Biofilm of B. subtilis as a Growth Promoter of Lettuce (Lactuca sativa L.) in the Presence of Heavy Metals
Abstract
1. Introduction
2. Materials and Methods
2.1. Inoculant Preparation
2.2. Laboratory and Greenhouse Experiments
2.2.1. Seed Germination Assays in Laboratory
2.2.2. Plant Growth Trials in Greenhouse
2.3. Macro- and Microelement Determination
2.4. Health Risk Assessment Indices
2.4.1. Bioconcentration Factor
2.4.2. Daily Intake of Metals
2.4.3. Target Hazard Quotation
2.5. Statistical Analysis
3. Results
3.1. Effect of Inoculation and Zinc or Copper Addition on Seed Germination
3.2. Effects of Inoculation and Substrate Copper or Zinc Excess on Plant Growth
3.2.1. Above- and Below-Ground Plant Biomass
3.2.2. Plant Height and Leaf Area
3.3. Elemental Composition in Response to Inoculation and Copper or Zinc Excess
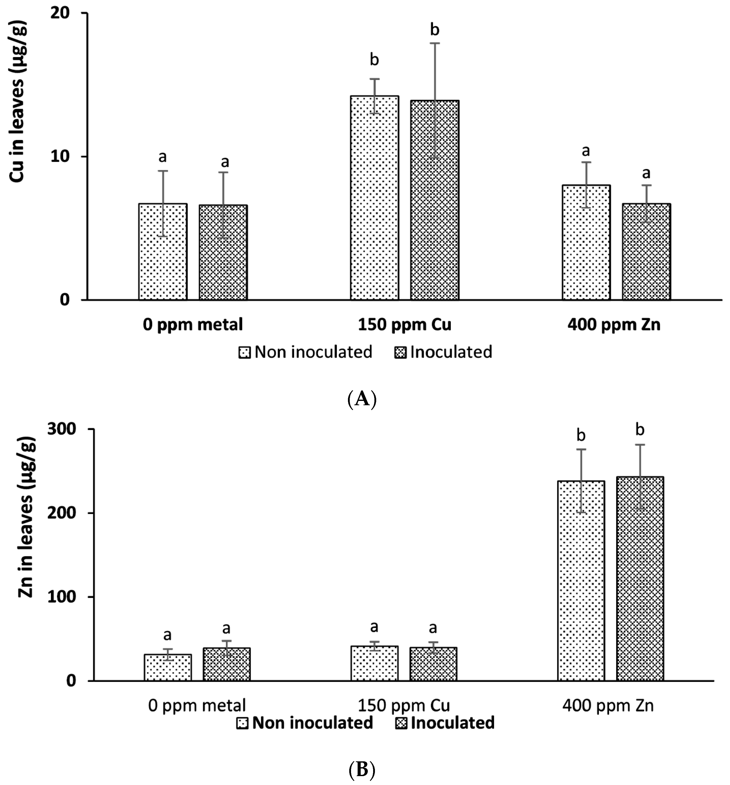
3.3.1. Copper or Zinc Accumulation in Leaves
3.3.2. Macro- and Microelement Concentrations in Lettuce Leaves
3.4. Bioconcentration Factor, Daily Intake of Metal and Target Hazard Quotation for Copper and Zinc
4. Discussion
4.1. Perspectives in Alleviating Substrate Metal Overload for Sustainable Crop Production
4.2. Effects of Substrate Metal Overload on Seed Germination
4.3. Effects of Substrate Metal Overload on Plant Growth
4.4. Metal Accumulation in the Plant Following Substrate Overload
5. Conclusions
Author Contributions
Funding
Data Availability Statement
Acknowledgments
Conflicts of Interest
References
- Blanco, A.; Salazar, M.J.; Vergara Cid, C.; Pignata, M.L.; Rodriguez, J.H. Accumulation of lead and associated metals (Cu and Zn) at different growth stages of soybean crops in lead-contaminated soils: Food security and crop quality implications. Environ. Earth Sci. 2017, 76, 182. [Google Scholar] [CrossRef]
- Giuffré, L.; Ratto, S.; Marbán, L.; Schonwald, J.; Romaniuk, R. Heavy Metal Risks in Urban Agriculture. Cienc. Suelo Argent. 2005, 23, 101–106. (In Spanish) [Google Scholar]
- Rai, P.K.; Leeb, S.S.; Zhang, M.; Tsang, Y.F.; Kime, K. Heavy metals in food crops: Health risks, fate, mechanisms, and management. Environ. Int. 2019, 125, 365–385. [Google Scholar] [CrossRef]
- Li, C.; Zhou, K.; Qin, W.; Tian, C.; Qi, M.; Yan, X.; Han, W. A review on heavy metals contamination in soil: Effects, sources, and remediation techniques. Soil Sediment Contam. Int. J. 2019, 28, 380–394. [Google Scholar] [CrossRef]
