Temperature or Ethylene Regulate Browning in Lotus Root by Modulating Polyphenols and Starch Metabolism
Abstract
1. Introduction
2. Materials and Methods
2.1. Materials and Treatment
2.2. Color, Browning Degree, Water Content and Total Soluble Solids (TSS)
2.3. Soluble Sugar, Starch, Soluble Protein, and Vitamin C (Vc)
2.4. Total Phenolics Content (TPC), Total Flavonoid Content (TFC), and Monomeric Phenol Content
2.5. DPPH Free Radical Scavenging Rate and ABTS Radical Scavenging Ability
2.6. Activity of PAL
2.7. Quantitative Real-Time PCR (qRT-PCR) Analysis
2.8. Statistical Analysis
3. Results
3.1. Effects of Temperature or ET on the Browning of Lotus Root During Storage
3.2. Effects of Temperature or ET on the Nutrient Composition of Lotus Root During Storage
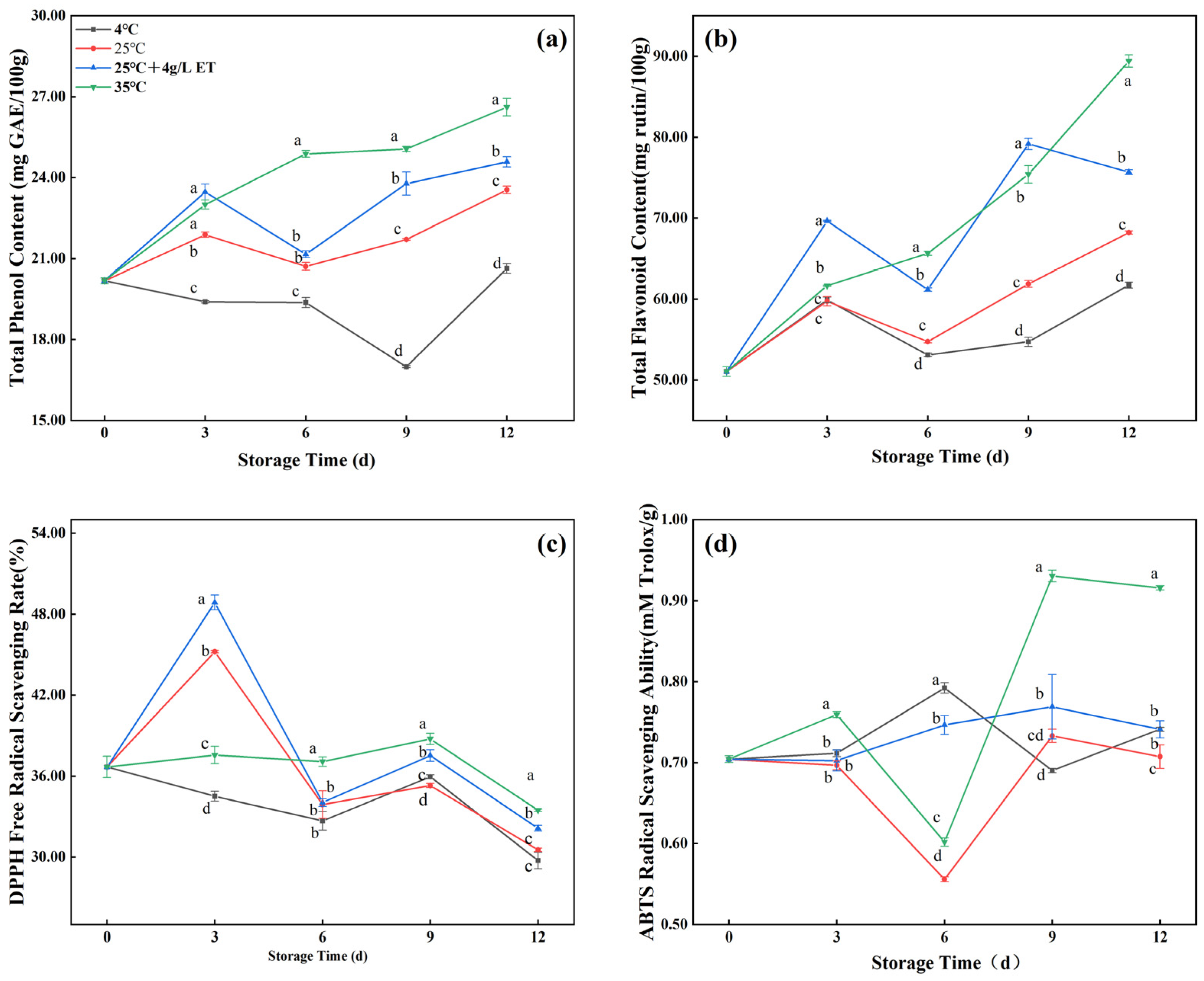
3.3. Effects of Temperature or ET on the Polyphenols and Antioxidant Capacity of Lotus Root During Storage
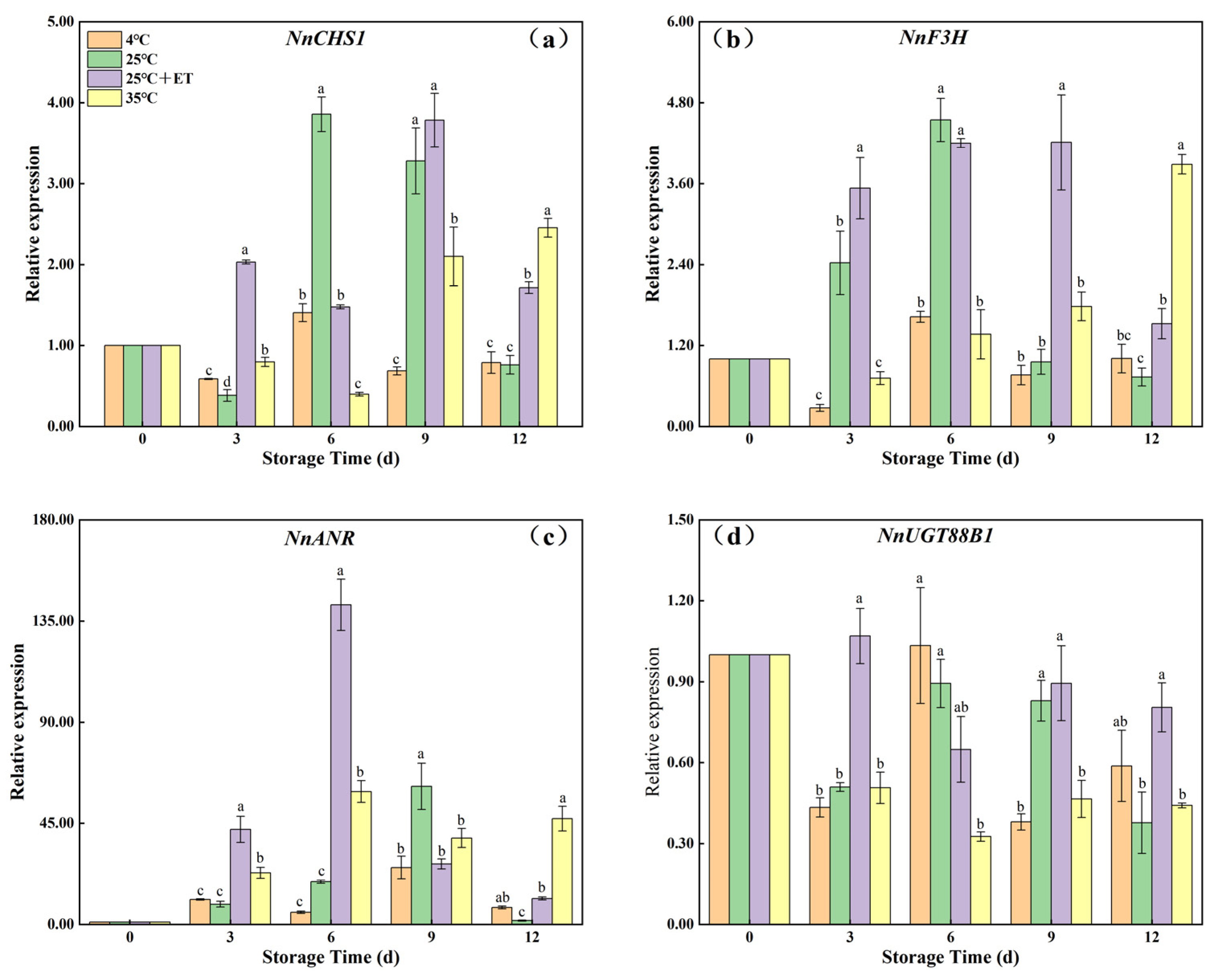
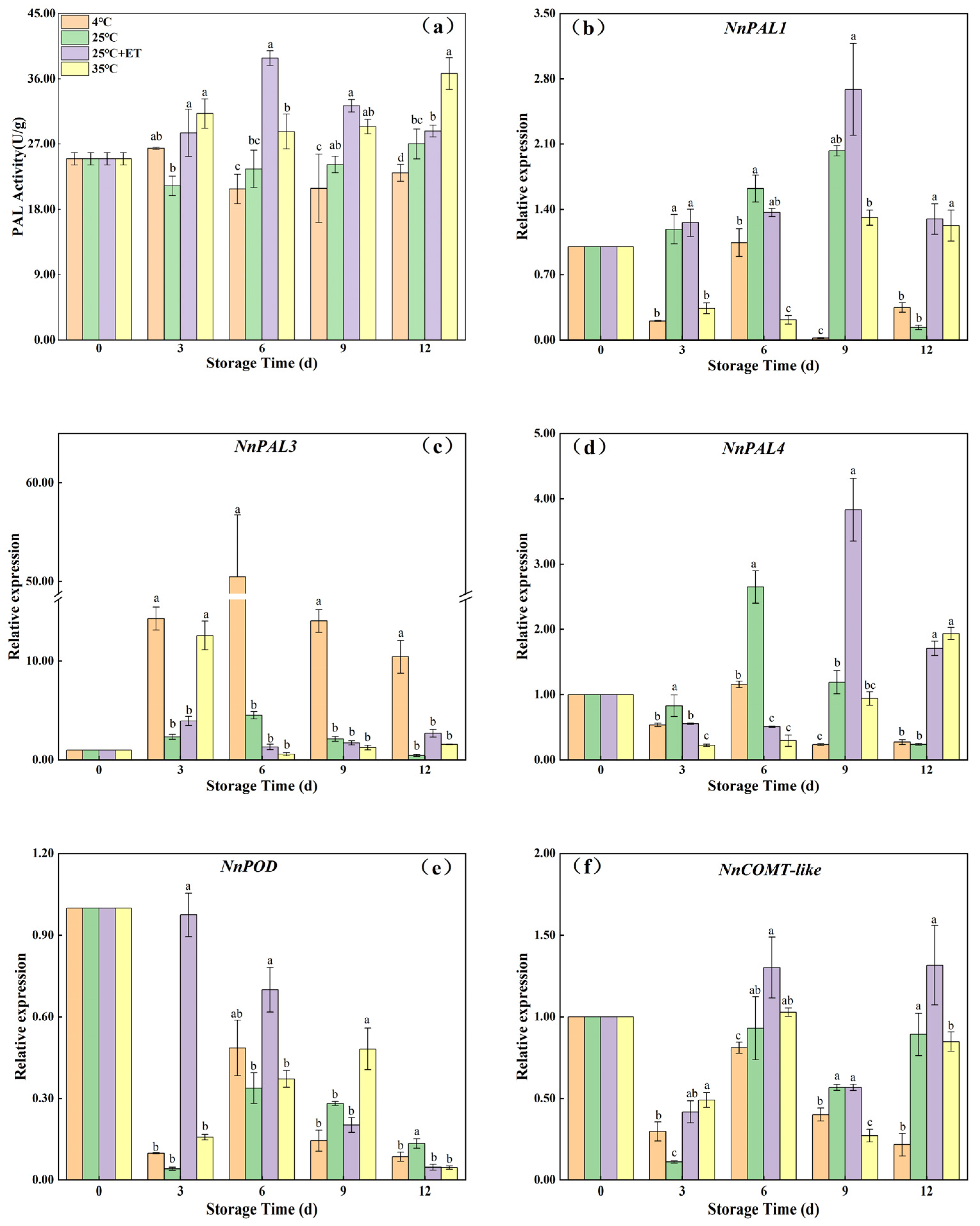
3.4. Effects of Temperature or ET on the Phenylpropanoid Pathway During Lotus Root Storage
3.5. Effects of Temperature or ET on the Flavonoid Metabolism During Storage
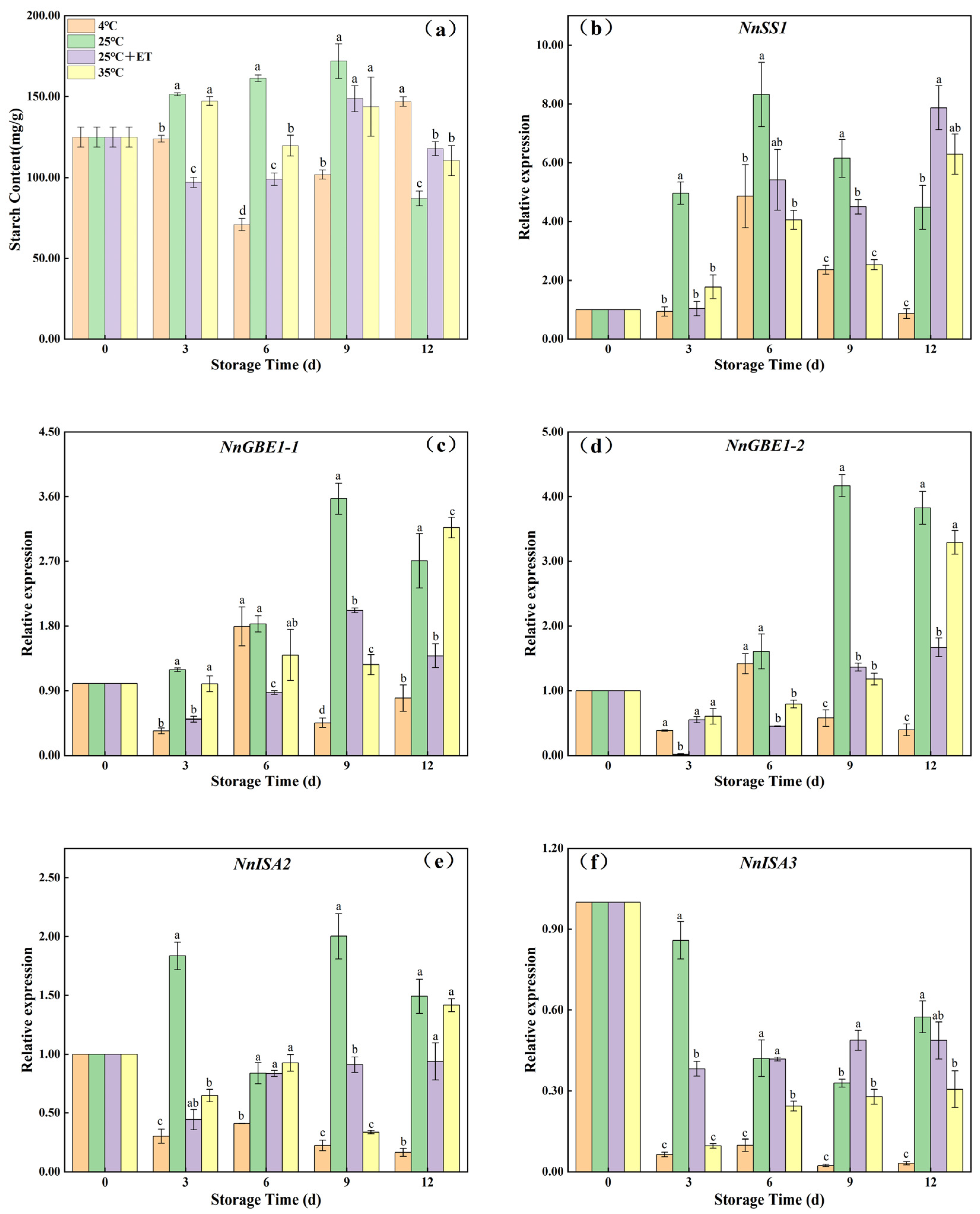
3.6. Effects of Temperature or ET on the Starch Metabolism of Lotus Root During Storage
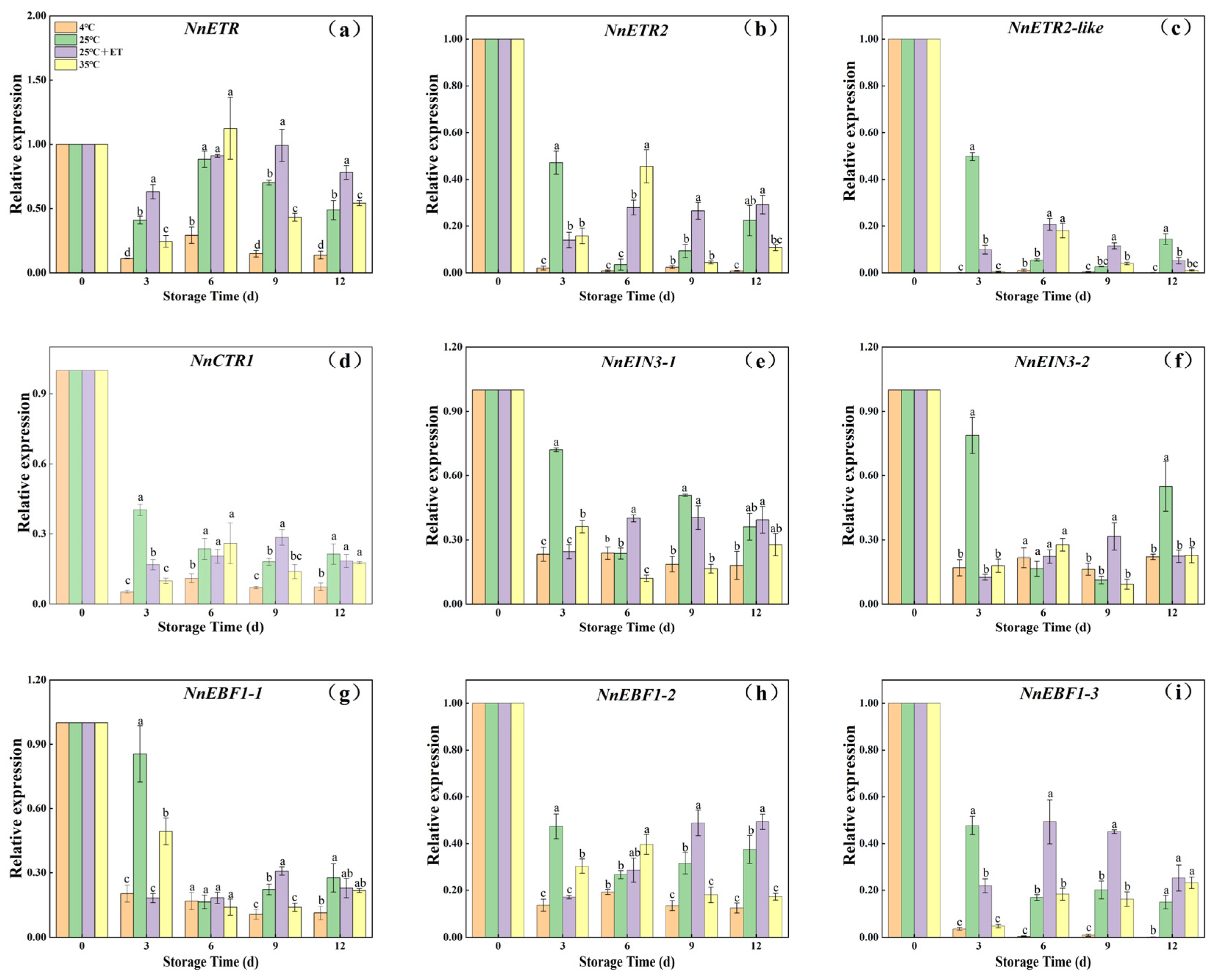
3.7. Effects of Temperature or ET on the Ethylene Signal Transduction of Lotus Root During Storage
3.8. Correlation Analysis of TPC, TFC, Antioxidant Capacity, Polyphenols Metabolism and Starch Metabolism in Lotus Root During Storage
4. Discussion
4.1. Low Temperature (4 °C) Optimally Preserves Lotus Root Quality by Delaying Browning and Regulating Starch Metabolism
4.2. High Temperature (35 °C) Enhances Phenolic and Flavonoid Accumulation by Activating the Phenylpropanoid/Flavonoid Pathway
4.3. Ethylene Treatment Modulates Bioactive Compound Accumulation, Nutrient Retention, and Starch Metabolism in Lotus Root
4.4. Ethylene Regulates Lotus Root Metabolism Through a Conserved Signal Transduction Cascade
5. Conclusions
Supplementary Materials
Author Contributions
