Next Article in Journal
Construction of a Nocturnal Low-Temperature Tolerance Index for Strawberry and Its Correlation with Yield
Previous Article in Journal
Functional Identification of the RiPFK2 Gene in Raspberry (Rubus idaeus L.) Demonstrates That It Enhances Fructose Content Inside Fruits
 
 
Font Type:
Arial Georgia Verdana
Font Size:
Aa Aa Aa
Line Spacing:
Column Width:
Background:
Article

Research on the Response Mechanism of the Photosynthetic System of Panax ginseng Leaves to High-Temperature Stress

1
State Local Joint Engineering Research Center of Ginseng Breeding and Application, Jilin Agricultural University, Changchun 130118, China
2
College of Traditional Chinese Medicinal Materials, Jilin Agricultural Science and Technology University, Jilin 132101, China
*
Authors to whom correspondence should be addressed.
These authors contributed equally to this work.
Horticulturae 2026, 12(1), 80; https://doi.org/10.3390/horticulturae12010080
Submission received: 17 November 2025 / Revised: 6 January 2026 / Accepted: 7 January 2026 / Published: 9 January 2026
(This article belongs to the Section Biotic and Abiotic Stress)

Abstract

Ginseng is widely regarded as the “King of Herbs” in traditional Chinese medicine. In recent years, escalating global warming and intensified human activities have led to a continuous rise in environmental temperatures, posing a significant threat to ginseng cultivation in China. Therefore, understanding how high-temperature stress affects the photosynthetic performance of ginseng is essential for developing efficient and sustainable cultivation practices. In this study, four temperature regimes were established to systematically investigate the impact of elevated temperatures on the photosynthetic system of ginseng leaves: 25/16 °C (CK), 30/20 °C, 35/24 °C, and 40/28 °C (day/night). The results demonstrated that high-temperature stress significantly inhibited photosynthesis. Specifically, the activities of key chlorophyll biosynthesis enzymes—porphobilinogen deaminase and delta-aminolevulinate dehydratase—were markedly reduced, resulting in the accumulation of critical intermediates in the chlorophyll pathway, including protoporphyrinIX, Mg-protoporphyrinIX, and protochlorophyll. Chlorophyll synthesis was severely impaired as a result. Consequently, the contents of chlorophyll a, chlorophyll b, and carotenoids declined by 25.38%, 12.52%, and 54.63%, respectively, indicating substantial disruption of the photosynthetic pigment system. Anatomical observations revealed that high-temperatures induced stomatal closure, impairing stomata exchange and further reducing photosynthetic efficiency. Moreover, chloroplast ultrastructure was severely compromised, characterized by excessive accumulation of osmiophilic granules, disorganized and loosely stacked thylakoid membranes, and impaired capacity for light energy capture and conversion. This study provides theoretical insights into the response mechanisms of ginseng leaf photosynthesis under heat stress and establishes a scientific basis for enhancing thermotolerance through breeding programs and improved cultivation management strategies.

Graphical Abstract

1. Introduction

In recent years, global temperature fluctuations have intensified and extreme high-temperature events have become more frequent [1,2], representing significant environmental factors affecting the growth and development of plants. Ginseng (Panax ginseng C.A. Meyer) is a perennial medicinal plant [3], rich in various bioactive components such as saponins [4], polysaccharides, alkaloids, and flavonoids [5]. It also has multiple functions, such as anti-inflammation [6], antioxidation [7], and anti-aging [8] effects, giving it high medicinal and economic value. Ginseng prefers a cool and moist growing environment with a temperature range of 21–25 °C, and it is extremely sensitive to high-temperature stress. Photosynthesis is a key process in its growth, and prolonged exposure to high temperatures in summer can damage the photosynthetic system of ginseng leaves [9,10], thereby affecting the overall growth and development of the plant and its medicinal quality. Therefore, systematically studying the response mechanism of ginseng leaf photosynthesis under high-temperature stress is of great significance for formulating targeted cultivation measures and ensuring good ginseng yield and quality.
Photosynthesis is the foundation for the growth and production of higher plants [11]. Temperature can directly regulate physiological processes such as carbon assimilation, transpiration, and respiratory metabolism [12]. Leaves, as the primary organ for photosynthesis, are highly sensitive to temperature changes. Existing studies have shown that under high-temperature stress, the net photosynthetic rate, stomatal conductance, and transpiration rate of rapeseed leaves gradually decrease [13]. Chlorophyll, as the core pigment for photosynthesis in higher plants, has a complex biosynthetic process involving multiple enzymes. High-temperature stress affects the biosynthesis of chlorophyll, leading to a decrease in the chlorophyll content, which weakens the plant’s photosynthetic capacity [14] and slows its growth. Siddhartha et al. [15] have shown that heat stress inhibits the synthesis of chlorophyll in pea plants, leading to a decline in photosynthetic process and suppressed growth. In addition, under high-temperature conditions, the ultrastructure of chloroplasts in plant leaves and the morphology and function of stomata will also change. Therefore, high-temperature stress affects the physiological metabolic balance of plants by interfering with key links in their photosynthetic physiology.
Existing studies on the effects of high-temperature stress on plants mainly assess wheat, rice, corn, and other crops, focusing on the impact of high-temperature stress on the stability of the cell membrane structure, oxidative damage, and other physiological processes. However, high-value and environment-sensitive medicinal plants such as ginseng still lack systematic research on the effects of high temperature on their leaf photosynthetic performance, chlorophyll synthesis, and changes in chloroplast ultrastructure. This study systematically investigates the effects of high-temperature stress on the photosynthetic characteristics, chlorophyll synthesis, and tissue structure changes in ginseng leaves, and it is the first to integrate physiological and ultrastructural features for research. High temperature may reduce the photosynthetic efficiency of ginseng leaves, inhibit chlorophyll synthesis, and damage the structure of chloroplasts. This study provides a theoretical basis for elucidating the heat tolerance-related physiological mechanisms of ginseng and offers practical support for optimizing temperature control strategies in its cultivation management.

2. Materials and Methods

2.1. Plant Material

Three-year-old ginseng plants (Fushun County Ginseng Plantation Base, Baishan, China) were used in the experiment. The experimental site was located in the greenhouse of Jilin Agricultural University in Changchun City, Jilin Province (longitude 125.4238° E, latitude 43.8136° N). The plants were placed in pots with a diameter of 11.5 cm and a height of 14.2 cm using a mixture of turf/vermiculite/soil/perlite (1:1:1:0.5) as the substrate. The average ambient temperature was in the range of 20–25 °C, and the relative humidity was in the range of 40–60%, representing the suitable growth environment for ginseng.

2.2. Methods

The ginseng plants were put into an artificial climate intelligent incubator (Shanghai Wanbai Biotechnology Co., Ltd., Shanghai, China), and the plants were grown in four different high-temperature environments: 25/16 °C (CK), 30/20 °C, 35/24 °C, and 40/28 °C (day/night). The illumination was 4500 Lx, the relative humidity was controlled at 40–60%, and a 14/10 h cycle was used (day/night). During the experiment, soil moisture was monitored daily using a soil moisture detector (QS-SFY-I soil moisture rapid measuring instrument, Shanghai, China), with the moisture level maintained between 40 and 50% and water administered as needed. Thirty ginseng plants were used in each high-temperature treatment group, and different growth chambers were used. Samples were randomly collected 12 h, 24 h, 36 h, and 48 h after high-temperature treatment and stored at −80 °C for subsequent use. Considering that the physiological performance and structural characteristics of leaves may change with different leaf development stages, we selected mature leaves (about 30 days after full expansion) and healthy plants with consistent growth for experimental treatment to study the changes in physiological and structural characteristics of leaves under high-temperature conditions. Three independent biological replicates were performed at each time point, and each biological replicate underwent three technical replicate determinations.

