Application of Peat or Biochar on Raphanus sativus L. ‘Cherry Belle’ Under Brackish Water Irrigation: Its Effect on Growth and Salt Tolerance
Abstract
1. Introduction
2. Materials and Methods
2.1. Experimental Materials
2.2. Experimental Methods
2.3. Measurements and Methods
2.3.1. Soil Salinity and pH Indicators
2.3.2. Fresh and Dry Weight of Plants
2.3.3. Chlorophyll Content and Photosynthetic Parameters
2.3.4. Membrane Stability and Antioxidant Enzyme Activities
2.3.5. Mineral Ion Contents in Leaves
2.3.6. Osmolytes Attributes
2.4. Statistical Analysis
3. Results
3.1. Soil EC and pH Value
3.2. Growth Characteristics of Cherry Belle Radish
3.3. Photosynthetic Parameters
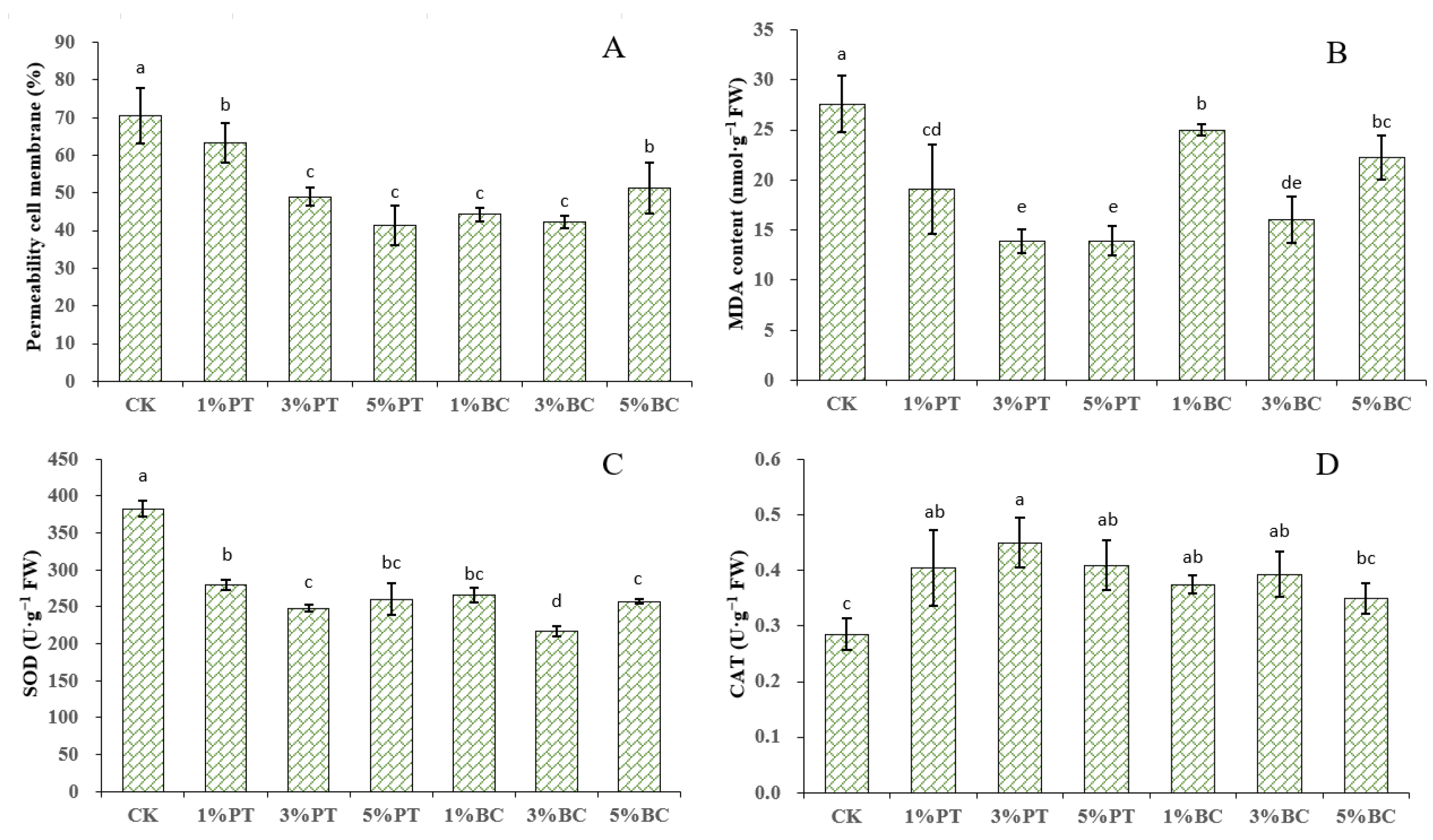
3.4. Lipid Peroxidation and Enzymatic Antioxidants Attributes
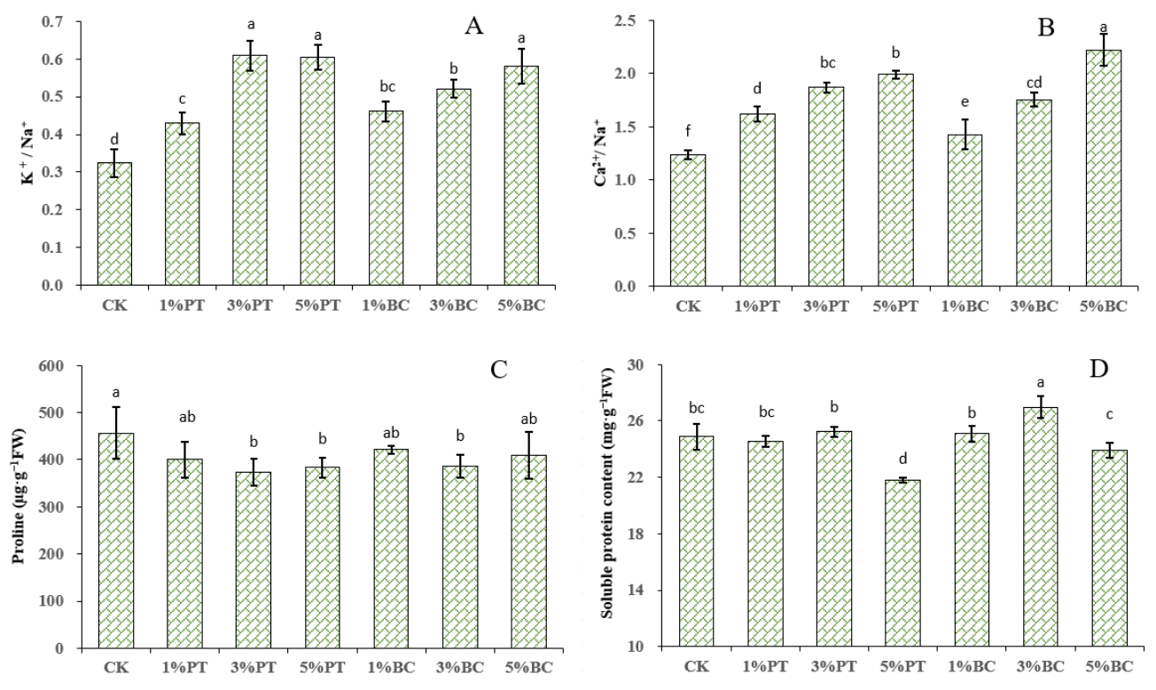
3.5. Mineral Ions and Osmolytes in Leaves
4. Discussion
5. Conclusions
Author Contributions
Funding
Data Availability Statement
Conflicts of Interest
References
- Li, F.; Lu, H.; Feng, F. The research on saline water resource utilization and salt-tolerant crop development based on artificial intelligence and big data technologies: Current status, challenges, and future perspectives. Adv. Resour. Res. 2025, 5, 1804–1825. [Google Scholar] [CrossRef]
- Sun, Y.; Mao, X.M.; Yang, X.Y.; Tong, L.; Tang, M.H. Variation of groundwater salinity and its influence on crops in irrigation area of Northwest China. Trans. Chin. Soc. Agric. Eng. 2010, 26, 103–108. [Google Scholar] [CrossRef]
- Meng, R.F.; Yang, H.F.; Bao, X.L.; Xu, B.Y.; Li, L. Prospect analysis of unconventional water resources utilization and eco-environmental effects in Beijing-Tianjin-Hebei Plain. Geol. China 2024, 51, 221–233. [Google Scholar]
- Wang, Y.Q. Experimental Study on the Influence of Different Leaching Irrigation Modes of Brackish Water on Water and Salt Transport Characteristics of Saline-Alkali Soil. Master’s Thesis, Tarim University, Xinjiang, China, 2023. [Google Scholar]
- Li, B.; Wang, H.D.; Ding, J.H. Desalination Efficiency of Saline-Alkali Soil and Rice Growth Effect under Different Brackish Water Irrigation Modes. China Rural Water Hydropower 2025, 3, 187–193. [Google Scholar]
- Yu, X.; Xu, Z.-H.; Pang, G.-B.; Wang, T.-Y. Effects of Brackish Water Irrigation on Photosynthesis and Yield of Winter Wheat. IOP Conf. Ser. Earth Environ. Sci. 2019, 237, 052013. [Google Scholar] [CrossRef]
- Chen, L.J.; Feng, Q.; Wang, Y. Water and salt movement under saline water irrigation in soil with clay interlayer. Trans. Chin. Soc. Agric. Eng. 2012, 28, 44–51. [Google Scholar]
