Effects of Vine Water Status and Exogenous Abscisic Acid on Berry Composition of Three Red Wine Grapes Grown under Mediterranean Climate
Abstract
1. Introduction
2. Materials and Methods
2.1. Experimental Design
2.2. Leaf Area
2.3. Must Composition
2.4. Yield, Yield Components and Pruning Weight
2.5. Statistical Analysis
3. Results
3.1. Meteorological Conditions
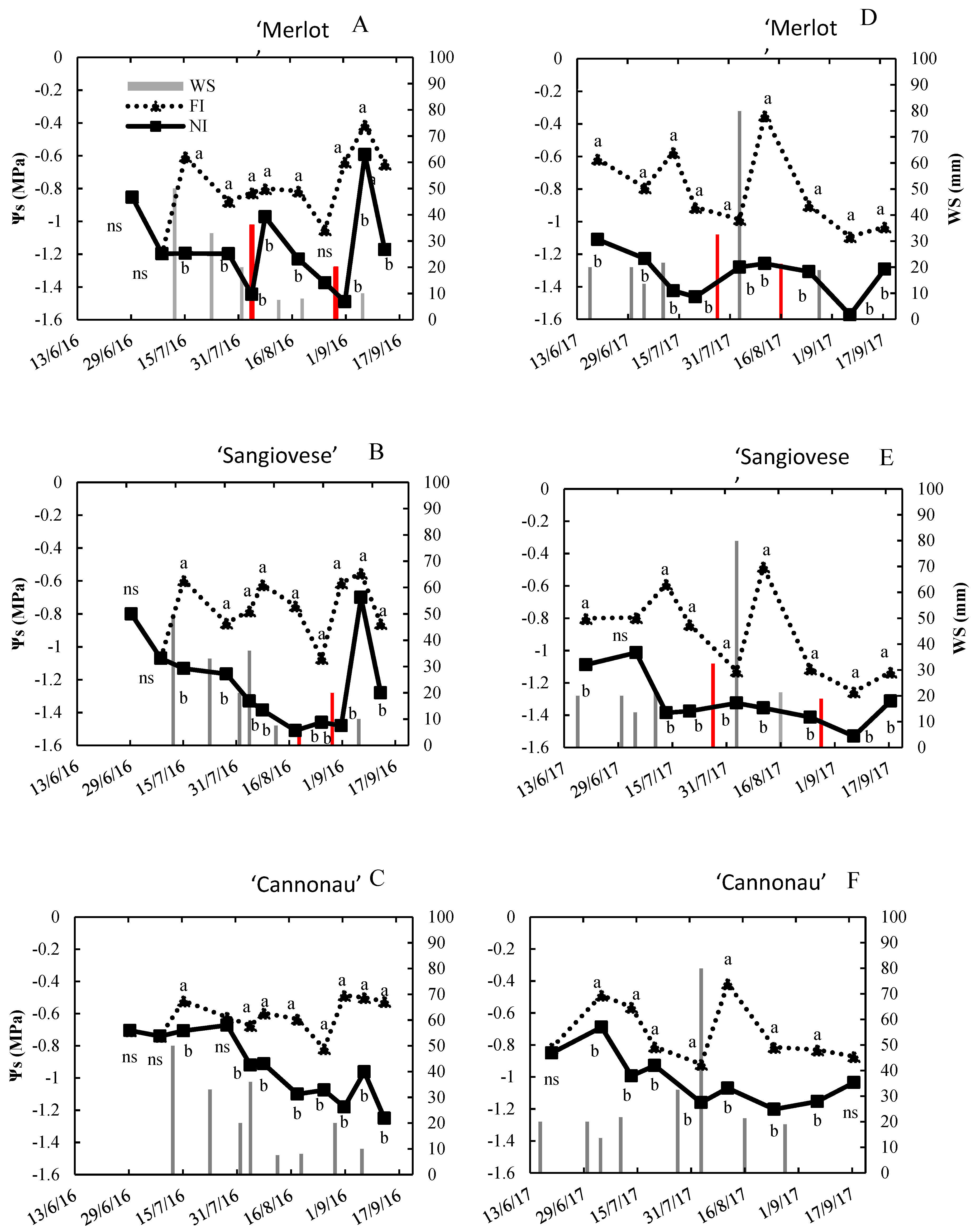
3.2. Vine Water Status, Vegetative Growth and Yield
3.3. Grape Berry Composition in Response to Water Deficit and Abscisic Acid Application
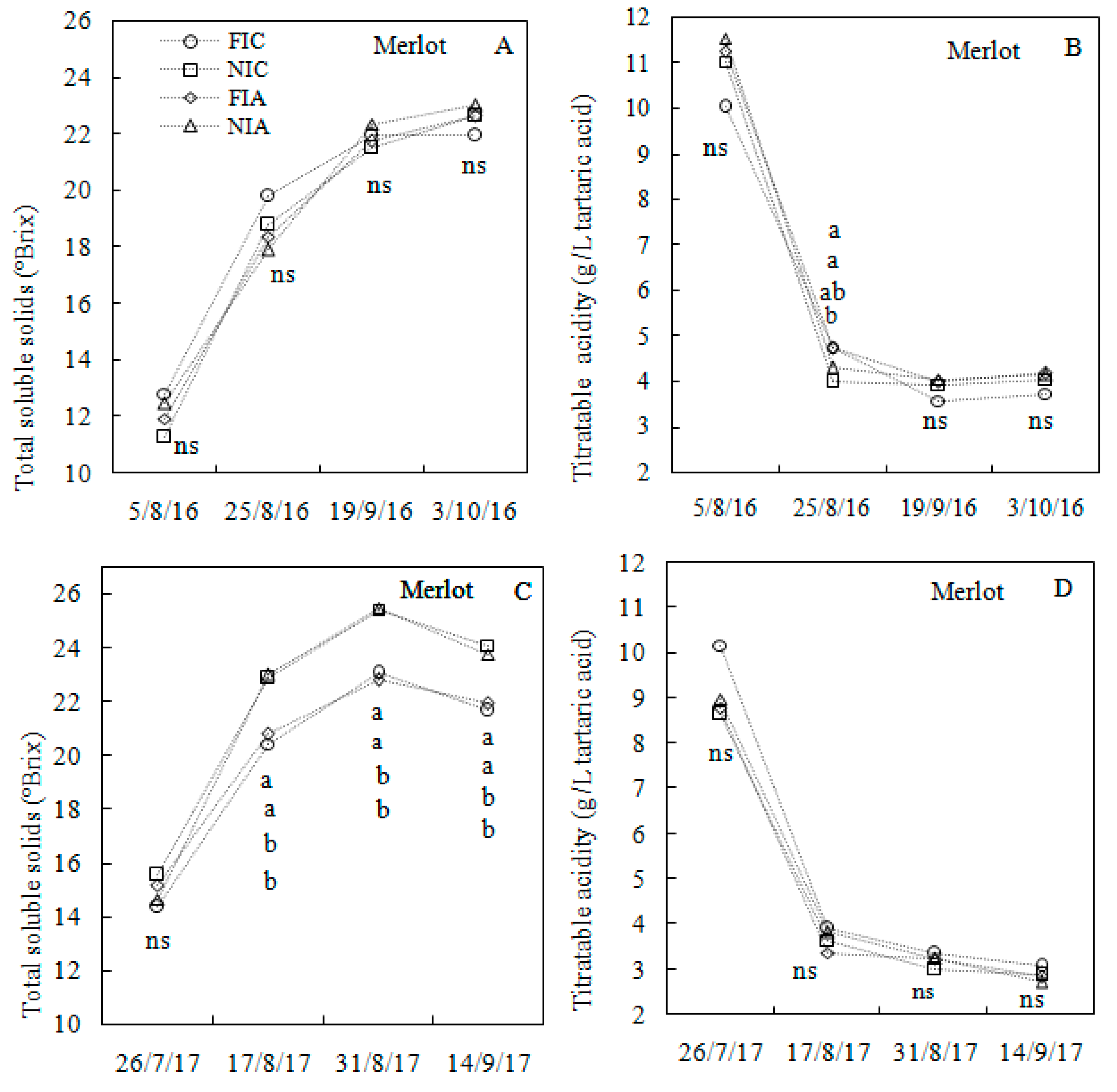
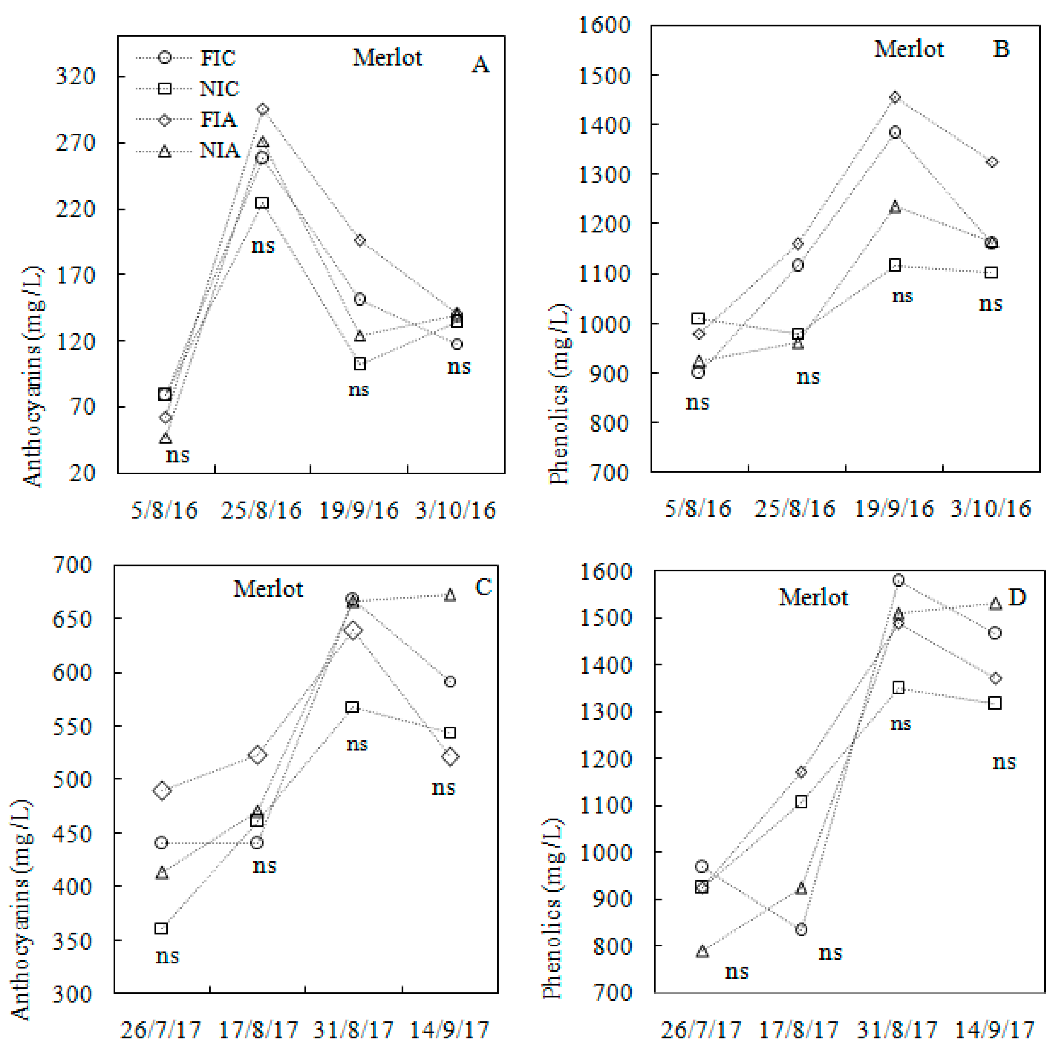
3.3.1. ‘Merlot’
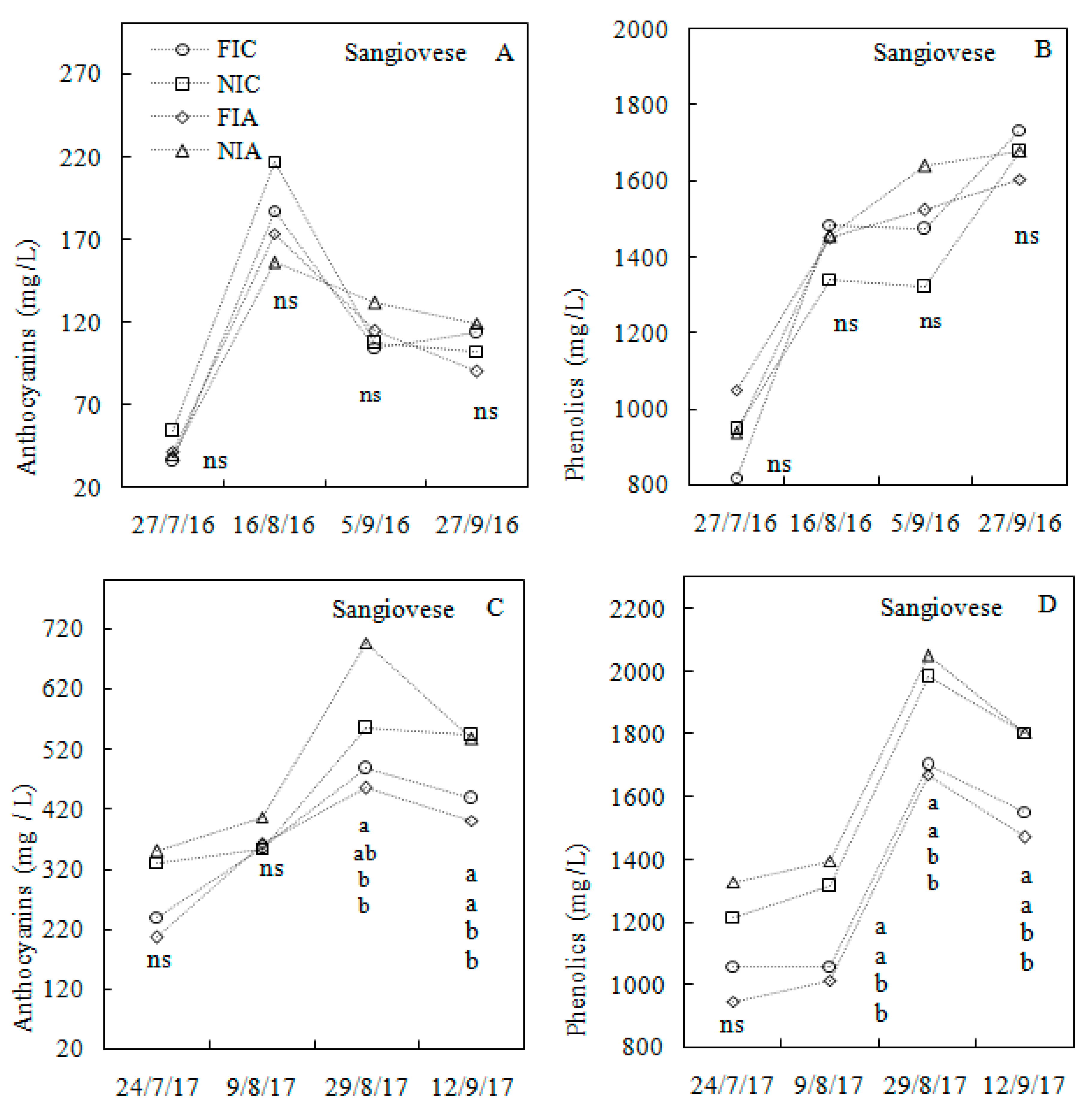
3.3.2. ‘Sangiovese’
3.3.3. ‘Cannonau’
4. Discussion
5. Conclusions
Author Contributions
Funding
Conflicts of Interest
References
- Jackson, D.I.; Lombard, P.B. Environmental and management practices affecting grape composition and wine quality-a review. Am. J. Enol. Vitic. 1993, 44, 409–430. [Google Scholar]
- Chaves, M.M.; Zarrouk, O.; Francisco, R.; Costa, J.M.; Santos, T.; Regalado, A.P.; Lopes, C.M. Grapevine under deficit irrigation: Hints from physiological and molecular data. Ann. Bot. 2010, 105, 661–676. [Google Scholar] [CrossRef] [PubMed]
- Medrano, H.; Tomás, M.; Martorell, S.; Escalona, J.M.; Pou, A.; Fuentes, S.; Flexas, J.; Bota, J. Improving water use efficiency of vineyards in semi-arid regions. A review. Agron. Sustain. Dev. 2015, 35, 499–517. [Google Scholar] [CrossRef]
- Roby, G.; Harbertson, J.F.; Adams, D.A.; Matthews, M.A. Berry size and vine water deficits as factors in winegrape composition: Anthocyanins and tannins. Aust. J. Grape Wine Res. 2004, 10, 100–107. [Google Scholar] [CrossRef]
- Savoi, S.; Wong, D.C.; Arapitsas, P.; Miculan, M.; Bucchetti, B.; Peterlunger, E.; Castellarin, S.D. Transcriptome and metabolite profiling reveals that prolonged drought modulates the henylpropanoid and terpenoid pathway in white grapes (Vitis vinifera L.). BMC Plant Biol. 2016, 16, 67. [Google Scholar] [CrossRef]
- Herrera, J.C.; Hochberg, U.; Degu, A.; Sabbatini, P.; Lazarovitch, N.; Castellarin, S.D.; Peterlunger, E. Grape metabolic response to postveraison water deficit is affected by interseason weather variability. J. Agric. Food Chem. 2017, 65, 5868–5878. [Google Scholar] [CrossRef]