2.3. Determination of Leaf Relative Water Content

The plant samples were collected after the heat stress treatment. Five plants of the same size and moderate growth were randomly selected from each treatment group. Their leaves were taken, and their surfaces were washed clean with distilled water and weigh the fresh weight. Then, the leaf samples were immersed in distilled water for 8 h to ensure hydration and achieve tissue saturation. After removal, the surface moisture was blotted with absorbent paper, and the saturated fresh weight of the leaves was recorded. Then, the tested samples were dried in an oven (Shanghai Longyue Instrument & Equipment Co., Ltd., DHG-9203A, Shanghai, China) at 105 °C for 30 min to remove the water, and weighed for 24 h or until a constant weight was achieved. We determined the dry weight of the samples and calculated the relative water content (RWC) of the leaves as follows: RWC (%) = [(Wf − Wd)/(Wt − Wd)] × 100%. RWC is the leaf relative water content, Wf is the fresh weight of the leaf, Wd is the dry weight of the leaf, and Wt is the saturated fresh weight of the leaf [16].

2.4. Determination of Leaf Gas Exchange Parameters and Chlorophyll Fluorescence Parameters

A portable photosynthetic instrument (ADC BioScientific Ltd., Li-6400, Hoddesdon, UK) was used to measure the intercellular CO2 concentration (Ci), transpiration rate (Tr), net photosynthetic rate (Pn), and stomatal conductance (Gs) of leaves from plants under different treatments. The temperature of the leaf chamber was controlled at 25 °C, the CO2 concentration was 400 μmol·mol−1, and the photosynthetically active radiation (PAR) was 0–2000 μmol·m−2·s−1. After completing the measurements, we covered the test ginseng leaves with a specially made dark adaptation clip and placed them in a dark environment, allowing for full dark adaptation for 1 h. We used a handheld chlorophyll fluorometer (PSI, spol. s r. o., Drásov, FluorPen FP 110, Drásov, Czech Republic) to measure key parameters, including initial fluorescence (F0), maximum fluorescence (Fm), maximum quantum yield of photosystem II (PSII) (Fv/Fm), and non-photochemical quenching (NPQ). The values of F0, Fm and NPQ were directly determined by the instrument. Fv/Fm is calculated using the following formula: Fv/Fm = (Fm − F0)/Fm [17]. Three ginseng plants from each treatment group were randomly selected for measurement, with three fully expanded, disease-free mature leaves from each plant being used for three replicate measurements.

2.5. Activity Indicators of Key Enzyme Substances in Chlorophyll Precursors

The activity of delta-aminolevulinate dehydratase (ALAD) was determined using a kit (Shanghai Enzyme-Linked Biological Technology, YJ6352581, Shanghai, China) as follows: We set up standard wells and sample wells, adding 50 μL of standard solutions of different concentrations to each standard well. We first added 10 μL of the sample to be tested to the wells and then added 40 μL of sample diluent. No addition was made to the blank wells, and 100 μL of horseradish peroxidase (HRP)-labeled detection antibody was added to each standard well and sample well. The reaction wells were sealed with a sealing film and incubated in a 37 °C water bath for 60 min. We discarded the liquid, patted the samples dry using absorbent paper, filled each well with washing solution, let them stand for 1 min, and then discarded the liquid. We added 50 μL of Substrate A and 50 μL of Substrate B to each well and incubated the mixtures at 37 °C away from light for 15 min. Then, we measured the absorbance value at 450 nm. The concentration (x) of ALAD standard products (0–48 U/L) is linearly related to the absorbance value (y), with the linear equation being y = 0.0466x + 0.0882 (R2 = 0.9991).
The activity of porphobilinogen deaminase (PBGD) was determined using a kit (Shanghai Enzyme-Linked Biological Technology, YJ3680821, Shanghai, China) as follows: We set up standard wells and sample wells, adding 50 μL of standard solutions of different concentrations to each standard well. We added 10 μL of the sample to be tested to the sample wells and then added 40 μL of sample diluent. The blank wells were left unadded, and 100 μL of horseradish peroxidase (HRP)-labeled detection antibody was added to each standard well and sample well. The reaction wells were sealed with a plate sealer and incubated in a 37 °C water bath for 60 min. We discarded the liquid, patted the samples dry using absorbent paper, filled each well with washing solution, let the mixtures stand for 1 min, and then discarded the liquid. We added 50 μL of Substrate A and 50 μL of Substrate B to each well and incubated the mixtures at 37 °C away from light for 15 min. We then measured the absorbance value at 450 nm. The concentration (x) of PBGD standard (0–80 U/mL) is linearly related to the absorbance value (y), with the linear equation being y = 0.0176x + 0.0607 (R2 = 0.9992).

2.6. Content Index of Chlorophyll Precursor Substances

The contents of protoporphyrinIX (ProtoIX), Mg-protoporphyrinIX (Mg-ProtoIX), and protochlorophyll (Pchl) were determined using the Hodgins and Zhou method [18,19] with slight modifications. An amount of 0.1 g of fresh sample was weighed, and 1 mL of 80% alkaline acetone (Tianjin Xintong Fine Chemical Co., Ltd., Tianjin, Chain) was added. The mixture was ground, and its volume was adjusted to 5 mL. Centrifugation was carried out at 12,000 g for 10 min at 4 °C. The supernatant was used to measure the absorbance at 575 nm, 590 nm, and 628 nm, and the contents of ProtoIX, Mg-protoIX, and Pchl were calculated.

2.7. Determination of Photosynthetic Pigment Content

Fresh ginseng leaves (0.1 g) that underwent high-temperature treatment were placed in a test tube containing 10 mL of ethanol (Sinopharm Chemical Reagent Co. Ltd., Shanghai, China)—acetone (Tianjin Xintong Fine Chemical Co., Ltd., Tianjin, Chain) mixture (1:1, v/v) to determine the content of photosynthetic pigments. The test tube was sealed and left in the dark overnight (48 h) until the leaf sample was completely decolorized and turned white. The absorbance of the supernatant at 663 nm, 646 nm, and 470 nm was measured using an Ultraviolet–Visible Spectrophotometer (UV-Vis, Shanghai Metashinstruments Co., Ltd., Shanghai, China), and the chlorophyll a (Chl a), chlorophyll b (Chl b), and carotenoid (Car) contents were calculated [20].

2.8. Detection of Stomatal Characteristics on Leaves

Electron micrographs of stomata were obtained using a scanning electron microscope to compare the differences in individual stomata under different high-temperature treatments. The specific operation was as follows: We selected tissue from both sides of the main vein in the middle part of the ginseng leaf and cut it into small pieces of (1 mm × 3 mm), quickly placed the pieces in the electron microscope fixative (2.5% glutaraldehyde, Servicebio, Wuhan, China), and left them at room temperature for 2 h before storing them at 4 °C. The fixed samples were washed for 15 min three times with 0.1 M phosphate buffer (PH 7.4) (Servicebio, Wuhan, China). The tissues were successively placed in 30%, 50%, 70%, 80%, 90%, 95%, and 100% alcohol (Sinopharm Chemical Reagent Co. Ltd., Shanghai, China) for 15 min each and placed in isopentyl acetate (Sinopharm Chemical Reagent Co. Ltd., Shanghai, China) for 15 min. The samples were placed in a critical point dryer (Quorum, K850, East Sussex, UK) for drying, adhered to the conductive carbon film double-sided tape, and placed on the sample stage of the ion-sputtering instrument (HITACHI, MC1000, Tokyo, Japan) for gold spraying. The morphology of the stomata was observed through a scanning electron microscope (HITACHI, SU8100, Tokyo, Japan). Three ginseng plants were randomly selected for measurement in each treatment group. Three leaves were selected from each plant, and six stomata were chosen from each leaf for observation and statistical analysis.

