Impact of Severe Drought Stress on Water Relations of Young Cherry Trees Grafted onto Growth-Reducing Rootstocks
Abstract
1. Introduction
2. Materials and Methods
2.1. Experimental Site
2.2. Plant Materials
2.3. Measurement Methods
2.4. Statistical Analysis
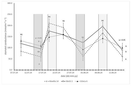
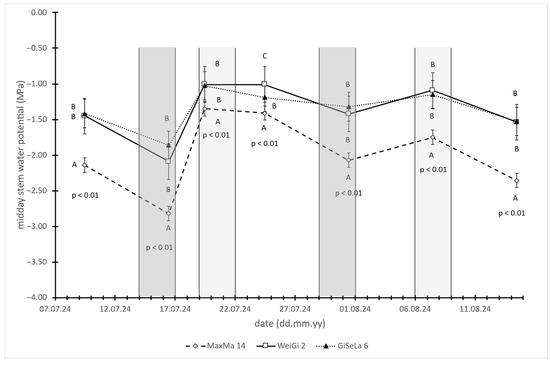
3. Results
- u is the sap flow velocity in the trunk (cm·h−1);
- A represents the asymptotic maximum sap flow velocity (i.e., maximum transpiration rate);
- c is a rate constant related to the curve’s steepness;
- ET0 is the reference evapotranspiration (mm·h−1).

4. Discussion
5. Conclusions
Supplementary Materials
Author Contributions
Funding
Data Availability Statement
Conflicts of Interest
Abbreviations
| ET0 | Reference evapotranspiration |
| gs | Stomatal conductance |
| MSWP | Midday stem water potential |
| RDI | Regulated deficit irrigation |
References
- Iglesias, I.; Dallabetta, N.; Whiting, M.; Long, L.E.; Iezzoni, A. Development of innovative high-density orchards aiming for an efficient and sustainable sweet cherry production. Act. Hort. 2024, 1408, 41. [Google Scholar] [CrossRef]
- Stone, C.H.; Close, D.C.; Bound, S.A.; Hunt, I. Training Systems for Sweet Cherry: Light Relations, Fruit Yield and Quality. Agronomy 2022, 12, 643. [Google Scholar] [CrossRef]
- Olmstead, A.M.; Lang, N.S.; Lang, A.G.; Ewers, F.W.; Owens, S.A. Examining the vascular pathway of sweet cherry grafted onto dwarfing rootstocks. HortScience 2006, 41, 677–678. [Google Scholar] [CrossRef]
- Ljubojević, M.; Ognjanov, V.; Zorić, L.; Maksimović, I.; Merkulov, L.; Bošnjaković, D.; Barać, G. Modeling of water movement through cherry plant as preselecting tool for prediction of tree vigor. Sci. Hortic. 2013, 160, 189–197. [Google Scholar] [CrossRef]
- Hrotkó, K.; Rozpara, E. Rootstocks and improvement. In Cherries: Botany, Production and Uses; Quero-García, J., Iezzoni, A., Pulawska, J., Lang, G., Eds.; CABI: Wallingford, UK, 2017; pp. 117–139. [Google Scholar] [CrossRef]
- Gonçalves, B.; Correia, C.M.; Silva, A.P.; Bacelar, E.A.; Santos, A.; Ferreira, H.; Moutinho-Pereira, J.M. Variation in xylem structure and function in roots and stems of scion-rootstock combinations of sweet cherry tree. Trees 2006, 21, 127–129. [Google Scholar] [CrossRef]
- Stott, L.V.; Black, B.; Bugbee, B. Differences in drought tolerance of Gisela cherry rootstocks determined using automated weighing lysimeter. HortScience 2019, 54, 1847–1852. [Google Scholar] [CrossRef]
- Opazo, I.; Toro, G.; Salvatierra, A.; Pastenes, C.; Pimentel, P. Rootstocks modulate the physiology and growth responses to water deficit and long-term recovery in grafted stone fruit trees. Agric. Water Manag. 2020, 228, 105897. [Google Scholar] [CrossRef]
- Toro, G.; Pastenes, C.; Salvatierra, A.; Pimientel, P. Trade-off between hydraulic sensitivity, root hydraulic conductivity and water use efficiency in grafted Prunus under water deficit. Agric. Water Manag. 2023, 282, 108284. [Google Scholar] [CrossRef]
- Long, L.E.; Kaiser, C. Sweet cherry rootstocks. In A Pacific Northwest Extension Publication 2010; Oregon State University: Corvallis, OR, USA, 2010. [Google Scholar]
- Balmer, M. Improving profitability: Assessment of new rootstocks and planting density. Italus Hortus 2019, 26, 35–40. [Google Scholar] [CrossRef]
- Stoppel, P. WeiGi® 2. The New Generation of Rootstocks for Cherry Trees. 2015. Available online: https://weigi.com/en/pdf/Weigi2_E_A4_web.pdf (accessed on 20 June 2025).