- Jordão, C.P.; de Andrade, R.P.; Cotta, A.J.; Cecon, P.R.; Neves, J.C.; Fontes, M.P.; Fernandes, R.B. Copper, nickel and zinc accumulations in lettuce grown in soil amended with contaminated cattle manure vermicompost after sequential cultivations. Environ. Technol. 2013, 34, 765–777. [Google Scholar] [CrossRef] [PubMed]
- Zhou, J.; Duc, B.; Liua, H.; Cuid, H.; Zhanga, W.; Fan, X.; Cui, J.; Zhou, J. The bioavailability and contribution of the newly deposited heavy metals (copper and lead) from atmosphere to rice (Oryza sativa L.). J. Hazard. Mater. 2020, 384, 121285. [Google Scholar] [CrossRef]
- Shabbir, Z.; Sardar, A.; Shabbir, A.; Abbas, G.; Shamshad, S.; Khalid, S.; Natasha; Murtaza, G.; Dumat, C.; Shahid, M. Copper uptake, essentiality, toxicity, detoxification and risk assessment in soil-plant environment. Chemosphere 2020, 259, 127436. [Google Scholar] [CrossRef]
- Natasha, N.; Shahid, M.; Bibi, I.; Iqbal, J.; Khalid, S.; Murtaza, B.; Bakhat, H.F.; Farooq, A.B.U.; Amjad, M.; Hammad, H.M.; et al. Zinc in soil-plant-human system: A data-analysis review. Sci. Total Environ. 2022, 808, 152024. [Google Scholar] [CrossRef]
- Mir, A.R.; Pichtel, J.; Hayat, S. Copper: Uptake, toxicity and tolerance in plants and management of Cu-contaminated soil. Biometals 2021, 34, 737–759. [Google Scholar] [CrossRef]
- Wang, R.X.; Wang, Z.H.; Sun, Y.D.; Wang, L.L.; Li, M.; Liu, Y.T.; Zhang, H.M.; Jing, P.W.; Shi, Q.F.; Yu, Y.H. Molecular mechanism of plant response to copper stress: A review. Environ. Exp. Bot. 2024, 218, 105590. [Google Scholar] [CrossRef]
- Pal, A.; Bhattacharjee, S.; Saha, J.; Sarkar, M.; Mandal, P. Bacterial Survival Strategies and Responses under Heavy Metal Stress: A Comprehensive Overview. Crit. Rev. Microbiol. 2022, 48, 327–355. [Google Scholar] [CrossRef]
- Hussain, S.; Khan, M.; Sheikh, T.M.M.; Mumtaz, M.Z.; Chohan, T.A.; Shamim, S.; Liu, Y. Zinc Essentiality, Toxicity, and Its Bacterial Bioremediation: A Comprehensive Insight. Front. Microbiol. 2022, 13, 900740. [Google Scholar] [CrossRef]
- Yu, J.; Huang, X.; Ren, F.; Cao, H.; Yuan, M.; Ye, T.; Xu, F. Application of antimicrobial properties of copper. Appl. Organomet. Chem. 2024, 38, e7506. [Google Scholar] [CrossRef]
- Kumar, R.; Umarb, A.; Kumara, G.; Nalwad, H.S. Antimicrobial properties of ZnO nanomaterials: A review. Ceram. Int. 2017, 43, 3940–3961. [Google Scholar] [CrossRef]
- Vimal, S.R.; Singh, J.S.; Prasad, S.M. Plant–Microbe Dynamics as a Nature-Based Solution for Sustainable Agriculture. Anthr. Sci. 2022, 1, 428–443. [Google Scholar] [CrossRef]
- Wang, Y.; Narayanan, M.; Shi, X.; Chen, X.; Li, Z.; Natarajan, D.; Ma, Y. Plant growth promoting bacteria in metal-contaminated soil: Current perspectives on remediation mechanisms. Front. Microbiol. 2022, 13, 966226. [Google Scholar] [CrossRef]
