Evaluation of Nitrogen Nutritional Status in Broccoli, Processing Tomato, and Processing Pepper Under Different Fertilization Regimes in Open Fields in Extremadura
Abstract
1. Introduction
2. Materials and Methods
2.1. Field Experiment Descriptions
2.2. Crop Yield and Dry Matter Production
2.3. Critical Nitrogen Curve (CNC)
2.4. Nutritional Nitrogen Index (NNI)
2.5. Nutritional Status Indicators
2.5.1. Leaf Nitrogen Content
2.5.2. Chlorophyll Content
2.5.3. Petiole Sap Nitrate [NO3−]
3. Results
3.1. Growing Conditions
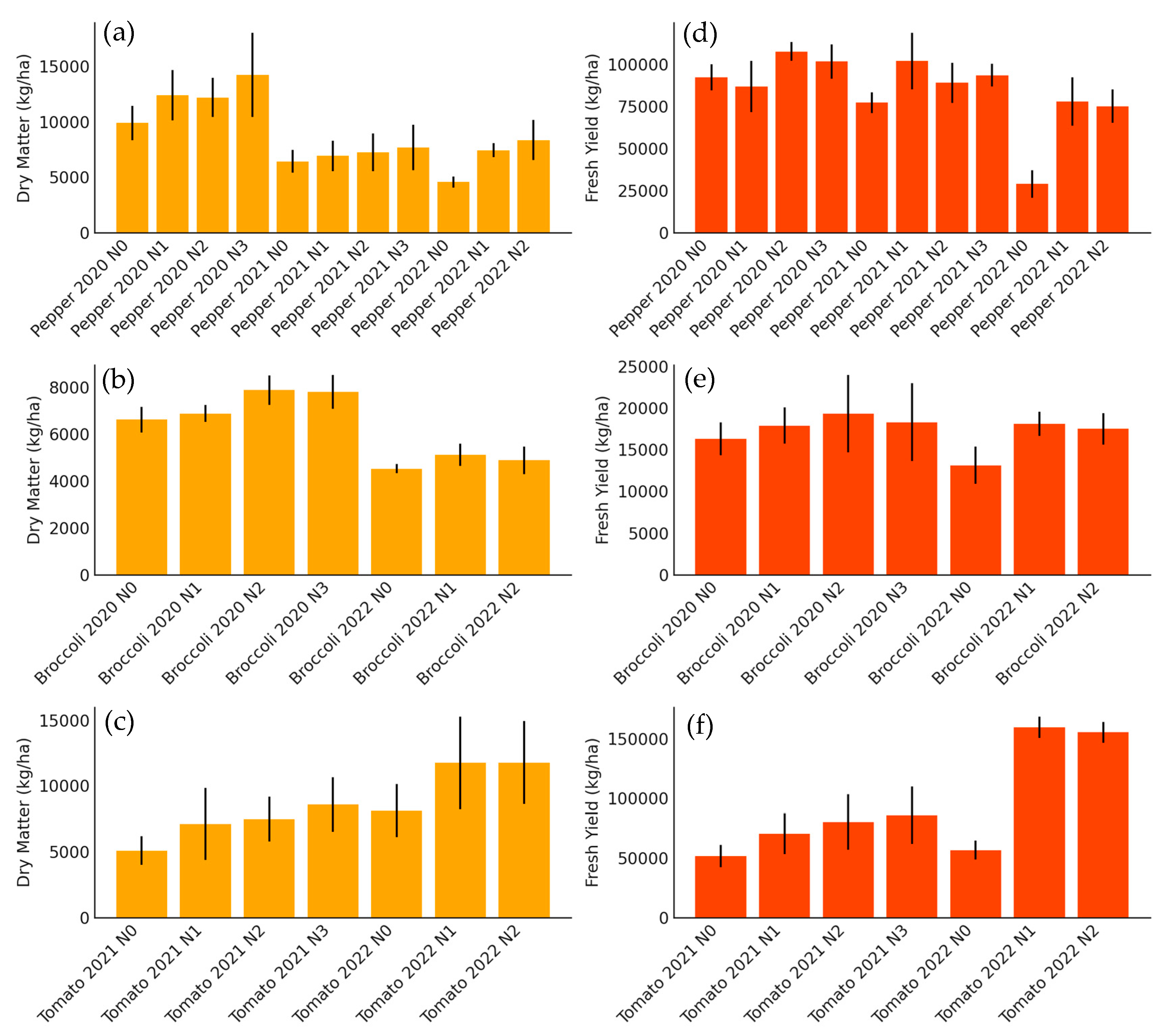
3.2. Crop Yield and Dry Matter Production
3.3. CNC for Processing Pepper, Broccoli, and Processing Tomato
3.4. Nutritional Nitrogen Index (NNI) Seasonal Evolution
3.4.1. Processing Pepper
3.4.2. Broccoli
3.4.3. Processing Tomato
3.5. Seasonal Trend of Nutritional Indexes
3.5.1. Processing Pepper
3.5.2. Broccoli
3.5.3. Processing Tomato
3.6. Comparative NNI with Rapid Measures
3.6.1. Processing Pepper
3.6.2. Broccoli
3.6.3. Processing Tomato
4. Discussion
4.1. Were the Indicators Able to Discriminate Between Treatments?
4.2. Interpretation of the Results
5. Conclusions
Author Contributions
Funding
Data Availability Statement
Conflicts of Interest
References
- MAPA. Avance de Superficies y Producciones de Cultivo 2022. In 2022 Anuario de Estadística; Ministerio de Agricultura, Pesca y Alimentación: Madrid, Spain, (In Spanish). Available online: https://www.mapa.gob.es/es/estadistica/temas/publicaciones/anuario-de-estadistica/2023/default.aspx?parte=3&capitulo=07&grupo=6&seccion=27 (accessed on 8 July 2024).
- Thompson, R.B.; Martínez-Gaitan, C.; Gallardo, M.; Giménez, C.; Fernández, M.D. Identification of Irrigation and N Management Practices That Contribute to Nitrate Leaching Loss from an Intensive Vegetable Production System by Use of a Comprehensive Survey. Agric. Water Manag. 2007, 89, 261–274. [Google Scholar] [CrossRef]
- Fereres, E.; Goldhamer, D.A.; Parsons, L.R. Irrigation Water Management of Horticultural Crops. HortScience 2003, 38, 1036–1042. [Google Scholar] [CrossRef]
- Directive 91/676/EEC. Directive 91/676/EEC of 12 December 1991 Concerning the Protection of Waters against Pollution Caused by Nitrates from Agricultural Sources. Off. J. 1991, 375, 1–8.
- Gebbers, R.; Adamchuk, V.I. Precision Agriculture and Food Security. Science 2010, 327, 828–831. [Google Scholar] [CrossRef] [PubMed]
