Next Article in Journal
Effect of Phytosanitary Irradiation Treatment on the Storage Life of ‘Jiro’ Persimmons at 15 °C
Previous Article in Journal
The Relationship between Fruit Size and Phenolic and Enzymatic Composition of Avocado Byproducts (Persea americana Mill.): The Importance for Biorefinery Applications
Previous Article in Special Issue
Grapefruit Production in Open Hydroponics System
 
 
Font Type:
Arial Georgia Verdana
Font Size:
Aa Aa Aa
Line Spacing:
Column Width:
Background:
Article

Salinity-Induced Physiological Responses of Three Putative Salt Tolerant Citrus Rootstocks

by
Lamiaa M. Mahmoud
1,2,
Manjul Dutt
1,*,
Christopher I. Vincent
1 and
Jude W. Grosser
1
1
Citrus Research and Education Center, University of Florida, Lake Alfred, FL 33850, USA
2
Pomology Department, Faculty of Agriculture, Mansoura University, Mansoura 35516, Egypt
*
Author to whom correspondence should be addressed.
Horticulturae 2020, 6(4), 90; https://doi.org/10.3390/horticulturae6040090
Submission received: 26 October 2020 / Revised: 20 November 2020 / Accepted: 21 November 2020 / Published: 25 November 2020
(This article belongs to the Special Issue Advances in Citrus Horticulture)

Abstract

Our study aimed to evaluate the physiological responses following salinity treatment of three putatively salt-tolerant Citrus rootstocks recently developed by the University of Florida’s Citrus breeding program. Four-month-old seedlings from each of the three rootstocks (HS1, HS17, and HC15) were irrigated with 0, 60, 80, and 100 mm NaCl solution. The seedlings were evaluated together with the salt-tolerant Cleopatra mandarin as a positive control, Volkamer lemon as a moderately salt-tolerant rootstock, and the salt-sensitive Carrizo rootstock as a negative control. Our results demonstrated that chlorophyll content, net CO2 assimilation rate (A), transpiration rate (E), and stomatal conductance (gsw) significantly decreased in response to salinity. Na+ and Cl levels were higher in leaf tissues than in the roots. Relatively little damage to the cellular membrane was recorded in HC15 and Cleopatra rootstocks under the 100 mm NaCl treatment, along with high accumulation of total phenolic content (TPC), while HS17 had the highest proline levels. Our results indicate that HC15 and HS17 rootstocks exhibited salt tolerance capacity via different strategies under salt stress and could be suitable replacements to the commercially available, salt-tolerant Cleopatra rootstock.

1. Introduction

Citrus is a major horticultural crop worldwide and is severely affected by several biotic and abiotic stressors. Climate change and rising sea levels threaten the agricultural sustainability of coastal regions. In Florida, the citrus industry is suffering from the effects of Citrus greening disease, and in the coming years, some areas will be threatened by the problem of salt ion accumulation in the soil due to saltwater intrusion. Similar problems are expected to worsen in the Mediterranean region as a result of coastal aquifer extraction [1]. Citrus trees are classified as a salt-sensitive crop, with a critical level of electrical conductivity of 3 dS m−1 [2,3,4,5]. There are many different sources of salts that can affect the different saline soil areas around the world, such as sodium, chlorides, calcium, potassium and carbonates, and sulfates of magnesium [6]. Sodium, chloride, and carbonates are the predominant ions in most of the saline areas [7]. Different agricultural practices and techniques are used to reduce production loss due to salinity stress. These strategies include using optimal irrigation and nutrition systems, using conventional breeding to generate new tolerant genotypes, and conducting genetic transformation to develop new genotypes that possess salt tolerance-specific traits [8,9]. Grafting onto the proper rootstock is an important factor in citrus production systems.
Higher plants evolved several mechanisms to adapt to salinity stress. There are two different processes that could occur in plant tissues to tolerate the excess amount of salt, namely, salt exclusion and salt inclusion [10,11]. Salt-excluder plants possess mechanisms that ensure that salt reaches the shoot only in very small amounts. This may consist in high selectivity toward Na+ uptake during absorption, such as in grasses. Because of the lower cell vacuolar volume of grasses and leaf water content, grasses do not need as much Na+ uptake per unit of growth, so they maintain lower Na:K ratios on exposure to salt [12]. Another explanation is that Na+ and Cl are absorbed in significant amounts but are reabsorbed from the xylem sap in either the proximal part of the roots [13] or in the shoots [14], where these ions are then either stored or retranslocated to the soil [15]. In contrast, salt-includer plants absorb and accumulate salt in high amounts in the stems and leaves in vacuoles or specialized glands [16,17]. Furthermore, many physiological and biochemical changes occur inside the cell to enhance plant tolerance to salt stress. Accumulation of salt in the soil results in changes in water status, dry matter allocation, ion relations, and physiological and biochemical reactions [18]. Under salt stress, the rate of photosynthetic CO2 fixation of salt-sensitive plants typically declines. This decline is followed by stomatal closure and extended photosynthesis impairment. In citrus trees, the negative effect of salt stress is correlated with leaf chloride sensitivity, and the rootstock’s tolerance to salt is related to the ability of the rootstock to exclude chloride and protect the scion leaves [19].
Conventional breeding between salt-tolerant cultivars results in the development of new salinity-tolerant rootstocks that can be grown in different soil types and under different geographic conditions. The relative susceptibility of citrus species to salinity was taken into consideration in various studies. Cleopatra mandarin (Citrus reshni Hort. ex Tan.) is a major rootstock of commercial importance in Florida due to its tolerance to tristeza, exocortis, xyloporosis, salinity, cold, and calcareous soils, and low incidence of citrus blight [20,21,22]. The limitation in using Cleopatra as a rootstock is its susceptibility to nematodes and Phytophthora and the low productivity of young trees of this rootstock [20]. Recently, Alam et al. [23] reported that Cleopatra mandarin and pummelo rootstocks were more tolerant to saline conditions than calamansi rootstock. Cleopatra was also reported as a salt-tolerant rootstock by Awang et al. [24]. Etehadpour et al. [25] evaluated several citrus rootstocks and identified some that performed better than Cleopatra mandarin. Khalid et al. [26] compared the performance of diploid and tetraploid Volkamer Lemon, revealing that tetraploid Volkamer Lemon rootstocks were more salt-tolerant than diploid rootstocks of similar genetics under high salt levels. Shekwasha (Citrus depressa Hayata) mandarin is mainly cultivated in east Asian countries, such as Japan and China [27]. This mandarin is very adaptable to sandy-loam and porous-limestone soils of southeastern Florida, and thus was suggested as a rootstock candidate. The Hirado Buntan Pink (HBP) pummelo (Citrus maxima Herr.) was also shown to be more cold-tolerant than other pummelo varieties [28]. Crosses were made in our citrus breeding program between the salt-tolerant Cleopatra mandarin or the Shekwasha mandarin with the Hirado Buntan Pink pummelo (HBP), aiming to develop rootstocks that could be better adaptable to the varied agroecological conditions and possess good abiotic stress tolerance.
The aim of the present study was to evaluate the performance of three putative new rootstocks (HS1, HS17, and HC15) under saline stress conditions. To achieve this, chlorophyll content, gas exchange, chlorophyll fluorescence change, lipid peroxidation, total phenolic compound, proline content, and sodium and chloride contents in the leaves and roots were measured following NaCl treatment. The general performance of the newly developed rootstocks was compared to that of the salt-tolerant Cleopatra mandarin, the moderately salt-tolerant Volkamer lemon (Citrus volkameriana Tan. and Pasq.), and the salt-sensitive Carrizo (Citrus sinensis [L.] Osb. × Poncirus trifoliata [L.] Raf.) rootstocks.