Funding
Data Availability Statement
Conflicts of Interest
References
- Ma, T.; Zhou, Y.; Sheng, P.; Jiang, H. Archaeobotanical evidence reveals the early history of sacred lotus (Nelumbo nucifera Gaertn.) use in China. Genet. Resour. Crop Evol. 2023, 70, 2055–2062. [Google Scholar] [CrossRef]
- Działo, M.; Mierziak, J.; Korzun, U.; Preisner, M.; Szopa, J.; Kulma, A. The potential of plant phenolics in prevention and therapy of skin disorders. Int. J. Mol. Sci. 2016, 17, 160. [Google Scholar] [CrossRef]
- Dong, N.; Lin, H. Contribution of phenylpropanoid metabolism to plant development and plant-environment interactions. J. Integr. Plant Biol. 2021, 63, 180–209. [Google Scholar] [CrossRef]
- Gong, X.; Liu, R.; Han, Y.; Niu, B.; Wu, W.; Chen, H.; Fang, X.; Mu, H.; Gao, H.; Chen, H. Examining starch metabolism in lotus roots (Nelumbo nucifera Gaertn.) during post-harvest storage at different temperatures. Food Chem. 2024, 452, 139494. [Google Scholar] [CrossRef]
- Ali, S.; Khan, A.S.; Nawaz, A.; Naz, S.; Ejaz, S.; Ullah, S. Glutathione application delays surface browning of fresh-cut lotus (Nelumbo nucifera Gaertn.) root slices during low temperature storage. Postharvest Biol. Technol. 2023, 200, 112311. [Google Scholar] [CrossRef]
- Jia, S.; Jiang, S.; Chen, Y.; Wei, Y.; Shao, X. Comparison of inhibitory effects of cinnamic acid, β-cyclodextrin, L-cysteine, and ascorbic acid on soluble and membrane-bound polyphenol oxidase in peach fruit. Foods 2023, 12, 167. [Google Scholar] [CrossRef]
- Toivonen, P.M.A.; Brummell, D.A. Biochemical bases of appearance and texture changes in fresh-cut fruit and vegetables. Postharvest Biol. Technol. 2008, 48, 1–14. [Google Scholar] [CrossRef]
- Ma, Y.; Yang, M.; Wang, J.; Jiang, C.; Wang, Q. Application of exogenous ethylene inhibits postharvest peel browning of ‘Huangguan’ pear. Front. Plant Sci. 2017, 7, 2029. [Google Scholar] [CrossRef]
- Min, T.; Lu, K.; Chen, J.; Niu, L.; Lin, Q.; Yi, Y.; Hou, W.; Ai, Y.; Wang, H. Biochemical mechanism of fresh-cut lotus (Nelumbo nucifera Gaertn.) root with exogenous melatonin treatment by multiomics analysis. Foods 2023, 12, 44. [Google Scholar] [CrossRef] [PubMed]