- Miljaković, D.; Marinković, J.; Balešević-Tubić, S. The Significance of Bacillus spp. in Disease Suppression and Growth Promotion of Field and Vegetable Crops. Microorganisms 2020, 8, 1037. [Google Scholar] [CrossRef] [PubMed]
- Ajijah, N.; Fiodor, A.; Pandey, A.K.; Rana, A.; Pranaw, K. Plant Growth-Promoting Bacteria (PGPB) with Biofilm-Forming Ability: A Multifaceted Agent for Sustainable Agriculture. Diversity 2023, 15, 112. [Google Scholar] [CrossRef]
- Alotaibi, B.S.; Khan, M.; Shamim, S. Unraveling the Underlying Heavy Metal Detoxification Mechanisms of Bacillus Species. Microorganisms 2021, 9, 1628. [Google Scholar] [CrossRef] [PubMed]
- Sarti, G.C.; Miyazaki, S.S. Actividad antifúngica de extractos crudos de Bacillus subtilis contra fitopatógenos de soja (Glycine Max) y efecto de su coinoculación con Bradyrhizobium japonicum. Agrociencia 2013, 47, 373–383. [Google Scholar]
- Galelli, M.E.; Sarti, G.C.; Miyazaki, S.S. Lactuca sativa Biofertilization Using Biofilm from Bacillus with PGPR Activity. J. Appl. Hortic. 2015, 17, 186–191. [Google Scholar] [CrossRef]
- Sarti, G.C.; Galelli, M.E.; Arreghini, S.; Cristóbal-Miguez, J.A.E.; Curá, J.A.; Paz-González, A. Inoculation with Biofilm of Bacillus subtilis Promotes the Growth of Lactuca sativa. Sustainability 2023, 15, 15406. [Google Scholar] [CrossRef]
- Sarti, G.C.; Galelli, M.E.; Cristóbal-Miguez, J.A.E.; Cárdenas-Aguiar, E.; Chudil, H.D.; García, A.R.; Paz-González, A. Inoculation with Biofilm of Bacillus subtilis Is a Safe and Sustainable Alternative to Promote Tomato (Solanum lycopersicum) Growth. Environments 2024, 11, 54. [Google Scholar] [CrossRef]
- Sarti, G.C.; Paz-González, A.; Cristóbal-Míguez, J.A.E.; Arnedillo, G.; García, A.R.; Galelli, M.E. Tomato Seed Inoculation with Bacillus subtilis Biofilm Mitigates Toxic Effects of Excessive Copper in the Substrate. Processes 2025, 13, 2509. [Google Scholar] [CrossRef]
- Galelli, M.E.; Cristóbal-Miguez, J.A.E.; Cárdenas-Aguiar, E.; García, A.R.; Paz-González, A.; Sarti, G.C. The Effects of Seed Inoculation with Bacterial Biofilm on the Growth and Elemental Composition of Tomato (Solanum lycopersicum L.) Cultivated on a Zinc-Contaminated Substrate. Microorganisms 2024, 12, 2237. [Google Scholar] [CrossRef]
- FAOSTAT. Crops and Livestock Products. Lettuce and Chicory Production. 2022. Available online: https://www.fao.org/faostat/en/#data/QCL/visualize (accessed on 18 December 2024).