2. Materials and Methods

2.1. Plant Growth and Salt Treatment

Seeds were extracted from mature fruits of the six Citrus rootstocks, namely, HS1, HS17, HC15, Cleopatra mandarin, Volkamer lemon, and Carrizo. The rootstocks HS1 and HS17 were developed from a cross between two promising trees derived from the HBP pummelo crossed with the Shekwasha mandarin ([HBP × Shek] × [HBP × Shek]). HC15 was derived from a cross of HBP with Cleopatra mandarin as the male parent. The fruits of HS1, HS17, HC15, Cleopatra mandarin, and Volkamer lemon contained between 8 and 15 seeds, while Carrizo contained 15–25 seeds on average. Seeds were germinated in plastic trays filled with a mixture of peat moss and perlite (3:1 ratio) in a controlled greenhouse at 30 ± 3 °C, a relative humidity of 85%, and a 16 h photoperiod. Four months after sowing, treatments of 0, 60, 80, and 100 mm NaCl dissolved in deionized water were applied to the experimental plants at three-day intervals. The salt levels were gradually increased to avoid osmotic shock. Each tray was irrigated with 1 L of NaCl solution, and the trays were physically separated to avoid mixing the treatments. Data were recorded three months after the last irrigation, as outlined previously by Etehadpour et al. [25]. Visual quality of each rootstock was recorded according to Sun et al. [29] at the end of the experiment using a five-point scale (visual score), where 0 = dead, 1 = severe foliar salt damage (more than 90% leaves with burn and necrosis), 2 = moderate foliar salt damage (90% to 50%), 3 = slight foliar salt damage (less than 50%), 4 = good quality with minimal foliar salt damage, and 5 = excellent without foliar salt damage.

2.2. Chlorophyll and Gas Exchange Measurements

The photosynthetic pigments chlorophyll a, chlorophyll b, and total chlorophyll were measured using a Biochrom Libra UV-visible spectrophotometer according to Lichtenthaler and Wellburn [30]. An infrared gas analyzer (LI-6400; LI-COR, Inc.; Lincoln, NE) was used to measure net CO2 assimilation rate (A), transpiration rate (E), and stomatal conductance (gsw). Chlorophyll fluorescence was determined with intact plants in the greenhouse using a portable chlorophyll fluorometer (OS-30p+, Opti-Sciences, Inc., Hudson, NH) on a mature leaf after dark acclimation for 60 min using the JIP protocol to assess the transient rise in chlorophyll a fluorescence. Four fully expanded mature leaves were used per plant for measurements.

2.3. Malondialdehyde Determination

The amount of malondialdehyde (MDA) was estimated according to the method of Heath and Packer [31]. Fresh leaves were collected and extracted in 0.5 mL of 0.1% (w/v) trichloroacetic acid (TCA). The supernatant was collected by centrifugation at 14,000 rpm at 4 °C for 10 min. 2-thiobarbituric acid (TBA) at 20% diluted in TCA was added to 0.5 mL of the supernatant and incubated at 95 °C for 25 min. The tubes were incubated in ice for 10 min to stop the reaction, then evaluated for light absorption at 532 and 600 nm using a UV/Vis spectrophotometer. The amount of MDA was calculated using an extinction coefficient of 155 mm−1 cm−l.

2.4. Total Phenolic Content (TPC) Determination

The total phenolic content was estimated in the leaf samples using Folin–Ciocalteu reagent according to Singleton and Rossi [32]. TPC was extracted in 1 mL of methanol, and the methanolic extract was centrifuged at 12,000 rpm for 10 min at 20 °C. The reaction was followed by the addition of sodium carbonate (Na2CO3) at 7.5% (w/v). The reaction was incubated for 1 h at room temperature. Gallic acid was used as a standard solution in aqueous form in the concentration range of 100 to 600 ppm. The absorbance was measured at 760 nm. The results were expressed as mg gallic acid (GAE) g−1 fresh weight (FW).

2.5. Proline Content Determination

Proline was extracted according to the method of Bates et al. [33]. Leaves (500 mg fresh weight) were homogenized in 5 mL of aqueous sulfosalicylic acid (3% w/v) and centrifuged at 10,000 rpm for 10 min. A mixture of 2 mL of the supernatant, 2 mL of glacial acetic acid, and ninhydrin reagent (1.25 mg of ninhydrin, 30 mL of glacial acetic acid, and 20 mL of 6 M H3PO4) was incubated for 1 h at 100 °C in a water bath. The reaction was stopped by placing the test tubes in ice. The reaction mixture was vigorously mixed with 4 mL of toluene in glass tubes. After warming at 25 °C, the chromophore was measured for proline content determination at 515 nm using a UV/Vis spectrophotometer. The proline content was determined against a standard curve of L-proline.

2.6. Sodium and Chloride Determination

Leaves from each replicate were collected for ion analysis. The tissue samples were analyzed using the dry-ashing method [34] followed by inductively coupled plasma atomic emission spectroscopy (ICP-AES) according to Munter et al. [35]. Concentrations of sodium and chloride were expressed as percentages of the dry tissue biomass.

2.7. Experimental Design and Data Analysis

Data were designed as a randomized complete block in two-way ANOVA with two factors, rootstocks and NaCl treatments. There were four replicates per treatment, and each replicate exhibited a mean of 25 seedlings. Data were analyzed by fit model analysis and graphical representation of data was constructed by R version 3.6.2. Means separation of the visual score of salt damage was analyzed by Tukey’s honestly significant difference test (p ≤ 0.05). The differential effect of salt treatments on the rootstocks was studied using Dunnett’s test and salt-treated Cleopatra rootstock was used as a control. Dunnett’s test and the Pearson correlation were run in JMP Pro software version 15 (SAS Institute, Cary, NC, USA).

3. Results and Discussion

3.1. Morphological Changes in Citrus Rootstocks in Response to Salinity Stress

Our results demonstrated differences in growth between the genotypes under salinity stress conditions, as shown in Figure 1. There were no significant differences in the foliar salt damage in any of the rootstocks, except Carrizo when irrigated with 60 mm NaCl. Seedlings showed minor leaf damage when irrigated with 80 mm NaCl. When the rootstocks were irrigated with 100 mm NaCl, HS1 and Volkamer lemon showed moderate foliar salt damage, with visual scores of 3.50 and 3.00, respectively. HC15 showed similar foliar salt damage as Cleo, with visual scores of 4.75 with 100 mm (Table 1). This may have been because the Cleopatra mandarin was one of the HC15 parents. We observed severe foliar drop and damage in Carrizo seedlings compared to the other rootstocks, identifying apparent damage with 60 and 80 mm NaCl treatments, with visual scores of 1.75, 0.75 respectively, whereas there was no single Carrizo seedling that survived under 100 mm NaCl stress. Our citrus breeding program aims to produce new germplasm via conventional breeding to enhance tolerance toward environmental stressors. Under salt stress, HC15 performed well based on our physiological measurements. There are some limitations in using Cleopatra mandarin as a rootstock because of its susceptibility to nematodes and Phytophthora and the low productivity of young trees budded onto this rootstock. Based on our greenhouse results, we anticipate the HC15 progeny would perform well under stressful field conditions. Both the HS1 and HS17 hybrids, produced from a cross between Shekwasha mandarin and HBP pummelo, were also quite salt-tolerant. We report herein that HS1 can tolerate NaCl stress up to 80 mm, whereas HC15 and HS17 can tolerate up to 100 mm NaCl.

3.2. Effect of Salinity Stress in Physiological Changes in Citrus Rootstocks

Analysis of variance (ANOVA) indicated a significant (p < 0.05) interaction of the rootstock-by-NaCl treatment effect for total chlorophyll content (T Chl), while a significant (p < 0.001) interaction was calculated with most of the other traits. No significant differences were recorded in terms of Fv/Fo, Fv/Fm and transpiration rate (E) for the interaction effect of rootstocks and NaCl treatments, whereas a significant difference (p ≤ 0.01) was recorded for the rootstock effect and for the NaCl treatment effect (p ≤ 0.001; Table 2).