2.9. Detection of Chloroplast Ultrastructure

The ultrastructural changes in organelles were observed by transmission electron microscopy. Tissue from both sides of the main vein in the middle part of ginseng leaves was taken and cut into small pieces (1 mm × 3 mm), immediately fixed with electron microscopy fixative (2.5% glutaraldehyde, Servicebio, Wuhan, China), and stored in a 4 °C refrigerator for later use. The samples were washed for 15 min three times with 0.1 M phosphate buffer (PH 7.4) (Servicebio, Wuhan, China). The tissues were successively dehydrated in 30%, 50%, 70%, 80%, 95%, and 100% ethanol (Sinopharm Chemical Reagent Co. Ltd., Shanghai, China) for 20 min each and dehydrated twice in 100% acetone (Sinopharm Chemical Reagent Co. Ltd., Shanghai, China) for 15 min each. The tissues were then embedded in acetone/812 embedding agent (SPI, West Chester, PA, USA) at a 1:1 ratio at 37 °C for 2–4 h, followed by acetone/812 embedding agent at a 1:2 ratio at 37 °C overnight and finally in pure 812 embedding agent at 37 °C for 5–8 h. The pure 812 embedding agent was poured into the embedding plate, and the samples were inserted into the embedding plate and placed in a 37 °C oven overnight. The embedding plate was placed in a 60 °C oven for polymerization for 48 h, and the resin blocks were taken out for later use. The resin blocks were sectioned into 1.5 μm semi-thin sections using a semi-thin sectioning machine (Daitome, Ultra 45°, George Town, Japan), stained with toluidine blue, and located under a light microscope. The resin blocks were sectioned into 60–80 nm ultrathin sections using an Ultra microtome (Leica UC7, Wetzlar, Germany), and the sections were collected on 150 mesh copper grids. The copper grids were stained with 2% uranyl acetate (SPI, West Chester, PA, USA) saturated alcohol solution in the dark for 8 min, washed three times with 70% alcohol, washed three times with ultrapure water, stained with 2.6% lead citrate (Sigma, Saint Louis, MO, USA) solution in the absence of CO2 for 8 min, washed three times with ultrapure water, and slightly dried with filter paper. The copper grids with sections were placed in a copper grid box and dried at room temperature overnight. The ultrastructure of chloroplasts was observed by transmission electron microscopy (HITACHI, HT7800/HT7700, Tokyo, Japan). Three ginseng plants were randomly selected for measurement in each treatment group. Three leaves were selected from each plant, and six chloroplasts were chosen from each leaf for observation and statistical analysis.

2.10. Statistical Analysis

Data analysis was performed using SPSS 19.0 (IBM Corporation, 19.0, Chicago, IL, USA). The results are expressed as the means of three independent measurements. Statistical evaluation of the experimental data was performed using a one-way ANOVA followed by Duncan’s multiple range test. A difference was considered statistically significant when p < 0.05. The results were graphically depicted using the Prism 8.0 (GraphPad Software, San Diego, 8.0, CA, USA) and Origin Pro 2021 (OriginLab Corporation, 2021, Northampton, MA, USA) software.

3. Results

3.1. Effects of High-Temperature Stress on the Relative Water Content of Ginseng Leaf

The relative water content (RWC) of leaves is an important physiological indicator reflecting the water loss status of plant leaves in high-temperature environments. The results of this study show that under high-temperature stress conditions, the RWC of ginseng leaves decreased compared with the CK. Especially under the high-temperature stress treatment at 40/28 °C, the RWC dropped to 67.04%, representing a decrease of 9% compared with the CK (p < 0.05) (Table 1).

3.2. Effects of High-Temperature Stress on Photosynthetic and Chlorophyll Fluorescence Parameters in Ginseng Leaves

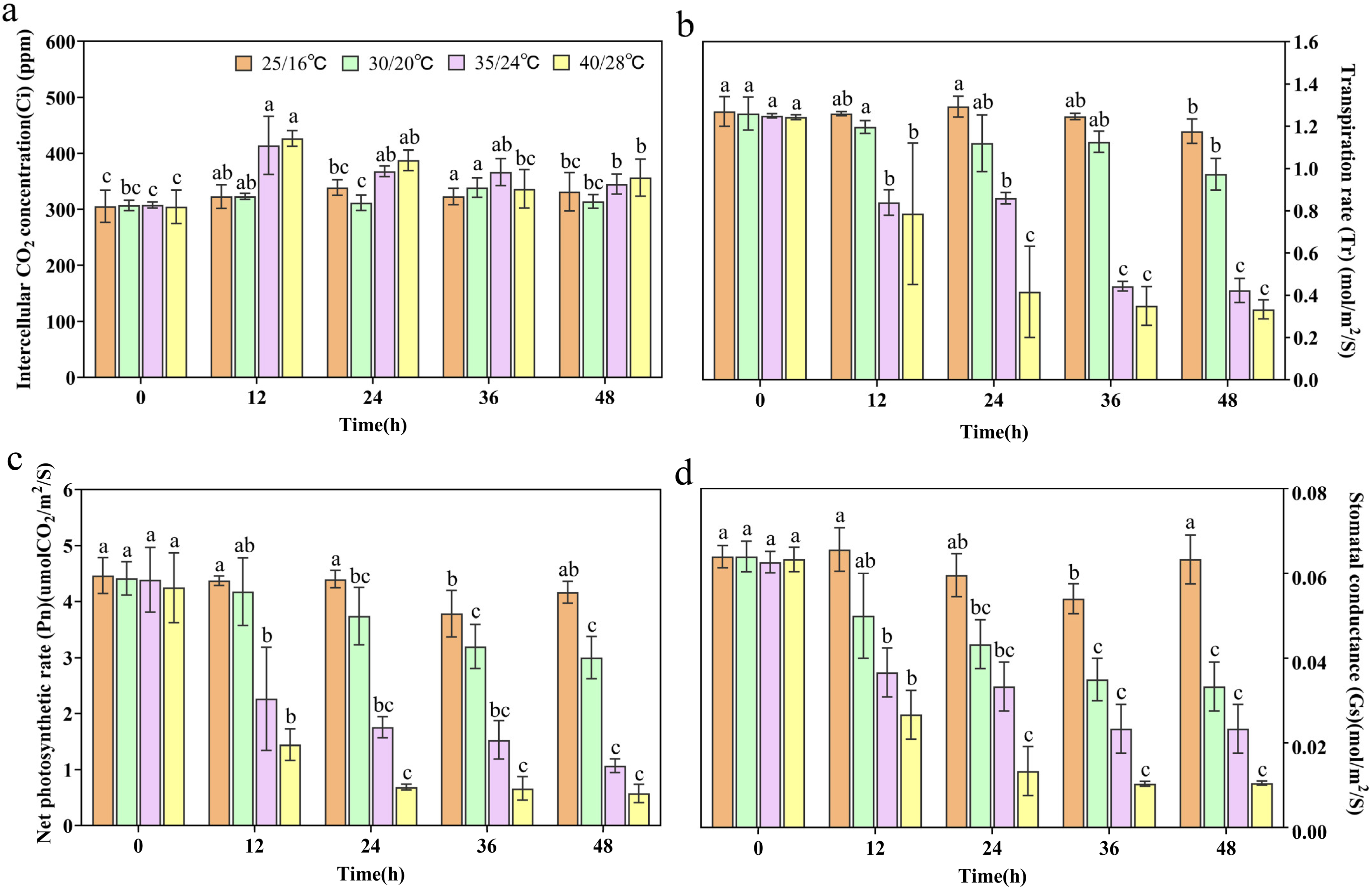
As shown in Figure 1a, under high-temperature stress, the Ci of ginseng leaves generally shows an upward trend. Among them, the Ci of the 35/24 °C and 40/28 °C treatment groups reached the peak at 12 h of stress, respectively, which were 1.28 and 1.32 times that of the CK. At the same time, the Tr, Gs, and Pn values were all significantly lower than those of the CK (Figure 1b–d). The most significant decrease in the Tr was observed at 35/24 °C and 40/28 °C. With the increase in high-temperature stress intensity and the extension of time (40/28 °C), the Gs decreased by 84.21% compared to the CK at 48 h. After 48 h of high-temperature treatment, the Pn decreased by 74.32% and 86.16% at 35/24 °C and 40/28 °C, respectively, compared with the CK.

3.3. The Influence of High-Temperature Stress on the Fluorescence Characteristics of Ginseng Leaves

Under high-temperature stress, the chlorophyll fluorescence parameters (Fm, Fv/Fm, and NPQ) of ginseng leaves generally showed a downward trend. Compared with the CK, the Fm reached its lowest value at 48 h of stress under high-temperature conditions at 30/20 °C, 35/24 °C, and 40/28 °C (Figure 2a). Fv/Fm analysis revealed that at high-temperatures of 35/24 °C and 40/28 °C, this parameter decreased by 22.64% and 46.79%, respectively, compared to the CK after 48 h (Figure 2b). Under the high-temperature environment of 40/28 °C, the NPQ decreased by 63.55% compared with the CK (Figure 2c). Meanwhile, the F0 was higher than the CK in each high-temperature treatment group (Figure 2d).