- Wang, H.; Chen, J.; Yi, Y.; Wang, L.; Hou, W.; Ai, Y.; Wang, H.; Min, T. Regulation and mechanism of ethylene treatment on storage quality of fresh-cut lotus (Nelumbo nucifera Gaertn.) root slices. Sci. Hortic. 2023, 313, 111900. [Google Scholar] [CrossRef]
- Li, X.; Li, B.; Li, M.; Fu, X.; Zhao, X.; Min, D.; Li, F.; Zhang, X. Ethylene pretreatment induces phenolic biosynthesis of fresh-cut pitaya fruit by regulating ethylene signaling pathway. Postharvest Biol. Technol. 2022, 192, 112028. [Google Scholar] [CrossRef]
- Watanabe, H.; Honma, K.; Adachi, Y.; Fukuda, A. Effects of combinational treatment with ethephon and gibberellic acid on rice seedling growth and carbohydrate mobilization in seeds under flooded conditions. Plant Prod. Sci. 2018, 21, 380–386. [Google Scholar] [CrossRef]
- Sun, M.; Tuan, P.A.; Izydorczyk, M.S.; Ayele, B.T. Ethylene regulates post-germination seedling growth in wheat through spatial and temporal modulation of ABA/GA balance. J. Exp. Bot. 2020, 71, 1985–2004. [Google Scholar] [CrossRef]
- Min, T.; Xie, J.; Zheng, M.; Yi, Y.; Hou, W.; Wang, L.; Ai, Y.; Wang, H. The effect of different temperatures on browning incidence and phenol compound metabolism in fresh-cut lotus (Nelumbo nucifera G.) root. Postharvest Biol. Technol. 2017, 123, 69–76. [Google Scholar] [CrossRef]
- Dong, W.; Liu, X.; Yi, Y.; Wang, L.; Hou, W.; Ai, Y.; Wang, H.; Min, T. Evaluation of pre-harvest nutrient composition and functional active substances in various lotus roots. Foods 2024, 13, 2297. [Google Scholar] [CrossRef] [PubMed]
- Xu, Y.; Bao, Y.; Chen, J.; Yi, Y.; Ai, Y.; Hou, W.; Wang, L.; Wang, H.; Min, T. Mechanisms of ethanol treatment on controlling browning in fresh-cut lotus roots. Sci. Hortic. 2023, 310, 111708. [Google Scholar] [CrossRef]
- Alhaithloul, H.A.S.; Galal, F.H.; Seufi, A.M. Effect of extreme temperature changes on phenolic, flavonoid contents and antioxidant activity of tomato seedlings (Solanum lycopersicum L.). PeerJ 2021, 9, e11193. [Google Scholar] [CrossRef]