3.2.1. Photosynthesis and Chlorophyll Content

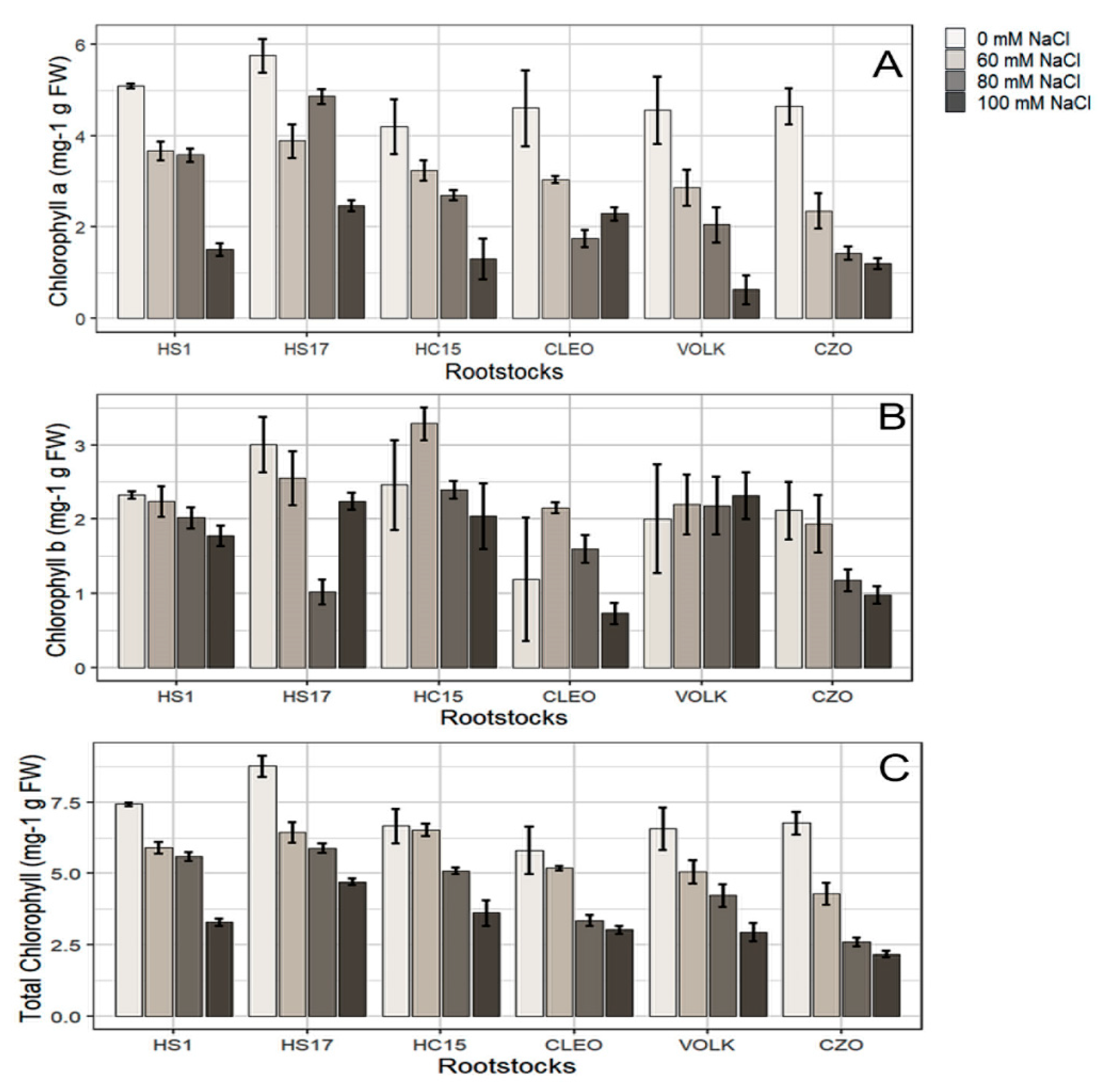
We observed a reduction in chlorophyll pigment in response to salt stress (Figure 2). The tested rootstocks showed differences when compared with Cleopatra mandarin by Dunnett’s test (Table 3). There was a significant increase in the level of chlorophyll a in HS1 and HS17 rootstocks compared to Cleopatra mandarin. Carrizo showed a significant decrease in chlorophyll a (p-value = 0.042), whereas there were no significant differences in HC15 and Volkamer Lemon. There were significant differences observed in chlorophyll b and total chlorophyll content in HS1, HS17, and HC15 compared to Cleopatra mandarin. Volkamer Lemon and Carrizo rootstocks recorded insignificant differences (p-value = 0.041, 0.478, respectively) for total chlorophyll content. However, there were significant differences between HS1, HS17, and HC15 compared to the Cleopatra mandarin rootstock (Table 2, Figure 2).
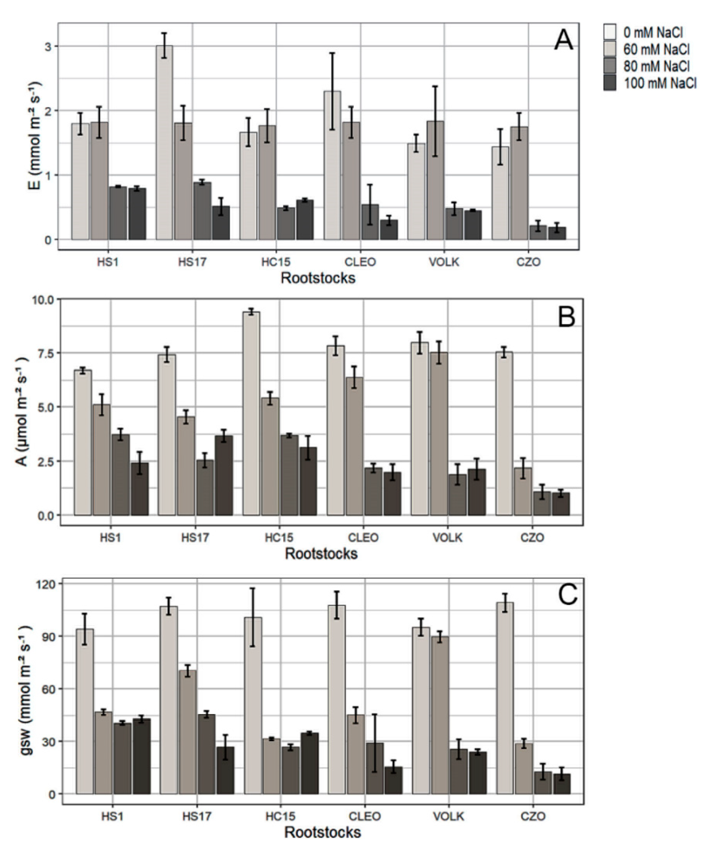
Transpiration rate (E), net CO2 assimilation (A), and stomatal conductance (gsw) decreased in response to increasing salt treatments in all rootstocks (Figure 3). There were no significant differences between the tested rootstocks in response to salt stress compared to Cleopatra mandarin in E values. HC15 recorded higher net CO2 assimilation (A) compared to Cleopatra mandarin (p-value = 0.013), whereas Carrizo recorded the least A compared to the other rootstocks (Table 4). As for gsw, HC17 recorded the highest values under salt stress (60, 80, 100 mm) of 70, 45, and 26 mmol m−2 s−1, respectively. The least gsw values were recorded in Carrizo compared to Cleopatra mandarin (Table 4).
There was a decline in Fv/Fo values at 80 and 100 mm NaCl in all the rootstocks, however, there was only a slight decrease in the Fv/Fm values (Figure 4). In the comparison with the performance of Cleo, there was a significant decrease in HC15, followed by HS17, Volkamer Lemon, and Carrizo, respectively (Table 5). At the same line, there was a significant decrease in Fv/Fm values in HS17, followed by HC15, Volkamer Lemon, and Carrizo, respectively, compared to Cleopatra mandarin. HS1 showed no significant difference compared to Cleopatra mandarin (Table 5).
The photosynthesis process is among the primary processes affected by ionic and osmotic stress. Our results indicated a reduction in the photosynthesis parameters and chlorophyll content in response to salt stress. In nature, following salt stress, plants close their stomata due to the ionic imbalance resulting from the increase in Na+ and Cl ions and the decrease in K+ ions in the cells, followed by a decrease in photosynthesis rate [36,37]. Our results were consistent with prior studies [26,38] that detected reductions in the photosynthetic rate, E, and gsw in Citrus plants exposed to salt stress. It is known that photosynthesis responses are mainly associated with the adverse effects of chloride toxicity [4] and regulation of ion homeostasis, resulting in physiological alterations. Additionally, the increase in leaf Na+ concentration also results in a reduction of leaf gas exchange [39].

