NH4+-N Promotes Fluoride Transport and NO3−-N Increases Fluoride Fixation in Roots of Camellia sinensis
Abstract
1. Introduction
2. Materials and Methods
2.1. Plant Materials and Treatments
2.2. Determination of Root Activity
2.3. Determination of Photosynthetic Parameters
2.4. Determination of Fluoride (F) Content, Total Nitrogen (N) Content, Potassium (K) Content, Phosphorus (P) Content, Calcium (Ca) Content and Other Elements
2.5. Measurement of Microelectrode H+, NO3−, NH4+ Fluxes and Membrane Potential
2.6. Sequence Correlation Analysis of CsCLCs Proteins
2.7. RNA Extraction and Quantitative Real-Time PCR Expression Analysis
2.8. Data Statistics and Analysis
3. Results
3.1. Phenotype and Activity of Root System
3.2. Response of Photosynthetic System to F and N Treatment
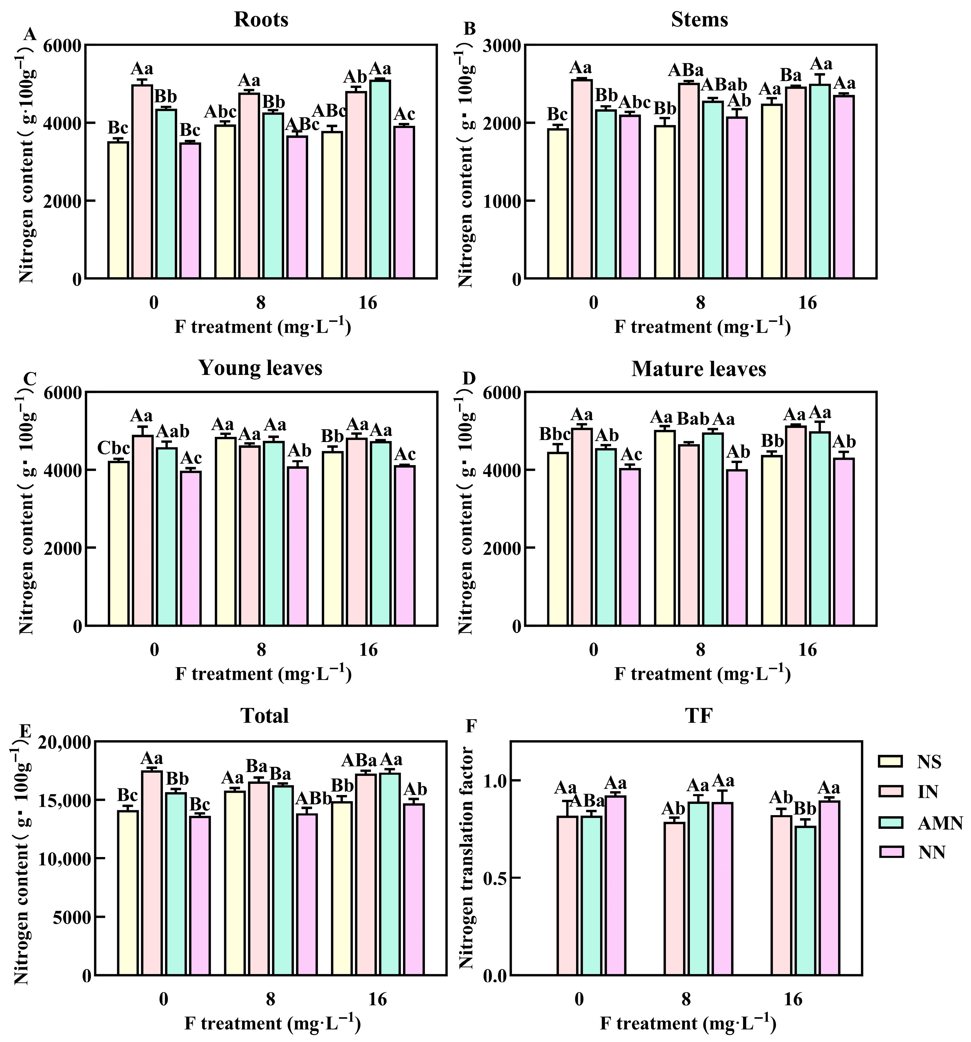
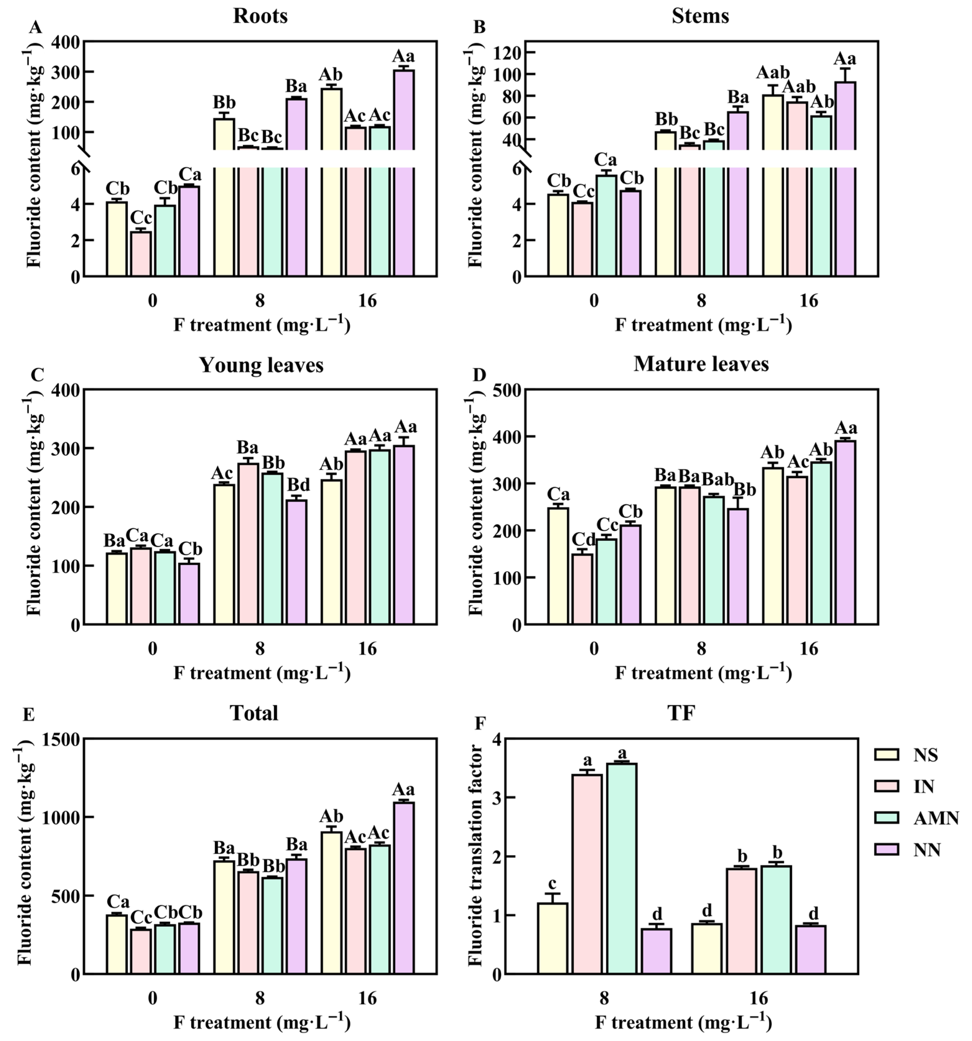
3.3. Effect of F and N Treatment on Accumulation and Translocation of F, N, K and Other Mineral Elements
3.4. Effect of F and N Treatment on Root H+, NH4+, NO3− Fluxes and Membrane Potential
3.5. Sequence Analysis of CsCLCs
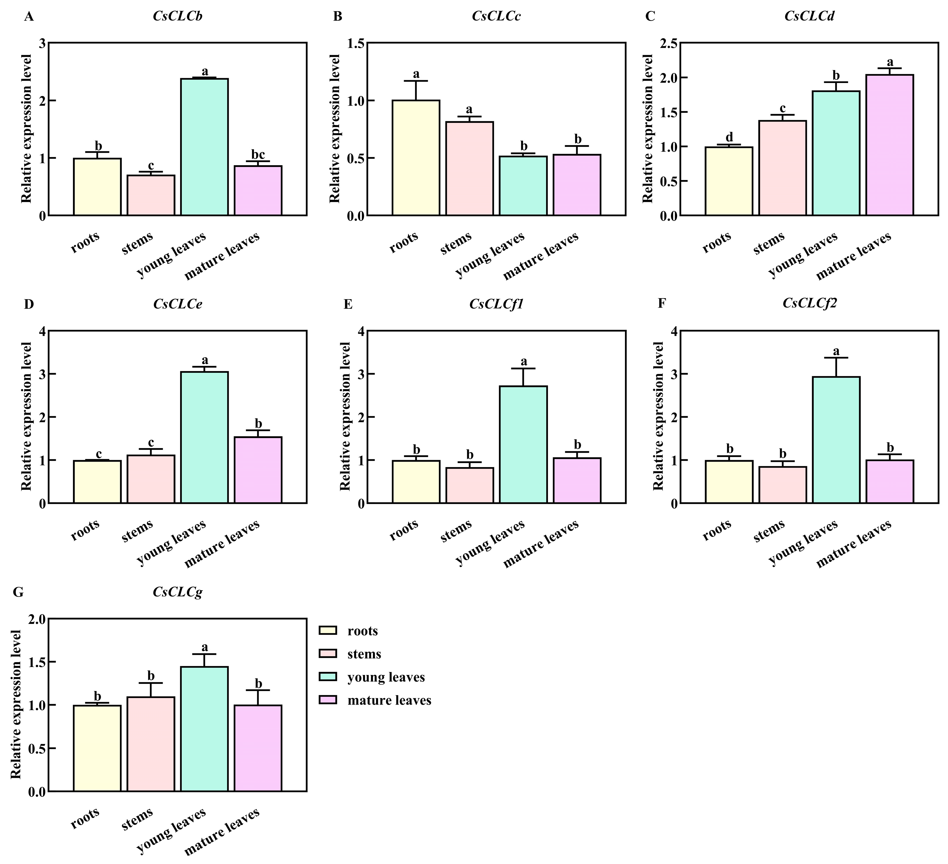
3.6. Expression of CsCLCs in Various Tissues of C. sinensis
3.7. CsCLCs and CsFEX Expression Analysis Under F and N Treatment
4. Discussion
4.1. N Mitigated Inhibition of F on Growth of C. sinensis
4.2. NN Immobilized F Accumulation in Roots, While AMN Increased F Translocation via an Al-Mediated Pathway
4.3. CsCLCs and CsFEX Play a Role in Different N and F Treatments of C. sinensis
5. Conclusions
Supplementary Materials
Author Contributions
Funding
Data Availability Statement
Conflicts of Interest
References
- Ghanati, F.; Morita, A.; Yokota, H. Effects of aluminum on the growth of tea plant and activation of antioxidant system. Plant Soil 2025, 276, 133–141. [Google Scholar] [CrossRef]
- Ghassemi-Golezani, K.; Farhangi-Abriz, S. Biochar alleviates fluoride toxicity and oxidative stress in safflower (Carthamus tinctorius L.) seedlings. Chemosphere 2019, 223, 406–415. [Google Scholar] [CrossRef] [PubMed]
- Pan, J.; Li, D.; Zhu, J.; Shu, Z.; Ye, X.; Xing, A.; Wen, N.; Ma, Y.; Zhu, X.; Fang, W.; et al. Aluminum relieves fluoride stress through stimulation of organic acid production in Camellia sinensis. Physiol. Mol. Biol. Plants 2020, 26, 1127–1137. [Google Scholar] [CrossRef] [PubMed]