- Merli, M.C.; Magnanini, E.; Gatti, M.; Pirez, F.J.; Pueyo, I.B.; Intrigliolo, D.S.; Poni, S. Water stress improves whole-canopy water use efficiency and berry composition of ‘Sangiovese’ (Vitis vinifera L.) grapevines grafted on the new drought-tolerant rootstock M4. Agric. Water Manag. 2016, 169, 106–114. [Google Scholar] [CrossRef]
- Schultz, H.R. Differences in hydraulic architecture account for near-isohydric and anisohydric behavior of two field-grown Vitis vinifera L. cultivars during drought. Plant Cell Environ. 2003, 26, 1393–1405. [Google Scholar] [CrossRef]
- Lovisolo, C.; Perrone, I.; Carra, A.; Ferrandino, A.; Flexas, J.; Medrano, H.; Schubert, A. Drought-induced changes in development and function of grapevine (Vitis spp.) organs and in their hydraulic and non-hydraulic interactions at the whole-plant level: A physiological and molecular update. Funct. Plant Biol. 2010, 37, 98–116. [Google Scholar] [CrossRef]
- Tombesi, S.; Poni, S.; Palliotti, A. Stress idrico in Vitis vinifera: Variabilità delle risposte fisiologiche intra-specifiche e loro potenziale sfruttamento nella mitigazione degli effetti dei cambiamenti climatici. Italus Hortus 2016, 23, 45–53. [Google Scholar]
- Ferrandino, A.; Lovisolo, C. Abiotic stress effects on grapevine (Vitis vinifera L.): Focus on abscisic acid-mediater consequences on secondary metabolism and berry quality. Environ. Exp. Bot. 2014, 133, 138–147. [Google Scholar] [CrossRef]
- Tombesi, S.; Nardini, A.; Frioni, T.; Soccolini, M.; Zadra, C.; Farinelli, D.; Poni, S.; Palliotti, A. Stomatal closure is induced by hydraulic signals and maintained by ABA in drought-stressed grapevine. Sci. Rep. 2015, 5, 1–12. [Google Scholar] [CrossRef] [PubMed]
- Ruiz-Garcia, Y.; Gil-Munoz, R.; Maria Lopez-Roca, J.; Martinez-Cutillas, A.; Romero-Cascales, I.; Gomez-Plaza, E. Increasing the phenolic compound contentof grapes by preharvest application of abcisic acid and a combination of methyljasmonate and benzothiadiazole. J. Agric. Food Chem. 2013, 61, 3978–3983. [Google Scholar] [CrossRef] [PubMed]
