Antioxidant Chemical Treatment Affects Physiology and Quality of Minimally-processed Escarole
Abstract
1. Introduction
2. Materials and Methods
2.1. Material Preparation and Experimental Setup
2.2. Analysis
2.2.1. Browning Index, Enzymes, and Total Phenolic Compounds
2.2.2. Ascorbic Acid, Total Chlorophyll, and Total Carotenoids Content
2.2.3. Gas Concentration and Weight Loss
2.2.4. Microbiological Analyses
2.3. Statistical Analyses
3. Results and Discussion
3.1. Effect of Antioxidant Treatment on Browning Index
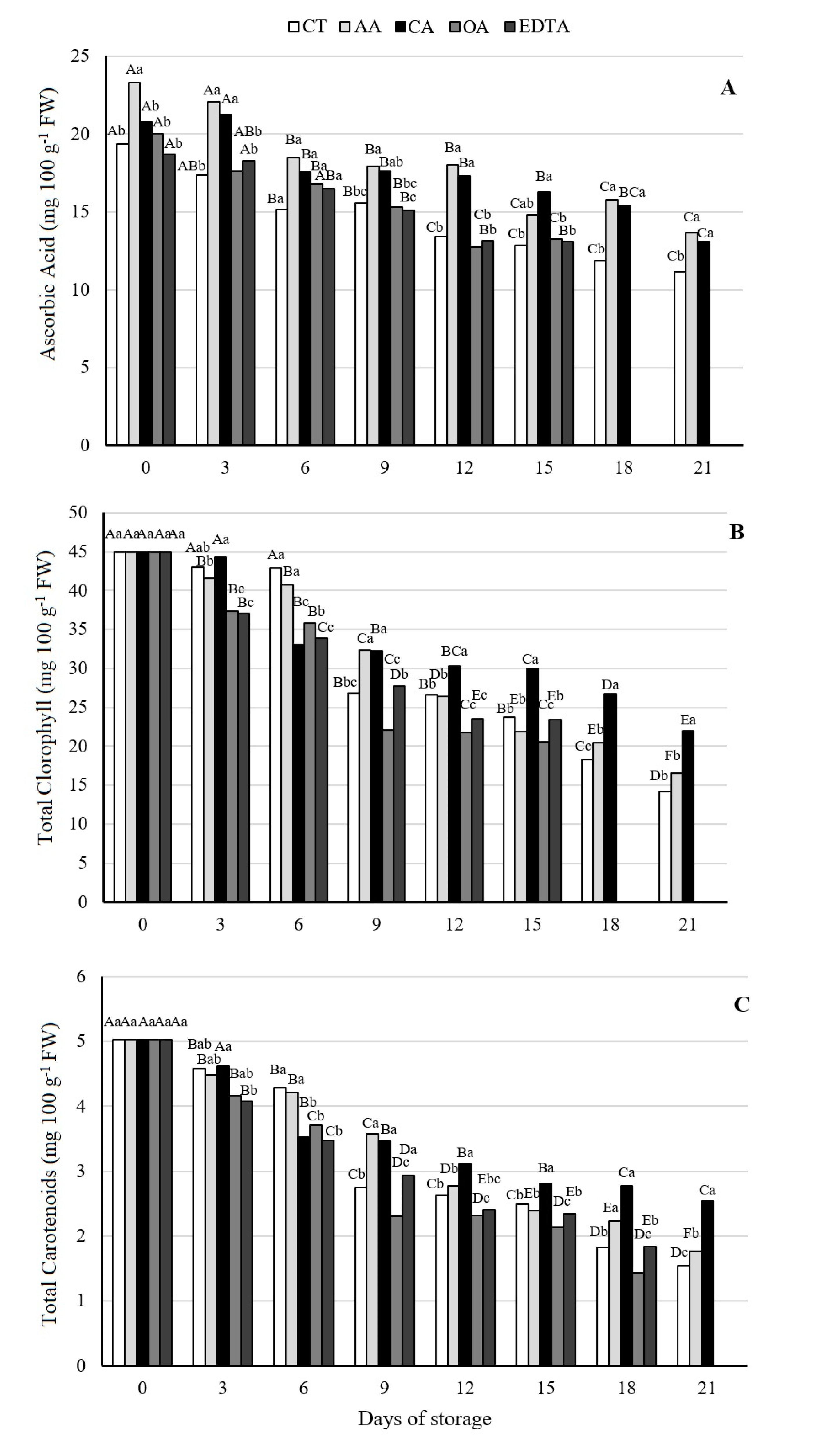
3.2. The Conservation of Endogenous Ascorbic Acid Prevents Pigments Loss
3.3. Influence of Treatments on Escarole Metabolism
3.4. Effect of Treatments on Microbiological Growth
4. Conclusions
Author Contributions
Funding
Conflicts of Interest
References
- Goyeneche, R.; Agueero, M.V.; Roura, S.; Di Scala, K. Application of citric acid and mild heat shock to minimally-processed sliced radish: Color evaluation. Postharvest Biol. Technol. 2014, 93, 106–113. [Google Scholar] [CrossRef]
- Manolopoulou, E.; Varzakas, T. Effect of storage conditions on the sensory quality, colour and texture of fresh-cut minimally-processed cabbage with the addition of ascorbic acid, citric acid and calcium chloride. Food Nutr. Sci. 2011, 2, 956–963. [Google Scholar] [CrossRef]
- Hernández, A.E.; Márquez Cardozo, C.J.; Restrepo Flores, C.E.; Cano Salazar, J.A.; Patiño Gómez, J.H. Aplicación de tratamiento térmico, recubrimiento comestible y baño químico como tratamientos poscosecha para la conservación de hortalizas mínimamente procesadas. Acta Agron. 2014, 63, 1–10. [Google Scholar] [CrossRef]
- Kluge, R.A.; Geerdink, G.M.; Tezotto-Uliana, J.V.; Danelon Guassi, S.; Zorzeto, T.Q.; Cerqueira Sasaki, F.F.; Mello, S.D.C. Qualidade de pimentões amarelos minimamente processados tratados com antioxidantes. Semina Ciênc. Agrar. 2014, 25, 801–811. [Google Scholar] [CrossRef]
- Ihl, M.; Aravena, L.; Scheuermann, E.; Uquiche, E.; Bifani, V. Effect of immersion solutions on shelf-life of minimally-processed lettuce. LWT—Food Sci. Technol. 2003, 36, 591–599. [Google Scholar] [CrossRef]
- Akbas, M.Y.; Olmez, H. Effectiveness of organic acid, ozonated water and chlorine dippings on microbial reduction and storage quality of fresh-cut iceberg lettuce. J. Sci. Food Agric. 2007, 87, 2609–2616. [Google Scholar] [CrossRef]
- Oms-Oliu, G.; Rojas-Graue, M.A.; Gonzalez, L.A.; Varela, P.; Solivafortuny, R.; Hernando, M.I.H.; Munuera, I.P. Recent approaches using chemical treatments to preserve quality of fresh-cut fruit: A review. Postharvest Biol. Technol. 2010, 57, 139–148. [Google Scholar] [CrossRef]