- Cai, H.; Dong, Y.; Li, Y.; Li, D.; Peng, C.; Zhang, Z.; Wan, X. Physiological and cellular responses to fluoride stress in tea (Camellia sinensis) leaves. Acta Physiol. Plant. 2016, 38, 144. [Google Scholar] [CrossRef]
- Ghassemi-Golezani, K.; Farhangi-Abriz, S. Biochar related treatments improved physiological performance, growth and productivity of Mentha crispa L. plants under fluoride and cadmium toxicities. Ind. Crop. Prod. 2023, 194, 1169278. [Google Scholar] [CrossRef]
- Xing, A.; Wu, Z.; Xu, X.; Sun, Y.; Wang, G.; Wang, Y. Research advances of fluoride accumulation mechanisms in tea plants (Camellia sinensis). J. Tea Sci. 2022, 42, 301–315. [Google Scholar] [CrossRef]
- Makete, N.; Rizzu, M.; Seddaiu, G.; Gohole, L.; Otinga, A. Fluoride toxicity in cropping systems: Mitigation, adaptation strategies and related mechanisms. A review. Sci. Total Environ. 2022, 833, 155129. [Google Scholar] [CrossRef] [PubMed]
- Peng, C.; Xu, X.; Ren, Y.; Niu, H.; Yang, Y.; Hou, R.; Wan, X.; Cai, H. Fluoride absorption, transportation and tolerance mechanism in Camellia sinensis, and its bioavailability and health risk assessment: A systematic review. J. Sci. Food Agric. 2021, 101, 379–387. [Google Scholar] [CrossRef] [PubMed]
- Zhu, J.; Xing, A.; Wu, Z.; Tao, J.; Ma, Y.; Wen, B.; Zhu, X.; Fang, W.; Wang, Y. CsFEX, a fluoride export protein gene from Camellia sinensis, alleviates fluoride toxicity in transgenic Escherichia coli and Arabidopsis thaliana. J. Agric. Food Chem. 2019, 67, 5997–6006. [Google Scholar] [CrossRef] [PubMed]
- Xing, A. Identification of CLC in Camellia sinensis and functional verification of CsCLCe. Master's Thesis, Nanjing Agricultural University, Nanjing, China, 2020. [Google Scholar]
- Wu, Z.; Xing, A.; Chu, R.; Xu, X.; Sun, Y.; Zhu, J.; Yang, Y.; Yin, J.; Wang, Y. The fluoride exporter (CsFEX) regulates fluoride uptake/accumulation in Camellia sinensis under different pH. Ecotoxicol. Environ. Saf. 2024, 278, 116407. [Google Scholar] [CrossRef] [PubMed]
- Stockbridge, R.B.; Lim, H.; Otten, R.; Williams, C.; Shane, T.; Weinberg, Z.; Miller, C. Fluoride resistance and transport by riboswitch-controlled CLC antiporters. Proc. Natl. Acad. Sci. USA 2012, 109, 15289–15294. [Google Scholar] [CrossRef] [PubMed]