- Pilati, S.; Bagagli, G.; Sonego, P.; Moretto, M.; Brazzale, D.; Castorina, G.; Simoni, L.; Tonelli, C.; Guella, G.; Engelen, K.; et al. Abscisic acid is a major regulator of grape berry ripening onset: New insights into ABA signaling network. Front. Plant Sci. 2017, 8, 1093. [Google Scholar] [CrossRef] [PubMed]
- Jeong, S.T.; Goto-Yamamoto, N.; Kobayashi, S.; Esaka, M. Effects of plant hormones and shading on the accumulation of anthocyanins and the expression of anthocyanin biosynthetic genes in grape berry skins. Plant Sci. 2004, 167, 247–252. [Google Scholar] [CrossRef]
- Peppi, M.C.; Fidelibus, M.W.; Dokoozlian, N. Abscisic Acid Application Timing and Concentration Affect Firmness, Pigmentation, and Color of Flame Seedless’ Grapes. HortScience 2006, 41, 1440–1445. [Google Scholar] [CrossRef]
- Castellarin, S.D.; Gambetta, G.A.; Wada, H.; Krasnow, M.N.; Cramer, G.R.; Peterlunger, E.; Shakel, K.A.; Matthews, M.A. Characterization of major ripening events during softening in grape: Turgor, sugar accumulation, abscisic acid metabolism, colour development, and their relationship with growth. J. Exp. Bot. 2015, 67, 709–722. [Google Scholar] [CrossRef] [PubMed]
- Niculcea, M.; López, J.; Sánchez-Díaz, M.; Carmen Antolín, M. Involvement of berry hormonal content in the response to pre-and post-veraison water deficit in different grapevine (Vitis vinifera L.) cultivars. Aust. J. Grape Wine Res. 2014, 20, 281–291. [Google Scholar] [CrossRef]
- de Fernandes Oliveira, A.S.; Nieddu, G. Deficit Irrigation Strategies in Vitis vinifera L. ‘Cannonau’ under Mediterranean Climate. Part II—Cluster Microclimate and Anthocyanin Accumulation Patterns. S. Afr. J. Enol. Vitic. 2013, 34, 184–196. [Google Scholar]
- Deis, L.; Cavagnaro, B.; Bottini, R.; Wuilloud, R.; Silva, M.F. Water deficit and exogenous ABA significantly affect grape and wine phenolic composition under in field and in-vitro conditions. Plant Growth Regul. 2011, 65, 11–21. [Google Scholar] [CrossRef]
- Van Leeuwen, C.; Tregoat, O.; Choné, X.; Bois, B.; Pernet, D.; Gaudillère, J.P. Vine water status is a key factor in grape ripening and vintage quality for red Bordeaux wine. How can it be assessed for vineyard management purposes. OENO One 2009, 43, 121–134. [Google Scholar] [CrossRef]