3.2.2. Lipid Peroxidation

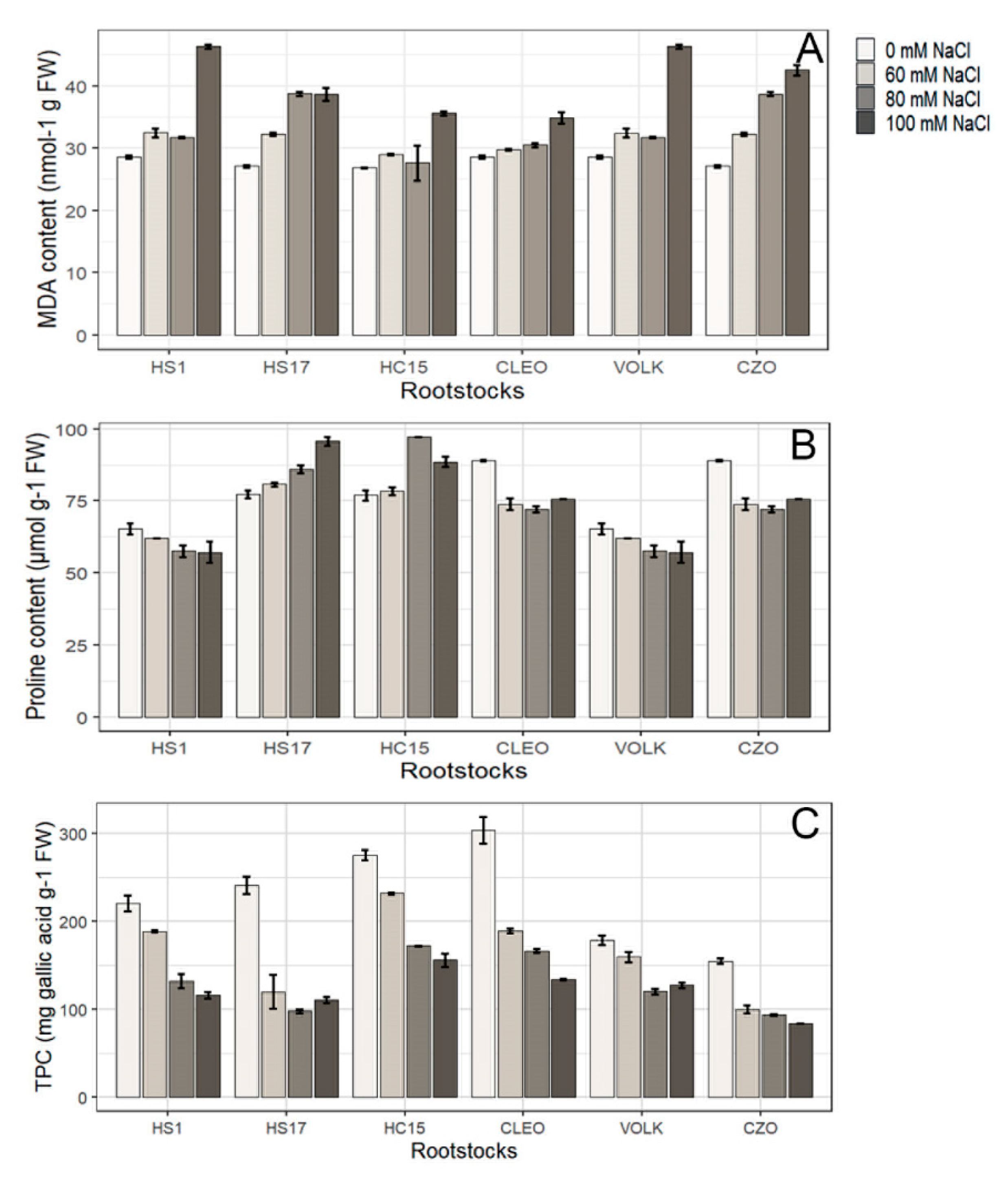
Salt treatment increased the accumulation of malondialdehyde (MDA) (Figure 5A). HC15 and Cleopatra mandarin were observed to be the most salt-tolerant rootstocks, demonstrating the lowest accumulation of MDA (27.61, 34.86 nmol−1 g FW respectively), with no significant differences between the two rootstocks (p-value = 0.1002) (Table 6). Carrizo recorded the highest content of MDA, followed by HS1, Volkamer Lemon, and HS17 (46.3, 46.29, and 38.62 nmol−1 g FW, respectively).

3.2.3. Proline Content

There were no significant differences in proline content in Cleopatra mandarin and Carrizo leaves (Table 6), however, HS17 and HC15 exhibited a significant increase in proline content when compared to Cleopatra mandarin (95.72 and 88.54 µmol g−1 FW under 100 mm NaCl). Significant decreases in proline content were also recorded in HS1 and Volkamer Lemon (Figure 5B).

3.2.4. Total Phenolic Compounds

Total phenolic compounds were determined in leaves following NaCl application to evaluate the salt-induced oxidation response in the rootstocks. HC15 exhibited the highest values of TPC (172.16 and 155.93 mg gallic acid g−1 FW) under 80 and 100 mm NaCl, respectively (Figure 5C). There were no significant differences in TPC contents in HS1, HS17, HC15, or Carrizo when compared to Cleopatra mandarin.
The physiological processes vary according to the degree of tolerance, as sensitive genotypes show stronger effects than tolerant genotypes [38,40]. Decreased photosynthetic capacity ultimately causes the production of ROS [41]. Consequently, sensitive genotypes produce high amounts of ROS with less ability to scavenge, leading to oxidative damage. The MDA content increased in the salt-sensitive Carrizo in response to salt stress, however, the other rootstocks showed less accumulation of MDA under salt stress. The increase in MDA content indicated the weakness of the cell membrane, with an increased degree of lipid peroxidation [5].
Volkamer Lemon seedlings exhibited noticeable MDA accumulation at the highest NaCl treatment level (100 mm). Khalid et al. [26] similarly observed that diploid Volkamer Lemon seedlings accumulated more MDA when compared to tetraploid seedlings under high levels of salt, which was consistent with our findings. Many abiotic stressors target the cellular membrane, and it is noteworthy that the protection of cell membrane integrity under stress conditions correlates with improved plant defense and tolerance [42]. HC15 exhibited low concentrations of MDA, indicating less damage to the cellular membranes of HC15 seedlings than those of control plants at the same salt level.
To cope with the harmful effects of ROS, complex mechanisms evolved in plants to adapt with osmotic stress. These mechanisms include scavenging ROS via various enzymatic and nonenzymatic antioxidants and osmotic adjustment by osmoprotectants/osmolytes accumulation. Phenolic compounds are important antioxidants that play essential roles in mitigating the harmful effects of ROS in plant cells under salt stress [43]. Among the evaluated rootstocks, HC15 accumulated higher TPC than the other rootstocks under 100 mm NaCl. TPC accumulation signaled the induction of plant defense mechanisms in the HC15 rootstock. Plants activate different pathways, increasing the accumulation of total phenolic compounds and resulting in oxidation inhibition [44]. Hussain et al. [45] indicated that the total phenolic content under stressful conditions was higher in the tolerant genotype than in the sensitive genotypes.
Additionally, in response to osmotic stress, plants generate various osmoprotectants and osmolytes. Osmoprotectants maintain the osmotic status of a plant cell and mitigate the adverse effects of ROS. Proline a major osmolyte and has a positive effect on antioxidant activities and the integrity of the cell membrane under stress [46]. From our visual observation, HS17 apparently looked healthy and performed well under salt stress. We recorded high accumulation of proline content under salt application, which explained the mechanism of salt tolerance in this rootstock. Our results were consistent with those of Anjum [36] and Khalid et al. [26] who observed lower proline contents in salt-sensitive rootstocks than in tolerant rootstocks.