- OECD. Test No. 208: Terrestrial plant test: Seedling emergence and seedling growth test. In OECD Guidelines for the Testing of Chemicals; Section 2; OECD Publishing: Vienna, Austria, 2006. [Google Scholar] [CrossRef]
- Gerhardt, P.; Murray, R.; Wood, W.; Krieg, N. Methods of General and Molecular Bacteriology; Gerhardt, P., Ed.; American Society for Microbiology: Washington, DC, USA, 1994. [Google Scholar]
- Martí, L.A. Efecto de la salinidad y de la temperatura en la germinación de semillas de Limonium mansanetianum. Bachelor’s Thesis, Universidad Politécnica de Valencia, Valencia, Spain, 2010. [Google Scholar]
- Emino, E.R.; Warman, P.R. Biological Assay for Compost Quality. Compost. Sci. Util. 2004, 12, 342–348. [Google Scholar] [CrossRef]
- Luo, Y.; Liang, J.; Zeng, G.; Chen, M.; Mo, D.; Li, G.; Zhang, D. Seed Germination Test for Toxicity Evaluation of Compost: Its Roles, Problems and Prospects. Waste Manag. 2018, 71, 109–114. [Google Scholar] [CrossRef]
- Page, A.L. Methods of Soil Analysis. In Chemical and Microbiological Properties, 2nd ed.; John Wiley & Sons, Inc.: Hoboken, NJ, USA, 1982; pp. 1–1184. [Google Scholar]
- Schneider, C.A.; Rasband, W.S.; Eliceiri, K.W. NIH Image to ImageJ: 25 Years of Image Analysis. Nat. Methods 2012, 9, 671–675. [Google Scholar] [CrossRef]
- Mishra, A.K.; Singh, J.; Mishra, P.P. Toxic Metals in Crops: A Burgeoning Problem. In Sustainable Solutions for Elemental Deficiency and Excess in Crop Plants; Mishra, A.K., Singh, J., Mishra, P.P., Eds.; Springer Nature Singapore Pte Ltd.: Singapore, 2020. [Google Scholar] [CrossRef]
- Hu, Y.; Wang, C.; Song, Z.; Chen, M.; Ding, L.; Liang, X.; Bi, X.; Li, Z.; Li, P.; Zheng, W. Heavy Metal in Rice and Vegetable and Human Exposure near a Large Pb/Zn Smelter in Central China. Int. J. Environ. Res. Public Health 2021, 18, 12631. [Google Scholar] [CrossRef]
- Secretaría de Ganadería y Pesca. Ministerio de Economía, Argentina. Producción de lechuga en la Argentina. Evolución del cultivo hasta la temporada 2022. Available online: https://www.argentina.gob.ar/sites/default/files/2021/09/informe_lechuga_2023.pdf (accessed on 23 November 2024).
- Naccarato, A.; Tassone, A.; Cavaliere, F.; Elliani, R.; Pirrone, N.; Sprovieri, F.; Tagarelli, A.; Giglio, A. Agrochemical treatments as a source of heavy metals and rare earth elements in agricultural soils and bioaccumulation in ground beetles. Sci. Total Environ. 2020, 749, 141438. [Google Scholar] [CrossRef] [PubMed]
- Paladino, I.; Sokolowski, A.; Prack Mc Cormick, B.; Wolski, E.; Rodríguez, H.; Navas, M. Chapter 8—Soil Quality Problems Associated with Horticulture in the Southern Urban and Peri-Urban Area of Buenos Aires, Argentina. In Urban Horticulture—Necessity of the Future; Solankey, S., Akhtar, S., Maldonado, A., Rodriguez-Fuentes, H., Vidales Contreras, J., Márquez, R., Eds.; IntechOpen: London, UK, 2020. [Google Scholar]
- do Carmo, L.I.; Bursztyn Fuentes, A.L.; de los Ríos, A.; Fabrizio de Iorio, A.; Rendina, A.E. Effects of Green Waste Compost Addition to Dredged Sediments of the Matanza-Riachuelo River (Argentina) on Heavy Metal Extractability and Bioaccumulation in Lettuce (Lactuca sativa). Water Air Soil Pollut 2021, 232, 200. [Google Scholar] [CrossRef]