- Lorenz, D.H.; Eichhorn, K.W.; Bleiholder, H.; Klose, R.; Meier, U.; Weber, E. Growth Stages of the Grapevine: Phenological growth stages of the grapevine (Vitis vinifera L. ssp. vinifera)—Codes and descriptions according to the extended BBCH scale. Aust. J. Grape Wine Res. 1995, 1, 100–103. [Google Scholar] [CrossRef]
- Ferrara, G.; Mazzeo, A.; Matarrese, A.M.S.; Pacucci, C.; Punzi, R.; Faccia, M.; Trani, A.; Gambacorta, G. Application of abscisic acid (S-ABA) and sucrose to improve colour, anthocyanin content and antioxidant activity of Crimson Seedless grape berries. Aust. J. Grape Wine Res. 2015, 21, 18–29. [Google Scholar] [CrossRef]
- Di Stefano, R.; Cravero, M.C. The grape phenolic determination. Riv. Vitic. Enol. 1991, 49, 37–45. [Google Scholar]
- Dal Santo, S.; Palliotti, A.; Zenoni, S.; Tornielli, G.B.; Fasoli, M.; Paci, P.; Tombesi, S.; Frioni, T.; Bellincontro, A.; d’Onofrio, C.; et al. Distinct transcriptome responses to water limitation in isohydric and anisohydric grapevine cultivars. BMC Genom. 2016, 17, 815. [Google Scholar] [CrossRef]
- Anderson, K. Changing varietal distinctiveness of the world’s wine regions: Evidence from a new global database. J. Wine Econ. 2014, 9, 249–272. [Google Scholar] [CrossRef]
- Calò, A.; Scienza, A.; Costacurta, A. Vitigni D’Italia; Calderini Edagricole: Bologna, Italy, 2001; pp. 540–541. [Google Scholar]
- Mercenaro, L.; Nieddu, G.; Porceddu, A.; Pezzotti, M.; Camiolo, S. Sequence polymorphisms and structural variations among four grapevine (Vitis vinifera L.) cultivars representing Sardinian agriculture. Front. Plant Sci. 2017, 8, 1279. [Google Scholar] [CrossRef]
- Mercenaro, L.; Usai, G.; Fadda, C.; Nieddu, G.; Del Caro, A. Intra-varietal Agronomical Variability in Vitis vinifera L.‘Cannonau’ investigated by fluorescence, texture and colorimetric analysis. S. Afr. J. Enol. Vitic. 2016, 37, 67–78. [Google Scholar] [CrossRef]
- Castellarin, S.D.; Bucchetti, B.; Falginella, L.; Peterlunger, E. Influenza del deficit idrico sulla qualità delle uve: Aspetti fisiologici e molecolari. Italus Hortus 2011, 18, 63–79. [Google Scholar]