- Nedelyaeva, O.I.; Shuvalov, A.V.; Balnokin, Y.V. Chloride channels and transporters of the CLC family in plants. Russ. J. Plant Physiol. 2020, 67, 767–784. [Google Scholar] [CrossRef]
- Silva-Herrera, H.; Wege, S.; Franzisky, B.L.; Ahmad, N.; Roelfsema, M.R.G.; Geilfus, C.M. Chloride transport and homeostasis in plants. Quant. Plant Biol. 2025, 6, e20. [Google Scholar] [CrossRef] [PubMed]
- Tang, D.; Liu, M.; Zhang, Q.; Ma, L.; Shi, Y.; Ruan, J. Preferential assimilation of NH4+ over NO3- in tea plant associated with genes involved in nitrogen transportation, utilization and catechins biosynthesis. Plant Sci. 2020, 291, 110369. [Google Scholar] [CrossRef] [PubMed]
- Ruan, J.; Gerendás, J.; Härdter, R.; Sattelmacher, B. Effect of nitrogen form and root-zone pH on growth and nitrogen uptake of tea (Camellia sinensis) plants. Ann. Bot. 2007, 99, 301–310. [Google Scholar] [CrossRef] [PubMed]
- Rivero-Marcos, M.; Lasa, B.; Neves, T.; Zamarreño, A.; García-Mina, J.; García-Olaverri, C.; Aparicio-Tejo, P.; Cruz, C.; Ariz, I. Plant ammonium sensitivity is associated with external pH adaptation, repertoire of nitrogen transporters, and nitrogen requirement. J. Exp. Bot. 2024, 75, 3557–3578. [Google Scholar] [CrossRef] [PubMed]
- Li, B.; Li, G.; Kronzucker, H.J.; Baluška, F.; Shi, W. Ammonium stress in Arabidopsis signaling, genetic loci, and physiological targets. Trends Plant Sci. 2014, 19, 107–114. [Google Scholar] [CrossRef] [PubMed]
- Britto, D.T.; Kronzucker, H.J. NH4+ toxicity in higher plants: A critical review. J. Plant Physiol. 2002, 159, 567–584. [Google Scholar] [CrossRef]
- Su, J.; Ruan, L.; Wang, L.; Wei, K.; Wu, L.; Bai, P.; Cheng, H. Early Identification of Nitrogen Absorption Efficiency in Tea Plants. J. Tea Sci. 2020, 40, 576–587. [Google Scholar] [CrossRef]
- Chen, L.; Chen, J.; Wang, N.; Zhang, X. The role of plasma membrane H+-ATPase on nitrogen-regulated phosphorus uptake in tea plants. J. Tea Sci. 2019, 39, 723–730. [Google Scholar] [CrossRef]
- Ruan, J.; Zhang, F.; Wong, M.H. Effect of nitrogen form and phosphorus source on the growth, nutrient uptake and rhizosphere soil property of Camellia sinensis L. Plant Soil 2000, 223, 63–71. [Google Scholar] [CrossRef]