3.4. Effects of High-Temperature Stress on Chlorophyllase in Ginseng Leaves

As shown in Figure 3a, with the increase in high-temperature stress intensity and the extension of treatment time, the overall activity of ALAD decreased significantly compared with the CK. At 35/24 °C, the activity of ALAD decreased significantly, especially at 48 h, where it was 22.04% lower than the CK. However, at 40/28 °C, the activity of this enzyme dropped to the lowest at 48 h, being 33.24% lower than the CK.
The activity of PBGD in ginseng leaves shows a gradually decreasing trend. Under the treatment at 30/20 °C, the activity of PBGD showed no significant change compared with the CK. However, under the conditions of 35/24 °C and 40/28 °C, the activity of this enzyme dropped to the lowest at 48 h, which was 24.98% and 29.01% lower than the CK, respectively (Figure 3b).

3.5. Effects of High-Temperature Stress on Pigment Precursor Substances in Ginseng Leaves

As shown in Figure 4a, the Mg-ProtoIX content in ginseng leaves exhibited a dynamic pattern of initial increase followed by decrease under high-temperature stress. Under 40/28 °C stress conditions, the content peaked at 24 h and rapidly declined to its minimum value at 48 h, showing a significant 12.59% reduction compared to the CK (p < 0.05). ProtoIX accumulated significantly under 40/28 °C stress conditions as the treatment time extended (Figure 4b), peaking at 24 h with a 71.95% increase compared to the CK. Furthermore, the Pchl content exhibited a pattern of initial increase followed by decrease as stress intensified (Figure 4c). Under 35/24 °C and 40/28 °C conditions, its content reached a trough after 48 h, showing significant decreases of 12.33% and 30.46% compared to the CK (p < 0.05).

3.6. Effects of High-Temperature Stress on Chlorophyll Content in Ginseng Leaves

As shown in Figure 5a, high-temperature stress leads to a decrease in the content of chlorophyll a in ginseng leaves. Under high-temperature stress conditions of 35/24 °C and 40/30 °C, the chlorophyll a content reached its minimum at 48 h, showing a relatively significant change as it decreased by 19.75% and 25.38%, respectively, compared with the CK. Under high-temperature stress, the content of chlorophyll b gradually decreased with the increase in stress intensity. Under the 40/30 °C treatment, it reached the lowest level at 48 h, which was 12.52% lower than that of the control (CK) (Figure 5b). The carotenoid content decreased with the extension of stress time under high-temperature conditions (40/30 °C), with the most significant decrease being observed at 48 h, which was 54.63% lower than the CK (Figure 5c).

3.7. Alteration in Stomatal of Ginseng Leaves Under High-Temperature Stress

The results show that high-temperature stress significantly affected the stomatal microstructure of ginseng leaves. As shown in Figure 6 and Table 2, after 48 h of high-temperature stress, the length (reduced by 20.95%), width (reduced by 50.30%), and area (reduced by 61.10%) of the stomata on ginseng leaves were significantly lower than those of the 25/16 °C treatment (p < 0.05).

3.8. Effects of High-Temperature Stress on the Ultrastructure of Ginseng Chloroplasts

As shown in Figure 7, under the condition of 25/16 °C, ginseng chloroplasts have a spindle shape and possess a clear and complete double-membrane structure, and thylakoids are parallel to the long axis of the chloroplast, with abundant and orderly structured basal granules (GL) that are intact and clear, while there are fewer osmiophilic granules (OG) (Figure 7a,c). After treatment at 40/28 °C for 48 h, the chloroplast structure of ginseng leaves was damaged. Although the chloroplasts were approximately spindle-shaped, their double-membrane structure was disrupted, and many osmiophilic granules appeared, with the grana arranged loosely (Figure 7b,d).

3.9. Correlation Analysis of Physiological Parameters Related to Photosynthesis in Ginseng Leaves Under High-Temperature Stress

To explore the effect of high-temperature stress on the correlation among the physiological parameters related to the photosynthetic characteristics of ginseng leaves, a Pearson correlation analysis was conducted on 16 representative indicators in this study. The results show that under high-temperature conditions of 25/16 °C and 30/20 °C, Gs and Tr, Car and Fm, and Car and Mg-ProtoIX are significantly positively correlated (p < 0.01), with correlation coefficients of 0.97, 0.93, and 0.94, respectively (Figure 8a). Under high-temperature conditions of 25/16 °C and 35/24 °C, Fv/Fm and Tr, Gs and Tr, Car and Tr, Car and Fv/Fm, Chl a and Mg-ProtoIX, Chl a and ProtoIX, and Chl a and Pchl were extremely significantly positively correlated (p < 0.001) (Figure 8b). Under high-temperature conditions of 25/16 °C and 40/28 °C, PrptoIX and F0, Pchl and Gs, PBGD and Pn, Car and Pchl, etc., were extremely significantly positively correlated (p < 0.001). The correlation coefficients were 0.99, 0.99, 0.98, and 1.00, respectively (Figure 8c). In conclusion, as the intensity of high-temperature stress (40/28 °C) increases, the correlations among various parameters of the photosynthetic system in ginseng leaves are significantly enhanced, indicating that high-temperature has a significant impact on their photosynthetic system. Moreover, there is a strong coordinated response among various physiological indicators, which jointly participate in the regulation of photosynthetic performance.

4. Discussion

4.1. Effects of High-Temperature Stress on Relative Water Content and Stoma in Ginseng Leaves

Leaves are the main organs through which plants sense environmental changes. High-temperature stress can cause leaf wrinkling and wilting, with a large loss of water inside the cells [21], and accelerate leaf senescence or even death [22]. A decrease in the relative water content of leaves reflects an imbalance in the plant’s water mechanism under adverse conditions [23]. In this study, as the degree of high-temperature stress (40/28 °C) increased, the relative water content of ginseng leaves gradually decreased compared to the CK, which is consistent with the research results of Bu et al. [24]. The results indicate that the high-temperature environment intensifies transpiration of water in leaf tissues, causing to a decrease in leaf relative water content. In addition, as water deficiency accumulates, stomata are forced to close to prevent further water loss [25], which is an important protective mechanism against high temperatures [26]. Stomata are the main channels through which plants exchange water and gases with the external environment [27], and their morphological parameters, such as length, width, and area, all affect transpiration and photosynthetic efficiency [28]. An increase in the duration of high-temperature stress causes the guard cells to lose excessive water, thereby leading to stomatal closure [29]. Zhu et al. [30] found that moderate high temperature (35 °C) can significantly reduce the stomatal aperture width, length, and stomatal area of leaves in two blueberry varieties. In this study, under a high-temperature environment of 40/28 °C, the length, width, and area of ginseng leaf stomata were all lower than those at 25/16 °C. The results show that high-temperature stress may elevate the osmotic potential of guard cells, thereby increasing the vapor pressure deficit between the leaf and air and intensifying water loss through transpiration. This triggers a protective response in plants—stomatal closure—to prevent excessive dehydration. Consequently, photosynthetic gas exchange is impaired, leading to inhibited plant growth.