- Poni, S.; Bernizzoni, F.; Civardi, S. Response of “‘Sangiovese’” grapevines to partial root-zone drying: Gas-exchange, growth and grape composition. Sci. Hortic. 2007, 114, 96–103. [Google Scholar] [CrossRef]
- Chone, X.; Van Leeuwen, C.; Dubourdieu, D.; Gaudillère, J.P. Stem water potential is a sensitive indicator of grapevine water status. Ann. Bot. 2001, 87, 477–483. [Google Scholar] [CrossRef]
- Palliotti, A.; Tombesi, S.; Frioni, T.; Famiani, F.; Silvestroni, O.; Zamboni, M.; Poni, S. Morpho-structural and physiological response of container-grown ‘Sangiovese’ and Montepulciano cvv. (Vitis vinifera) to re-watering after a pre-veraison limiting water deficit. Funct. Plant Biol. 2014, 41, 634–647. [Google Scholar] [CrossRef]
- Córdoba, E.; Bouzas-Cid, Y.; Orriols-Fernández, I.; Mirás-Avalos, J.M. Effects of deficit irrigation on the performance of grapevine (Vitis vinifera L.) ‘Godello’ and ‘Treixadura’ in Ribeiro, NW Spain. Agric.Water Manag. 2015, 161, 20–30. [Google Scholar] [CrossRef]
- Deluc, L.G.; Quilici, D.R.; Decendit, A.; Grimplet, J.; Wheatley, M.D.; Schlauch, K.A.; Cramer, G.R. Water deficit alters differentially metabolic pathways affecting important flavor and quality traits in grape berries of Cabernet Sauvignon and Chardonnay. BMC Genom. 2009, 10, 212. [Google Scholar] [CrossRef]
- Salón, J.L.; Chirivella, C.; Castel, J.R. Response of Bobal to timing of deficit irrigation in Requena, Spain: Water relations, yield, and wine quality. Am. J. Enol. Vitic. 2005, 56, 1–8. [Google Scholar]
- Girona, J.; Mata, M.; Del Campo, J.; Arbonés, A.; Bartra, E.; Marsal, J. The use of midday leaf water potential for scheduling deficit irrigation in vineyards. Irrig. Sci. 2006, 24, 115–127. [Google Scholar] [CrossRef]
- Bucchetti, B.; Matthews, M.A.; Falginella, L.; Peterlunger, E.; Castellarin, S.D. Effect of water deficit on ‘Merlot’ grape tannins and anthocyanins across four seasons. Sci. Hortic. 2011, 128, 297–305. [Google Scholar] [CrossRef]
- Merli, M.C.; Gatti, M.; Galbignani, M.; Bernizzoni, F.; Magnanini, E.; Poni, S. Comparison of whole-canopy water use efficiency and vine performance of‘Sangiovese’ (Vitis vinifera L.) vines subjected to a post-veraison water deficit. Sci. Hortic. 2015, 185, 113–120. [Google Scholar] [CrossRef]