- Suttirak, W.; Manurakchinakorn, S. Potential application of ascorbic acid, citric acid and oxalic acid for browning inhibition in fresh-cut fruits and vegetables. Walailak J. Sci. Technol. 2010, 7, 5–14. [Google Scholar]
- Cefola, M.; Pace, B. Application of oxalic acid to preserve the overall quality of rocket and baby spinach leaves during storage. J. Food Process. Preserv. 2015, 39, 2523–2532. [Google Scholar] [CrossRef]
- Altunkaya, A.; Gökmen, V. Effect of various inhibitors on enzymatic browning, antioxidant activity and total phenol content of fresh lettuce (Lactuca sativa). Food Chem. 2008, 107, 1173–1179. [Google Scholar] [CrossRef]
- Llorach, R.; Martinez-Sanchez, A.; Tomas-Barberan, F.A.; Gil, M.I.; Ferreres, F. Characterization of polyphenols and antioxidant properties of five lettuce varieties and escarole. Food Chem. 2008, 108, 1028–1038. [Google Scholar] [CrossRef] [PubMed]
- Aherne, S.A.; O’Brien, N.M. Dietary flavonols: Chemistry, food content, and metabolism. Nutrition 2002, 18, 75–81. [Google Scholar] [CrossRef]
- Tiveron, A.P.; Melo, P.S.; Bergamaschi, K.B.; Vieira, T.M.F.S.; Regitano-D’Arce, M.A.B.; Alencar, S.M. Antioxidant activity of Brazilian vegetables and its relation with phenolic composition. Int. J. Mol. Sci. 2012, 13, 8943–8957. [Google Scholar] [CrossRef] [PubMed]
- Mascherpa, D.; Carazzone, C.; Marrubini, G.; Gazzani, G.; Papetti, A. Identification of phenolic constituents in Cichorium endivia Var. crispum and Var. latifolium salads by high-performance liquid chromatography with diode array detection and electrospray ionization tandem mass spectrometry. J. Agric. Food Chem. 2012, 60, 12142–12150. [Google Scholar] [CrossRef]
- Azevedo-Meleiro, C.H.; Rodriguez-Amaya, D.B. Carotenoids of endive and New Zealand spinach as affected by maturity, season and minimal processing. J. Food Compos. Anal. 2005, 18, 845–855. [Google Scholar] [CrossRef]
- Soares, C.D.F.; de luca Sarantópoulos, C.I.G.; Kluge, R.A. Passive modified atmosphere affects the quality of minimally-processed escarole. J. Food Process. Preserv. 2018, 42, e13724. [Google Scholar] [CrossRef]
- Evangelista, R.M.; Vieites, R.L.; Castro, P.S.; Rall, V.L. Qualidade de couve-chinesa minimamente processada e tratada com diferentes produtos. Ciênc. Tecnol. Aliment. 2009, 29, 324–332. [Google Scholar] [CrossRef][Green Version]
- Pen, L.T.; Jiang, Y.M. Effects of chitosan coating on shelf life and quality of fresh-cut Chinese water chestnut. LWT—Food Sci. Technol. 2003, 36, 359–364. [Google Scholar] [CrossRef]