4.2. Effects of High-Temperature Stress on the Content of Photosynthetic Pigments in Ginseng Leaves

The content of photosynthetic pigments is an important indicator of a plant’s photosynthetic capacity, and its dynamic changes are regulated by environmental conditions, directly affecting the photosynthetic rate and overall photosynthetic performance [31]. This study revealed that under high-temperature stress, the contents of chlorophyll a and b in ginseng leaves both significantly decreased, a result similar to that of Peng et al. [32]. It is particularly noteworthy that the content of carotenoids decreases most significantly under high-temperature conditions. Studies have demonstrated that carotenoids are significantly affected by temperature. Under high-temperature conditions, carotenoids were degraded by heat, leading to the destruction of their chromophores and loss of viability [33]. Carotenoids are important component of photosynthetic, the reduced content diminishes plants capacity to dissipate excess light energy via NPQ, increasing PSII susceptibility to photoinhibition (manifested as decreased Fv/Fm ratios). This ultimately results in a decline of Pn and compromised photosynthetic performance. The decrease in the chlorophyll content may be due to the destruction of the chloroplast biosynthesis process caused by high temperature, which weakens the efficiency of light energy capture and transfer. This study further revealed that under high-temperature stress, the ALAD enzyme activity in ginseng leaves was significantly reduced at 48 h compared to the CK. PBGD enzyme activity also showed a gradually decreasing trend under high-temperature stress, which is consistent with previous research results [34]. A decrease in chlorophyllase activity will affect the synthesis of chlorophyll by interfering with the accumulation of intermediate products. This study revealed a reduction in the synthesis of Mg-ProtoIX. This result confirms that high temperature inhibits the activity of ALAD and PBGD, blocking the conversion of ProtoIX to Mg-ProtoIX and leading to the accumulation of ProtoIX in the body. Due to the inhibition of ALAD and PBGD activities, the synthesis of Pchl precursors is reduced, ultimately leading to a significant decrease in the Pchl content during the later stages of high-temperature stress, which is consistent with previous research findings [35]. In conclusion, the results show that high-temperature stress inhibits the activity of ALAD and PBGD enzymes in the chlorophyll biosynthesis pathway, which interferes with the normal accumulation of Mg-ProtoIX and Pchl intermediates, affects chlorophyll synthesis, reduces photosynthetic capacity, and ultimately hinders ginseng plant growth.

4.3. Effects of High-Temperature Stress on Photosynthetic Characteristics of Ginseng Leaves

Photosynthesis is the main energy source for plant growth and development, and its process is jointly regulated by the plant’s own physiological characteristics and external environmental conditions. High-temperature stress disrupts the coordination between energy supply and utilization, leading to significant changes in photosynthetic function. Studies have shown [36] that as the duration of high-temperature stress increases, the Pn, Tr, and Gs of two self-pollinating lines of watermelon all show a downward trend, while Ci increases. The reasons for the weakening of photosynthesis can be attributed to two categories: stomatal factors and non-stomatal factors [37]. In gas exchange analysis, when Ci and Gs decrease simultaneously, the decline in Pn is mainly caused by stomatal limitation, while when Pn decreases accompanied by an increase in Ci, it indicates that non-stomatal factors play a dominant role. Relevant research has found [38] that after more than 3 days of high-temperature treatment, Gs decreases while Ci increases, indicating that the inhibition of Pn is mainly constrained by non-stomatal factors. In this study, high-temperature stress at 40/28 °C inhibited the photosynthesis of ginseng leaves. Ci increased as Gs decreased, and Pn was reduced, which is consistent with previous studies. This trend of change may be caused by the decrease in photosynthetic activity of mesophyll cells, driven by non-stomatal factors [39].
Chlorophyll fluorescence is closely related to photosynthesis, and its parameters can characterize the photosynthetic potential, light energy conversion efficiency, and overall photosynthetic activity of plants [40], effectively reflecting the functional state of the photosynthetic apparatus and the degree of damage to the plant’s photosystem under adverse conditions. High-temperature can disrupt the structural stability of the chlorophyll fluorescence reaction center, impede the normal operation of the electron transport chain, and lead to an increase in F0 and a fluctuating decrease in Fm. Fv/Fm, as an indicator of the maximum photochemical efficiency of PSII, significantly decreases under stress, indicating irreversible damage to the leaf photosynthetic apparatus [41]. In this study, high-temperature stress caused a downward trend in Fm, Fv/Fm, and NPQ in ginseng leaves, while F0 showed an overall upward trend, which is consistent with the aforementioned research results. A decrease in Fv/Fm values indicates that high temperature may have caused damage to the leaf PSII. High temperature leads to the decoupling of the PSII antenna pigment system and inactivation of the reaction center, thereby causing an increase in F0 values. NPQ reflects the ability of PSII to dissipate excess excitation energy through the thermal dissipation pathway. Its decline indicates that this protective mechanism gradually fails under high-temperature stress, which may ultimately lead to severe damage to the photosynthetic apparatus and trigger leaf death.

4.4. Effects of High-Temperature Stress on Ultrastructure of Ginseng Leaves

As the main organ of photosynthesis, the chloroplasts of leaves are highly vulnerable to damage from environmental stress. Under abiotic stress conditions, chloroplasts often undergo early ultrastructural changes [42], making the observation of chloroplast ultrastructure crucial for understanding the mechanism of photosynthesis and its response to adverse conditions. In this study, under 40/28 °C high-temperature conditions, the chloroplast structure of ginseng leaves was damaged, the double-layer membrane structure was destroyed, and many osmium-loving particles appeared, which was similar to the results of previous studies [43,44]. The results indicate that high-temperature stress forced RWC to decrease, leading to cellular dehydration and disrupting the integrity of chloroplast structure, causing damage to the photosynthetic machinery, and severely affecting the plant’s photosynthesis.
In summary, the research results show that under high-temperature stress, the RWC of ginseng leaves decreases and the turgor pressure of guard cells drops, leading to stomatal closure, which limits the supply of CO2 and reduces the Pn parameter. Meanwhile, RWC reduces the occurrence of cellular dehydration, which damages chloroplast ultrastructure. It inhibits chlorophyll biosynthetic enzymes ALAD and PBGD, disrupting the normal accumulation of chlorophyll precursors and leading to photosynthetic pigment degradation. The chlorophyll loss further compromises membrane structural integrity, ultimately impairing PSII (for example, a decrease in Fv/Fm values). The correlation analysis showed that the photosynthetic characteristics were positively correlated, which supported the notion that the photosynthetic decline of ginseng leaves was the result of multi-process damage rather than single-factor influence.
In this study, we systematically investigated the effects of high-temperature stress on the photosynthetic characteristics, chlorophyll synthesis, and tissue structure of ginseng leaves. However, there are still some aspects requiring further research. Firstly, the key structural parameters, such as stomatal density, thylakoid membrane thickness, and number of granum stacks, need to be quantitatively analyzed. Secondly, the activities of other key enzymes in the chlorophyll biosynthesis pathway, except ALAD and PBGD, were not detected. Thirdly, the expression regulation network of photosynthesis-related genes in response to high temperature has not been fully elucidated at the molecular level. In the future, we intend to further deepen the quantitative characterization of the organization structure, improve the chlorophyllase detection system in the chlorophyll synthesis pathway, and focus on the molecular mechanism of the related gene expression. On this basis, the heat resistance of ginseng may be improved by combining the practice of heat-resistant germplasm screening and genetic improvement, providing support for the stress-resistant breeding of ginseng and the sustainable development of the industry.

5. Conclusions

This study revealed the effects of high-temperature stress on the dynamic water balance, chlorophyll biosynthesis, photosynthetic physiological functions, and ultrastructure of ginseng leaves. The results show that high-temperature increased the water transpiration rate of ginseng leaves, causing the relative water content of leaves to decrease to 67.04%, and triggering the active closure of stomata to reduce water loss and maintain basic survival needs. At the same time, high-temperature inhibits the biosynthetic pathway of chlorophyll, leading in reduced in pigment content, weakening the light energy capture efficiency, and reducing the photosynthetic capacity. It is even more concerning that the ultrastructure of chloroplasts also suffered damage, interfering with the normal progress of light reactions and undermining the stability and functionality of the photosynthetic system. The above research reveals the mechanisms of photosynthetic physiological responses in ginseng leaves under high-temperature stress, which provides a scientific basis for coping with climate change, improving stress resistance, formulating cultivation measures to reduce high-temperature damage, and achieving high quality and yield.

Supplementary Materials

The following supporting information can be downloaded at: https://www.mdpi.com/article/10.3390/horticulturae12010080/s1, Figure S1. The effect of high temperature stress on the soluble protein content in ginseng leaves.

Author Contributions

Conceptualization and funding acquisition, H.Y.; methodology and writing—original draft, H.J.; resources, Z.Z.; investigation, B.G.; supervision, Y.W. and N.Z.; project administration and funding acquisition, Y.X.; project administration, W.L. All authors have read and agreed to the published version of the manuscript.