- Li, Y.; Feng, H.; Liang, J.P.; Cheng, K.; Chen, J.Q.; Liang, Z.J. Research Advances of Responses and Feedback of Soil Properties and Crop Growth to Biochar Application. J. Soil Water Conserv. 2022, 36, 9–16. [Google Scholar] [CrossRef]
- Wu, W. Effect of Biochar Addition on Saline Alkali Soil Improvement Under Brackish Water Irrigation. Master’s Thesis, Shandong University of Technology, Zibo, China, 2024. [Google Scholar] [CrossRef]
- Zaman, Q.U.; Rehman, M.; Feng, Y.; Liu, Z.; Murtaza, G.; Sultan, K.; Ashraf, K.; Elshikh, M.S.; Farraj, D.A.A.; Rizwan, M.; et al. Combined Application of Biochar and Peatmoss for Mitigation of Drought Stress in Tobacco. BMC Plant Biol. 2024, 24, 862. [Google Scholar] [CrossRef]
- Kim, H.-L.; Kim, H.-D.; Kim, J.-G.; Kwack, Y.-B.; Choi, Y.-H. Effect of Organic Substrates Mixture Ratio on 2-Year-Old Highbush Blueberry Growth and Soil Chemical Properties. Korean J. Soil Sci. Fertil. 2010, 43, 858–863. [Google Scholar]
- Yamani, A.; Achmad, B. Peat Soil as an Alternative Soil Substrate and Its Effect on Balangeran (Shorea Belangeran) Seedling Growth. Int. J. Biosci. 2019, 14, 188–196. [Google Scholar] [CrossRef]
- Chen, F.S.; Wang, G.R.; Zhang, C.X. Effects of adding peat on amelioration of aeolian sandy soil and vegetable growth. Chin. J. Ecol. 2003, 04, 16–19. [Google Scholar]
- Shi, Z.Y. Mechanisms of Biochar to Ameliorate Saline-Alkaline Soil and Promote Alfalfa Growth. Master’s Thesis, Lanzhou University, Lanzhou, China, 2023. [Google Scholar]
- Gharred, J.; Derbali, W.; Derbali, I.; Badri, M.; Abdelly, C.; Slama, I.; Koyro, H.-W. Impact of biochar application at water shortage on biochemical and physiological processes in medicago ciliaris. Plants 2022, 11, 2411. [Google Scholar] [CrossRef]
- Wu, Y.; Wang, X.; Zhang, L.; Zheng, Y.; Liu, X.; Zhang, Y. The critical role of biochar to mitigate the adverse impacts of drought and salinity stress in plants. Front. Plant Sci. 2023, 14, 1163451. [Google Scholar] [CrossRef] [PubMed]
- Yang, Y.; Ahmed, W.; Wang, G.; Ye, C.; Li, S.; Zhao, M.; Zhang, J.; Wang, J.; Salmen, S.H.; Wu, L.; et al. Transcriptome Profiling Reveals the Impact of Various Levels of Biochar Application on the Growth of Flue-Cured Tobacco Plants. BMC Plant Biol. 2024, 24, 655. [Google Scholar] [CrossRef]
- Singh, B.; Singh, B.P.; Cowie, A.L. Characterisation and Evaluation of Biochars for Their Application as a Soil Amendment. Soil Res. 2010, 48, 516–525. [Google Scholar] [CrossRef]