3.3. Sodium and Chloride Ions Analysis

Sodium (Na+) and chloride (Cl) contents were measured in both the leaves and roots (Figure 6). Their contents increased gradually when NaCl level increased in the irrigation water for all rootstock candidates. Na+ and Cl percentages were generally higher in leaves than in roots. HS1, HS17, and HC15 showed no significant differences compared to Cleopatra mandarin (Table 7). Carrizo recorded a significant decrease in leaf sodium, followed by Volkamer Lemon. HC15 exhibited Na+ contents in roots similar to the Cleopatra mandarin. HC15 accumulated high levels of Cl in the leaves compared to Cleopatra mandarin. There were significant differences in the Cl contents of the roots of all the rootstocks compared to Cleopatra mandarin. The highest content was recorded in Carrizo, followed by HS17, HS1, HC15, and Volkamer Lemon, respectively.
The evaluated seedlings demonstrated significant increases in the sodium and chloride contents in both the leaves and roots when NaCl was applied at different levels. Carrizo plants reached a constant level of chloride in the roots, indicating chloride saturation in the roots. In the other rootstocks, the chloride content increased gradually in the roots when the level of NaCl increased. In HS1 rootstock seedlings, the chloride content in the roots was highest compared to the other tested rootstocks. The high chloride content in the roots indicates a high level of toxicity and sensitivity, reflecting growth inhibition in Citrus rootstocks [36,47]. This was consistent with our visual observation of the growth deficiency of HS1 under 100 mm NaCl. Basically, the sequestration of Cl and/or Na+ in root tissue vacuoles and its immobilization by cell walls of citrus rootstocks are key mechanisms contributing to the ability of some rootstocks to better protect the foliage of grafted trees than others [2].

3.4. Correlation Analysis

Chlorophyll a and b and total chlorophyll contents were positively correlated with E, A, gsw, Fv/Fo, and Fv/Fm. MDA content was significant and positively correlated with Na+ and Cl content in the leaves and the roots, however, Na+ and Cl contents negatively correlated with the other variables, as seen in Table 8. Fv/Fm and Fv/Fo negatively correlated with proline content (Table 8). The negative effects of Na+ and Cl according to the chlorophyll measurements and leaf gas exchange makes it difficult to differentiate whether Na+ or Cl is more important for plant toxicity. The leaves and roots contained relatively high concentrations of both ions, with ratios positively correlating with MDA content. Our observations agree with Lloyd et al. [48], who reported high correlation between leaf gas exchange and Cl and Na+ content in leaves.

4. Conclusions

Salinity is a significant osmotic stressor for Citrus, leading to reduction in general health and well-being. Salinity threatens the citrus growing regions along the Florida coast. Ongoing climate change and sea level rise maximize this danger. The sensitivity of Citrus plants to salt is mainly related to their sensitivity to chloride ions, which causes oxidative stress. Our findings reveal that salt stress reflected in obvious impairment in photosynthesis and inhibition of stomatal conductance, transpiration, and chlorophyll fluorescence, with increases in the concentration of MDA highlighting the lipid peroxidation and oxidative damage of cell membranes. However, the adverse effects of salt stress could be repaired via various internal mechanisms in the cell, such as antioxidant accumulation and osmoprotectants activity. In this study, HC15 showed increased accumulation of phenolic compounds and proline with decreased lipid peroxidation. HS17 produced as high amounts of proline as HC15. Both these rootstocks could withstand 100 mm salt stress. The HS1 rootstock performed well under salt stress up to 80 mm, whereas high accumulation of Cl and obvious damage in the leaves under 100 mm salt stress was observed. We are currently investigating the salt tolerance ability of the adapted rootstocks in the field.

Author Contributions

L.M.M., M.D., C.I.V., and J.W.G. designed the experiments, analyzed the data, and wrote and revised the manuscript. J.W.G. developed the plant materials. M.D., C.I.V., and J.W.G. supervised the research. L.M.M. performed the experiments. All authors have read and agreed to the published version of the manuscript.

Funding

This research received no external funding

Acknowledgments

The authors thank the Egyptian government for granting an exchange visiting scholarship to L.M.M. and Mansoura University, Egypt, for supporting the research. The authors are grateful to Myrtho Pierre and Kawther Al-Jasim for their technical assistance.

Conflicts of Interest

The authors declare no conflict of interest.