- Abeysuriya, H.I.; Bulugahapitiya, V.P.; Jayatissa, L.P. Variation of vitamin C content and antioxidant capacities during the post-harvest storage of fresh fruits under different temperatures. J. Stored Prod. Res. 2024, 109, 102426. [Google Scholar] [CrossRef]
- Min, T.; Xie, J.; Yi, Y.; Hou, W.; Ai, Y.; Wang, H. Expression of ethylene response factor genes during fresh-cut lotus root storage and browning. J. Am. Soc. Hortic. Sci. 2018, 143, 462–469. [Google Scholar] [CrossRef]
- Pola, W.; Sugaya, S.; Photchanachai, S. Influence of postharvest temperatures on carotenoid biosynthesis and phytochemicals in mature green chili (Capsicum annuum L.). Antioxidants 2020, 9, 203. [Google Scholar] [CrossRef]
- Holland, N.; Menezes, H.C.; Lafuente, M.T. Carbohydrate metabolism as related to high-temperature conditioning and peel disorders occurring during storage of citrus fruit. J. Agric. Food Chem. 2005, 53, 8790–8796. [Google Scholar] [CrossRef]
- Lopes, P.Z.; Fornazzari, I.M.; Almeida, A.T.; Galvão, C.W.; Etto, R.M.; Inaba, J.; Ayub, R.A. Effect of ethylene treatment on phytochemical and ethylene-related gene expression during ripening in strawberry fruit Fragaria × ananassa cv. Camino Real. Genet. Mol. Res. 2015, 14, 16113–16125. [Google Scholar] [CrossRef]
- Tosetti, R.; Elmi, F.; Pradas, I.; Cools, K.; Terry, L.A. Continuous exposure to ethylene differentially affects senescence in receptacle and achene tissues in strawberry Fruit. Front. Plant Sci. 2020, 11, 174. [Google Scholar] [CrossRef]
- Liu, H.; Cao, Y.; Huang, W.; Guo, Y.; Kang, Y. Effect of ethylene on total phenolics, antioxidant activity, and the activity of metabolic enzymes in mung bean sprouts. Eur. Food Res. Technol. 2013, 237, 755–764. [Google Scholar] [CrossRef]
- Xu, Y.; Yi, Y.; Ai, Y.; Hou, W.; Wang, L.; Wang, H.; Min, T. Ethephon and 1-methylcyclopropene regulate storage quality and browning of fresh-cut Chinese water chestnuts. Postharvest Biol. Technol. 2023, 200, 112331. [Google Scholar] [CrossRef]
- Chen, T.; Ma, H.; Wei, Q.; Zhang, J.; Wang, C.; Liu, X. Ethylene-induced starch degradation in sand pear: Key roles of PpAMY1b and PpBAM3a in fruit development and watercore disorder. Hortic. Environ. Biotechnol. 2025, 66, 1559–1571. [Google Scholar] [CrossRef]