- Zhan, L.J.; Fontana, E.; Tibaldi, G.; Nicola, S. Qualitative and physiological response of minimally-processed garden cress (Lepidium sativum L.) to harvest handling and storage conditions. J. Food Agric. Environ. 2009, 7, 43–50. [Google Scholar]
- Degl’innocenti, E.; Guidi, L.; Pardossi, A.; Tognoni, F. Biochemical study of leaf browning in minimally-processed leaves of lettuce (Lactuca sativa L. var. acephala). J. Agric. Food Chem. 2005, 53, 9980–9984. [Google Scholar] [CrossRef]
- Bradford, M. A rapid and sensitive method for the quantitation of microgram quantities of protein utilizing the principle of protein-dye binding. Anal. Biochem. 1976, 72, 248–254. [Google Scholar] [CrossRef]
- Singleton, V.L.; Rossi, J.A. Colorimetry of total phenolics with phosphomolybdic phosphotungstic acid reagents. Am. J. Enol. Viticult. 1965, 16, 144–158. [Google Scholar]
- Carvalho, C.R.L.; Mantovani, D.M.B.; Carvalho, P.R.N.; Moraes, R.M. Análises Químicas: Manual Técnico, 1st ed.; ITAL: Campinas, Brazil, 1990; pp. 80–92. [Google Scholar]
- Lichtenthaler, H.K. Chlorophylls and carotenoids: Pigments of photosynthetic biomembranes. Methods Enzymol. 1987, 148, 350–382. [Google Scholar] [CrossRef]
- ANVISA—National Health Surveillance Agency. Resolution 12/01, Technical Regulation on Microbiological Standards for Food; ANVISA: Brasilia, Brazil, 2011. [Google Scholar]
- Cousin, M.A.; Jay, J.M.; Vasavada, P.C. Psychrotrophic microrganisms. In Compendium of Methods for the Microbiological Examination of Foods, 4th ed.; Downes, F.P., Ito, K., Eds.; American Public Health Association: Washington, DC, USA, 2001; Volume 1, pp. 159–166. [Google Scholar]
- SAS Institute Inc. SAS/QC® 9.3 User’s Guide; SAS Institute Inc.: Cary, NC, USA, 2011. [Google Scholar]
- López-Gálvez, G.; Saltveit, M.; Cantwell, M. The visual quality of minimally-processed lettuces stored in air or controlled atmosphere with emphasis on romaine and iceberg types. Postharvest Biol. Technol. 1996, 8, 179–190. [Google Scholar] [CrossRef]
- Ferrante, A.; Maggiore, T. Chlorophyll a fluorescence measurements to evaluate storage time and temperature of Valeria-nella leafy vegetables. Postharvest Biol. Technol. 2007, 45, 73–80. [Google Scholar] [CrossRef]
- Boo, H.O.; Heo, B.G.; Gorinstein, S.; Chon, S.U. Positive effects of temperature and growth conditions on enzymatic and antioxidant status in lettuce plants. Plant Sci. 2011, 181, 479–484. [Google Scholar] [CrossRef]
- Zhang, L.K.; Lu, Z.X.; Lu, F.X.; Bie, X.M. Effect of gamma irradiation on qualitymaintaining of fresh-cut lettuce. Food Control 2006, 17, 225–228. [Google Scholar] [CrossRef]