- Izsák, B.; Szentimrey, T. To what extent does the detection of climate change in Hungary depend on the choice of statistical methods? Int. J. Geomath. 2020, 11, 17. [Google Scholar] [CrossRef]
- Hungaro-Met. Weather Archive. Available online: https://www.met.hu (accessed on 23 June 2025).
- Blanco, V.; Torres-Sánchez, R.; Blaya-Ros, P.J.; Pérez-Pastor, A.; Domingo, R. Vegetative and reproductive response of ‘Prime Giant’ sweet cherry trees to regulated deficit irrigation. Sci. Hortic. 2019, 249, 478–489. [Google Scholar] [CrossRef]
- Blanco, V.; Blaya-Ros, P.J.; Torres-Sánchez, R.; Domingo, R. Influence of regulated deficit irrigation and environmental conditions on reproductive response of sweet cherry trees. Plants 2020, 9, 94. [Google Scholar] [CrossRef]
- Carrasco-Benavides, M.; Espinoza Meza, S.; Olguín-Cáceres, J.; Muñoz-Concha, D.; von Bennewitz, E.; Ávila-Sánchez, C.; Ortega-Farías, S. Effects of regulated post-harvest irrigation strategies on yield, fruit quality and water productivity in a drip-irrigated cherry orchard. N. Z. J. Crop Hortic. Sci. 2020, 48, 97–116. [Google Scholar] [CrossRef]
- Houghton, E.; Bevandicka, K.; Neilsen, D.; Hannam, K.; Nelson, L.M. Effects of postharvest deficit irrigation on sweet cherry (Prunus avium) in five Okanagan Valley, Canada, orchards: II. Phenology, cold hardiness, fruit yield, and quality. Can. J. Plant Sci. 2023, 103, 184–200. [Google Scholar] [CrossRef]
- Houghton, E.; Bevandicka, K.; Neilsen, D.; Hannam, K.; Nelson, L.M. Effects of postharvest deficit irrigation on sweet cherry (Prunus avium) in five Okanagan Valley, Canada, orchards: I. Tree water status, photosynthesis, and growth. Can. J. Plant Sci. 2023, 103, 73–92. [Google Scholar] [CrossRef]
- McCutchan, H.J.; Shackel, K.H. Stem-water potential as a sensitive indicator of water stress in prune trees (Prunus domestica L. cv. French). J. Am. Soc. Hortic. Sci. 1992, 117, 607–611. [Google Scholar] [CrossRef]
- Shackel, K. A plant-based approach to deficit irrigation in trees and vines. HortScience 2011, 46, 173–177. [Google Scholar] [CrossRef]
- Blanco, V.; Martínez-Hernández, G.B.; Artés-Hernández, F.; Blaya-Ros, P.J.; Torres-Sánchez, R.; Domingo, R. Water relations and quality changes throughout fruit development and shelf life of sweet cherry grown under regulated deficit irrigation. Agric. Water Manag. 2019, 217, 243–254. [Google Scholar] [CrossRef]
- Blanco, V.; Domingo, R.; Pérez-Pastor, R.; Blaya-Ros, P.J.; Torres-Sánchez, R. Soil and plant water indicators for deficit irrigation management of field-grown sweet cherry trees. Agric. Water Manag. 2018, 208, 83–94. [Google Scholar] [CrossRef]
- Turner, N.C. Measurement of plant water status by the pressure chamber technique. Irrig. Sci. 1988, 9, 289–308. [Google Scholar] [CrossRef]