- Ma, J.; Ryan, P.; Delhaize, E. Aluminium tolerance in plants and the complexing role of organic acids. Trends Plant Sci. 2001, 6, 273−278. [Google Scholar] [CrossRef] [PubMed]
- Huang, S.; Li, M.; Luo, J.; Chang, Y.; Zhang, Y.; Guo, G. Response of Root Development and Auxin in Tea Plants to Different Nitrogen Forms. J. Hennan Agric. Sci. 2024, 53, 54–65. [Google Scholar] [CrossRef]
- Wang, P.; Cao, H.; Quan, S.; Wang, Y.; Li, M.; Wei, P.; Zhang, M.; Wang, H.; Ma, H.; Li, X.; et al. Nitrate improves aluminium resistance through SLAH-mediated citrate exudation from roots. Plant Cell Environ. 2023, 46, 3518–3541. [Google Scholar] [CrossRef] [PubMed]
- Wang, Y.; Di, B.; Sun, Z.; Sonali; Donovan-Mak, M.; Chen, Z.; Wang, M. Multi-omics and physiological analysis reveal crosstalk between aphid resistance and nitrogen fertilization in wheat. Plant Cell Environ. 2024, 48, 2024–2039. [Google Scholar] [CrossRef] [PubMed]
- Tavakoli, F.; Hajiboland, R.; Haeili, M.; Sadeghzadeh, N.; Nikolic, M. Effect of elevated ammonium on biotic and abiotic stress defense responses and expression of related genes in cucumber (Cucumis sativus L.) plants. Plant Physiol. Biochem. 2025, 218, 109310. [Google Scholar] [CrossRef] [PubMed]
- Ye, L.; Zhang, D.; Yang, Q.; Pan, C.; Xie, Y.; Liu, K.; Wang, K.; Liu, M. Plant sex influences cadmium detoxification via mediating cadmium transport and cell wall modification under different nitrogen forms. Plant Cell Environ. 2025, 48, 7517–7532. [Google Scholar] [CrossRef] [PubMed]
- Enomoto, T.; Tone, N.; Ishii, T.; Hirono, H.; Oi, A.; Hirono, Y.; Ikka, T.; Yamashita, H. Effect of ammonium: Nitrate application ratios on growth and nitrogen metabolism of tea plants (Camellia sinensis L.). Plant Direct 2025, 9, e70084. [Google Scholar] [CrossRef] [PubMed]
- Sun, Y.; Wu, Z.; Xing, A.; Zhang, H.; Xu, X.; Gong, Z.; Zhao, Z.; Liu, S.; Chen, X.; Li, X.; et al. Potassium alleviates fluoride accumulation and enhances fluoride tolerance in Camellia sinensis. Ind Crop Prod. 2024, 219, 119026. [Google Scholar] [CrossRef]
- Ruf, M.; Brunner, I. Vitality of tree fine roots: Reevaluation of the tetrazolium test. Tree Physiol. 2003, 23, 257–263. [Google Scholar] [CrossRef] [PubMed]
- Gao, H.; Zhang, Z.; Wan, X. Influences of charcoal and bamboo charcoal amendment on soil-fluoride fractions and bioaccumulation of fluoride in tea plants. Environ. Geochem. Health 2012, 34, 551–562. [Google Scholar] [CrossRef] [PubMed]