- Wang, J.; Yuan, G.; Lu, J.; Jun, W.; Jing, W. Effects of biochar and peat on salt-affected soil extract solution and wheat seedling germination in the Yellow River Delta. Arid. Land Res. Manag. 2020, 34, 287–305. [Google Scholar] [CrossRef]
- Guo, J.; Wang, F.H.; Zhao, J.J. Effects of Gibberellin on Seed Germination and Growth of Cherry Radish under Salt Stress. Vegetables 2024, 03, 29–35. [Google Scholar] [CrossRef]
- Wintermans, J.F.G.M.; Mots, A.D. Spectrophotometric characteristics of chlorophylls a and b and their pheophytins in ethanol. Biochim. Biophys. Acta BBA—Plant Biochem. Physiol. 1965, 109, 448–453. [Google Scholar] [CrossRef]
- Xu, X.J.; Li, Y.C. Comparison of two methods for determining the relative electrical conductivity of plants. Jiangsu Agric. Sci. 2014, 42, 311–312. [Google Scholar] [CrossRef]
- Chance, B.; Maehly, A.C. Assay of catalases and peroxidases. Methods Enzymol. 1955, 2, 764–775. [Google Scholar] [CrossRef]
- Bradford, M.M. A rapid and sensitive method for the quantitation of microgram quantities of protein utilizing the principle of protein-dye binding. Anal. Biochem. 1976, 72, 248–254. [Google Scholar] [CrossRef]
- Panpan, Z.; Jianglong, S. Effect of Brackish Water Irrigation on the Movement of Water and Salt in Salinized Soil. Open Geosci. 2022, 14, 404–413. [Google Scholar] [CrossRef]
- Chuncheng, L.; Bingjian, C.; Tilahun, Z.K.; Chao, H.; Haiqing, W.; Erping, C.; Pengfei, H.; Feng, G. Risk of Secondary Soil Salinization under Mixed Irrigation Using Brackish Water and Reclaimed Water. Agronomy 2021, 11, 2039. [Google Scholar] [CrossRef]
- Lu, P.; Zhang, Z.; Sheng, Z.; Huang, M.; Zhang, Z. Effect of Surface Straw Incorporation Rate on Water–Salt Balance and Maize Yield in Soil Subject to Secondary Salinization with Brackish Water Irrigation. Agronomy 2019, 9, 341. [Google Scholar] [CrossRef]
- Asapo, E.S.; Coles, C.A. Characterization and Comparison of Saprist and Fibrist Newfoundland Sphagnum Peat Soils. J. Miner. Mater. Charact. Eng. 2012, 11, 709–718. [Google Scholar] [CrossRef]
- Wang, C.C. Peat and Organic Fertilizer Research on Improving Coastal Saline-Alkali Soil. Master’s Thesis, Hebei Agricultural University, Baoding, China, 2021. [Google Scholar] [CrossRef]
- Yang, M.; Yang, R.; Li, Y.; Pan, Y.; Sun, J.; Zhang, Z. Effects of Different Peat Application Methods on Water and Salt Migration in a Coastal Saline Soil. J. Soil Sci. Plant Nutr. 2021, 22, 1–10. [Google Scholar] [CrossRef]