- Granier, A. Une nouvelle méthode pour la mesure du flux de sève brute dans le tronc des arbres. Ann. Sci. For. 1985, 42, 193–200. [Google Scholar] [CrossRef]
- Granier, A. Evaluation of transpiration in a Douglas-fir stand by means of sap flow measurements. Tree Physiol. 1987, 3, 309–320. [Google Scholar] [CrossRef] [PubMed]
- Allen, R.G.; Pereira, L.S.; Raes, D.; Smith, M. Crop Evapotranspiration—Guidelines for Computing Crop Water Requirements. In FAO Irrigation and Drainage Paper No. 56; FAO: Rome, Italy, 1998. [Google Scholar]
- Peschiutta, M.L.; Bucci, S.J.; Scholz, F.G.; Koval, R.F.; Goldstein, G. Leaf and stem hydraulic traits in relation to growth, water use and fruit yield in Prunus avium L. cultivars. Trees 2013, 27, 1559–1569. [Google Scholar] [CrossRef]
- Morandi, B.; Manfrini, L.; Lugli, S.; Tugnoli, A.; Boini, A.; Perulli, G.D.; Bresilla, K.; Venturi, M.; Corelli Grappadelli, L. Sweet cherry water relations and fruit production efficiency are affected by rootstock vigor. J. Plant Physiol. 2019, 237, 43–50. [Google Scholar] [CrossRef] [PubMed]
- Jones, H.G. Irrigation scheduling: Advantages and pitfalls of plant-based methods. J. Exp. Bot. 2004, 55, 2427–2436. [Google Scholar] [CrossRef]
- Tardieu, F.; Simonneau, F. Variability among species of stomatal control under fluctuating soil water status and evaporative demand: Modelling isohydric and anisohydric behaviours. J. Exp. Bot. 1998, 49, 419–432. [Google Scholar] [CrossRef]
- Opazo, I.; Toro, G.; Solis, S.; Salvatierra, A.; Franck, N.; Albornoz, F.; Pimentel, P. Late reduction on transpiration is an important trait for water deficit tolerance in interspecific Prunus rootstock hybrids. Theor. Exp. Plant Physiol. 2019, 31, 493–506. [Google Scholar] [CrossRef]



| Month | Temperature | Precipitation | Reference Evapotranspiration (ET0) | ||
|---|---|---|---|---|---|
| Minimum, °C | Maximum, °C | Mean, °C | mm | mm | |
| April | −0.7 | 28.4 | 12.5 | 25.5 | 77.5 |
| May | 3.4 | 27.6 | 17.1 | 40.6 | 96.5 |
| June | 8.4 | 34.8 | 21.5 | 59.9 | 89.2 |
| July | 8.9 | 37.8 | 24.9 | 33.2 | 159.3 |
| August | 11.2 | 38.3 | 25.5 | 24.3 | 149.9 |
| September | 4.2 | 34.3 | 17.8 | 80.5 | 97.5 |
| Rootstock | Stomatal Conductance, gs (mmol·m−2·s−1) | Midday Stem Water Potential, MSWP (MPa) | ||||
|---|---|---|---|---|---|---|
| Irrigation on 17 July, natural rainfall on 18 July | ||||||
| Before irrigation | After irrigation | Before irrigation | After irrigation | |||
| GiSelA 6 | 107.8 ± 11.5 | 148.0 ± 11.0 | p < 0.05 | −1.86 ± 0.03 | −1.03 ± 0.02 | p < 0.001 |
| WeiGi 2 | 94.5 ± 11.9 | 174.5 ± 11.3 | p < 0.05 | −2.09 ± 0.12 | −1.01 ± 0.04 | p < 0.001 |
| MaxMa 14 | 59.0 ± 11.4 | 209.5 ± 11.3 | p < 0.001 | −2.82 ± 0.10 | −1.35 ± 0.06 | p < 0.001 |
| Irrigation on 2 and 5 August | ||||||
| Before irrigation | After irrigation | Before irrigation | After irrigation | |||