- Lu, R. Analytical Methods for Soil and Agricultural Chemistrys; China Agricultural Science and Technology Press: Beijing, China, 2000. [Google Scholar]
- Nie, F. New comprehensions of hyperaccumulator. Ecol. Environ. 2005, 14, 136–138. [Google Scholar] [CrossRef]
- Livak, K.J.; Schmittgen, T.D. Analysis of relative gene expression data using real-time quantitative PCR and the 2(-Delta Delta C(T)) Method. Methods 2001, 25, 402–408. [Google Scholar] [CrossRef] [PubMed]
- Jayasingha, H.; Amarasooriya, G.; Rajapaksha, N.; Senavirathna, L.; Weragoda, S.; Kawakami, T.; Kuroda, K. Fluoride in tea: Accumulation, dietary exposure, and future strategies for risk mitigation in food safety; a scoping review. Crit. Rev. Food Sci. Nutr. 2025, 65, 8990–9003. [Google Scholar] [CrossRef] [PubMed]
- Xu, S.; Wei, Y.; Zhao, P.; Sun, Y.; Gao, K.; Yin, C.; Wang, C.; Fang, R.; Ye, J. A nitrate transporter OsNPF6.1 promotes nitric oxide signaling and virus resistance. Plant Cell Environ. 2025, 48, 6493–6508. [Google Scholar] [CrossRef] [PubMed]
- Govta, N.; Govta, L.; Sela, H.; Peleg, G.; Distelfeld, A.; Fahima, T.; Beckles, D.M.; Krugman, T. Plasticity of root system architecture and whole transcriptome responses underlying nitrogen deficiency tolerance conferred by a wild emmer wheat qtl. Plant Cell Environ. 2025, 48, 2835–2855. [Google Scholar] [CrossRef] [PubMed]
- Farhan, M.; Sathish, M.; Kiran, R.; Mushtaq, A.; Baazeem, A.; Hasnain, A.; Hakim, F.; Naqvi, S.A.; Mubeen, M.; Iftikhar, Y.; et al. Plant nitrogen metabolism: Balancing resilience to nutritional stress and abiotic challenges. Phyton-Int. J. Exp. Bot. 2024, 93, 581–609. [Google Scholar] [CrossRef]
- Li, M.; You, H.; Jiang, W.; Lu, S.; Hou, Y.; Xiao, J.; Zeng, W.; Xu, P.; Ding, X.; Wu, X.; et al. GsSnRK1.1 kinase positively regulates the Glycine soja nitrate transporter GsNRT2.4a in response to nitrogen starvation. Plant Cell Environ 2025. [Google Scholar] [CrossRef] [PubMed]
- Du, W.; Zhang, Y.; Si, J.; Zhang, Y.; Fan, S.; Xia, H.; Kong, L. Nitrate alleviates ammonium toxicity in wheat (Triticum aestivum L.) by regulating tricarboxylic acid cycle and reducing rhizospheric acidification and oxidative damage. Plant Signal. Behav. 2021, 16, 1991687. [Google Scholar] [CrossRef] [PubMed]