- Meisinger, J.J.; Schepers, J.S.; Raun, W.R. Crop Nitrogen Requirement and Fertilization. Nitrogen Agric. Syst. 2015, 49, 563–612. [Google Scholar] [CrossRef]
- Vadillo, J.M.; Campillo, C.; González, V.; Prieto, H. Assessing Nitrogen Fertilization in Processing Pepper: Critical Nitrogen Curve, Yield Response, and Crop Development. Horticulturae 2024, 10, 1141. [Google Scholar] [CrossRef]
- Thompson, R.B.; Gallardo, M.; Voogt, W. Optimizing Nitrogen and Water Inputs for Greenhouse Vegetable Production. Acta Hortic. 2015, 1107, 15–29. [Google Scholar] [CrossRef]
- Padilla, F.M.; Teresa Peña-Fleitas, M.; Gallardo, M.; Thompson, R.B. Evaluation of Optical Sensor Measurements of Canopy Reflectance and of Leaf Flavonols and Chlorophyll Contents to Assess Crop Nitrogen Status of Muskmelon. Eur. J. Agron. 2014, 58, 39–52. [Google Scholar] [CrossRef]
- Fox, R.H.; Walthall, C.L. Crop Monitoring Technologies to Assess Nitrogen Status. Nitrogen Agric. Syst. 2015, 647–674. [Google Scholar] [CrossRef]
- Cerasola, V.A.; Bona, S.; Borsato, D.; Gavioli, L.; Moretti, G.; Manfrini, L.; Pennisi, G.; Orsini, F.; Buscaroli, E.; Sambo, P.; et al. Exploring Dynamic Nitrogen (N) Fertigation Guided by Multispectral Sensors: A Sustainable Optimization of N Fertilization in Processing Tomato. Sci. Hortic. 2025, 345, 114124. [Google Scholar] [CrossRef]
- Cerasola, V.A.; Orsini, F.; Pennisi, G.; Moretti, G.; Bona, S.; Mirone, F.; Verrelst, J.; Berger, K.; Gianquinto, G. Hyperspectral Imaging for Precision Nitrogen Management: A Comparative Exploration of Two Methodological Approaches to Estimate Optimal Nitrogen Rate in Processing Tomato. Smart Agric. Technol. 2025, 10, 100802. [Google Scholar] [CrossRef]
- Gianquinto, G.; Orsini, F.; Pennisi, G.; Bona, S. Sources of Variation in Assessing Canopy Reflectance of Processing Tomato by Means of Multispectral Radiometry. Sensors 2019, 19, 4730. [Google Scholar] [CrossRef] [PubMed]
- Padilla, F.M.; de Souza, R.; Peña-Fleitas, M.T.; Gallardo, M.; Giménez, C.; Thompson, R.B. Different Responses of Various Chlorophyll Meters to Increasing Nitrogen Supply in Sweet Pepper. Front. Plant Sci. 2018, 871, 01752. [Google Scholar] [CrossRef] [PubMed]
- Gianquinto, G.; Sambo, P.; Borsato, D. Determination of SPAD Threshold Values for the Optimisation of Nitrogen Supply in Processing Tomato. Acta Hortic. 2006, 700, 159–166. [Google Scholar] [CrossRef]