Funding

This research was funded by Jilin Province Science and Technology Development Project, China (grant Nos. 20200504004YY, 20210401092YY).

Data Availability Statement

The original contributions presented in this study are included in the article/Supplementary Materials. Further inquiries can be directed to the corresponding authors.

Conflicts of Interest

The authors declare no conflicts of interest.

References

  1. Wang, Z.Q.; Zhao, Q.M.; Zhong, X.; Xiao, L.; Ma, L.X.; Wu, C.F.; Zhang, Z.S.; Zhang, L.Q.; Tian, Y.; Fan, W. Comparative analysis of maca (Lepidium meyenii) proteome profiles reveals insights into response mechanisms of herbal plants to high-temperature stress. BMC Plant Biol. 2020, 20, 431. [Google Scholar] [CrossRef] [PubMed]
  2. Rivero, R.M.; Mittler, R.; Blumwald, E.; Zanadalinas, S.I. Developing climate-resilient crops: Improving plant tolerance to stress combination. Plant J. 2021, 109, 373–389. [Google Scholar] [CrossRef] [PubMed]
  3. Commission, C.P. Pharmacopoeia of the People’s Republic of China: A Part; China Medical Science and Technology Press: Beijng, China, 2008; Volume 8. [Google Scholar]
  4. Li, J.; Zhao, J.R.; Wang, X.H.; Lin, Z.; Lin, H.; Lin, Z. Ginsenoside-a promising natural active ingredient with steroidal hormone activity. Food Funct. 2024, 15, 1825–1839. [Google Scholar] [CrossRef] [PubMed]
  5. Wun, K.S.; Ravi, G.; Woo, M.C.; Hyun, L.S.; Eun, C.Y.; Feng, M.Q.; Woo, J.J.; Eun, H.C.; Yoon, L.J.; Hyun, J.I.; et al. Label-free quantitative proteomic analysis of Panax ginseng leaves upon exposure to heat stress. J. Ginseng Res. 2019, 43, 143–153. [Google Scholar] [CrossRef]
  6. Chen, H.W.; Yang, H.X.; Deng, J.J.; Fan, D.D. Ginsenoside Rk3 ameliorates obesity-induced colitis by regulating of intestinal flora and the TLR4/NF-κB signaling pathway in C57BL/6 Mice. J. Agric. Food Chem. 2021, 69, 3082–3093. [Google Scholar] [CrossRef]
  7. Jung, J.H.; Kim, H.Y.; Kim, H.S.; Jung, S.H. Transcriptome analysis of Panax ginseng response to high light stress. J. Ginseng Res. 2020, 44, 312–320. [Google Scholar] [CrossRef]
  8. Kim, J.; Yun, Y.; Huh, J.; Yurry, U.; Shim, D. Comparative transcriptome analysis on wild-simulated ginseng of different age revealed possible mechanism of ginsenoside accumulation. Plant Physiol. Biochem. 2023, 201, 107870. [Google Scholar] [CrossRef]
  9. Fujita, M.; Alam, M.M.; Roychowdhury, R.; Hasanuzzaman, M.; Nahar, K. Physiological, biochemical, and molecular mechanisms of heat stress tolerance in plants. Int. J. Mol. Sci. 2013, 14, 9643–9684. [Google Scholar] [CrossRef]
  10. Dong, C.; Peng, X.; Yang, X.; Wang, C.; Yuan, L.; Chen, G.; Tang, X.; Wang, W.; Wu, J.; Zhu, S.; et al. Physiological and transcriptomic responses of bok choy to heat stress. Plants 2024, 13, 1093. [Google Scholar] [CrossRef]
  11. Zahra, N.; Hafeez, M.B.; Ghaffar, A.; Kausar, A.; Zeidi, M.A.; Siddique Kadambot, H.M.; Farooq, M. Plant photosynthesis under heat stress: Effects and management. Environ. Exp. Bot. 2023, 206, 105178. [Google Scholar] [CrossRef]
  12. Tuzet, A.; Perrier, A.; Leuning, R. A coupled model of stomatal conductance, photosynthesis and transpiration. Plant Cell Environ. 2003, 26, 1097–1116. [Google Scholar] [CrossRef]
  13. Huang, C.Q.; Zhu, X.Y.; Zhang, L.; Sun, X.C.; Hua, W. Effects of drought and high temperature on photosynthesis and chlorophyll fluorescence characteristics of rapeseed leaves. Chin. J. Oil Crop Sci. 2017, 39, 342–350. [Google Scholar] [CrossRef]
  14. Lu, M.; Liu, H.H.; Mao, H.D.; Zhao, Q.R.; Zhao, H.X.; Hu, S.W. Changes of chlorophyll synthesis metabolism in chlorophyll-deficient mutant in Brassica juncea. Acta Bot. Boreali-Occident. Sin. 2010, 30, 2177–2183. [Google Scholar]
  15. Siddhartha, D.; Sasmita, M.; Tripathy, B.C. Role of temperature stress on chloroplast biogenesis and protein import in pea. Plant Physiol. 2009, 150, 1050–1061. [Google Scholar] [CrossRef]
  16. Zhang, D.S.; Zhang, B.C.; Yao, C.Y.; Hu, J. Analysis of physiological drought resistance characteristics of fifteen nitrogen-fixing landscape tree species. Acta Agric. Shanghai 2025, 41, 48–56. [Google Scholar] [CrossRef]
  17. Yuan, C.Y.; Jin, P.; Hu, Q.T.; Xuan, Y.; Wan, Z.Y.; Jin, S.H. Effect of high temperature stress on gas exchange and chlorophyll fluorescenceof Pinus massoniana from two provenances. J. Zhejiang For. Sci. Technol. 2025, 45, 35–45. [Google Scholar] [CrossRef]
  18. Hodgins, R.; Van Huystee, R. Rapid simultaneous estimation of protoporphyrin and Mg-porphyrins in higher plants. J. Plant Physiol. 1986, 125, 311–323. [Google Scholar] [CrossRef]
  19. Zhou, H. Effects of Exogenous Spd on Chlorophyll Metabolism in Cucumber Seedlings Under High Temperature Stress. Master’s Thesis, Nanjing Agricultural University, Nanjing, China, 2016. [Google Scholar]
  20. Lichtenthaler, H.K. Chlorophylls and carotenoids: Pigments of photosynthetic biomembranes. Methods Enzymol. 1987, 148, 350–382. [Google Scholar]
  21. Qi, X.Y.; Wang, W.L.; Hu, S.Q.; Liu, M.Y.; Zheng, C.S.; Sun, X.Z. Effects of exogenous melatonin on photosynthesis and physiological characteristics of chry-santhemum seedlings under high temperature stress. Ying Yong Sheng Tai Xue Bao 2021, 32, 2496–2504. [Google Scholar] [CrossRef]
  22. Wu, L.Q.; Wang, R.; Yang, Y.R.; Gao, C. Effects of high temperature on leaf senescence and grain yield in maize. Acta Agric. Boreali-Occident. Sin. 2022, 37, 110–115. [Google Scholar] [CrossRef]
  23. Moore, C.E.; Katherine, M.H.; Paulina, L.; Slattery, R.A.; Claire, B.; Bernacchi, C.J.; Lawson, T.; Cavanagh, A.P. The effect of increasing temperature on crop photosynthesis: From enzymes to ecosystems. J. Exp. Bot. 2021, 72, 2822–2844. [Google Scholar] [CrossRef]
  24. Bu, W.X.; Yao, Y.P.; Huang, Y.; Yang, X.Y.; Luo, X.N.; Zhang, Y.H.; Lei, W.Q.; Wang, Z.; Tian, J.N.; Chen, L.J.; et al. Transcriptome analysis of the response of tree peony ‘Hu Hong’ under high temperature stress. Acta Hortic. Sin. 2024, 51, 2800–2816. [Google Scholar] [CrossRef]
  25. Li, M.Y.; Li, J.; Zhang, R.; Lin, Y.X.; Xiong, A.; Tan, G.F.; Luo, Y.; Zhang, Y.; Chen, Q.; Wang, Y.; et al. Combined analysis of the metabolome and transcriptome to explore heat stress responses and adaptation mechanisms in celery (Apium graveolens L.). Int. J. Mol. Sci. 2022, 23, 3367. [Google Scholar] [CrossRef] [PubMed]
  26. Liu, X.S.; Liang, C.C.; Hou, S.G.; Wang, X.; Chen, D.H.; Shen, J.L.; Zhang, W.; Wang, M. The LRR-RLK Protein HSL3 regulates stomatal closure and the drought stress response by modulating hydrogen peroxide homeostasis. Front. Plant Sci. 2020, 11, 548034. [Google Scholar] [CrossRef] [PubMed]
  27. Zheng, Y.P.; Xu, M.; Hou, R.X.; Shen, R.C.; Qiu, S.; Zhu, O.Y. Effects of experimental warming on stomatal traits in leaves of maize (Zea may L.). Ecol. Evol. 2013, 3, 3095–3111. [Google Scholar] [CrossRef] [PubMed]
  28. Zhao, D.Q.; Li, T.T.; Hao, Z.J.; Cheng, M.L.; Tao, J. Exogenous trehalose confers high temperature stress tolerance to herbaceous peony by enhancing antioxidant systems, activating photosynthesis, and protecting cell structure. Cell Stress Chaperones 2019, 24, 247–257. [Google Scholar] [CrossRef]
  29. Yazen, A.; Oula, G.; Javier, C.F. Elevated [CO2] negatively impacts C4 photosynthesis under heat and water stress without penalizing biomass. J. Exp. Bot. 2023, 74, 2875–2890. [Google Scholar] [CrossRef]
  30. Zhu, Y.; Huang, L.; Dang, C.H.; Wang, H.X.; Jiang, G.B.; Li, G.Z.; Zhang, Z.C.; Lou, X.; Zheng, Y. Effects of high temperature on leaf stomatal traits and gas exchange parameters of blueberry. Trans. Chin. Soc. Malacol. 2016, 32, 218–225. [Google Scholar] [CrossRef]
  31. Mathur, S.; Agrawal, D.; Jajoo, A. Photosynthesis: Response to high temperature stress. J. Photochem. Photobiol. B Biol. 2014, 137, 116–126. [Google Scholar] [CrossRef]
  32. Peng, Y.S.; Ren, H.; Liu, T.; Xu, Y.Y. Effects of high temperature stress on the physiological characteristics of edible lilie. North. Hortic. 2025, 66–73. [Google Scholar] [CrossRef]
  33. Pan, Y.H.; Yang, K.Y.; Liang, L.S.; Chen, Z.J.; Fan, X.P. Advances in the mechanism of chlorophyll and carotenoid discolouration and methods of colour protection. Mod. Food Sci. Technol. 2025, 1–12. [Google Scholar] [CrossRef]
  34. Lu, Y. Wheat Grouting Period of Flag Leaf in Response to Heat Stress Proteomics and Thermal Response of Key Genes of Hsp90 Genome-Wide Analysis. Ph.D. Thesis, Northwest Agriculture and Forestry University of Science and Technology, Xianyang, China, 2018. [Google Scholar]
  35. Su, Y.Y.; Ou, X.L.; Liu, H.Q.; Liu, X.L.; Gong, L. Effects of foliar-spraying selenium on chlorophyll synthesis metabolism and photosynthetic performance of Polygonatum sibiritum under high temperature stress. Jiangsu Agric. Sci. 2025, 53, 139–146. [Google Scholar] [CrossRef]
  36. Zhang, L.G.; Shi, W.X.; Li, A.; Zhang, W.H.; Lin, P.; Xue, J. Physiological response of different heat-tolerant watermelon seedings to high temperature stress. Acta Agric. Boreali-Sin. 2024, 39, 117–127. [Google Scholar]
  37. Gao, G.L.; Feng, Q.; Zhang, X.Y.; Si, J.H.; Yu, T.F. An overview of stomatal and non-stomatal limitations to photosynthesis of plants. Arid Zone Res. 2018, 35, 929–937. [Google Scholar] [CrossRef]
  38. Zhang, Y.D.; Yang, Z.Q.; Lu, S.Y.; Yang, L.; Zheng, H. Response of photosynthetic characteristics of leaves of protected chrysanthemum variety ‘Jinbeidahong’ to high temperature stress. North. Hortic. 2021, 72–80. [Google Scholar] [CrossRef]