- Hochberg, U.; Degu, A.; Fait, A.; Rachmilevitch, S. Near isohydric grapevine cultivar displays higher photosynthetic efficiency and photorespiration rates under drought stress as compared with near anisohydric grapevine cultivar. Physiol. Plant 2012, 147, 443–452. [Google Scholar] [CrossRef]
- Ojeda, H.; Andary, C.; Kraeva, E.; Carbonneau, A.; Deloire, A. Influence of pre-and postveraison water deficit on synthesis and concentration of skin phenolic compounds during berry growth of Vitis vinifera Shiraz. Am. J. Enol. Vitic. 2002, 53, 261–267. [Google Scholar]
- Rossdeutsch, L.; Edwards, E.; Cookson, S.J.; Barrieu, F.; Gambetta, G.A.; Delrot, S.; Ollat, N. ABA-mediated responses to water deficit separate grapevine genotypes by their genetic background. BMC Plant Biol. 2016, 16, 91. [Google Scholar] [CrossRef]
- Balint, G.; Reynolds, A.G. Impact of exogenous abscisic acid on vine physiology and grape composition of Cabernet Sauvignon. Am. J. Enol. Vitic. 2012, 64, 74–87. [Google Scholar] [CrossRef]
- Hiratsuka, S.; Onodera, H.; Kawai, Y.; Kubo, T.; Itoh, H.; Wada, R. ABA and sugar effects on anthocyanin formation in grape berry cultured in vitro. Sci. Hortic. 2001, 90, 121–130. [Google Scholar] [CrossRef]
- Ribaut, J.M.; Pilet, P.E. Effects of water stress on growth, osmotic potential and abscisic acid content of maize roots. Physiol. Plant 1991, 81, 156–162. [Google Scholar] [CrossRef]
- Liu, F.; Jensen, C.R.; Andersen, M.N. Pod set related to photosynthetic rate and endogenous ABA in soybeans subjected to different water regimes and exogenous ABA and BA at early reproductive stages. Ann. Bot. 2004, 94, 405–411. [Google Scholar] [CrossRef]
- Gómez-del-Campo, M.; Ruiz, C.; Lissarrague, J.R. Effect of water stress on leaf area development, photosynthesis, and productivity in Chardonnay and Airén grapevines. Am. J. Enol. Vitic. 2002, 53, 138–143. [Google Scholar]
- Stevens, R.M.; Harvey, G.; Aspinall, D. Grapevine growth of shoots and fruit linearly correlate with water stress indices based on root-weighted soil matric potential. Aust. J. Grape Wine Res. 1995, 1, 58–66. [Google Scholar] [CrossRef]







| Parameter | Year | ||
|---|---|---|---|
| 2016 | 2017 | 1980–2010 | |
