The Photosynthetic Characteristics of Different Purple Peppers
Abstract
:1. Introduction
2. Materials and Methods
2.1. Materials
2.2. Pigment Analysis
2.3. Total Anthocyanin Analysis
2.4. Gas Exchange Analysis
2.5. High Temperature Treatment
2.6. Proline Determination
2.7. Soluble Sugars
2.8. Antioxidant Enzyme Activity
2.9. Statistical Analysis
3. Results
3.1. Comparison of Leaf Pigment Content
3.2. Comparison of Photosynthesis Characteristics
3.3. Comparison of Light Response Curves
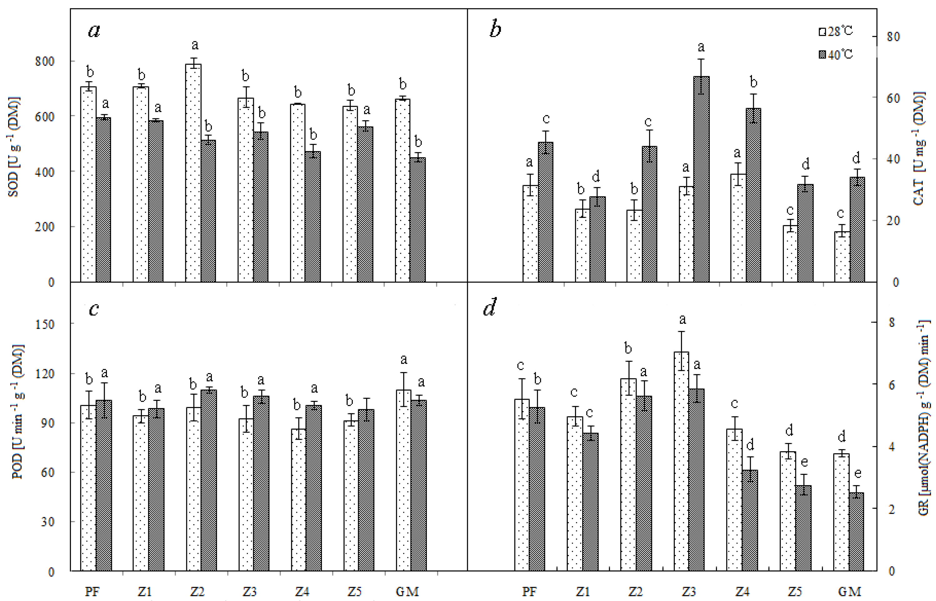
3.4. Enzyme Activity
3.5. Content Comparison
3.6. Comparison of Oxidation Product
4. Discussion
Author Contributions
Funding
Institutional Review Board Statement
Informed Consent Statement
Conflicts of Interest
Abbreviations
References
- Teng, Y.D.; Xu, X.S.; Chen, X.Q. Pepper germplasm resources of Southwest Sichuan. China Veg. 1997, 17, 29–32. [Google Scholar]
- Sui, Y.H.; Zhang, Z.X.; Xing, S.Z.; Ling, T.Z.; Jin, G.F. Research on some physiologic indexes and germination of purple chili line YN99007 under NaCl stress. J. Anhui Tech. Teach. Coll. 2004, 21, 27–29. [Google Scholar]
- Sui, Y.H.; Zhang, Z.X.; Xing, S.Z.; Lu, X.M.; Guo, Z.M. Effect of temperature on some physiologic indexes and germination of purple chili line YN99007. Seed 2005, 24, 19–20. [Google Scholar]
- Sui, Y.H.; Qian, C.T.; Chen, J.F.; Shi, J.L.; Hu, N.B.; Cao, Y.J. Fruit setting rate and major photosynthetic characteristics of purple chili peppers during summer conditions. Acta Hortic. Sin. 2011, 38, 77–86. [Google Scholar]
- Zhang, Q.A.; Fang, L.; Dong, Y.X.; Jiang, H.K.; Yan, C.S.; Wang, Y.Q.; Fang, Q.L. ZiYan 1 hao, a new purple peper variety. J. Chang. Veg. 2005, 22, 6. [Google Scholar]
- Jiang, H.K.; Wang, P.C.; Wang, Y.; Jia, L.; Tian, H.M.; Yan, C.S.; Fang, L.; Zhang, Q.A. Breeding of purple pepper variety “Zijin 1 hao” of facility cultivation. Auhui Agric. Sci. Bull. 2017, 23, 50–51. [Google Scholar]
- Li, Z.; Liu, J.B.; Diao, W.P.; Wang, S.B.; Pan, B.G.; Ge, W.; Guo, G.J. Research and analysis of the expression of anthocyanin biosynthesis related gene in pepper. Acta Agric. Boreali-Sin. 2014, 29, 87–92. [Google Scholar]
- Arnon, D.I. Copper enzymes inisolated chloroplasts phenoloxidases in Beta vulgaris. Plant Physiol. 1949, 24, 1–15. [Google Scholar] [CrossRef] [Green Version]
- Lin, Z.F.; Li, S.S.; Chang, D.L.; Lin, G.Z.; Li, Y.B.; Liu, S.X.; Chen, M.D. The changes of pigments, phenolics contents and activities of polyphenol oxidase and phenylalanine ammonialyse in pericarp of postharvest litchi fruit. J. Integr. Plant Biol. 1988, 30, 40–45. [Google Scholar]
- Pirie, A.; Mullins, M.G. Changes in anthocyanin and phenolics content of grapevine leaf and fruit tissues treated with sucrose, nitrate, and abscisic acid. Plant Physiol. 1976, 58, 468–472. [Google Scholar] [CrossRef] [PubMed] [Green Version]