References

  1. Vincent, C.; Morillon, R.; Arbona, V.; Gómez-Cadenas, A. Citrus in changing environments. In The Genus Citrus; Elsevier: Amsterdam, The Netherlands, 2020; pp. 271–289. [Google Scholar]
  2. Syvertsen, J.P.; Garcia-Sanchez, F. Multiple abiotic stresses occurring with salinity stress in citrus. Environ. Exp. Bot. 2014, 103, 128–137. [Google Scholar] [CrossRef]
  3. Maas, E. Salinity and citriculture. Tree Physiol. 1993, 12, 195–216. [Google Scholar] [CrossRef]
  4. Storey, R.; Walker, R. Citrus and salinity. Sci. Hortic. 1998, 78, 39–81. [Google Scholar] [CrossRef]
  5. Mahmoud, L.M.; Dutt, M.; Shalan, A.M.; El-Kady, M.E.; El-Boray, M.S.; Shabana, Y.M.; Grosser, J.W. Silicon nanoparticles mitigate oxidative stress of in vitro-derived banana (Musa acuminata ‘Grand Nain’) under simulated water deficit or salinity stress. S. Afr. J. Bot. 2020, 132, 155–163. [Google Scholar] [CrossRef]
  6. Cunningham, M.A.; Snyder, E.; Yonkin, D.; Ross, M.; Elsen, T. Accumulation of deicing salts in soils in an urban environment. Urban Ecosyst. 2008, 11, 17–31. [Google Scholar] [CrossRef]
  7. Mugai, E.N. Salinity characterization of the Kenyan saline soils. Soil Sci. Plant Nutr. 2004, 50, 181–188. [Google Scholar] [CrossRef]
  8. Vincent, C.; Rowland, D.; Schaffer, B.; Bassil, E.; Racette, K.; Zurweller, B. Primed acclimation: A physiological process offers a strategy for more resilient and irrigation-efficient crop production. Plant Sci. 2020, 295, 110240. [Google Scholar] [CrossRef]
  9. Munns, R. Genes and salt tolerance: Bringing them together. New Phytol. 2005, 167, 645–663. [Google Scholar] [CrossRef]
  10. Abel, G. Inheritance of the Capacity for Chloride Inclusion and Chloride Exclusion by Soybeans 1. Crop Sci. 1969, 9, 697–698. [Google Scholar] [CrossRef]
  11. Sykes, S. The inheritance of salt exclusion in woody perennial fruit species. Plant Soil 1992, 146, 123–129. [Google Scholar] [CrossRef]
  12. Glenn, E.P.; Brown, J.J.; Blumwald, E. Salt tolerance and crop potential of halophytes. Crit. Rev. Plant Sci. 1999, 18, 227–255. [Google Scholar] [CrossRef]
  13. Ratner, A.; Jacoby, B. Non-specificity of salt effects on Mg2+ dependent ATPase from grass roots. J. Exp. Bot. 1973, 24, 231–238. [Google Scholar] [CrossRef]
  14. Rains, D.W. Sodium and potassium absorption by bean stem tissue. Plant Physiol. 1969, 44, 547–554. [Google Scholar] [CrossRef] [PubMed][Green Version]
  15. Winter, E.; Preston, J. Salt tolerance of Trifolium alexandrinum L. IV. Ion measurements by X-ray microanalysis in unfixed, frozen hydrated leaf cells at various stages of salt treatment. Funct. Plant Biol. 1982, 9, 251–259. [Google Scholar] [CrossRef]
  16. Munns, R. Comparative physiology of salt and water stress. Plant Cell Env. 2002, 25, 239–250. [Google Scholar] [CrossRef]
  17. Shabala, S.; Bose, J.; Hedrich, R. Salt bladders: Do they matter? Trends Plant Sci. 2014, 19, 687–691. [Google Scholar] [CrossRef]
  18. Greenway, H.; Munns, R. Mechanisms of salt tolerance in nonhalophytes. Annu. Rev. Plant Physiol. 1980, 31, 149–190. [Google Scholar] [CrossRef]
  19. Cooper, W.C.; Gorton, B.; Olson, E. Ionic accumulation in citrus as influenced by rootstock and scion and concentration of salts and boron in the substrate. Plant Physiol. 1952, 27, 191. [Google Scholar] [CrossRef]
  20. Grosser, J.; Gmitter, F.; Tusa, N.; Chandler, J. Somatic hybrid plants from sexually incompatible woody species: Citrus reticulata and Citropsis gilletiana. Plant Cell Rep. 1990, 8, 656–659. [Google Scholar] [CrossRef]
  21. Brlansky, R.; Lee, R.; Agostini, J.P. The occurrence of citrus blight on sweet orange and cleopatra mandarin rootstocks in northwestern Argentina. Microbiol. Plant Pathol. 1988, 10, 381–383. [Google Scholar]
  22. Chellemi, D.; Sonoda, R.; Pelosi, R.; Cohen, M. Temporal and spatial comparisons between epidemics of citrus blight and citrus tristeza virus. Microbiol. Plant Pathol. 1991, 11, 289–296. [Google Scholar]
  23. Alam, A.; Ullah, H.; Attia, A.; Datta, A. Effects of salinity stress on growth, mineral nutrient accumulation and biochemical parameters of seedlings of three citrus rootstocks. Int. J. Fruit Sci. 2020, 20, 786–804. [Google Scholar] [CrossRef]
  24. Awang, Y.; Shafieizar, A.; Ajamgard, F.; Juraimi, A.S.; Othman, R.; Ahmadi, A.K. Assessing five citrus rootstocks for NaCl salinity tolerance using mineral concentrations, proline and relative water contents as indicators. Asian J. Plant Sci. 2015, 14, 20–26. [Google Scholar] [CrossRef]
  25. Etehadpour, M.; Fatahi, R.; Zamani, Z.; Golein, B.; Naghavi, M.R.; Gmitter, F. Evaluation of the salinity tolerance of Iranian citrus rootstocks using morph-physiological and molecular methods. Sci. Hortic. 2020, 261, 109012. [Google Scholar] [CrossRef]
  26. Khalid, M.F.; Hussain, S.; Anjum, M.A.; Ahmad, S.; Ali, M.A.; Ejaz, S.; Morillon, R. Better salinity tolerance in tetraploid vs diploid volkamer lemon seedlings is associated with robust antioxidant and osmotic adjustment mechanisms. J. Plant Physiol. 2020, 244, 153071. [Google Scholar] [CrossRef] [PubMed]
  27. Mizuno, H.; Yoshikawa, H.; Usuki, T. Extraction of Nobiletin and Tangeretin From Peels of Shekwasha and Ponkan Using [C2mim][(MeO)(H) PO2] and Centrifugation. Nat. Prod. Commun. 2019, 14. [Google Scholar] [CrossRef]
  28. Swingle, W.R.; Reece, P. The Botany Of Citrus and Its Wild Relatives. In The Citrus Industry; Reuther, W.W., Batchelor, L.D., Webber, H.J., Eds.; University of California Press: Berkeley, CA, USA, 1967; Volume I, pp. 190–340. [Google Scholar]
  29. Sun, Y.; Niu, G.; Perez, C. Relative salt tolerance of seven Texas Superstar® perennials. HortScience 2015, 50, 1562–1566. [Google Scholar] [CrossRef]
  30. Lichtenthaler, H.K.; Wellburn, A.R. Determinations of Total Carotenoids and Chlorophylls A and B of Leaf Extracts in Different Solvents; Portland Press Limited: London, UK, 1983. [Google Scholar]
  31. Heath, R.L.; Packer, L. Photoperoxidation in isolated chloroplasts: I. Kinetics and stoichiometry of fatty acid peroxidation. Arch. Biochem. Biophys. 1968, 125, 189–198. [Google Scholar] [CrossRef]
  32. Singleton, V.L.; Rossi, J.A. Colorimetry of total phenolics with phosphomolybdic-phosphotungstic acid reagents. Am. J. Enol. Vitic. 1965, 16, 144–158. [Google Scholar]
  33. Bates, L.S.; Waldren, R.P.; Teare, I. Rapid determination of free proline for water-stress studies. Plant Soil 1973, 39, 205–207. [Google Scholar] [CrossRef]
  34. Anderson, D.; Henderson, L. Comparing sealed chamber digestion with other digestion methods used for plant-tissue analysis. Agron. J. 1988, 80, 549–552. [Google Scholar] [CrossRef]
  35. Munter, R.; Halverson, T.; Anderson, R. Quality assurance for plant tissue analysis by ICP-AES. Commun. Soil Sci. Plant Anal. 1984, 15, 1285–1322. [Google Scholar] [CrossRef]
  36. Anjum, M.A. Effect of NaCl concentrations in irrigation water on growth and polyamine metabolism in two citrus rootstocks with different levels of salinity tolerance. Acta Physiol. Plant. 2008, 30, 43. [Google Scholar] [CrossRef]
  37. López-Climent, M.F.; Arbona, V.; Pérez-Clemente, R.M.; Gómez-Cadenas, A. Relationship between salt tolerance and photosynthetic machinery performance in citrus. Environ. Exp. Bot. 2008, 62, 176–184. [Google Scholar] [CrossRef]
  38. Hussain, S.; Luro, F.; Costantino, G.; Ollitrault, P.; Morillon, R. Physiological analysis of salt stress behaviour of citrus species and genera: Low chloride accumulation as an indicator of salt tolerance. S. Afr. J. Bot. 2012, 81, 103–112. [Google Scholar] [CrossRef]
  39. García-Sánchez, F.; Jifon, J.L.; Carvajal, M.; Syvertsen, J.P. Gas exchange, chlorophyll and nutrient contents in relation to Na+ and Cl− accumulation in ‘Sunburst’mandarin grafted on different rootstocks. Plant Sci. 2002, 162, 705–712. [Google Scholar] [CrossRef]
  40. Ruiz, M.; Quiñones, A.; Martínez-Cuenca, M.R.; Aleza, P.; Morillon, R.; Navarro, L.; Primo-Millo, E.; Martínez-Alcántara, B. Tetraploidy enhances the ability to exclude chloride from leaves in Carrizo citrange seedlings. J. Plant Physiol. 2016, 205, 1–10. [Google Scholar] [CrossRef]
  41. Khoshbakht, D.; Asghari, M.; Haghighi, M. Effects of foliar applications of nitric oxide and spermidine on chlorophyll fluorescence, photosynthesis and antioxidant enzyme activities of citrus seedlings under salinity stress. Photosynthetica 2018, 56, 1313–1325. [Google Scholar] [CrossRef]
  42. Hu, Y.; Huang, Y.; Zhou, S.; Zhang, Y.; Cheng, R.; Guo, J.; Ling, Y. Traditional rice landraces in Lei-Qiong area of South China tolerate salt stress with strong antioxidant activity. Plant Signal. Behav. 2020, 15, 1740466. [Google Scholar] [CrossRef]
  43. Farhangi-Abriz, S.; Torabian, S. Antioxidant enzyme and osmotic adjustment changes in bean seedlings as affected by biochar under salt stress. Ecotoxicol. Environ. Saf. 2017, 137, 64–70. [Google Scholar] [CrossRef]
  44. Rivero, R.M.; Ruiz, J.M.; Garcıa, P.C.; Lopez-Lefebre, L.R.; Sánchez, E.; Romero, L. Resistance to cold and heat stress: Accumulation of phenolic compounds in tomato and watermelon plants. Plant Sci. 2001, 160, 315–321. [Google Scholar] [CrossRef]
  45. Hussain, S.; Khalid, M.F.; Saqib, M.; Ahmad, S.; Zafar, W.; Rao, M.J.; Morillon, R.; Anjum, M.A. Drought tolerance in citrus rootstocks is associated with better antioxidant defense mechanism. Acta Physiol. Plant. 2018, 40, 135. [Google Scholar] [CrossRef]
  46. Ashraf, M.; Foolad, M.R. Roles of glycine betaine and proline in improving plant abiotic stress resistance. Environ. Exp. Bot. 2007, 59, 206–216. [Google Scholar] [CrossRef]
  47. Moya, J.L.; Gómez-Cadenas, A.; Primo-Millo, E.; Talon, M. Chloride absorption in salt-sensitive Carrizo citrange and salt-tolerant Cleopatra mandarin citrus rootstocks is linked to water use. J. Exp. Bot. 2003, 54, 825–833. [Google Scholar] [CrossRef]
  48. Lloyd, J.; Kriedemann, P.; Aspinall, D. Contrasts between Citrus species in response to salinisation: An analysis of photosynthesis and water relations for different rootstock-scion combinations. Physiol. Plant. 1990, 78, 236–246. [Google Scholar] [CrossRef]
Figure 1. Comparison of morphological performance of Citrus rootstocks under saline irrigation treatment. Six rootstocks aged four months were treated with 0, 60, 80, and 100 mm NaCl in deionized water three times per week. Control plants were irrigated with NaCl-free deionized water. Salt-tolerance capacity was estimated after three months of salt treatment.
Figure 1. Comparison of morphological performance of Citrus rootstocks under saline irrigation treatment. Six rootstocks aged four months were treated with 0, 60, 80, and 100 mm NaCl in deionized water three times per week. Control plants were irrigated with NaCl-free deionized water. Salt-tolerance capacity was estimated after three months of salt treatment.
Horticulturae 06 00090 g001
Figure 2. Effect of saline irrigation treatment on chlorophyll content in the leaves of Citrus rootstocks at four levels of NaCl: (A) Content of chlorophyll a, (B) content of chlorophyll b, and (C) total chlorophyll content. Chlorophyll content is expressed as mg/g Fw. Cleo—Cleopatra mandarin; Volk—Volkamer Lemon; Czo—Carrizo.