- Guo, J.; Muhammad, H.; Lv, X.; Wei, T.; Ren, X.; Jia, H.; Atif, S.; Hua, L. Prospects and applications of plant growth promoting rhizobacteria to mitigate soil metal contamination: A review. Chemosphere 2020, 246, 125823. [Google Scholar] [CrossRef]
- Gladkov, E.A.; Tereshonok, D.V.; Stepanova, A.Y.; Gladkova, O.V. Plant–Microbe Interactions under the Action of Heavy Metals and under the Conditions of Flooding. Diversity 2023, 15, 175. [Google Scholar] [CrossRef]
- Chandrangsu, P.; Rensing, C.; Helmann, J.D. Metal Homeostasis and Resistance in Bacteria. Nat. Rev. Microbiol. 2017, 15, 338–350. [Google Scholar] [CrossRef]
- Jalmi, S.K.; Bhagat, P.K.; Verma, D.; Noryang, S.; Tayyeba, S.; Singh, K.; Sharma, D.; Sinha, A.K. Traversing the Links between Heavy Metal Stress and Plant Signaling. Front. Plant Sci. 2018, 9, 12. [Google Scholar] [CrossRef]
- Redmile-Gordon, M.; Chen, L. Zinc toxicity stimulates microbial production of extracellular polymers in a copiotrophic acid soil. Int. Biodeterior. Biodegrad. 2017, 119, 413–418. [Google Scholar] [CrossRef] [PubMed]
- Ma, Y.; Oliveira, R.S.; Freitas, H.; Zhang, C. Biochemical and Molecular Mechanisms of Plant-Microbe-Metal Interactions: Relevance for Phytoremediation. Front. Plant Sci. 2016, 7, 918. [Google Scholar] [CrossRef]
- Neto Moreira, I.; Louro Martins, L.; Mourato, M.P. Effect of Cd, Cr, Cu, Mn, Ni, Pb and Zn on seed germination and seedling growth of two lettuce cultivars (Lactuca sativa L.). Plant Physiol. Rep. 2020, 25, 347–358. [Google Scholar] [CrossRef]
- Kranner, I.; Colville, L. Metals and seeds: Biochemical and molecular implications and their significance for seed germination. Environ. Exp. Bot. 2011, 72, 93–105. [Google Scholar] [CrossRef]
- Seneviratne, M.; Rajakaruna, N.; Rizwan, M.; Madawala, H.M.S.P.; Ok, Y.S.; Vithanage, M. Heavy metal-induced oxidative stress on seed germination and seedling development: A critical review. Environ. Geochem. Health 2019, 41, 1813–1831. [Google Scholar] [CrossRef] [PubMed]
- Sözer Bahadir, P.; Liaqat, F.; Eltem, R. Plant Growth Promoting Properties of Phosphate Solubilizing Bacillus Species Isolated from the Aegean Region of Turkey. Turk. J. Bot. 2018, 42, 183–196. [Google Scholar] [CrossRef]
- Nazli, F.; Mustafa, A.; Ahmad, M.; Hussain, A.; Jamil, M.; Wang, X.; Shakeel, Q.; Imtiaz, M.; El-Esawi, M.A. A Review on Practical Application and Potentials of Phytohormone-Producing Plant Growth-Promoting Rhizobacteria for Inducing Heavy Metal Tolerance in Crops. Sustainability 2020, 12, 9056. [Google Scholar] [CrossRef]
- Seneviratne, M.; Gunaratne, S.; Bandara, T.; Weerasundara, L.; Rajakaruna, N.; Seneviratne, G.; Vithanage, M. Plant growth promotion by Bradyrhizobium japonicum under heavy metal stress. S. Afr. J. Bot. 2016, 105, 19–24. [Google Scholar] [CrossRef]
- Liu, R.; Zhang, H.; Lal, R. Effects of Stabilized Nanoparticles of Copper, Zinc, Manganese, and Iron Oxides in Low Concentrations on Lettuce (Lactuca sativa) Seed Germination: Nanotoxicants or Nanonutrients? Water Air Soil Pollut. 2016, 227, 42. [Google Scholar] [CrossRef]