  39. Kong, D.X.; Li, Y.Q.; Wang, M.L.; Bai, M.; Zou, R.; Tang, H.; Wu, H. Effects of light intensity on leaf photosynthetic characteristics, chloroplast structure, and alkaloid content of Mahonia bodinieri (Gagnep.) Laferr. Acta Physiol. Plant. 2016, 38, 120. [Google Scholar] [CrossRef]
  40. Barbara, D.A. Carotenoids and photoprotection in plants: A role for the xanthophyll zeaxanthin. Biochim. Biophys. Acta 1990, 1020, 1–24. [Google Scholar] [CrossRef]
  41. von Gromoff, E.D.; Alawady, A.; Meinecke, L.; Grimm, B.; Beck, C.F. Heme, a plastid-derived regulator of nuclear gene expression in Chlamydomonas. Plant Cell 2008, 20, 552–567. [Google Scholar] [CrossRef]
  42. Li, Q.C.; Wang, H.B.; Wang, H.J.; Zheng, W.; Wu, D.M.; Wang, Z.Z. Effects of kinetin on plant growth and chloroplast ultrastructure of two Pteris species under arsenate stress. Ecotoxicol. Environ. Saf. 2018, 158, 37–43. [Google Scholar] [CrossRef]
  43. Wang, X.X.; Fang, Z.W.; Zhao, D.Q.; Tao, J. Effects of high-temperature stress on photosynthetic characteristics and antioxidant enzyme system of Paeonia ostii. Phyton 2022, 91, 599–615. [Google Scholar] [CrossRef]
  44. Hao, L.H.; Guo, L.L.; Li, R.Q.; Cheng, Y.; Huang, L.; Zhou, H.; Xu, M.; Zhang, X.X.; Zheng, Y.P. Responses of photosynthesis to high temperature stress associated with changes in leaf structure and biochemistry of blueberry (Vaccinium corymbosum L.). Sci. Hortic. 2019, 246, 251–264. [Google Scholar] [CrossRef]
Figure 1. Effects of high-temperature stress on gas exchange parameters in ginseng leaves. (a) Intercellular CO2 concentration (Ci); (b) Transpiration rate (Tr); (c) Net photosynthetic rate (Pn); (d) Stomatal conductance (Gs). Note: Data are presented as mean ± standard deviation (n ≥ 3). Different lowercase letters indicate significant differences at the p < 0.05 level.
Figure 1. Effects of high-temperature stress on gas exchange parameters in ginseng leaves. (a) Intercellular CO2 concentration (Ci); (b) Transpiration rate (Tr); (c) Net photosynthetic rate (Pn); (d) Stomatal conductance (Gs). Note: Data are presented as mean ± standard deviation (n ≥ 3). Different lowercase letters indicate significant differences at the p < 0.05 level.
Horticulturae 12 00080 g001
Figure 2. Effects of high-temperature stress on photosynthesis in ginseng leaves. (a) Maximum fluorescence (Fm); (b) Maximum photochemical performance (Fv/Fm); (c) Non-photochemical quenching (NPQ); (d) Initial fluorescence (F0). Note: Data are presented as mean ± standard deviation (n ≥ 3). Different lowercase letters indicate significant differences at the p < 0.05 level.
Figure 2. Effects of high-temperature stress on photosynthesis in ginseng leaves. (a) Maximum fluorescence (Fm); (b) Maximum photochemical performance (Fv/Fm); (c) Non-photochemical quenching (NPQ); (d) Initial fluorescence (F0). Note: Data are presented as mean ± standard deviation (n ≥ 3). Different lowercase letters indicate significant differences at the p < 0.05 level.
Horticulturae 12 00080 g002
Figure 3. Effects of high-temperature stress on chlorophyllase in leaves of ginseng. (a) delta-aminolevulinate dehydratase (ALAD); (b) porphobilinogen deaminase (PBGD). Note: Data are presented as mean ± standard deviation (n ≥ 3). Different lowercase letters indicate significant differences at the p < 0.05 level.
Figure 3. Effects of high-temperature stress on chlorophyllase in leaves of ginseng. (a) delta-aminolevulinate dehydratase (ALAD); (b) porphobilinogen deaminase (PBGD). Note: Data are presented as mean ± standard deviation (n ≥ 3). Different lowercase letters indicate significant differences at the p < 0.05 level.
Horticulturae 12 00080 g003
Figure 4. Effects of high-temperature stress on pigment precursor substances in leaves of ginseng. (a) Mg-ProtoIX; (b) PrptoIX; (c) Pchl. Note: Data are presented as mean ± standard deviation (n ≥ 3). Different lowercase letters indicate significant differences at the p < 0.05 level.
Figure 4. Effects of high-temperature stress on pigment precursor substances in leaves of ginseng. (a) Mg-ProtoIX; (b) PrptoIX; (c) Pchl. Note: Data are presented as mean ± standard deviation (n ≥ 3). Different lowercase letters indicate significant differences at the p < 0.05 level.
Horticulturae 12 00080 g004
Figure 5. Effects of high-temperature stress on chlorophyll content in leaves of ginseng. (a) Chlorophyll a; (b) Chlorophyll b; (c) Carotenoids. Note: Data are presented as mean ± standard deviation (n ≥ 3). Different lowercase letters indicate significant differences at the p < 0.05 level.
Figure 5. Effects of high-temperature stress on chlorophyll content in leaves of ginseng. (a) Chlorophyll a; (b) Chlorophyll b; (c) Carotenoids. Note: Data are presented as mean ± standard deviation (n ≥ 3). Different lowercase letters indicate significant differences at the p < 0.05 level.
Horticulturae 12 00080 g005
Figure 6. Stomata changes in high-temperature stress ginseng and the control. (a) Stomata changes of ginseng leaves at 25/16 °C; (b) Stomata changes of ginseng leaves at 40/28 °C high-temperature stress for 48 h. Note: The magnification of images a and b is ×2.00 k (2000×), scale bars = 20.0 μm.
Figure 6. Stomata changes in high-temperature stress ginseng and the control. (a) Stomata changes of ginseng leaves at 25/16 °C; (b) Stomata changes of ginseng leaves at 40/28 °C high-temperature stress for 48 h. Note: The magnification of images a and b is ×2.00 k (2000×), scale bars = 20.0 μm.
Horticulturae 12 00080 g006
Figure 7. The effect of high-temperature stress on the ultrastructure of ginseng chloroplasts. (a,b). Ultrastructural of chloroplasts in ginseng leaves at 25/16 °C (CK); (c,d). Ultrastructural of chloroplasts in ginseng leaves at 40/28 °C (high-temperature stress for 48 h). Note: The magnification of images (a,c) is ×1.0 k (1000×), scale bars = 10.0 μm, and that of images (b,d) is ×4.0 k (4000×), scale bars = 2.0 μm. Chl: chloroplast; GL: grana; OG: osmophilic granules.
Figure 7. The effect of high-temperature stress on the ultrastructure of ginseng chloroplasts. (a,b). Ultrastructural of chloroplasts in ginseng leaves at 25/16 °C (CK); (c,d). Ultrastructural of chloroplasts in ginseng leaves at 40/28 °C (high-temperature stress for 48 h). Note: The magnification of images (a,c) is ×1.0 k (1000×), scale bars = 10.0 μm, and that of images (b,d) is ×4.0 k (4000×), scale bars = 2.0 μm. Chl: chloroplast; GL: grana; OG: osmophilic granules.
Horticulturae 12 00080 g007
Figure 8. Correlation analysis of photosynthetic parameters in ginseng leaves under high-temperature stress. (a) Correlation analysis of photosynthetic system parameters in ginseng leaves at 25/16 °C and 30/20 °C; (b) Correlation analysis of photosynthetic system parameters in ginseng leaves at 25/16 °C and 35/24 °C; (c) Correlation analysis of photosynthetic system parameters in ginseng leaves at 25/16 °C and 40/28 °C. Note: The color intensity indicates the correlation strength between the two indicators: pink indicates positive correlation, green indicates negative correlation, and the color gradient shows the Pearson correlation coefficient (r values). * p < 0.05, ** p < 0.01, *** p < 0.001.
Figure 8. Correlation analysis of photosynthetic parameters in ginseng leaves under high-temperature stress. (a) Correlation analysis of photosynthetic system parameters in ginseng leaves at 25/16 °C and 30/20 °C; (b) Correlation analysis of photosynthetic system parameters in ginseng leaves at 25/16 °C and 35/24 °C; (c) Correlation analysis of photosynthetic system parameters in ginseng leaves at 25/16 °C and 40/28 °C. Note: The color intensity indicates the correlation strength between the two indicators: pink indicates positive correlation, green indicates negative correlation, and the color gradient shows the Pearson correlation coefficient (r values). * p < 0.05, ** p < 0.01, *** p < 0.001.
Horticulturae 12 00080 g008
Table 1. The effect of high-temperature stress on relative water content in ginseng leaves.
Table 1. The effect of high-temperature stress on relative water content in ginseng leaves.
Groups (°C)Relative Water Content (RWC) (%)
25/16 °C74.39 ±1.63 a
30/20 °C73.63 ± 2.60 a
35/24 °C71.28 ± 1.44 ab
40/28 °C67.04 ± 3.13 b
Note: Data are presented as mean ± standard deviation (n ≥ 3). Different lowercase letters indicate significant differences at the p < 0.05 level.
Table 2. The effect of high-temperature stress on stomatal of ginseng leaves. Treatments include 25/16 °C (no high-temperature stress) and 40/28 °C (high-temperature stress for 48 h).
Table 2. The effect of high-temperature stress on stomatal of ginseng leaves. Treatments include 25/16 °C (no high-temperature stress) and 40/28 °C (high-temperature stress for 48 h).
Groups (°C)Stomatal Length (μm)Stomatal Width (μm)Stomatal Area (μm2)
25/16 °C16.42 ± 0.553.34 ± 0.1343.08 ± 1.58
40/28 °C12.98 ± 0.591.66 ± 0.4316.76 ± 3.67
Disclaimer/Publisher’s Note: The statements, opinions and data contained in all publications are solely those of the individual author(s) and contributor(s) and not of MDPI and/or the editor(s). MDPI and/or the editor(s) disclaim responsibility for any injury to people or property resulting from any ideas, methods, instructions or products referred to in the content.