- Huichen, F. Effect and Mechanism of Biochar Amendment on Saline-Alkali Soils. Land Sci. 2025, 6, 19. [Google Scholar] [CrossRef]
- Yu, C.; Chen, H.; Tang, B.; Liu, H.; Liu, X.; Zhang, H.; Wang, G. Biochar Integrate Dicyandiamide Modified Soil Aggregates and Optimized Nitrogen Supplying to Boosting the Soybean-Wheat Yield in Saline-Alkali Soil. Soil Tillage Res. 2026, 257, 106922. [Google Scholar] [CrossRef]
- Zhang, L.; Bate, B.; Cui, J.; Feng, Y.; Yu, J.; Cui, Z.; Wang, H.; Li, Q. Biochar Input to Saline-Alkali Farmland Can Improve Soil Health and Crop Yield: A Meta-Analysis. Agriculture 2025, 15, 561. [Google Scholar] [CrossRef]
- Cui, J.Y.; Li, X.F.; Wu, S.Q.; Shao, G.C.; Liu, S.H. Effects of Biochar Addition on Maize Growth and Yield Under Brackish Water Irrigation. Water Sav. Irrig. 2022, 6, 1–9. [Google Scholar]
- Gale, N.V.; Thomas, S.C. Dose-Dependence of Growth and Ecophysiological Responses of Plants to Biochar. Sci. Total Environ. 2018, 658, 1344–1354. [Google Scholar] [CrossRef]
- Ni, G.; He, C.; Zeng, Y.; Zhang, J.L.; Wang, G.Z. Safe and Efficient Utilization of Saline and Brackish Water in Saline-alkali Farmland: Progress and Perspective. J. Irrig. Drain. 2023, 42, 149–156. [Google Scholar] [CrossRef]
- Wei, Y.; Jiao, L.; Zhang, P.; Liu, F.-D.; Xiao, H.; Dong, Y.-C.; Sun, H.-W. Research and Application Progress of Biochar in Amelioration of Saline-Alkali Soil. Environ. Sci. 2024, 45, 940–951. [Google Scholar] [CrossRef]
- Zhang, J.; Huang, Y.; Lin, J.; Chen, X.; Li, C.; Zhang, J. Biochar Applied to Consolidated Land Increased the Quality of an Acid Surface Soil and Tobacco Crop in Southern China. J. Soils Sediments 2019, 20, 3091–3102. [Google Scholar] [CrossRef]
- Abbasi, M.K.; Anwar, A.A. Ameliorating Effects of Biochar Derived from Poultry Manure and White Clover Residues on Soil Nutrient Status and Plant Growth Promotion--Greenhouse Experiments. PLoS ONE 2017, 10, e0131592. [Google Scholar] [CrossRef] [PubMed]
- Guang, G.; Lei, Y.; Kaiqing, T. The potential and prospects of modified biochar for comprehensive management of salt-affected soils and plants: A critical review. Sci. Total Environ. 2023, 912, 169618. [Google Scholar] [CrossRef]
- Martínez, M.M.; Maldonado, J.A.; Mendoza, B.A. Citric acid–modified coconut shell biochar mitigates saline–alkaline stress in Solanum lycopersicum L. by modulating enzyme activity in the plant and soil. Open Agric. 2025, 10, 20250474. [Google Scholar] [CrossRef]