- Luo, S.; Hu, H.; Zhang, L.; Zhou, H.; Li, P. Sugars in postharvest lotus seeds were modified by 6-benzylaminopurine treatment through altering related enzymes involved in starch-sucrose metabolism. Sci. Hortic. 2017, 221, 73–82. [Google Scholar] [CrossRef]
- Wang, Q. Study on the expression regulation of the CTR1 gene in the ethylene signaling pathway. Biochem. Biophys. Res. Commun. 2024, 739, 150590. [Google Scholar] [CrossRef] [PubMed]
- Su, X.; Wang, J.; Sun, S.; Peng, W.; Li, M.; Mao, P.; Dou, L. Genome-wide identification of the EIN3/EIL transcription factor family and their responses under abiotic stresses in Medicago sativa. BMC Plant Biol. 2024, 24, 898. [Google Scholar] [CrossRef] [PubMed]
- Hao, D.; Jin, L.; Wen, X.; Yu, F.; Xie, Q.; Guo, H. The RING E3 ligase SDIR1 destabilizes EBF1/EBF2 and modulates the ethylene response to ambient temperature fluctuations in Arabidopsis. Proc. Natl. Acad. Sci. USA 2021, 118, e2024592118. [Google Scholar] [CrossRef]
- Chen, T.; Duan, W. DNA methylation changes were involved in inhibiting ethylene signaling and delaying senescence of tomato fruit under low temperature. Biologia 2023, 78, 415–427. [Google Scholar] [CrossRef]
- Sun, Y.; Luo, M.; Ge, W.; Zhou, X.; Zhou, Q.; Wei, B.; Cheng, S.; Ji, S. Phenylpropanoid metabolism in relation to peel browning development of cold-stored ‘Nanguo’ pears. Plant Sci. 2022, 322, 111363. [Google Scholar] [CrossRef] [PubMed]
- Wuriyanghan, H.; Zhang, B.; Cao, W.; Ma, B.; Lei, G.; Liu, Y.; Wei, W.; Wu, H.; Chen, L.; Chen, H.; et al. The ethylene receptor ETR2 delays floral transition and affects starch accumulation in rice. Plant Cell 2009, 21, 1473–1494. [Google Scholar] [CrossRef] [PubMed]








| Phenolic Substance | Group | Storage Time | |||||
|---|---|---|---|---|---|---|---|
| 0 d | 3 d | 6 d | 9 d | 12 d | |||
| Phenolic acids | gallic acid | 4 °C | 0.59 ± 0.01 C 1 | 0.56 ± 0.01 Dd 3 | 0.55 ± 0.01 Ed | 0.81 ± 0.01 Bc | 0.86 ± 0.01 Ab |