- Martínez-Sánchez, A.; Tudela, J.A.; Luna, C.; Allende, A.; Gil, M.I. Low oxygen levels and light exposure affect quality of fresh-cut Romaine lettuce. Postharvest Biol. Technol. 2011, 59, 34–42. [Google Scholar] [CrossRef]
- Altunkaya, A.; Gökmen, V. Effect of various anti-browning agents on phenolic compounds profile of Fresh lettuce (L. sativa). Food Chem. 2009, 117, 122–126. [Google Scholar] [CrossRef]
- Zhan, L.; Yu, L.; Jingiang, H.; Pang, L.; Huiping, F. Browning inhibition and quality preservation of fresh-cut romaine lettuce exposed to high intensity light. Innov. Food Sci. Emerg. Technol. 2012, 14, 70–76. [Google Scholar] [CrossRef]
- Zawistowski, J.; Biliaderis, C.G.; Eskin, N.A.M. Polyphenoloxidases. In Oxidative Enzymes in Foods, 1st ed.; Robinson, D.S., Eskin, N.A.M., Eds.; Elsevier: London, UK, 1991; pp. 217–273. [Google Scholar]
- Altunkaya, A.; Gökmen, V. Purification and characterization of polyphenoloxidase, peroxidase and lipoxygenase from freshly cut lettuce (L. sativa). Food Technol. Biotechnol. 2011, 49, 249–256. [Google Scholar]
- Richard-Forget, F.C.; Gauillard, F.A. Oxidation of chlorogenic acid, catechins, and 4-methylcatechol in model solutions by combinations of pear (Pyrus communis Cv. Williams) polyphenoloxidase and peroxidase: A possible involvement of peroxidase in enzymatic browning. J. Agric. Food Chem. 1997, 45, 2472–2476. [Google Scholar] [CrossRef]
- Robinson, D.S. Peroxidases and their significance in fruits and vegetables. In Food Enzymology, 1st ed.; Fox, P.F., Ed.; Elsevier: London, UK, 1991; pp. 399–426. [Google Scholar]
- Landi, M.; Degl’innocenti, E.; Guglielminetti, L.; Guidi, L. Role of ascorbic acid in the inhibition of polyphenoloxidase and the prevention of browning in different browning-sensitive Lactuca sativa var. capitata (L.) and Eruca sativa (Mill.) stored as fresh-cut produce. J. Sci. Food Agric. 2013, 93, 1814–1819. [Google Scholar] [CrossRef] [PubMed]
- Nicolas, J.J.; Richard-Forget, F.C.; Goupy, P.M.; Amiot, M.J.; Aubert, S.Y. Enzymatic browning reactions in apple and apple products. Crit. Rev. Food Sci. Nutr. 1994, 34, 109–157. [Google Scholar] [CrossRef] [PubMed]
- Son, S.M.; Moon, K.D.; Lee, C.Y. Kinetic study of oxalic acid inhibition on enzymatic browning. J. Agric. Food Chem. 2000, 48, 2071–2074. [Google Scholar] [CrossRef] [PubMed]
- Jiang, Y.; Miles, P.W. Generation of H2O2 during enzymic oxidation of catechin. Phytochemistry 1993, 33, 29–34. [Google Scholar] [CrossRef]