- Wang, Z.; Wu, Z. Insights into fluorine stabilization by biological approaches: Mechanisms, toxicity regulatory, application feasibility, and new challenges. Bioresour. Technol. 2025, 434, 132846. [Google Scholar] [CrossRef] [PubMed]
- Blamey, F.P.C.; Edmeades, D.C.; Wheeler, D.M. Empirical models to approximate calcium and magnesium ameliorative effects and genetic differences in aluminium tolerance in wheat. Plant Soil 1992, 144. [Google Scholar] [CrossRef]
- Ji, C.; Stockbridge, R.B.; Miller, C. Bacterial fluoride resistance, Fluc channels, and the weak acid accumulation effect. J. Gen. Physiol. 2014, 144, 257–261. [Google Scholar] [CrossRef] [PubMed]
- Gao, H.; Zhao, Q.; Zhang, X.; Wan, X.; Mao, J. Localization of fluoride and aluminum in subcellular fractions of tea leaves and roots. J. Agric. Food Chem. 2014, 62, 2313–2319. [Google Scholar] [CrossRef] [PubMed]
- Tausta, S.L.; Berbasova, T.; Peverelli, M.; Strobel, S.A. The fluoride transporter FLUORIDE EXPORTER (FEX) is the major mechanism of tolerance to fluoride toxicity in plants. Plant Physiol. 2021, 186, 1143–1158. [Google Scholar] [CrossRef] [PubMed]
- Xing, A.; Ma, Y.; Wu, Z.; Nong, S.; Zhu, J.; Sun, H.; Tao, J.; Wen, B.; Zhu, X.; Fang, W.; et al. Genome-wide identification and expression analysis of the CLC superfamily genes in tea plants (Camellia sinensis). Funct. Integr. Genom. 2020, 20, 497–508. [Google Scholar] [CrossRef] [PubMed]
- Brammer, A.E.; Stockbridge, R.B.; Miller, C. F−/Cl− selectivity in CLCF-type F-/H+ antiporters. J. Gen. Physiol. 2014, 144, 129–136. [Google Scholar] [CrossRef] [PubMed]
- Banerjee, A.; Roychoudhury, A.; Ghosh, P. Differential fluoride uptake induces variable physiological damage in a non-aromatic and an aromatic indica rice cultivar. Plant Physiol. Biochem. 2019, 142, 143–150. [Google Scholar] [CrossRef] [PubMed]
- Harada, H.; Kuromori, T.; Hirayama, T.; Shinozaki, K.; Leigh, R.A. Quantitative trait loci analysis of nitrate storage in Arabidopsis leading to an investigation of the contribution of the anion channel gene, AtCLC-c, to variation in nitrate levels. J. Exp. Bot. 2004, 55, 2005–2014. [Google Scholar] [CrossRef] [PubMed]
