in NW Italy. Bull. Insectol. 2018, 71, 21–30. [Google Scholar]
- Candian, V.; Pansa, M.G.; Santoro, K.; Spadaro, D.; Tavella, L.; Tedeschi, R. Photoselective exclusion netting in apple orchards: Effectiveness against pests and impact on beneficial arthropods, fungal diseases and fruit quality. Pest Manag. Sci. 2020, 76, 179–187. [Google Scholar] [CrossRef] [PubMed]
- Pajač Živković, I.; Kos, T.; Lemic, D.; Cvitkovic, J.; Jemric, T.; Fruk, M.; Barić, B. Exclusion nets influence on the abundance of ground beetles (Coleoptera: Carabidae) in apple orchards. Appl. Ecol. Environ. Res. 2018, 16, 3517–3528. [Google Scholar] [CrossRef]
- Pajač Živković, I.; Lemic, D.; Samu, F.; Kos, T.; Barić, B. Spider communities affected by exclusion nets. Appl. Ecol. Environ. Res. 2019, 17, 879–887. [Google Scholar] [CrossRef]
- Marshall, A.T.; Beers, E.H. Efficacy and nontarget effects of net exclusion enclosures on apple pest management. J. Econ. Entomol. 2021, 114, 1681–1689. [Google Scholar] [CrossRef] [PubMed]
- Marshall, A.T.; Beers, E.H. Exclusion netting affects apple arthropod communities. Biol. Control 2022, 165, 104805. [Google Scholar] [CrossRef]
- Dye, D.G. Spectral composition and quanta-to-energy ratio of diffuse photosynthetically active radiation under diverse cloud conditions. J. Geophys. Res. D Atmos. 2004, 109, 1–12. [Google Scholar] [CrossRef]
- Hargreaves, G.H.; Samani, Z.A. Reference Crop Evapotranspiration from Temperature. Appl. Eng. Agric. 1985, 1, 96–99. [Google Scholar] [CrossRef]
- Turner, N.C.; Long, M.J. Errors arising from rapid water loss in the measurement of leaf water potential by the pressure chamber technique. Aust. J. Plant Physiol. 1980, 7, 527–537. [Google Scholar] [CrossRef]
- Greenacre, M. Correspondence Analysis in Practice, 2nd ed.; Chapman and Hall/: London, UK, 2017; p. 113. [Google Scholar] [CrossRef]
- Cheng, L.; Fuchigami, L.H.; Breen, P.J. Light absorption and partitioning in relation to Nitrogen content in “Fuji” apple leaves. J. Am. Hort. Sci. 2000, 125, 581–587. [Google Scholar] [CrossRef]
- Cheng, L.; Fuchigami, L.H.; Breen, P.J. The relationship between photosystem II efficiency and quantum yield for CO2 assimilation is not affected by nitrogen content in apple leaves. J. Exp. Bot. 2001, 52, 1865–1872. [Google Scholar] [CrossRef]
- Boini, A.; Manfrini, L.; Bortolotti, G.; Corelli-Grappadelli, L.; Morandi, B. Monitoring fruit daily growth indicates the onset of mild drought stress in apple. Sci. Hortic. 2019, 256, 108520. [Google Scholar] [CrossRef]
- Boini, A.; Manfrini, L.; Morandi, B.; Corelli Grappadelli, L.; Predieri, S.; Daniele, G.M.; López, G. High Levels of Shading as A Sustainable Application for Mitigating Drought, in Modern Apple Production. Agronomy 2021, 11, 422. [Google Scholar] [CrossRef]
- Giuliani, R.; Magnanini, E.; Corelli Grappadelli, L. Whole canopy gas exchanges and light interception of three peach training systems. Acta Hortic. 1998, 465, 309–318. [Google Scholar] [CrossRef]