| 25 °C | 0.59 ± 0.01 E | 0.64 ± 0.01 Dc | 0.80 ± 0.01 Ca | 0.85 ± 0.01 Bb | 0.92 ± 0.02 Aa | ||
| 25 °C + 4 g/L ET | 0.59 ± 0.01 E | 0.73 ± 0.01 Ca | 0.77 ± 0.01 Bb | 0.70 ± 0.01 Dd | 0.95 ± 0.01 Aa | ||
| 35 °C | 0.59 ± 0.01 D | 0.70 ± 0.01 Cb | 0.70 ± 0.01 Cc | 0.97 ± 0.02 Aa | 0.88 ± 0.01 Bb | ||
| coumaric acid | 4 °C | 2.04 ± 0.01 D | 2.19 ± 0.01 Cc | 3.11 ± 0.01 Ba | 1.49 ± 0.09 Ed | 3.90 ± 0.01 Ac | |
| 25 °C | 2.04 ± 0.01 C | 1.64 ± 0.02 Dd | 2.43 ± 0.04 Bb | 2.53 ± 0.03 Bc | 4.47 ± 0.22 Ab | ||
| 25 °C + 4 g/L ET | 2.04 ± 0.01 E | 2.62 ± 0.04 Db | 3.02 ± 0.06 Ca | 3.74 ± 0.14 Bb | 4.06 ± 0.10 Ac | ||
| 35 °C | 2.04 ± 0.01 E | 2.85 ± 0.01 Ca | 2.48 ± 0.02 Db | 4.87 ± 0.09 Ba | 5.15 ± 0.06 Aa | ||
| coffeic acid | 4 °C | 0.23 ± 0.01 D | 0.26 ± 0.01 Dc | 0.42 ± 0.03 Cd | 0.81 ± 0.01 Bd | 1.34 ± 0.06 Ab | |
| 25 °C | 0.23 ± 0.01 C | 0.57 ± 0.01 Bb | 0.55 ± 0.01 Bc | 0.93 ± 0.03 Ac | 0.99 ± 0.03 Ad | ||
| 25 °C + 4 g/L ET | 0.23 ± 0.01 E | 0.95 ± 0.01 Ca | 0.68 ± 0.05 Db | 1.12 ± 0.01 Bb | 1.85 ± 0.01 Aa | ||
| 35 °C | 0.23 ± 0.01 E | 0.61 ± 0.01 Db | 0.79 ± 0.01 Ca | 2.05 ± 0.08 Aa | 1.24 ± 0.08 Bc | ||
| chlorogenic acid | 4 °C | 2.42 ± 0.14 C | 1.95 ± 0.01 Dc | 2.79 ± 0.09 Bb | 4.20 ± 0.01 Ab | 2.91 ± 0.10 Bc | |
| 25 °C | 2.42 ± 0.14 C | 2.07 ± 0.01 Db | 2.33 ± 0.02 Cc | 3.83 ± 0.05 Bc | 4.28 ± 0.08 Aa | ||
| 25 °C + 4 g/L ET | 2.42 ± 0.14 D | 1.74 ± 0.01 Ed | 3.41 ± 0.16 Ca | 4.91 ± 0.08 Aa | 4.37 ± 0.03 Ba | ||
| 35 °C | 2.42 ± 0.14 C | 2.63 ± 0.10 Ca | 2.58 ± 0.02 Cab | 3.75 ± 0.03 Bc | 4.03 ± 0.03 Ab | ||
| Flavonoids | quercetin | 4 °C | 0.27 ± 0.01 D | nd 2 | 0.70 ± 0.01 Bb | 0.89 ± 0.01 Ab | 0.56 ± 0.01 Cb |
| 25 °C | 0.27 ± 0.01 E | 0.38 ± 0.01 Dc | 0.55 ± 0.01 Bc | 0.58 ± 0.01 Ac | 0.49 ± 0.01 Cd | ||
| 25 °C + 4 g/L ET | 0.27 ± 0.01 E | 1.03 ± 0.01 Ba | 1.69 ± 0.01 Aa | 0.57 ± 0.01 Dc | 0.88 ± 0.02 Ca | ||
| 35 °C | 0.27 ± 0.01 D | 0.53 ± 0.01 Bb | 0.46 ± 0.02 Cd | 1.17 ± 0.01 Aa | 0.52 ± 0.01 Bc | ||
| rutin | 4 °C | 2.21 ± 0.03 C | 2.91 ± 0.02 ABd | 1.71 ± 0.01 Dc | 2.76 ± 0.01 Bd | 2.98 ± 0.12 Ad | |
| 25 °C | 2.21 ± 0.03 E | 3.29 ± 0.06 Cc | 2.43 ± 0.07 Db | 4.77 ± 0.01 Aa | 3.83 ± 0.01 Bc | ||