Figure 2. Effect of saline irrigation treatment on chlorophyll content in the leaves of Citrus rootstocks at four levels of NaCl: (A) Content of chlorophyll a, (B) content of chlorophyll b, and (C) total chlorophyll content. Chlorophyll content is expressed as mg/g Fw. Cleo—Cleopatra mandarin; Volk—Volkamer Lemon; Czo—Carrizo.
Horticulturae 06 00090 g002
Figure 3. Effect of saline irrigation treatment on gas exchange indicators. (A) Transpiration rate (E), (B) net assimilation of CO2 (A), and (C) stomatal conductance to water vapor (gsw) in the leaves of Citrus rootstocks at four levels of NaCl. Cleo—Cleopatra mandarin; Volk—Volkamer Lemon; Czo—Carrizo.
Figure 3. Effect of saline irrigation treatment on gas exchange indicators. (A) Transpiration rate (E), (B) net assimilation of CO2 (A), and (C) stomatal conductance to water vapor (gsw) in the leaves of Citrus rootstocks at four levels of NaCl. Cleo—Cleopatra mandarin; Volk—Volkamer Lemon; Czo—Carrizo.
Horticulturae 06 00090 g003
Figure 4. Effect of saline irrigation treatment on chlorophyll fluorescence (photochemical efficiency of Photosystem II (PSII) in the leaves of Citrus rootstocks at four levels of NaCl, (A) Fv/Fo and (B) Fv/Fm. Cleo—Cleopatra mandarin; Volk—Volkamer Lemon; Czo—Carrizo.
Figure 4. Effect of saline irrigation treatment on chlorophyll fluorescence (photochemical efficiency of Photosystem II (PSII) in the leaves of Citrus rootstocks at four levels of NaCl, (A) Fv/Fo and (B) Fv/Fm. Cleo—Cleopatra mandarin; Volk—Volkamer Lemon; Czo—Carrizo.
Horticulturae 06 00090 g004
Figure 5. Effect of saline irrigation treatment on (A) malondialdehyde (MDA), (B) proline content, and (C) total phenolic compounds (TPC) in the leaves of Citrus rootstocks at four levels of NaCl. Cleo—Cleopatra mandarin; Volk—Volkamer Lemon; Czo—Carrizo.
Figure 5. Effect of saline irrigation treatment on (A) malondialdehyde (MDA), (B) proline content, and (C) total phenolic compounds (TPC) in the leaves of Citrus rootstocks at four levels of NaCl. Cleo—Cleopatra mandarin; Volk—Volkamer Lemon; Czo—Carrizo.
Horticulturae 06 00090 g005
Figure 6. Effect of saline irrigation treatment on sodium and chloride ions percentages in the leaves and roots of Citrus rootstocks at four levels of NaCl. (A) Percentage of sodium ions in the leaves, (B) percentage of sodium ions in the roots, (C) percentage of chloride ions in the leaves, and (D) percentage of chloride ions in the roots. Cleo—Cleopatra mandarin, Volk—Volkamer Lemon; Czo—Carrizo.
Figure 6. Effect of saline irrigation treatment on sodium and chloride ions percentages in the leaves and roots of Citrus rootstocks at four levels of NaCl. (A) Percentage of sodium ions in the leaves, (B) percentage of sodium ions in the roots, (C) percentage of chloride ions in the leaves, and (D) percentage of chloride ions in the roots. Cleo—Cleopatra mandarin, Volk—Volkamer Lemon; Czo—Carrizo.
Horticulturae 06 00090 g006
Table 1. Visual score of Citrus rootstocks under saline irrigation treatment after three months.
Table 1. Visual score of Citrus rootstocks under saline irrigation treatment after three months.
RootstocksNaCl Treatments
0 mm NaCl60 mm NaCl80 mm NaCl100 mm NaCl
HS15.00 ± 0.00 a*5.00 ± 0.00 a4.75 ± 0.19 a3.50 ± 0.28 b,c
HS175.00 ± 0.00 a5.00 ± 0.00 a4.75 ± 0.19 a4.25 ± 0.21 a,b
HC155.00 ± 0.00 a5.00 ± 0.00 a4.75 + 0.19 a4.75 ± 0.20 a
Cleo5.00 ± 0.00 a5.00 ± 0.00 a5.00 ± 0.00 a4.75 ± 0.19 a
Volk5.00 ± 0.00 a5.00 ± 0.00 a5.00 ± 0.00 a3.00 ± 0.00 c
Czo5.00 ± 0.00 a1.75 ± 0.30 c0.75 ± 0.40 d,e0.00 ± 0.00 e
Visual score of 0 = dead, 1 = severe foliar salt damage (more than 90% leaves with burn and necrosis), 2 = moderate foliar salt damage (90% to 50%), 3 = slight foliar salt damage (less than 50%), 4 = good quality with minimal foliar salt damage, 5 = excellent without foliar salt damage. p-value < 0.0001 for rootstocks, NaCl treatments, and the combination. * Means followed by the same letter were not significantly different by Tukey’s honestly significant difference test (p ≤ 0.05).
Table 2. Significance analysis of physiological traits of the citrus rootstocks between rootstocks or NaCl treatments or the combination using a two-way ANOVA assay by R Studio.
Table 2. Significance analysis of physiological traits of the citrus rootstocks between rootstocks or NaCl treatments or the combination using a two-way ANOVA assay by R Studio.
RootstocksNaCl TreatmentsCombination
Chl a24.2 ***a140.5 ***3.9 ***
Chl b11.8 ***11.6 ***3.3 ***
TChl26.3 ***117.2 ***2.1 *
Fv/Fo15.8 ***7.5 ***1.6 ns
Fv/Fm20.2 ***7.8 ***1.5 ns
E3.7 **67.8 ***1.6 ns
A18.7 ***275.3 ***7.7 ***
Gsw6.3 ***185.6 ***5.1 ***
MDA35.3 ***294.4 ***18.8 ***
TPC125.6 ***318.3 ***12.2 ***
Proline133.0 ***13.4 ***12.3 ***
Na (Leaves)13.4 ***633.5 ***10.6 ***
Na (Roots)13.5 ***409.0 ***5.0 ***
Cl (Leaves)75.4 ***1098.7 ***14.4 ***
Cl (Roots)77.4 ***4313.3 ***54.2 ***
a Numbers represent F values, * p ≤ 0.05; ** p ≤ 0.01; *** p ≤ 0.001, ns not significant.
Table 3. Effect of saline irrigation treatment on chlorophyll content in the leaves of Citrus rootstocks at four levels of NaCl compared to the salt-tolerant Cleopatra rootstock control.
Table 3. Effect of saline irrigation treatment on chlorophyll content in the leaves of Citrus rootstocks at four levels of NaCl compared to the salt-tolerant Cleopatra rootstock control.
Chl aChl bT Chl
LevelDifferencep-ValueDifferencep-ValueDifferencep-Value
HS10.54050.0316 * 0.67250.0014 *1.2135<0.0001 *
HS171.3205<0.0001 *0.78560.0001 *2.1069<0.0001 *
HC15−0.06610.99711.1289<0.0001 *1.13070.0001 *
Volk−0.39830.16870.75770.0003 *0.35950.4782
Czo−0.51770.0425 *0.13400.9081−0.38370.4157
Bold numbers indicate significant differences from Cleopatra rootstock using Dunnett’s test. Numbers represent averages of the effects of the four salinity treatments on the rootstocks. Volk—Volkamer Lemon; Czo—Carrizo. Asterix (*) indicates significance differences.
Table 4. Effect of saline irrigation treatment on gas exchange indicators in the leaves of Citrus rootstocks at four levels of NaCl compared to the salt-tolerant Cleopatra rootstock control.
Table 4. Effect of saline irrigation treatment on gas exchange indicators in the leaves of Citrus rootstocks at four levels of NaCl compared to the salt-tolerant Cleopatra rootstock control.
EAgsw
LevelDifferencep-ValueDifferencep-ValueDifferencep-Value
HS10.06680.9932−0.10120.99516.69380.4283
HS170.31620.2103−0.04250.999913.10750.0194 *
HC15−0.10680.94980.81870.0139 *−0.90310.9998
Volk−0.17500.73370.28560.73029.25940.1541
Czo−0.34430.15−1.6375<0.0001 *−8.80380.1890
Bold numbers indicate significant differences from Cleopatra rootstock using Dunnett’s test. Numbers represent averages of the effects of the four salinity treatments on the rootstocks. Volk—Volkamer Lemon; Czo—Carrizo. Asterix (*) indicates significance differences.
Table 5. Effect of saline irrigation treatment on chlorophyll fluorescence in the leaves of Citrus rootstocks at four levels of NaCl, (A) Fv/Fo and (B) Fv/Fm, compared to the salt-tolerant Cleopatra rootstock control.
Table 5. Effect of saline irrigation treatment on chlorophyll fluorescence in the leaves of Citrus rootstocks at four levels of NaCl, (A) Fv/Fo and (B) Fv/Fm, compared to the salt-tolerant Cleopatra rootstock control.
Fv/FoFv/Fm
LevelDifferencep-ValueDifferencep-Value
HS1−0.12550.8287−0.00450.9162
HS17−0.39460.0230 *−0.01690.0317 *
HC15−0.35980.0445 *−0.01780.0217 *
Volk−0.47690.0040 *−0.02170.0033 *
Czo−1.1125<0.0001 *−0.0556<0.0001 *
Bold numbers indicate significant differences from Cleopatra rootstock using Dunnett’s test. Numbers represent averages of the effects of the four salinity treatments on the rootstocks. Volk—Volkamer Lemon; Czo—Carrizo. Asterix (*) indicates significance differences.
Table 6. Effect of saline irrigation treatment on malondialdehyde (MDA), total phenolic content (TPC), and proline content in the leaves of Citrus rootstocks at four levels of NaCl compared to the salt-tolerant Cleopatra rootstock control.
Table 6. Effect of saline irrigation treatment on malondialdehyde (MDA), total phenolic content (TPC), and proline content in the leaves of Citrus rootstocks at four levels of NaCl compared to the salt-tolerant Cleopatra rootstock control.
MDATPCProline
LevelDifferencep-ValueDifferencep-ValueDifferencep-Value
HS13.8623 <0.0001 *−34.086<0.0001 *−17.1324<0.0001 *
HS173.2560<0.0001 *−56.077<0.0001 *7.2909<0.0001 *
HC15−1.16450.100210.49360.11477.5692<0.0001 *
Volk3.8449<0.0001 *−52.0436<0.0001 *−17.1324<0.0001 *
Czo4.2042<0.0001 *−90.3323<0.0001 *−1.42 × 10−141
Bold numbers indicate significant differences from Cleopatra rootstock using Dunnett’s test. Numbers represent averages of the effects of the four salinity treatments on the rootstocks. Volk—Volkamer Lemon; Czo—Carrizo. Asterix (*) indicates significance differences.
Table 7. Effects of saline irrigation treatment on sodium and chloride ion percentages in the leaves and roots of Citrus rootstocks at four levels of NaCl compared to the salt-tolerant Cleopatra rootstock control.
Table 7. Effects of saline irrigation treatment on sodium and chloride ion percentages in the leaves and roots of Citrus rootstocks at four levels of NaCl compared to the salt-tolerant Cleopatra rootstock control.
Na (Leaves)Na (Roots)Cl (Leaves)Cl (Roots)
LevelDifferencep-ValueDifferencep-ValueDifferencep-ValueDifferencep-Value
HS1−0.01680.9986−0.1112<0.0001 *0.16060.10090.1343<0.0001 *
HS17−0.0950.3548−0.05680.0315 *−0.11120.38210.1562<0.0001 *
HC15−0.03180.97540.03250.38190.3512<0.0001 *0.0831<0.0001 *
Volk−0.4025<0.0001 *−0.07120.0043 *−0.05680.88760.0768<0.0001 *
Czo−0.16120.0318 *−0.00310.9999−0.9125<0.0001 *0.2918<0.0001 *
Bold numbers indicate significant differences from Cleopatra rootstock using Dunnett’s test. Numbers represent averages of the effects of the four salinity treatments on the rootstocks. Volk—Volkamer Lemon; Czo—Carrizo. Asterix (*) indicates significance differences.
Table 8. Pearson’s correlation matrix among the studied parameters of Citrus rootstocks under six levels of NaCl stress.
Table 8. Pearson’s correlation matrix among the studied parameters of Citrus rootstocks under six levels of NaCl stress.
Chl aChl bT ChlEAgswFv/FmFv/FoMDATPCProlineNa (leaves)Na (Roots)Cl (Leaves)Cl (Roots)
Chl a1 a
Chl b0.18931
T Chl0.90740.57991
E0.60510.40260.671
A0.67720.35450.70820.67471
gsw0.70340.28020.70080.71110.84271
Fv/Fm0.31270.17740.3350.37780.42510.3121
Fv/Fo0.29960.21040.33750.3770.41680.29240.96381
MDA−0.621−0.313−0.648−0.534−0.65−0.54−0.28−0.2761
TPC0.53410.32560.58130.61030.75660.61710.4920.4999−0.6451
Proline0.1761−0.0330.1380.03180.1220.0891−0.074−0.053−0.2390.1511
Na (leaves)−0.66−0.291−0.669−0.626−0.756−0.825−0.173−0.1690.6135−0.605−0.0421
Na (Roots)−0.734−0.194−0.69−0.53−0.743−0.834−0.2−0.1950.5245−0.588−0.0350.86671
Cl (Leaves)−0.66−0.129−0.599−0.581−0.635−0.728−0.001−0.0060.5708−0.486−0.0760.88740.77211
Cl (Roots)−0.733−0.266−0.717−0.621−0.841−0.841−0.287−0.290.725−0.76−0.0480.88650.85960.83561
a Numbers represent average values per rootstock and treatment. Chl a—chlorophyll a content; Chl b—Chlorophyll b content; T Chl—total chlorophyll content; E—transpiration rate; A—net assimilation of CO2; gsw—stomatal conductance to water vapor; MDA—malondialdehyde; TPC—total phenolic compounds; Na—sodium; Cl—chloride.
Publisher’s Note: MDPI stays neutral with regard to jurisdictional claims in published maps and institutional affiliations.