- Rijk, I.; Ekblad, A.; Dahlin, A.S.; Enell, A.; Larsson, M.; Leroy, P.; Kleja, D.B.; Tiberg, C.; Hallin, S.; Jones, C. Biochar and peat amendments affect nitrogen retention, microbial capacity and nitrogen cycling microbial communities in a metal and polycyclic aromatic hydrocarbon contaminated urban soil. Sci. Total Environ. 2024, 936, 173454. [Google Scholar] [CrossRef]
- Xin, J.; Zhao, X.; Tan, Q.; Sun, X.; Zhao, Y.; Hu, C. Effects of cadmium exposure on the growth, photosynthesis, and antioxidant defense system in two radish (Raphanus sativus L.) cultivars. Photosynthetica 2019, 57, 967–973. [Google Scholar] [CrossRef]
- Zhang, X.; Lin, T.; Xu, H. Photosynthetic and Physiological Characteristics of Three Common Halophytes and Their Relationship with Biomass Under Salt Stress Conditions in Northwest China. Appl. Sci. 2024, 14, 11890. [Google Scholar] [CrossRef]
- Xiaoshan, W.; Jing, W.; Juncheng, Y. Comparison of the physiological factors in ion accumulation and photosynthetic electron transport between legumes Medicago truncatula and Medicago sativa under salt stress. Plant Soil 2022, 484, 473–486. [Google Scholar] [CrossRef]
- Yang, J.; Yang, M.X.; Dong, B.D. Research progress in soil water/salt dynamics and crop growth under saline water irrigation. Chin. J. Eco-Agric. 2011, 19, 976–981. [Google Scholar] [CrossRef]
- Zhou, D. Effects of Salt Stress on Photosynthesis and Water in Plants. Bot. Res. 2021, 10, 8. [Google Scholar] [CrossRef]
- Shu, S.; Guo, S.R.; Sun, J. Research Progress on Photosynthesis under Salt Stress. China Veg. 2012, 18, 53–61. [Google Scholar] [CrossRef]
- Zouhaier, B.; Wahbi, D.; Wided, C.; Chedly, A.; Abderrazak, S. Salt Impact on Photosynthesis and Leaf Ultrastructure of Aeluropus Littoralis. J. Plant Res. 2007, 120, 529–537. [Google Scholar] [CrossRef] [PubMed]
- Meng, S.Y.; Wang, Q.; Wei, Y.; Ling, C.H.; Zhang, Y.; Wang, H.T. Effects of salt stress on the growth and photosynthetic production of Euonymus hamiltonianus. J. Shandong Univ. Nat. Sci. 2019, 54, 26–34. [Google Scholar]
- Wu, F.Z. Impacts of NaCl Stress on the Growth and Photosynthetic Physiological Characteristics of Highbush Blueberry Seedling. Acta Bot. Boreali-Occident. Sin. 2015, 35, 2258–2265. [Google Scholar]
- Kyziol, J. Effect of Physical Properties and Cation Exchange Capacity on Sorption of Heavy Metals onto Peats. Pol. J. Environ. Stud. 2002, 11, 713. [Google Scholar]
- Ma, Y.Y. Effects of K+ and Ca2+ supplement on plant growth, physiology and yield of salt-stressed and drought-stressed cotton. Doctoral Dissertation, Northwest A&F University, Xianyang, China, 2022. [Google Scholar] [CrossRef]