| 25 °C + 4 g/L ET | 2.21 ± 0.03 E | 5.62 ± 0.01 Aa | 2.53 ± 0.02 Db | 3.65 ± 0.01 Cc | 5.15 ± 0.12 Bb | ||
| 35 °C | 2.21 ± 0.03 D | 3.65 ± 0.01 Cb | 3.95 ± 0.04 Ca | 4.59 ± 0.01 Bb | 6.24 ± 0.23 Aa | ||
| hyperoside | 4 °C | 0.84 ± 0.02 C | 1.21 ± 0.01 Ac | 1.20 ± 0.01 Ac | 0.88 ± 0.01 Bc | 0.89 ± 0.01 Bc | |
| 25 °C | 0.84 ± 0.02 E | 1.08 ± 0.02 Dd | 1.75 ± 0.01 Ab | 1.43 ± 0.01 Ba | 1.20 ± 0.04 Cb | ||
| 25 °C + 4 g/L ET | 0.84 ± 0.02 E | 1.47 ± 0.07 Ba | 2.42 ± 0.01 Aa | 1.30 ± 0.01 Db | 1.43 ± 0.01 Cb | ||
| 35 °C | 0.84 ± 0.02 E | 1.34 ± 0.09 Cab | 1.07 ± 0.01 Dd | 1.44 ± 0.01 Ba | 1.65 ± 0.06 Aa | ||
| catechin | 4 °C | 49.57 ± 0.23 E | 71.73 ± 0.15 Dc | 147.04 ± 3.32 Aa | 124.35 ± 0.18 Bb | 95.74 ± 0.22 Cd | |
| 25 °C | 49.57 ± 0.23 B | 45.41 ± 3.18 Bd | 115.74 ± 0.52 Ab | 112.66 ± 0.31 Ad | 112.29 ± 0.l05 Ac | ||
| 25 °C + 4 g/L ET | 49.57 ± 0.23 C | 93.23 ± 0.52 Bb | 121.37 ± 0.51 Ab | 120.89 ± 0.28 Ac | 120.31 ± 0.10 Ab | ||
| 35 °C | 49.57 ± 0.23 E | 112.14 ± 0.40 Ca | 106.21 ± 2.19 Dc | 141.40 ± 0.45 Ba | 146.71 ± 0.64 Aa | ||
| Non-flavonoids | gastrodin | 4 °C | 119.69 ± 0.82 C | 72.85 ± 5.58 Da | 141.23 ± 4.56 BCb | 156.54 ± 1.37 Bc | 198.83 ± 18.04 Ab |
| 25 °C | 119.69 ± 0.82 B | 55.43 ± 0.55 Cb | 184.08 ± 2.05 Aa | 203.71 ± 7.41 Ab | 188.19 ± 15.33 Ab | ||
| 25 °C + 4 g/L ET | 119.69 ± 0.82 C | 60.60 ± 0.53 Db | 176.29 ± 9.87 Ba | 161.58 ± 8.97 Bc | 205.84 ± 2.01 Ab | ||
| 35 °C | 119.69 ± 0.82 D | 59.37 ± 1.59 Eb | 168.41 ± 1.94 Ca | 321.94 ± 4.63 Aa | 259.02 ± 4.78 Ba | ||
| catechol | 4 °C | 1.21 ± 0.01 C | 0.99 ± 0.02 Db | 2.72 ± 0.02 Bb | 3.70 ± 0.04 Ab | 3.75 ± 0.10 Ab | |
| 25 °C | 1.21 ± 0.01 D | 0.90 ± 0.02 Db | 1.95 ± 0.07 Cc | 2.88 ± 0.11 Bc | 3.77 ± 0.24 Ab | ||
| 25 °C + 4 g/L ET | 1.21 ± 0.01 C | 2.60 ± 0.07 Ba | 3.43 ± 0.14 Aa | 3.38 ± 0.08 Ab | 3.45 ± 0.15 Ab | ||
| 35 °C | 1.21 ± 0.01 D | 2.67 ± 0.03 Ca | 2.90 ± 0.04 Bb | 4.39 ± 0.13 Aa | 4.48 ± 0.08 Aa | ||
| resveratrol | 4 °C | nd | 0.08 ± 0.01 Ac | 0.07 ± 0.01 Bc | 0.20 ± 0.01 C | 0.10 ± 0.01 C | |
| 25 °C | nd | nd | 0.13 ± 0.01 b | nd | nd | ||