- Jossier, M.; Kroniewicz, L.; Dalmas, F.; Thiec, D.L.; Ephritikhine, G.; Thomine, S.; Barbier-Brygoo, H.; Vavasseur, A.; Filleur, S.; Leonhardt, N. The Arabidopsis vacuolar anion transporter, AtCLCc, is involved in the regulation of stomatal movements and contributes to salt tolerance. Plant J. 2010, 64, 563–576. [Google Scholar] [CrossRef] [PubMed]
- Nguyen, C.T.; Agorio, A.; Jossier, M.; Depre, S.; Thomine, S.; Filleur, S. Characterization of the chloride channel-like, AtCLCg, involved in chloride tolerance in Arabidopsis thaliana. Plant Cell Physiol. 2016, 57, 764–775. [Google Scholar] [CrossRef] [PubMed]
- Moradi, H.; Elzenga, T.; Lanfermeijer, F. Role of the AtClC genes in regulation of root elongation in Arabidopsis. Iran. J. Genet. Plant Breed. 2015, 4, 8. [Google Scholar]









| Treatments | Day 5 | Day 30 |
|---|---|---|
| NS | Nitrogen-free nutrient solution | 0 mg·L−1 F + nitrogen-free nutrient solution |
| IN | Nitrogen-free nutrient solution | 0 mg·L−1 F + 2.14 mM NH4+-N + 0.714 mM NO3−-N + nitrogen-free nutrient solution |
| AMN | Nitrogen-free nutrient solution | 0 mg·L−1 F + 2.854 mM NH4+-N + nitrogen-free nutrient solution |
| NN | Nitrogen-free nutrient solution | 0 mg·L−1 F + 2.854 mM NO3−-N + nitrogen-free nutrient solution |
| 8NS | Nitrogen-free nutrient solution | 8 mg·L−1 F + nitrogen-free nutrient solution |
| 8IN | Nitrogen-free nutrient solution | 8 mg·L−1 F + 2.14 mM NH4+-N + 0.714 mM NO3−-N + nitrogen-free nutrient solution |
| 8AMN | Nitrogen-free nutrient solution | 8 mg·L−1 F + 2.854 mM NH4+-N + nitrogen-free nutrient solution |
| 8NN | Nitrogen-free nutrient solution | 8 mg·L−1 F + 2.854 mM NO3−-N + nitrogen-free nutrient solution |
| 16NS | Nitrogen-free nutrient solution | 16 mg·L−1 F + nitrogen-free nutrient solution |
| 16IN | Nitrogen-free nutrient solution | 16 mg·L−1 F + 2.14 mM NH4+-N + 0.714 mM NO3−-N + nitrogen-free nutrient solution |
| 16AMN | Nitrogen-free nutrient solution | 16 mg·L−1 F + 2.854 mM NH4+-N + nitrogen-free nutrient solution |
| 16NN | Nitrogen-free nutrient solution | 16 mg·L−1 F + 2.854 mM NO3−-N + nitrogen-free nutrient solution |
| Gene ID | Gene Name | CsCLCb | CsCLCc | CsCLCd | CsCLCe | CsCLCf1 | CsCLCf2 | CsCLCg |
|---|---|---|---|---|---|---|---|---|
| GWHPACFB030913 | CsCLCb | 100 | 70.61 | 57.16 | 25.48 | 30.27 | 31.43 | 65.61 |