- Padilla, F.M.; Peña-Fleitas, M.T.; Gallardo, M.; Thompson, R.B. Threshold Values of Canopy Reflectance Indices and Chlorophyll Meter Readings for Optimal Nitrogen Nutrition of Tomato. Ann. Appl. Biol. 2015, 166, 271–285. [Google Scholar] [CrossRef]
- Goffart, J.P.; Olivier, M.; Frankinet, M. Potato Crop Nitrogen Status Assessment to Improve N Fertilization Management and Efficiency: Past–Present–Future. Potato Res. 2008, 51, 355–383. [Google Scholar] [CrossRef]
- Peña-Fleitas, M.T.; Gallardo, M.; Thompson, R.B.; Farneselli, M.; Padilla, F.M. Assessing Crop N Status of Fertigated Vegetable Crops Using Plant and Soil Monitoring Techniques. Ann. Appl. Biol. 2015, 167, 387–405. [Google Scholar] [CrossRef]
- Vadillo, J.M.; Gimenez, C.; Campillo, C.; González, V.; Prieto, M.H. Development of a Methodology to Characterize the Nitrogen Nutritional Status of Open Field Processing Tomato by Means of Fast Indicators. Acta Hortic. 2022, 1351, 89–94. [Google Scholar] [CrossRef]
- Cameira, M.D.R.; Mota, M. Nitrogen Related Diffuse Pollution from Horticulture Production—Mitigation Practices and Assessment Strategies. Horticulturae 2017, 3, 25. [Google Scholar] [CrossRef]
- Greenwood, D.J.; Lemaire, G.; Gosse, G.; Cruz, P.; Draycott, A.; Neeteson, J.J. Decline in Percentage N of C3 and C4 Crops with Increasing Plant Mass. Ann. Bot. 1990, 66, 425–436. [Google Scholar] [CrossRef]
- Ata-Ul-Karim, S.T.; Zhu, Y.; Liu, X.; Cao, Q.; Tian, Y.; Cao, W. Comparison of Different Critical Nitrogen Dilution Curves for Nitrogen Diagnosis in Rice. Sci. Rep. 2017, 7, srep42679. [Google Scholar] [CrossRef] [PubMed]
- Benincasa, P.; Guiducci, M.; Tei, F. The Nitrogen Use Efficiency: Meaning and Sources of Variation-Case Studies on Three Vegetable Crops in Central Italy. Horttechnology 2011, 21, 266–273. [Google Scholar] [CrossRef]
- Conversa, G.; Lazzizera, C.; Bonasia, A.; Elia, A. Growth, N Uptake and N Critical Dilution Curve in Broccoli Cultivars Grown under Mediterranean Conditions. Sci. Hortic. 2019, 244, 109–121. [Google Scholar] [CrossRef]
- de Paz, J.M.; Ramos, C.; Visconti, F. Critical Nitrogen Dilution Curve and Dry Matter Production Parameters for Several Mediterranean Vegetables. Sci. Hortic. 2022, 303, 111194. [Google Scholar] [CrossRef]
- Survey Staff, S. Soil Taxonomy A Basic System of Soil Classification for Making and Interpreting Soil Surveys; United States Department of Agriculture Natural Resources Conservation Service: Washington, DC, USA, 1999.