- Kaur, H.; Srivastava, S.; Goyal, N.; Walia, S. Behavior of zinc in soils and recent advances on strategies for ameliorating zinc phyto-toxicity. Environ. Exp. Bot. 2024, 220, 105676. [Google Scholar] [CrossRef]
- Gharbi, F.; Rejeb, S.; Ghorbal, M.H.; Morel, J.L. Plant Response to Copper Toxicity as Affected by Plant Species and Soil Type. J. Plant Nutr. 2005, 28, 379–392. [Google Scholar] [CrossRef]
- Wolf, M.; Baretta, D.; Becegato, V.A.; Almeida, V.C.; Paulino, A.T. Copper/Zinc Bioaccumulation and the Effect of Phytotoxicity on the Growth of Lettuce (Lactuca sativa L.) in Non-contaminated, Metal-Contaminated and Swine Manure-Enriched Soils. Water Air Soil Pollut. 2017, 228, 152. [Google Scholar] [CrossRef]
- Verdejo, J.; Ginocchio, R.; Sauvé, S.; Mondaca, P.; Neaman, A. Thresholds of copper toxicity to lettuce in field-collected agricultural soils exposed to copper mining activities in Chile. J. Soil Sci. Plant Nutr. 2016, 16, 154–158. [Google Scholar] [CrossRef]
- Yen Le, T.T.; Peijnenburg, W.J.G.M.; Hendriks, A.J.; Vijver, M.G. Predicting effects of cations on copper toxicity to lettuce (Lactuca sativa) by the biotic ligand model. Environ. Toxicol. Chem. 2012, 31, 355–359. [Google Scholar]
- Kaur, H.; Garg, N. Zinc toxicity in plants: A review. Planta 2021, 253, 129. [Google Scholar] [CrossRef]
- Ma, Y.; Rajkumar, M.; Zhang, C.; Freitas, H. Beneficial role of bacterial endophytes in heavy metal phytoremediation. J. Environ. Manag. 2016, 174, 14–25. [Google Scholar] [CrossRef] [PubMed]
- Eissa, M.A.; Negim, O.E. Heavy metals uptake and translocation by lettuce and spinach grown on a metal-contaminated soil. J. Soil Sci. Plant Nutr. 2018, 18, 1097–1107. [Google Scholar] [CrossRef]
- Sacristán, D.; Recatalá, L.; Viscarra Rossel, R.A. Toxicity and bioaccumulation of Cu in an accumulator crop (Lactuca sativa L.) in different Australian agricultural soils. Sci. Hortic. 2015, 193, 346–352. [Google Scholar] [CrossRef]
- Najmi, A.; Albratty, M.; Al-Rajab, A.J.; Alhazmi, H.A.; Javed, S.A.; Ahsan, W.; Rehman, Z.u.; Hassani, R.; Alqahtani, S.S. Heavy Metal Contamination in Leafy Vegetables Grown in Jazan Region of Saudi Arabia: Assessment of Possible Human Health Hazards. Int. J. Environ. Res. Public Health 2023, 20, 2984. [Google Scholar] [CrossRef] [PubMed]




| Germination Index (GI%) | Toxicity Level |
|---|---|
| <50% | High |
| 50–80% | Moderate |
| >80% | No toxicity |
| Carbon (Percentage) | Nitrogen (Percentage) | Hydrogen (Percentage) | Sulfur (mg/g) | Phosphorus (mg/g) | Calcium (mg/g) | Potassium (mg/g) | Magnesium (mg/g) | |
|---|---|---|---|---|---|---|---|---|
| Control | 35.6 ± 0.9 a | 3.4 ± 1.1 a | 4.7 ± 0.1 a | 5.8 ± 0.2 a | 3.6 ± 0.4 a | 10.9 ± 2.8 a | 70.4 ± 5.22 a | 2.4 ± 0.3 a |
| I | 34.6 ± 0.9 a | 2.1 ± 0.7 a | 4.5 ± 0.1 a | 5.9 ± 0.2 a | 2.9 ± 0.3 a | 11.0 ± 2.8 a | 80.6 ± 6.0 a | 2.8 ± 0.3 a |
| Cu | 35.3 ± 1.3 a | 4.0 ± 0.2 a | 4.5 ± 0.1 a | 4.0 ± 0.4 a | 4.0 ± 0.7 a | 10.2 ± 0.8 a | 79.3 ± 4.2 a | 2.8 ± 0.3 a |