Share and Cite

MDPI and ACS Style

Yang, H.; Jin, H.; Zhao, Z.; Gao, B.; Wang, Y.; Zhang, N.; Xu, Y.; Li, W. Research on the Response Mechanism of the Photosynthetic System of Panax ginseng Leaves to High-Temperature Stress. Horticulturae 2026, 12, 80. https://doi.org/10.3390/horticulturae12010080

AMA Style

Yang H, Jin H, Zhao Z, Gao B, Wang Y, Zhang N, Xu Y, Li W. Research on the Response Mechanism of the Photosynthetic System of Panax ginseng Leaves to High-Temperature Stress. Horticulturae. 2026; 12(1):80. https://doi.org/10.3390/horticulturae12010080

Chicago/Turabian Style

Yang, He, Hongyan Jin, Zihao Zhao, Bei Gao, Yingping Wang, Nanqi Zhang, Yonghua Xu, and Wanying Li. 2026. "Research on the Response Mechanism of the Photosynthetic System of Panax ginseng Leaves to High-Temperature Stress" Horticulturae 12, no. 1: 80. https://doi.org/10.3390/horticulturae12010080

APA Style

Yang, H., Jin, H., Zhao, Z., Gao, B., Wang, Y., Zhang, N., Xu, Y., & Li, W. (2026). Research on the Response Mechanism of the Photosynthetic System of Panax ginseng Leaves to High-Temperature Stress. Horticulturae, 12(1), 80. https://doi.org/10.3390/horticulturae12010080

Note that from the first issue of 2016, this journal uses article numbers instead of page numbers. See further details here.

Article Metrics

Back to TopTop