- Rodríguez, A.; Peña-Fleitas, M.T.; Gallardo, M.; de Souza, R.; Padilla, F.M.; Thompson, R.B. Sweet Pepper and Nitrogen Supply in Greenhouse Production: Critical Nitrogen Curve, Agronomic Responses and Risk of Nitrogen Loss. Eur. J. Agron. 2020, 117, 126046. [Google Scholar] [CrossRef]
- Justes, E.; Mary, B.; Meynard, J.M.; Machet, J.M.; Thelier-Huche, L. Determination of a Critical Nitrogen Dilution Curve for Winter Wheat Crops. Ann. Bot. 1994, 74, 397–407. [Google Scholar] [CrossRef]
- Sadras, V.O.; Lemaire, G. Quantifying Crop Nitrogen Status for Comparisons of Agronomic Practices and Genotypes. Field Crops Res. 2014, 164, 54–64. [Google Scholar] [CrossRef]
- Lemaire, G.; Gastal, F. N Uptake and Distribution in Plant Canopies. In Diagnosis of the Nitrogen Status in Crops; Springer: Berlin, Germany, 1997; pp. 3–43. [Google Scholar] [CrossRef]
- Garcia, G.; Treccarichi, S.; Calì, R.; Arena, D.; Tribulato, A.; Branca, F. Nitrogen Use Efficiency of Microbial and Amino Acid Treatments for Organic Broccoli (Brassica oleracea L. var. italica Plenk) Seed Production. Horticulturae 2025, 11, 253. [Google Scholar] [CrossRef]
- Miller, K.S.; Geisseler, D. Temperature Sensitivity of Nitrogen Mineralization in Agricultural Soils. Biol. Fertil. Soils 2018, 54, 853–860. [Google Scholar] [CrossRef]
- Giménez, C.; Thompson, R.B.; Prieto, M.H.; Suárez-Rey, E.; Padilla, F.M.; Gallardo, M. Adaptation of the VegSyst Model to Outdoor Conditions for Leafy Vegetables and Processing Tomato. Agric. Syst. 2019, 171, 51–64. [Google Scholar] [CrossRef]
- Ulissi, V.; Antonucci, F.; Benincasa, P.; Farneselli, M.; Tosti, G.; Guiducci, M.; Tei, F.; Costa, C.; Pallottino, F.; Pari, L.; et al. Nitrogen Concentration Estimation in Tomato Leaves by VIS-NIR Non-Destructive Spectroscopy. Sensors 2011, 11, 6411–6424. [Google Scholar] [CrossRef] [PubMed]
- Padilla, F.M.; Gallardo, M.; Peña-Fleitas, M.T.; De Souza, R.; Thompson, R.B. Proximal Optical Sensors for Nitrogen Management of Vegetable Crops: A Review. Sensors 2018, 18, 2083. [Google Scholar] [CrossRef] [PubMed]
- Basyouni, R.; Dunn, B.L.; Goad, C. Use of Nondestructive Sensors to Assess Nitrogen Status in Potted Poinsettia (Euphorbia pulcherrima L. (Willd. Ex Klotzsch)) Production. Sci. Hortic. 2015, 192, 47–53. [Google Scholar] [CrossRef]
- Farneselli, M.; Tei, F.; Simonne, E. Reliability of Petiole Sap Test for N Nutritional Status Assessing in Processing Tomato. J. Plant Nutr. 2014, 37, 270–278. [Google Scholar] [CrossRef]
- Güler, S.; Büyük, G. Relationships among Chlorophyll-Meter Reading Value, Leaf n and Yield of Cucumber and Tomatoes. Acta Hortic. 2007, 729, 307–311. [Google Scholar] [CrossRef]
- Ambrosini, V.G.; Voges, J.G.; Benevenuto, R.F.; Vilperte, V.; Silveira, M.A.; Brunetto, G.; Ogliari, J.B. Single-Head Broccoli Response to Nitrogen Application. Científica 2015, 43, 84–92. [Google Scholar] [CrossRef][Green Version]
- Vidigal, S.M.; Puiatti, M.; Lopes, I.P.D.C.; Sediyama, M.A.N. Nitrogen Content, SPAD Index and Production of Single Head Broccoli. Hortic. Bras. 2021, 39, 52–57. [Google Scholar] [CrossRef]
- Novichonok, E.V.; Novichonok, A.O.; Kurbatova, J.A.; Markovskaya, E.F. Use of the AtLEAF+ Chlorophyll Meter for a Nondestructive Estimate of Chlorophyll Content. Photosynthetica 2016, 54, 130–137. [Google Scholar] [CrossRef]