- Subramanian, N.; Venkatesh, P.; Ganguli, S.; Sinkar, V.P. Role of polyphenoloxidase and peroxidase in the generation of black tea thea flavins. J. Agric. Food Chem. 1999, 47, 2571–2578. [Google Scholar] [CrossRef]
- Kayashima, T.; Katayama, T. Oxalic acid is available as a natural antioxidant in some systems. Biochim. Biophys. Acta 2002, 1573, 1–3. [Google Scholar] [CrossRef]
- Cantos, E.; Espín, J.C.; Tomás-Barberá, F.A. Effect of wounding on phenolic enzymes in six minimally-processed lettuce cultivars upon storage. J. Agric. Food Chem. 2001, 49, 322–330. [Google Scholar] [CrossRef]
- Degl’innocenti, E.; Pardossi, A.; Tognoni, F.; Guidi, L. Physiological basis of sensitivity to enzymatic browning in ‘lettuce’, ‘escarole’ and ‘rocket salad’ when stored as fresh-cut products. Food Chem. 2007, 104, 209–215. [Google Scholar] [CrossRef]
- Bottino, A.; Degl’innocenti, E.; Guidi, L.; Graziani, G.; Fogliano, V. Bioactive compounds during storage of fresh-cut spinach: The role of endogenous ascorbic acid in the improvement of product quality. J. Agric. Food Chem. 2009, 57, 2925–2931. [Google Scholar] [CrossRef] [PubMed]
- Sapers, G.M.; Hicks, K.B.; Miller, R.L. Antibrowning agents. In Food Additives, 2nd ed.; Branen, A.L., Davidson, P.M., Salminen, S., Thorngate, J.H., III, Eds.; CRC Press: New York, NY, USA, 2001; pp. 545–546. [Google Scholar]
- Heimdal, H.; Kuhn, B.F.; Poll, L.; Larsen, L.M. Biochemical changes and sensory quality of shredded and MA-packaged Iceberg lettuce. J. Food Sci. 1995, 60, 1265–1276. [Google Scholar] [CrossRef]
- Reyes, L.F.; Villarreal, J.E.; Cisneros-Zevallos, L. The increase in antioxidant capacity after wounding depends on the type of fruit or vegetable tissue. Food Chem. 2007, 101, 1254–1262. [Google Scholar] [CrossRef]
- Ferrante, A.; Martinetti, L.; Maggiore, T. Biochemical changes in cut vs. intact lamb’s lettuce (Valerianella olitoria) leaves during storage. Int. J. Food Sci. Technol. 2009, 44, 1050–1056. [Google Scholar] [CrossRef]
- Thompson, J.E.; Legge, R.L.; Barber, R.F. Tansley review 8: The role of free-radicals in senescence and wounding. New Phytol. 1987, 105, 317–344. [Google Scholar] [CrossRef]
- Ansorena, R.M.; Moreira, R.M.; Roura, S.I. Combined effect of ultrasound, mild heat shock and citric acid to retain greenness, nutritional and microbiological quality of minimally-processed broccoli (Brassica oleracea L.): An optimization study. Postharvest Biol. Technol. 2014, 91, 1–13. [Google Scholar] [CrossRef]