- Rosati, A.; DeJong, T.M. Estimating photosynthetic radiation use efficiency using incident light and photosynthesis of individual leaves. Ann. Bot. 2003, 91, 869–877. [Google Scholar] [CrossRef]
- Naor, A.; Girona, J. Apple. In Crop Yield Response to Water, FAO Irrigation and Drainage Paper 66; Steduto, P., Hsiao, T.C., Eds.; Food and Agriculture Organization of the United Nations: Rome, Italy, 2012; pp. 332–345. [Google Scholar]
- Serra, S.; Borghi, S.; Mupambi, G.; Camargo-Alvarez, H.; Layne, D.; Schmidt, T.; Kalcsits, L.; Musacchi, S. Photoselective Protective Netting Improves “Honeycrisp” Fruit Quality. Plants 2020, 9, 1708. [Google Scholar] [CrossRef]
- Leib, B.G.; Caspari, H.W.; Redulla, C.A.; Andrews, P.K.; Jabro, J.J. Partial root zone drying and deficit irrigation on ‘Fuji’ apples in semi-arid climate. Irrig. Sci. 2006, 24, 85–99. [Google Scholar] [CrossRef]
- Atay, E.; Hucbourg, B.; Drevet, A.; Lauri, P.E. Investigating effects of over-irrigation and deficit irrigation on yield and fruit quality in pink ladytm “rosy glow” apple. Acta Sci. Pol. Hortorum Cultus 2017, 16, 45–51. [Google Scholar] [CrossRef]
- Mpelasoka, B.S.; Behboudian, M.H.; Mills, T.M. Effects of deficit irrigation on fruit maturity and quality of ‘Braeburn’ apple. Sci. Hortic. 2001, 90, 279–290. [Google Scholar] [CrossRef]
- Venturi, M.; Manfrini, L.; Perulli, G.D.; Boini, A.; Bresilla, K.; Corelli Grappadelli, L.; Morandi, B. Deficit Irrigation as a Tool to Optimize Fruit Quality in Abbé Fetél Pear. Agronomy 2021, 11, 1141. [Google Scholar] [CrossRef]
- Lopez, G.; Behboudian, M.H.; Vallverdu, X.; Mata, M.; Girona, J.; Marsal, J. Mitigation of severe water stress by fruit thinning in ‘O’Henry’ peach: Implications for fruit quality. Sci. Hortic. 2010, 125, 294–300. [Google Scholar] [CrossRef]
- Naor, A.; Peres, M.; Greenblat, Y.; Gal, Y.; Ben Arie, R. Effects of pre-harvest irrigation regime and crop level on yield, fruit size distribution and fruit quality of field-grown ‘Black Amber’ Japanese plum. J. Hortic. Sci. Biotechnol. 2004, 79, 281–288. [Google Scholar] [CrossRef]
- Ramos, D.E.; Weinbaum, S.A.; Shackel, K.A.; Schwankle, L.J.; Mitcham, E.J.; Mitchell, F.G.; Snyder, R.G.; Mayer, G.; McGourt, G. Influence of Tree Water Status and Canopy Position on Fruit Size and Quality of Bartlett Pears, Proceedings of the VI International Symposium on Pear Growing, Medford, OR, USA, 12 July 1993; Sugar, D., Ed.; ISHS: Leuven, Belgium, 1994; pp. 192–200. [Google Scholar] [CrossRef]
- Shahak, Y. Photo-Selective Netting for Improved Performance of Horticultural Crops. A Review of Ornamental and Vegetable Studies Carried Out in Israel, Proceedings of the XXVII International Horticultural Congress-IHC2006: International Symposium on Cultivation and Utilization of Asian, Sub-Tropical, and Underutilized Horticultural Crops, Seoul, Korea, 13 August 2006; Oh, D.-G., Ed.; ISHS: Leuven, Belgium, 2008; pp. 161–168. [Google Scholar] [CrossRef]