- Xue, Z.J.; Gao, Z.K.; Wang, M.; Zhong, C.F.; Gao, R.F. Protective action on photosynthetic apparatus by purple anthocyanin in the epidermal cells of eggplant (Solanum melongena L.) leaves. Acta Ecol. Sin. 2009, 29, 1374–1381. [Google Scholar]
- Peng, C.L.; Lin, Z.F.; Lin, G.Z.; Chen, S.W. The anti-photooxidation of anthocyanins-rich leaves of a purple rice cultivar. Sci. China Ser. C Life Sci. 2006, 36, 209–216. [Google Scholar] [CrossRef]
- Jaing, W.B.; Zhuang, M.; Shen, Z.J.; Song, H.F.; Cao, J.; Li, G. Study on the photosynthetic characteristics of red-leaf peach and purple-leaf plum in different seasons. Acta Hortic. Sin. 2006, 33, 577–582. [Google Scholar]
- Liu, H.; Li, B.Y.; Ma, J.; Zhou, X.M. Study on photosynthetic characteristics and influencing factors of purple peach and green leaf peach. J. Anhui Agric. Sci. 2004, 32, 318–320. [Google Scholar]
- Zhang, M.; Jiang, W.B.; Song, H.F.; Ma, R.J. Comparison of photosynthetic characteristics between purple-leaf plum and red beauty plum (green leaf). Jiangsu J. Agric. Sci. 2006, 22, 154–158. [Google Scholar]
- Tang, R.; Huang, Z.S.; Wang, H.; Dai, W.D.; Wang, S.M.; Li, D.Z. Pigment changes and photosynthetic physiological characteristics in rapeseed with purple-red leaf. Southwest China J. Agric. Sci. 2016, 29, 1270–1275. [Google Scholar]
- Wang, M.L.; Ai, X.Z.; Ding, F.; Wang, H.T.; Liang, W.J. Comparation of the photosynthetic characteristics of purple cabbage and cabbage. Acta Hortic. Sin. 2008, 35, 547–553. [Google Scholar]
- Sui, L.; Wang, K.C.; Liang, Y.F.; Xue, Q. The relationships between leaf anatomical structure, anthocyanins and photosynthetic characteristics in Perilla frutescens. Chin. J. Ecol. 2017, 36, 1590–1596. [Google Scholar]
- Weisburg, L.A.; Wimmers, L.E.; Turgeon, R. Photoassimilate transport characteristics of nonchlorophyllous and green tissue invariegated leaves of Coleus blumei Benth. Planta 1988, 175, 1–8. [Google Scholar] [CrossRef] [PubMed]
- Burger, J.; Edwards, G.E. Photosynthetic efficiency and photodamage by UV and visible radiation in red versus green leaf coleus varieties. Plant Cell Physiol. 1996, 37, 395–399. [Google Scholar] [CrossRef]
- Tang, Q.R. Study on the chloroplast ultrastructure of loropetalum chinensis var.rubrumyien and L.Chinensis. J. Hunan Agric. Univ. 2003, 29, 41–42. [Google Scholar]
- Dodd, I.C.; Critchley, C.; Woodall, G.S.; Stewart, G.R. Photoinhibition in differently colored juvenile leaves of Syzygium species. J. Exp. Bot. 1998, 49, 1437–1445. [Google Scholar] [CrossRef]
- Chen, L.; Pan, Q.H.; Jin, H. Research on influence of relative humidity and air temparature on photosynthetic characteristics of cotinus coggygria ‘purpureus’. Chin. Agric. Sci. Bull. 2008, 24, 124–128. [Google Scholar]



| Chl a | Chl b | Carotenoid | Anthocyanin | |
|---|---|---|---|---|
| mg g−1 DW | U∙g−1 | |||