- Azeredo, H.M.C.; Brito, E.S.; Garruti, D.S. Alterações químicas em alimentos durante a estocagem. In Fundamentos de Estabilidade de Alimentos, 2nd ed.; Azeredo, H.M.C., Ed.; EMBRAPA: Brasília, Brazil, 2012; Volume 1, pp. 39–75. [Google Scholar]
- Chaiyasit, W.; Elias, R.J.; McClements, D.J.; Decker, E.A. Role of physical structures in bulk oils on lipid oxidation. Crit. Rev. Food Sci. Nutr. 2007, 47, 299–317. [Google Scholar] [CrossRef]
- Kato-Noguchi, H.; Watada, A.E. Citric acid reduces the respiration of fresh-cut carrots. HortScience 1997, 32, 136. [Google Scholar] [CrossRef]
- do Nascimento Nunes, M.C. Correlations between subjective quality and physicochemical attributes of fresh fruits and vegetables. Postharvest Biol. Technol. 2015, 107, 43–54. [Google Scholar] [CrossRef]
- Proulx, E.; Yagiz, Y.; Nunes, M.C.N.; Emond, J.P. Quality attributes limiting snap bean (Phaseolus vulgaris L.) postharvest life at chilling and non-chilling temperatures. HortScience 2010, 45, 1238–1249. [Google Scholar] [CrossRef]





| Analyses | r |
|---|---|
| Ascorbic acid content vs. total chlorophyll | 0.872 |
| Ascorbic acid content vs. total carotenoids | 0.866 |
| Weight loss vs. Browning index | 0.772 |
| Weight loss vs. ascorbic acid content | −0.800 |
| Weight loss vs. total chlorophyll | −0.888 |
| Weight loss vs. carotenoids | −0.887 |
| Ascorbic acid content vs. psychrotrophic bacteria growth | −0.821 |
© 2019 by the authors. Licensee MDPI, Basel, Switzerland. This article is an open access article distributed under the terms and conditions of the Creative Commons Attribution (CC BY) license (http://creativecommons.org/licenses/by/4.0/).
Share and Cite
Soares, C.D.F.; Martin, J.G.P.; Berno, N.D.; Kluge, R.A. Antioxidant Chemical Treatment Affects Physiology and Quality of Minimally-processed Escarole. Horticulturae 2019, 5, 75. https://doi.org/10.3390/horticulturae5040075
Soares CDF, Martin JGP, Berno ND, Kluge RA. Antioxidant Chemical Treatment Affects Physiology and Quality of Minimally-processed Escarole. Horticulturae. 2019; 5(4):75. https://doi.org/10.3390/horticulturae5040075
Chicago/Turabian StyleSoares, Carlos Dornelles Ferreira, José Guilherme Prado Martin, Natalia Dallocca Berno, and Ricardo Alfredo Kluge. 2019. "Antioxidant Chemical Treatment Affects Physiology and Quality of Minimally-processed Escarole" Horticulturae 5, no. 4: 75. https://doi.org/10.3390/horticulturae5040075
APA StyleSoares, C. D. F., Martin, J. G. P., Berno, N. D., & Kluge, R. A. (2019). Antioxidant Chemical Treatment Affects Physiology and Quality of Minimally-processed Escarole. Horticulturae, 5(4), 75. https://doi.org/10.3390/horticulturae5040075