| 25 °C + 4 g/L ET | nd | 0.10 ± 0.01 b | 0.21 ± 0.01 a | nd | nd | ||
| 35 °C | nd | 0.14 ± 0.01 a | nd | nd | nd | ||
| pyrogallol | 4 °C | nd | nd | 9.54 ± 0.71 Bb | 20.55 ± 0.75 Ab | 20.87 ± 0.39 Aa | |
| 25 °C | nd | nd | 8.07 ± 0.30 Bb | 23.21 ± 0.61 Ab | 22.06 ± 0.59 Aa | ||
| 25 °C + 4 g/L ET | nd | nd | 13.37 ± 1.21 Ca | 14.45 ± 1.06 Bc | 16.40 ± 0.64 Ab | ||
| 35 °C | nd | 14.22 ± 0.94 C | 16.46 ± 1.76 Ba | 29.66 ± 1.16 Aa | 17.19 ± 0.85 Bb | ||
Disclaimer/Publisher’s Note: The statements, opinions and data contained in all publications are solely those of the individual author(s) and contributor(s) and not of MDPI and/or the editor(s). MDPI and/or the editor(s) disclaim responsibility for any injury to people or property resulting from any ideas, methods, instructions or products referred to in the content. |
© 2026 by the authors. Licensee MDPI, Basel, Switzerland. This article is an open access article distributed under the terms and conditions of the Creative Commons Attribution (CC BY) license.
Share and Cite
Lu, H.; Bi, A.; Dong, W.; Lin, Q.; Ai, Y.; Yi, Y.; Wang, H.; Min, T.; Liu, H. Temperature or Ethylene Regulate Browning in Lotus Root by Modulating Polyphenols and Starch Metabolism. Horticulturae 2026, 12, 279. https://doi.org/10.3390/horticulturae12030279
Lu H, Bi A, Dong W, Lin Q, Ai Y, Yi Y, Wang H, Min T, Liu H. Temperature or Ethylene Regulate Browning in Lotus Root by Modulating Polyphenols and Starch Metabolism. Horticulturae. 2026; 12(3):279. https://doi.org/10.3390/horticulturae12030279
Chicago/Turabian StyleLu, Hongyan, Annan Bi, Wanyu Dong, Qiong Lin, Youwei Ai, Yang Yi, Hongxun Wang, Ting Min, and Hongru Liu. 2026. "Temperature or Ethylene Regulate Browning in Lotus Root by Modulating Polyphenols and Starch Metabolism" Horticulturae 12, no. 3: 279. https://doi.org/10.3390/horticulturae12030279
APA StyleLu, H., Bi, A., Dong, W., Lin, Q., Ai, Y., Yi, Y., Wang, H., Min, T., & Liu, H. (2026). Temperature or Ethylene Regulate Browning in Lotus Root by Modulating Polyphenols and Starch Metabolism. Horticulturae, 12(3), 279. https://doi.org/10.3390/horticulturae12030279