- Kalcsits, L.; Musacchi, S.; Layne, D.R.; Schmidt, T.; Mupambi, G.; Serra, S.; Mendoza, M.; Asteggiano, L.; Jarolmasjed, S.; Sankaran, S.; et al. Above and below-ground environmental changes associated with the use of photoselective protective netting to reduce sunburn to apple. Agr. Forest Meteor. 2017, 237, 9–17. [Google Scholar] [CrossRef]
- Demmig-Adams, B.; Adams, W.W., III. Photoprotection and other responses of plants to high light stress. Annu. Rev. Plant Physiol. Plant Mol. Biol. 1992, 43, 599–626. [Google Scholar] [CrossRef]
- Ruban, A.V. Nonphotochemical chlorophyll fluorescence quenching: Mechanism and effectiveness in protecting plants from photodamage. Plant Physiol. 2016, 170, 1903–1916. [Google Scholar] [CrossRef]
- Foyer, C.H.; Harbison, J. Oxygen metabolism and the regulation of photosynthetic electron transport. In Causes of Photooxidative Stress and Amelioration of Defense Systems in Plants, 1st ed.; Foyer, C., Mullineux, C.W., Eds.; CRC Press: Boca Raton, FL, USA, 1994; pp. 1–42. [Google Scholar]
- Murata, N.; Nishiyama, Y. ATP is a driving force in the repair of photosystem II during photoinhibition. Plant Cell Environ. 2018, 41, 285–299. [Google Scholar] [CrossRef]
- Raven, J.A. The cost of photoinhibition. Physiol. Plant. 2011, 142, 87–104. [Google Scholar] [CrossRef]







| Total Accumulated Irrigation (mm) | |||||
|---|---|---|---|---|---|
| Net Treatments | Irrigation Treatments | 2020 | 2021 | ||
| Anti-hail net | A100 | 358 | 100% | 389 | 100% |
| A70 | 282 | 78.7% | 272 | 70.0% | |
| Exclusion net | E70 | 282 | 78.7% | 272 | 70.0% |
| E50 | 185 | 51.7% | 195 | 50.2% | |
| Crop Load (Fruit Tree−1) | ||||
|---|---|---|---|---|
| Irrigation Treatments | 2020 | ±SE | 2021 | ±SE |
| A100 | 37 | 9 a | 95 | 7 a |
| A70 | 54 | 9 a | 89 | 7 a |
| E70 | 59 | 8 a | 134 | 10 b |
| E50 | 40 | 10 a | 135 | 8 b |
| Total Yield (kg Tree−1) | Marketable Yield (kg Tree−1) | Average Marketable Fruit Weight (g Fruit−1) | ||||||||||||||||
|---|---|---|---|---|---|---|---|---|---|---|---|---|---|---|---|---|---|---|
| Treatments | 2020 | ±SE | 2021 | ±SE | * | 2020 | ±SE | 2021 | ±SE | * | 2020 | ±SE | 2021 | ±SE | * | |||
| A100 | 6.75 | 1.62 | a | 18.63 | 0.51 | b | 6.72 | 1.62 | a | 16.62 | 0.74 | a | 185 | 1.93 | b | 168 | 1.73 | b |
| A70 | 9.89 | 1.52 | a | 18.81 | 0.54 | b | 9.70 | 1.51 | a | 16.87 | 0.78 | a | 185 | 1.72 | b | 164 | 2.15 | b |
| E70 | 7.28 | 1.58 | a | 20.90 | 0.52 | a | 7.13 | 1.59 | a | 17.13 | 0.75 | a | 194 | 2.27 | a | 176 | 1.22 | a |
| E50 | 7.28 | 1.57 | a | 19.65 | 0.52 | ab | 7.09 | 1.50 | a | 17.51 | 0.76 | a | 191 | 2.29 | ab | 166 | 1.28 | b |
| Treatment | 0.5045 | 0.02 | 0.5209 | 0.058 | 0.0045 | <0.0001 | ||||||||||||
| Crop load | - | <0.0001 | - | <0.0001 | - | <0.0001 | ||||||||||||
| L. contrasts | Pr > F | Pr > F | Pr > F | Pr > F | Pr > F | Pr > F | ||||||||||||
| A100 A70 | 0.17 | - | 0.19 | - | 0.047 | - | ||||||||||||
| E70 E50 | 1.00 | - | 0.97 | - | 0.003 | - | ||||||||||||
| A70 E70 | 0.26 | - | 0.25 | - | 0.049 | - | ||||||||||||
| A100 E70 | 0.82 | - | 0.87 | - | 0.85 | - | ||||||||||||
| Peel Color (°Hue) | Visual Color (%) | |||||||||||