Share and Cite

MDPI and ACS Style

Mahmoud, L.M.; Dutt, M.; Vincent, C.I.; Grosser, J.W. Salinity-Induced Physiological Responses of Three Putative Salt Tolerant Citrus Rootstocks. Horticulturae 2020, 6, 90. https://doi.org/10.3390/horticulturae6040090

AMA Style

Mahmoud LM, Dutt M, Vincent CI, Grosser JW. Salinity-Induced Physiological Responses of Three Putative Salt Tolerant Citrus Rootstocks. Horticulturae. 2020; 6(4):90. https://doi.org/10.3390/horticulturae6040090

Chicago/Turabian Style

Mahmoud, Lamiaa M., Manjul Dutt, Christopher I. Vincent, and Jude W. Grosser. 2020. "Salinity-Induced Physiological Responses of Three Putative Salt Tolerant Citrus Rootstocks" Horticulturae 6, no. 4: 90. https://doi.org/10.3390/horticulturae6040090

APA Style

Mahmoud, L. M., Dutt, M., Vincent, C. I., & Grosser, J. W. (2020). Salinity-Induced Physiological Responses of Three Putative Salt Tolerant Citrus Rootstocks. Horticulturae, 6(4), 90. https://doi.org/10.3390/horticulturae6040090

Note that from the first issue of 2016, this journal uses article numbers instead of page numbers. See further details here.

Article Metrics

Back to TopTop