| Total rainfall (mm) | 497.6 | 369.4 | 485.5 |
| Rainfall January–March (mm) | 201.4 | 111.6 | 141.0 |
| Rainfall April–June (mm) | 41.0 | 48.3 | 117.7 |
| Rainfall July–August (mm) | 37.0 | 0.4 | 16.9 |
| Mean of daily min. temp. January–February (°C) | 7.4 | 6.9 | 5.0 |
| Mean of daily max. temp. April–May (°C) | 20.5 | 22.9 | 20,9 |
| Mean of daily med. temp. July–August (°C) | 23.1 | 27.2 | 24.3 |
| Mean of daily max. temp. July–August (°C) | 28.8 | 33.9 | 30.7 |
| ETO year (mm) | 1000.9 | 1296.2 | Not available |
| ETO June–Aug (mm) | 443.6 | 649.8 | Not available |
| Cultivar | Year | Treatment | Canopy Components | ||||
|---|---|---|---|---|---|---|---|
| Shoot/Vine | MLA (m2) | SLA (m2) | TLA (m2) | PW (Kg) | |||
| ‘Merlot’ | 2016 | FI | 8.00a | 2.09a | 1.81a | 3.91a | 0.82a |
| NI | 7.83a | 1.45b | 0.53a | 1.98b | 0.66b | ||
| 2017 | FI | 7.1a | 1.75a | 1.09a | 2.84a | 0.65a | |
| NI | 7.8b | 1.57a | 0.60a | 2.21a | 0.55b | ||
| ‘Sangiovese’ | 2016 | FI | 8.91a | 2.99a | 2.48a | 5.84a | 1.01a |
| NI | 9.08a | 1.70b | 0.86b | 2.56b | 0.65b | ||
| 2017 | FI | 7.20a | 1.05a | 0.74a | 1.79a | 0.64a | |
| NI | 6.35a | 0.73b | 0.56a | 1.29a | 0.55a | ||
| ‘Cannonau’ | 2016 | FI | 12.91a | 3.28a | 3.56b | 6.85a | 1.10a |
| NI | 12.83a | 2.41b | 0.91a | 3.33b | 0.84b | ||
| 2017 | FI | 11.64a | 1.75a | 1.78a | 3.54a | 0.66a | |
| NI | 11.42a | 1.78a | 1.64a | 3.63a | 0.64a | ||
| Cultivar | Seasons | Treatment | Yield (kg Vine−1) | Cluster Vines−1 (n°) | Cluster Weight (g) | Berry Weight (g) |
|---|---|---|---|---|---|---|
| ‘Merlot’ | 2016 | FIA | 2.42 a | 14.50 | 167.56 a | 1.88 a |
| FIC | 1.96 b | 14.38 | 137.45 b | 1.78 a | ||
| NIA | 1.85 b | 16.00 | 116.12 bc | 1.48 b | ||
| NIC | 1.57 b | 15.38 | 99.34 c | 1.20 b | ||
| P-value (T) | 0.002 | ns | 0.0001 | 0.012 | ||
| 2017 | FIA | 2.00 a | 13.6 | 151.9 a | 1.57 a | |
| FIC | 2.23 a | 14.00 | 157.74 a | 1.50 a | ||
| NIA | 1.20 b | 12.5 | 105.13 b | 1.00 b | ||
| NIC | 1.10 b | 11.5 | 105.92 b | 0.90 b | ||
| P-value (T) | 0.000 | ns | 0.000 | 0.03 | ||
| ‘Sangiovese’ | 2016 | FIA | 4.11a | 9.5 | 328.33 a | 2.44 |
| FIC | 2.84ab | 9.65 | 234.23 ab | 2.22 | ||
| NIA | 3.16 a | 8.66 | 281.68 a | 2.26 | ||