- Zhang, L.J.; Qu, J.S.; Zhu, Q.N.; Yan, X.J. Effects of Peat Added on Domestication Culturing of Allium victorialis L. J. Ningxia Agric. For. Sci. Technol. 2019, 60, 11–13+18. [Google Scholar]
- Kamal, M.Z.U.; Sarker, U.; Roy, S.K.; Alam, M.S.; Azam, M.G.; Miah, M.Y.; Hossain, N.; Ercisli, S.; Alamri, S. Manure-Biochar Compost Mitigates the Soil Salinity Stress in Tomato Plants by Modulating the Osmoregulatory Mechanism, Photosynthetic Pigments, and Ionic Homeostasis. Sci. Rep. 2024, 14, 21929. [Google Scholar] [CrossRef]
- Mahmood, S.; Al-Solaimani, S.G.; Shams, S.; Naveed, S.; Haider, B.; Naveed, M.; Ali, R.; Waqas, M. Silicon and Biochar Synergistically Stimulate Nutrients Uptake, Photosynthetic Pigments, Gaseous Exchange and Oxidative Defense to Improve Maize Growth Under Salinity. Water Air Soil Pollut. 2024, 235, 413. [Google Scholar]
- Chen, J.H. Effects of Biochar Addition on the Growth of Perilla Frutescens and Soil Physicochemical Properties Under Salt Stress. Master’s Thesis, Zhejiang A&F University, Hangzhou, China, 2024. [Google Scholar] [CrossRef]
- Helaoui, S.; Boughattas, I.; Mkhinini, M.; Ghazouani, H.; Jabnouni, H.; El Kribi-Boukhris, S.; Marai, B.; Slimani, D.; Arfaoui, Z.; Banni, M. Biochar Application Mitigates Salt Stress on Maize Plant: Study of the Agronomic Parameters, Photosynthetic Activities and Biochemical Attributes. Plant Stress 2023, 9, 100182. [Google Scholar] [CrossRef]
- Chang, C.Y.; Yan, H.; Lu, Y.X.; Qin, T.; Bai, Y.N. Research Progress of Salt Stress on Plant. Chin. Agric. Sci. Bull. 2025, 41, 82–88. [Google Scholar]
- Huang, Y.; Cao, H.; Yang, L.; Chen, C.; Shabala, L.; Xiong, M.; Niu, M.; Liu, J.; Zheng, Z.; Zhou, L.; et al. Tissue-specific respiratory burst oxidase homolog-dependent H2O2 signaling to the plasma membrane H+-ATPase confers potassium uptake and salinity tolerance in Cucurbitaceae. J. Exp. Bot. 2019, 70, 5879–5893. [Google Scholar] [CrossRef] [PubMed]
- Farhangi-Abriz, S.; Torabian, S. Antioxidant Enzyme and Osmotic Adjustment Changes in Bean Seedlings as Affected by Biochar under Salt Stress. Ecotoxicol. Environ. Saf. 2017, 137, 64–70. [Google Scholar] [CrossRef]
- Ahanger, M.A.; Tomar, N.S.; Tittal, M.; Argal, S.; Agarwal, R.M. Plant Growth under Water/Salt Stress: ROS Production; Antioxidants and Significance of Added Potassium under Such Conditions. Physiol. Mol. Biol. Plants 2017, 23, 731–744. [Google Scholar] [CrossRef]