| PF(SJ11-3) | 9.73 ± 0.58 | 4.73 ± 6.32 b | 1.61 ± 6.22 a | 53.09 ± 3.65 a |
| Z1 | 9.63 ± 0.26 | 4.81 ± 8.61 b | 1.60 ± 5.64 a | 54.08 ± 5.24 a |
| Z2 | 9.77 ± 0.65 | 5.48 ± 6.76 a | 1.68 ± 3.35 a | 47.12 ± 3.69 b |
| Z3 | 9.81 ± 0.62 | 5.51 ± 10.25 a | 1.69 ± 8.62 a | 40.25 ± 2.26 c |
| Z4 | 9.59 ± 0.64 | 4.03 ± 3.65 c | 1.53 ± 5.62 b | 34.18 ± 3.04 d |
| Z5 | 9.42 ± 0.88 | 3.59 ± 6.75 d | 1.45 ± 8.95 b | 24.29 ± 1.98 e |
| GM(CS3) | 9.53 ± 0.56 | 3.54 ± 8.80 d | 1.54 ± 6.21 b | 23.57 ± 3.68 e |
| PN/µmol CO2 m−2∙s−1 | E/mmol∙m−2∙s−1 | gs/mol (H2O)∙m−2∙s−1 | |||||||
|---|---|---|---|---|---|---|---|---|---|
| 28 °C | 40 °C | -% | 28 °C | 40 °C | -% | 28 °C | 40 °C | -% | |
| PF | 14.34 ± 1.25 b | 6.75 ± 0.12 | 52.9 c | 3.79 ± 0.58 c | 0.85 ± 0.05 | 77.6 c | 0.49 ± 0.05 c | 0.24 ± 0.02 | 51.0 c |
| Z1 | 14.25 ± 1.31 b | 6.47 ± 0.54 | 54.6 c | 4.59 ± 0.89 a | 0.82 ± 0.06 | 82.1 b | 0.48 ± 0.03 c | 0.25 ± 0.03 | 47.9 d |
| Z2 | 17.64 ± 1.28 a | 8.07 ± 0.82 | 54.3 c | 3.95 ± 0.57 b | 0.75 ± 0.08 | 81.0 c | 0.60 ± 0.07 a | 0.29 ± 0.04 | 51.7 c |
| Z3 | 17.88 ± 1.64 a | 8.69 ± 0.68 | 51.4 c | 4.15 ± 1.04 b | 0.89 ± 0.11 | 78.6 c | 0.61 ± 0.05 a | 0.32 ± 0.02 | 47.5 d |
| Z4 | 16.15 ± 1.08 a | 6.04 ± 0.69 | 62.6 b | 3.63 ± 0.87 d | 0.63 ± 0.08 | 82.6 b | 0.54 ± 0.04 b | 0.21 ± 0.03 | 61.1 b |
| Z5 | 17.61 ± 1.20 a | 5.35 ± 0.64 | 69.6 a | 3.64 ± 0.74 d | 0.51 ± 0.07 | 86.0 a | 0.53 ± 0.05 b | 0.19 ± 0.02 | 64.2 a |
| GM | 16.21 ± 1.07 a | 4.23 ± 0.45 | 73.9a | 3.61 ± 0.65 d | 0.52 ± 0.06 | 85.6 a | 0.57 ± 0.03 b | 0.19 ± 0.03 | 66.7 a |
Publisher’s Note: MDPI stays neutral with regard to jurisdictional claims in published maps and institutional affiliations. |
© 2021 by the authors. Licensee MDPI, Basel, Switzerland. This article is an open access article distributed under the terms and conditions of the Creative Commons Attribution (CC BY) license (https://creativecommons.org/licenses/by/4.0/).
Share and Cite
Huang, Y.; Wang, X.; Miao, W.; Suo, H.; Fu, C.; Chen, M.; Zhao, X.; Ou, L. The Photosynthetic Characteristics of Different Purple Peppers. Horticulturae 2021, 7, 304. https://doi.org/10.3390/horticulturae7090304
Huang Y, Wang X, Miao W, Suo H, Fu C, Chen M, Zhao X, Ou L. The Photosynthetic Characteristics of Different Purple Peppers. Horticulturae. 2021; 7(9):304. https://doi.org/10.3390/horticulturae7090304
Chicago/Turabian StyleHuang, Yu, Xiaohui Wang, Wu Miao, Huan Suo, Canfang Fu, Meng Chen, Xuanhua Zhao, and Lijun Ou. 2021. "The Photosynthetic Characteristics of Different Purple Peppers" Horticulturae 7, no. 9: 304. https://doi.org/10.3390/horticulturae7090304
APA StyleHuang, Y., Wang, X., Miao, W., Suo, H., Fu, C., Chen, M., Zhao, X., & Ou, L. (2021). The Photosynthetic Characteristics of Different Purple Peppers. Horticulturae, 7(9), 304. https://doi.org/10.3390/horticulturae7090304