| NIC | 2.16 b | 8.85 | 216.10 b | 1.85 | ||
| P-value (T) | 0.016 | ns | 0.002 | ns | ||
| 2017 | FIA | 3.21 a | 13.93 | 239.67 | 2.32 a | |
| FIC | 2.74 a | 12.33 | 231.00 | 2.12 a | ||
| NIA | 1.92 b | 10.26 | 211.20 | 1.46 b | ||
| NIC | 1.96 b | 11.13 | 189 | 1.27 b | ||
| P-value (T) | 0.003 | ns | ns | 0.006 | ||
| ‘Cannonau’ | 2016 | FIA | 1.41 | 10.5 bc | 136.40 a | 2.81 a |
| FIC | 1.45 | 9.38 c | 166.91 a | 2.82 a | ||
| NIA | 1.59 | 12.92 a | 133.85 b | 2.49 ab | ||
| NIC | 1.61 | 12.19 ab | 129.87 b | 2.27 b | ||
| P-value (T) | ns | 0.015 | 0.028 | 0.025 | ||
| 2017 | FIA | 2.59 a | 16.10 ab | 218.78 a | 2.65 a | |
| FIC | 2.97 a | 18.71 a | 162.70 ab | 2.61 a | ||
| NIA | 1.53 b | 10.80 c | 160.31 ab | 2.0 b | ||
| NIC | 1.88 b | 12.64 bc | 148.86 b | 1.80 b | ||
| P-value (T) | 0.002 | 0.02 | 0.01 | 0.02 |
© 2020 by the authors. Licensee MDPI, Basel, Switzerland. This article is an open access article distributed under the terms and conditions of the Creative Commons Attribution (CC BY) license (http://creativecommons.org/licenses/by/4.0/).
Share and Cite
Cocco, M.; Mercenaro, L.; Lo Cascio, M.; Nieddu, G. Effects of Vine Water Status and Exogenous Abscisic Acid on Berry Composition of Three Red Wine Grapes Grown under Mediterranean Climate. Horticulturae 2020, 6, 12. https://doi.org/10.3390/horticulturae6010012
Cocco M, Mercenaro L, Lo Cascio M, Nieddu G. Effects of Vine Water Status and Exogenous Abscisic Acid on Berry Composition of Three Red Wine Grapes Grown under Mediterranean Climate. Horticulturae. 2020; 6(1):12. https://doi.org/10.3390/horticulturae6010012
Chicago/Turabian StyleCocco, Massimiliano, Luca Mercenaro, Mauro Lo Cascio, and Giovanni Nieddu. 2020. "Effects of Vine Water Status and Exogenous Abscisic Acid on Berry Composition of Three Red Wine Grapes Grown under Mediterranean Climate" Horticulturae 6, no. 1: 12. https://doi.org/10.3390/horticulturae6010012
APA StyleCocco, M., Mercenaro, L., Lo Cascio, M., & Nieddu, G. (2020). Effects of Vine Water Status and Exogenous Abscisic Acid on Berry Composition of Three Red Wine Grapes Grown under Mediterranean Climate. Horticulturae, 6(1), 12. https://doi.org/10.3390/horticulturae6010012