| Treatments | 2020 | ±SE | 2021 | ±SE | 2020 | ±SE | 2021 | ±SE | ||||
| A100 | 57.7 | 1.8 | a | 50.9 | 1.5 | ab | 60 | 2 | a | 74 | 2 | b |
| A70 | 57.6 | 2.3 | a | 54.3 | 1.6 | a | 61 | 3 | a | 73 | 1 | b |
| E70 | 52.1 | 1.6 | a | 45.8 | 1.9 | b | 62 | 2 | a | 79 | 1 | a |
| E50 | 51.1 | 1.6 | a | 46.5 | 1.8 | b | 65 | 1 | a | 74 | 2 | b |
| Treatment | 0.016 | 0.0009 | 0.23 | 0.01 | ||||||||
| L. contrasts | Pr > F | Pr > F | Pr > F | Pr > F | ||||||||
| A100 A70 | 0.95 | 0.07 | 0.87 | 0.97 | ||||||||
| E70 E50 | 0.71 | 0.0004 | 0.19 | 0.0034 | ||||||||
| A70 E70 | 0.016 | 0.0012 | 0.09 | 0.61 | ||||||||
| A100 E70 | 0.014 | 0.14 | 0.06 | 0.63 | ||||||||
| Soluble solid content (°Brix) | Firmness (kg cm−2) | |||||||||||
| Treatments | 2020 | ±SE | 2021 | ±SE | 2020 | ±SE | 2021 | ±SE | ||||
| A100 | 14.14 | 0.09 | c | 13.62 | 0.07 | a | 8.76 | 0.09 | b | 8.19 | 0.07 | A |
| A70 | 14.31 | 0.12 | bc | 13.74 | 0.08 | a | 8.79 | 0.07 | b | 8.31 | 0.09 | a |
| E70 | 14.57 | 0.12 | b | 13.66 | 0.08 | a | 9.09 | 0.13 | ab | 8.51 | 0.09 | a |
| E50 | 15.08 | 0.10 | a | 14.64 | 0.10 | a | 9.26 | 0.12 | a | 9.50 | 0.07 | a |
| Treatment | <0.0001 | 0.5 | 0.0016 | 0.15 | ||||||||
| L. contrasts | Pr > F | Pr > F | Pr > F | Pr > F | ||||||||
| A100 A70 | 0.25 | 0.54 | 0.88 | 0.03 | ||||||||
| E70 E50 | 0.001 | 0.54 | 0.26 | 0.74 | ||||||||
| A70 E70 | <0.0001 | 0.13 | 0.0017 | 0.06 | ||||||||
| A100 E70 | <0.0001 | 0.37 | 0.0011 | 0.85 | ||||||||
Publisher’s Note: MDPI stays neutral with regard to jurisdictional claims in published maps and institutional affiliations. |
© 2022 by the authors. Licensee MDPI, Basel, Switzerland. This article is an open access article distributed under the terms and conditions of the Creative Commons Attribution (CC BY) license (https://creativecommons.org/licenses/by/4.0/).
Share and Cite
Boini, A.; Bortolotti, G.; Perulli, G.D.; Venturi, M.; Bonora, A.; Manfrini, L.; Corelli-Grappadelli, L. Late Ripening Apple Production Benefits from High Shading and Water Limitation under Exclusion Netting. Horticulturae 2022, 8, 884. https://doi.org/10.3390/horticulturae8100884
Boini A, Bortolotti G, Perulli GD, Venturi M, Bonora A, Manfrini L, Corelli-Grappadelli L. Late Ripening Apple Production Benefits from High Shading and Water Limitation under Exclusion Netting. Horticulturae. 2022; 8(10):884. https://doi.org/10.3390/horticulturae8100884
Chicago/Turabian StyleBoini, Alexandra, Gianmarco Bortolotti, Giulio Demetrio Perulli, Melissa Venturi, Alessandro Bonora, Luigi Manfrini, and Luca Corelli-Grappadelli. 2022. "Late Ripening Apple Production Benefits from High Shading and Water Limitation under Exclusion Netting" Horticulturae 8, no. 10: 884. https://doi.org/10.3390/horticulturae8100884
APA StyleBoini, A., Bortolotti, G., Perulli, G. D., Venturi, M., Bonora, A., Manfrini, L., & Corelli-Grappadelli, L. (2022). Late Ripening Apple Production Benefits from High Shading and Water Limitation under Exclusion Netting. Horticulturae, 8(10), 884. https://doi.org/10.3390/horticulturae8100884