- Parry, C.; Blonquist, J.M.; Bugbee, B. In Situ Measurement of Leaf Chlorophyll Concentration: Analysis of the Optical/Absolute Relationship. Plant Cell Environ. 2014, 37, 2508–2520. [Google Scholar] [CrossRef]
- Schröder, J.J.; Neeteson, J.J.; Oenema, O.; Struik, P.C. Does the Crop or the Soil Indicate How to Save Nitrogen in Maize Production?: Reviewing the State of the Art. F. Crop. Res. 2000, 66, 151–164. [Google Scholar] [CrossRef]
- El-Shikha, D.M.; Waller, P.; Hunsaker, D.; Clarke, T.; Barnes, E. Ground-Based Remote Sensing for Assessing Water and Nitrogen Status of Broccoli. Agric. Water Manag. 2007, 92, 183–193. [Google Scholar] [CrossRef]
- Hochmuth, G.J. Efficiency Ranges for Nitrate-Nitrogen and Potassium for Vegetable Petiole Sap Quick Tests. Horttechnology 1994, 4, 218–222. [Google Scholar] [CrossRef]
- Rodríguez, A.; Peña-Fleitas, M.T.; Padilla, F.M.; Gallardo, M.; Thompson, R.B. Petiole Sap Nitrate Concentration to Assess Crop Nitrogen Status of Greenhouse Sweet Pepper. Sci. Hortic. 2021, 285, 110157. [Google Scholar] [CrossRef]
- Justes, E.; Meynard, J.M.; Mary, B.; Plénet, D. Diagnosis Using Stem Base Extract: JUBIL Method. In Diagnosis of the Nitrogen Status in Crops; Springer: Berlin, Germany, 1997; pp. 163–187. [Google Scholar] [CrossRef]
- Villeneuve, S.; Coulombe, J.; Bélec, C.; Tremblay, N. A Comparison of Sap Nitrate Test and Chlorophyll Meter for Nitrogen Status Diagnosis in Broccoli (Brassica Oleracea L. Spp. Italica). Acta Hortic. 2002, 571, 171–177. [Google Scholar] [CrossRef]
- Padilla, F.M.; Peña-Fleitas, M.T.; Gallardo, M.; Giménez, C.; Thompson, R.B. Derivation of Sufficiency Values of a Chlorophyll Meter to Estimate Cucumber Nitrogen Status and Yield. Comput. Electron. Agric. 2017, 141, 54–64. [Google Scholar] [CrossRef]
- Mistele, B.; Schmidhalter, U. Estimating the Nitrogen Nutrition Index Using Spectral Canopy Reflectance Measurements. Eur. J. Agron. 2008, 29, 184–190. [Google Scholar] [CrossRef]
- Ziadi, N.; Bélanger, G.; Claessens, A.; Lefebvre, L.; Cambouris, A.N.; Tremblay, N.; Nolin, M.C.; Parent, L.É. Determination of a Critical Nitrogen Dilution Curve for Spring Wheat. Agron. J. 2010, 102, 241–250. [Google Scholar] [CrossRef]
- Bélanger, G.; Walsh, J.R.; Richards, J.E.; Milburn, P.H.; Ziadi, N. Critical Petiole Nitrate Concentration of Two Processing Potato Cultivars in Eastern Canada. Am. J. Potato Res. 2003, 80, 251–261. [Google Scholar] [CrossRef]
- Tremblay, N.; Bélec, C.; Jenni, S.; Fortier, E.; Mellgren, R. The Dualex—A New Tool to Determine Nitrogen Sufficiency in Broccoli. Acta Hortic. 2009, 824, 121–132. [Google Scholar] [CrossRef]














| Crop | Cultivar | Transplanting Date | Harvesting Date | Plant Density (Plants/ha) | N Dose (kg/ha) | |
|---|---|---|---|---|---|---|
| Field trial 1 2020 | Processing pepper | Ramonete Lamuyo | 18 May 2020 | 30 September 2020 | 33,333 | N0 (0) |
| N1 (60) | ||||||
| N2 (120) | ||||||
| N3 (180) | ||||||
| Field trial 2 2021 | Processing pepper | Ramonete Lamuyo | 14 May 2021 | 15 September 2021 | 33,333 | N0 (0) |
| N1 (60) | ||||||
| N2 (120) | ||||||
| N3 (180) | ||||||
| Field trial 3 2022 | Processing pepper | Ramonete Lamuyo | 12 May 2022 | 6 September 2022 | 33,333 | N0 (0) |
| N1 (200) | ||||||