| I + Cu | 32.5 ± 2.1 a | 3.6 ± 0.8 a | 4.1 ± 0.2 a | 4.9 ± 0.6 a | 4.8 ± 1.1 a | 12.4 ± 2.5 a | 99.8 ± 6.9 a | 2.7 ± 0.2 a |
| Zn | 32.5 ± 3.1 a | 3.0 ± 0.2 a | 4.3 ± 0.6 a | 4.9 ± 0.2 a | 5.8 ± 0.3 a | 10.1 ± 1.0 a | 90.4 ± 2.0 a | 2.7 ± 0.3 a |
| I + Zn | 31.9 ± 3.1 a | 3.7 ± 0.3 a | 4.2 ± 0.5 a | 6.5 ± 0.3 a | 4.3 ± 0.3 a | 11.6 ± 1.0 a | 82.9 ± 1.9 a | 2.9 ± 0.3 a |
| BCF | DIMadults | DIMchildren | THQadults | THQchildren | |
|---|---|---|---|---|---|
| 150 Cu | 2119 | 0.0099 | 0.0148 | 0.0329 | 0.0495 |
| 150 Cu + I | 2106 | 0.0095 | 0.0143 | 0.0317 | 0.0476 |
| 400 Zn | 7656 | 0.0574 | 0.0862 | 0.1148 | 0.1723 |
| 400 Zn + I | 6247 | 0.0586 | 0.0879 | 0.1171 | 0.1759 |
| Iron (µg/g) | Manganese (µg/g) | Lead (µg/g) | Cadmium (µg/g) | |
|---|---|---|---|---|
| Control | 326 ± 171 a | 62.9 ± 7.6 a | 3.0 ± 1.8 a | 0.33 ± 0.01 a |
| I | 346 ± 181 a | 58.7 ± 7.1 a | 4.4 ± 2.6 a | 0.44 ± 0.01 a |
| Cu | 294 ± 50 a | 74.4 ± 1.9 a | 2.4 ± 1.1 a | 0.45 ± 0.02 a |
| I + Cu | 347 ± 82 a | 54.4 ± 4.0 a | 3.9 ± 1.4 a | 0.52 ± 0.08 a |
| Zn | 392 ± 150 a | 51.0 ± 8.4 a | 4.1 ± 2.5 a | 0.37 ± 0.04 a |
| I + Zn | 380 ± 146 a | 55.1 ± 9.2 a | 3.7 ± 2.2 a | 0.38 ± 0.04 a |
Disclaimer/Publisher’s Note: The statements, opinions and data contained in all publications are solely those of the individual author(s) and contributor(s) and not of MDPI and/or the editor(s). MDPI and/or the editor(s) disclaim responsibility for any injury to people or property resulting from any ideas, methods, instructions or products referred to in the content. |
© 2026 by the authors. Licensee MDPI, Basel, Switzerland. This article is an open access article distributed under the terms and conditions of the Creative Commons Attribution (CC BY) license.
Share and Cite
Galelli, M.E.; Paz González, A.; García, A.R.; Cristóbal-Miguez, J.A.E.; Arnedillo, G.M.; Cárdenas-Aguiar, E.; Sarti, G.C. Biofilm of B. subtilis as a Growth Promoter of Lettuce (Lactuca sativa L.) in the Presence of Heavy Metals. Horticulturae 2026, 12, 255. https://doi.org/10.3390/horticulturae12020255
Galelli ME, Paz González A, García AR, Cristóbal-Miguez JAE, Arnedillo GM, Cárdenas-Aguiar E, Sarti GC. Biofilm of B. subtilis as a Growth Promoter of Lettuce (Lactuca sativa L.) in the Presence of Heavy Metals. Horticulturae. 2026; 12(2):255. https://doi.org/10.3390/horticulturae12020255
Chicago/Turabian StyleGalelli, Mirta Esther, Antonio Paz González, Ana Rosa García, Josefina Ana Eva Cristóbal-Miguez, Gonzalo Miguel Arnedillo, Eliana Cárdenas-Aguiar, and Gabriela Cristina Sarti. 2026. "Biofilm of B. subtilis as a Growth Promoter of Lettuce (Lactuca sativa L.) in the Presence of Heavy Metals" Horticulturae 12, no. 2: 255. https://doi.org/10.3390/horticulturae12020255
APA StyleGalelli, M. E., Paz González, A., García, A. R., Cristóbal-Miguez, J. A. E., Arnedillo, G. M., Cárdenas-Aguiar, E., & Sarti, G. C. (2026). Biofilm of B. subtilis as a Growth Promoter of Lettuce (Lactuca sativa L.) in the Presence of Heavy Metals. Horticulturae, 12(2), 255. https://doi.org/10.3390/horticulturae12020255