- Asfaw, K.G.; Liu, Q.; Xu, X.; Manz, C.; Purper, S.; Eghbalian, R.; Münch, S.W.; Wehl, I.; Bräse, S.; Eiche, E.; et al. A Mitochondria-Targeted Coenzyme Q Peptoid Induces Superoxide Dismutase and Alleviates Salinity Stress in Plant Cells. Sci. Rep. 2020, 10, 11563. [Google Scholar] [CrossRef] [PubMed]





| Total Nitrogen (g/kg) | Hydrolyzable Nitrogen (mg/kg) | Available Phosphorus (mg/kg) | Available Potassium (mg/kg) | Organic Matter (g/kg) | Total Salt Content (%) | Electrical Conductivity EC (μS/cm) | pH | |
|---|---|---|---|---|---|---|---|---|
| Soil | 0.79 | 51.36 | 13.60 | 123.60 | 12.20 | 0.041 | 301.33 | 7.91 |
| Peat | 9.86 | 120.60 | 20.23 | 75.60 | 95.00 | 0.037 | 364.67 | 6.03 |
| Biochar | 1.12 | 20.32 | 653.20 | 635.70 | 78.62 | 0.360 | 2510.00 | 8.11 |
Disclaimer/Publisher’s Note: The statements, opinions and data contained in all publications are solely those of the individual author(s) and contributor(s) and not of MDPI and/or the editor(s). MDPI and/or the editor(s) disclaim responsibility for any injury to people or property resulting from any ideas, methods, instructions or products referred to in the content. |
© 2026 by the authors. Licensee MDPI, Basel, Switzerland. This article is an open access article distributed under the terms and conditions of the Creative Commons Attribution (CC BY) license.
Share and Cite
Liu, G.; Zhou, Y.; Zhu, H.; Qi, Y.; Jia, Y.; Xu, H.; Sun, X.; Zheng, B. Application of Peat or Biochar on Raphanus sativus L. ‘Cherry Belle’ Under Brackish Water Irrigation: Its Effect on Growth and Salt Tolerance. Horticulturae 2026, 12, 248. https://doi.org/10.3390/horticulturae12020248
Liu G, Zhou Y, Zhu H, Qi Y, Jia Y, Xu H, Sun X, Zheng B. Application of Peat or Biochar on Raphanus sativus L. ‘Cherry Belle’ Under Brackish Water Irrigation: Its Effect on Growth and Salt Tolerance. Horticulturae. 2026; 12(2):248. https://doi.org/10.3390/horticulturae12020248
Chicago/Turabian StyleLiu, Guili, Yongkang Zhou, Haiyan Zhu, Yanfeng Qi, Yanhui Jia, Haicheng Xu, Xiaoan Sun, and Bo Zheng. 2026. "Application of Peat or Biochar on Raphanus sativus L. ‘Cherry Belle’ Under Brackish Water Irrigation: Its Effect on Growth and Salt Tolerance" Horticulturae 12, no. 2: 248. https://doi.org/10.3390/horticulturae12020248
APA StyleLiu, G., Zhou, Y., Zhu, H., Qi, Y., Jia, Y., Xu, H., Sun, X., & Zheng, B. (2026). Application of Peat or Biochar on Raphanus sativus L. ‘Cherry Belle’ Under Brackish Water Irrigation: Its Effect on Growth and Salt Tolerance. Horticulturae, 12(2), 248. https://doi.org/10.3390/horticulturae12020248