| N2 (300) | ||||||
| Field trial 4 2020 | Broccoli | Parthenon | 27 August 2020 | 2 December 2020 | 33,333 | N0 (0) |
| N1 (100) | ||||||
| N2 (200) | ||||||
| N3 (300) | ||||||
| Field trial 5 2022 | Broccoli | Parthenon | 2 September 2022 | 28 November 2022 | 33,333 | N0 (0) |
| N1 (200) | ||||||
| N2 (300) | ||||||
| Field trial 6 2021 | Processing tomato | H1015 | 7 April 2021 | 29 July 2021 | 26,666 | N0 (0) |
| N1 (100) | ||||||
| N2 (200) | ||||||
| N3 (300) | ||||||
| Field trial 7 2022 | Processing tomato | H1015 | 6 April 2022 | 3 August 2022 | 26,666 | N0 (0) |
| N1 (200) | ||||||
| N2 (350) |
| Months | Monthly Average Maximum Ta (°C) | Monthly Average Minimum Ta (°C) | Monthly Precipitation Total (mm) | ||||||
|---|---|---|---|---|---|---|---|---|---|
| 2020 | 2021 | 2020 | 2021 | 2022 | 2022 | 2020 | 2021 | 2022 | |
| May | 27.9 | 26.5 | 13.1 | 10.8 | 13.0 | 29.9 | 47.71 | 8.69 | 0.2 |
| June | 30.0 | 30.5 | 13.6 | 14.0 | 15.8 | 31.6 | 0 | 28.47 | 0 |
| July | 37.4 | 34.2 | 18.3 | 15.5 | 18.3 | 38.4 | 10.3 | 0 | 0 |
| August | 34.3 | 35.0 | 16.3 | 16.6 | 17.5 | 35.4 | 0 | 1.01 | 0 |
| September | 30.9 | 28.9 | 14.6 | 15.4 | 15.6 | 29.3 | 3.96 | 96.56 | 45.24 |
| October | 23.5 | 26.0 | 8.9 | 10.6 | 13.3 | 27.5 | 45.15 | 47.27 | 46.64 |
| November | 19.0 | 16.8 | 9.1 | 4.3 | 8.6 | 18.7 | 66.17 | 8.68 | 41.2 |
| December | 13.6 | 16.2 | 5.2 | 6.0 | 8.3 | 17.0 | 46.55 | 63.62 | 174.09 |
Disclaimer/Publisher’s Note: The statements, opinions and data contained in all publications are solely those of the individual author(s) and contributor(s) and not of MDPI and/or the editor(s). MDPI and/or the editor(s) disclaim responsibility for any injury to people or property resulting from any ideas, methods, instructions or products referred to in the content. |
© 2025 by the authors. Licensee MDPI, Basel, Switzerland. This article is an open access article distributed under the terms and conditions of the Creative Commons Attribution (CC BY) license (https://creativecommons.org/licenses/by/4.0/).
Share and Cite
Vadillo, J.M.; Campillo, C.; Millán, S.; Prieto, H. Evaluation of Nitrogen Nutritional Status in Broccoli, Processing Tomato, and Processing Pepper Under Different Fertilization Regimes in Open Fields in Extremadura. Horticulturae 2025, 11, 733. https://doi.org/10.3390/horticulturae11070733
Vadillo JM, Campillo C, Millán S, Prieto H. Evaluation of Nitrogen Nutritional Status in Broccoli, Processing Tomato, and Processing Pepper Under Different Fertilization Regimes in Open Fields in Extremadura. Horticulturae. 2025; 11(7):733. https://doi.org/10.3390/horticulturae11070733
Chicago/Turabian StyleVadillo, Jose Maria, Carlos Campillo, Sandra Millán, and Henar Prieto. 2025. "Evaluation of Nitrogen Nutritional Status in Broccoli, Processing Tomato, and Processing Pepper Under Different Fertilization Regimes in Open Fields in Extremadura" Horticulturae 11, no. 7: 733. https://doi.org/10.3390/horticulturae11070733
APA StyleVadillo, J. M., Campillo, C., Millán, S., & Prieto, H. (2025). Evaluation of Nitrogen Nutritional Status in Broccoli, Processing Tomato, and Processing Pepper Under Different Fertilization Regimes in Open Fields in Extremadura. Horticulturae, 11(7), 733. https://doi.org/10.3390/horticulturae11070733