| GWHPACFB012236 | CsCLCc | 70.61 | 100 | 59.76 | 25.00 | 30.66 | 29.11 | 66.98 |
| GWHTACFB017730 | CsCLCd | 57.16 | 59.76 | 100 | 22.56 | 32.33 | 33.19 | 56.21 |
| GWHTACFB012967 | CsCLCe | 25.48 | 25.00 | 22.56 | 100 | 42.59 | 41.51 | 23.95 |
| GWHPACFB019110 | CsCLCf1 | 30.27 | 30.66 | 32.33 | 42.59 | 100 | 86.89 | 31.44 |
| GWHPACFB024674 | CsCLCf2 | 31.43 | 29.11 | 33.19 | 41.51 | 86.89 | 100 | 31.64 |
| GWHPACFB009760 | CsCLCg | 65.61 | 66.98 | 56.21 | 23.95 | 31.44 | 31.64 | 100 |
Disclaimer/Publisher’s Note: The statements, opinions and data contained in all publications are solely those of the individual author(s) and contributor(s) and not of MDPI and/or the editor(s). MDPI and/or the editor(s) disclaim responsibility for any injury to people or property resulting from any ideas, methods, instructions or products referred to in the content. |
© 2026 by the authors. Licensee MDPI, Basel, Switzerland. This article is an open access article distributed under the terms and conditions of the Creative Commons Attribution (CC BY) license.
Share and Cite
Xing, A.; Peng, C.; Tang, Y.; Cao, R.; Ma, S.; Xu, X.; Wu, Z.; Sun, Y.; Wang, C.; Liu, S.; et al. NH4+-N Promotes Fluoride Transport and NO3−-N Increases Fluoride Fixation in Roots of Camellia sinensis. Horticulturae 2026, 12, 94. https://doi.org/10.3390/horticulturae12010094
Xing A, Peng C, Tang Y, Cao R, Ma S, Xu X, Wu Z, Sun Y, Wang C, Liu S, et al. NH4+-N Promotes Fluoride Transport and NO3−-N Increases Fluoride Fixation in Roots of Camellia sinensis. Horticulturae. 2026; 12(1):94. https://doi.org/10.3390/horticulturae12010094
Chicago/Turabian StyleXing, Anqi, Chunju Peng, Yan Tang, Renyong Cao, Shifu Ma, Xuefeng Xu, Zichen Wu, Yi Sun, Chunyan Wang, Shujing Liu, and et al. 2026. "NH4+-N Promotes Fluoride Transport and NO3−-N Increases Fluoride Fixation in Roots of Camellia sinensis" Horticulturae 12, no. 1: 94. https://doi.org/10.3390/horticulturae12010094
APA StyleXing, A., Peng, C., Tang, Y., Cao, R., Ma, S., Xu, X., Wu, Z., Sun, Y., Wang, C., Liu, S., Zhuang, J., Chen, X., Li, X., & Wang, Y. (2026). NH4+-N Promotes Fluoride Transport and NO3−-N Increases Fluoride Fixation in Roots of Camellia sinensis. Horticulturae, 12(1), 94. https://doi.org/10.3390/horticulturae12010094