| GiSelA 6 | 91.5 ± 13.5 | 142.0 ± 11.7 | p < 0.05 | −1.32 ± 0.05 | −1.15 ± 0.03 | p < 0.01 |
| WeiGi 2 | 123.0 ± 11.5 | 195.5 ± 11.4 | p < 0.05 | −1.43 ± 0.04 | −1.09 ± 0.06 | p < 0.01 |
| MaxMa 14 | 62.2 ± 12.1 | 166.0 ± 10.8 | p < 0.001 | −2.07 ± 0.07 | −1.75 ± 0.06 | p < 0.001 |
| Rootstock | Difference, gs (mmol·m−2·s−1) | Difference, MSWP (MPa) | ||
|---|---|---|---|---|
| Irrigation on 17 July, natural rainfall on 18 July | ||||
| GiSelA 6 | 51.0 ± 26.5 | a | 0.83 ± 0.03 | a |
| WeiGi 2 | 80.0 ± 29.1 | ab | 1.09 ± 11.2 | a |
| MaxMa 14 | 150.5 ± 26.2 | b | 1.47 ± 0.09 | b |
| p < 0.05 | p < 0.001 | |||
| Irrigation on 2 and 5 August | ||||
| GiSelA 6 | 50.5 ± 31.1 | 0.17 ± 0.06 | ||
| WeiGi 2 | 72.5 ± 32.0 | 0.34 ± 0.09 | ||
| MaxMa 14 | 110.0 ± 12.0 | 0.32 ± 0.07 | ||
| n.s. | n.s. | |||
| Rootstock | Parameter A | Parameter C | ||||
|---|---|---|---|---|---|---|
| Before Irrigation | After Irrigation | Before Irrigation | After Irrigation | |||
| GiSelA 6 | 8.738 ± 0.916 | 9.007 ± 0.898 | n.s. | 6.705 ± 0.495 | 9.228 ± 0.421 | p < 0.05 |
| WeiGi 2 | 7.895 ± 0.945 | 8.069 ± 0.498 | n.s. | 6.569 ± 0.636 | 9.449 ± 0.660 | p < 0.05 |
| MaxMa 14 | 8.161 ± 0.807 | 8.546 ± 0.736 | n.s. | 8.457 ± 0.978 | 8.165 ± 0.443 | n.s. |
Disclaimer/Publisher’s Note: The statements, opinions and data contained in all publications are solely those of the individual author(s) and contributor(s) and not of MDPI and/or the editor(s). MDPI and/or the editor(s) disclaim responsibility for any injury to people or property resulting from any ideas, methods, instructions or products referred to in the content. |
© 2025 by the authors. Licensee MDPI, Basel, Switzerland. This article is an open access article distributed under the terms and conditions of the Creative Commons Attribution (CC BY) license (https://creativecommons.org/licenses/by/4.0/).
Share and Cite
Mohay, P.; Lakatos, T. Impact of Severe Drought Stress on Water Relations of Young Cherry Trees Grafted onto Growth-Reducing Rootstocks. Horticulturae 2025, 11, 997. https://doi.org/10.3390/horticulturae11090997
Mohay P, Lakatos T. Impact of Severe Drought Stress on Water Relations of Young Cherry Trees Grafted onto Growth-Reducing Rootstocks. Horticulturae. 2025; 11(9):997. https://doi.org/10.3390/horticulturae11090997
Chicago/Turabian StyleMohay, Piroska, and Tamás Lakatos. 2025. "Impact of Severe Drought Stress on Water Relations of Young Cherry Trees Grafted onto Growth-Reducing Rootstocks" Horticulturae 11, no. 9: 997. https://doi.org/10.3390/horticulturae11090997
APA StyleMohay, P., & Lakatos, T. (2025). Impact of Severe Drought Stress on Water Relations of Young Cherry Trees Grafted onto Growth-Reducing Rootstocks. Horticulturae, 11(9), 997. https://doi.org/10.3390/horticulturae11090997

