Identification and Evaluation of Flesh Texture of Crisp Pear Fruit Based on Penetration Test Using Texture Analyzer
Abstract
1. Introduction
2. Materials and Methods
2.1. Plant Material
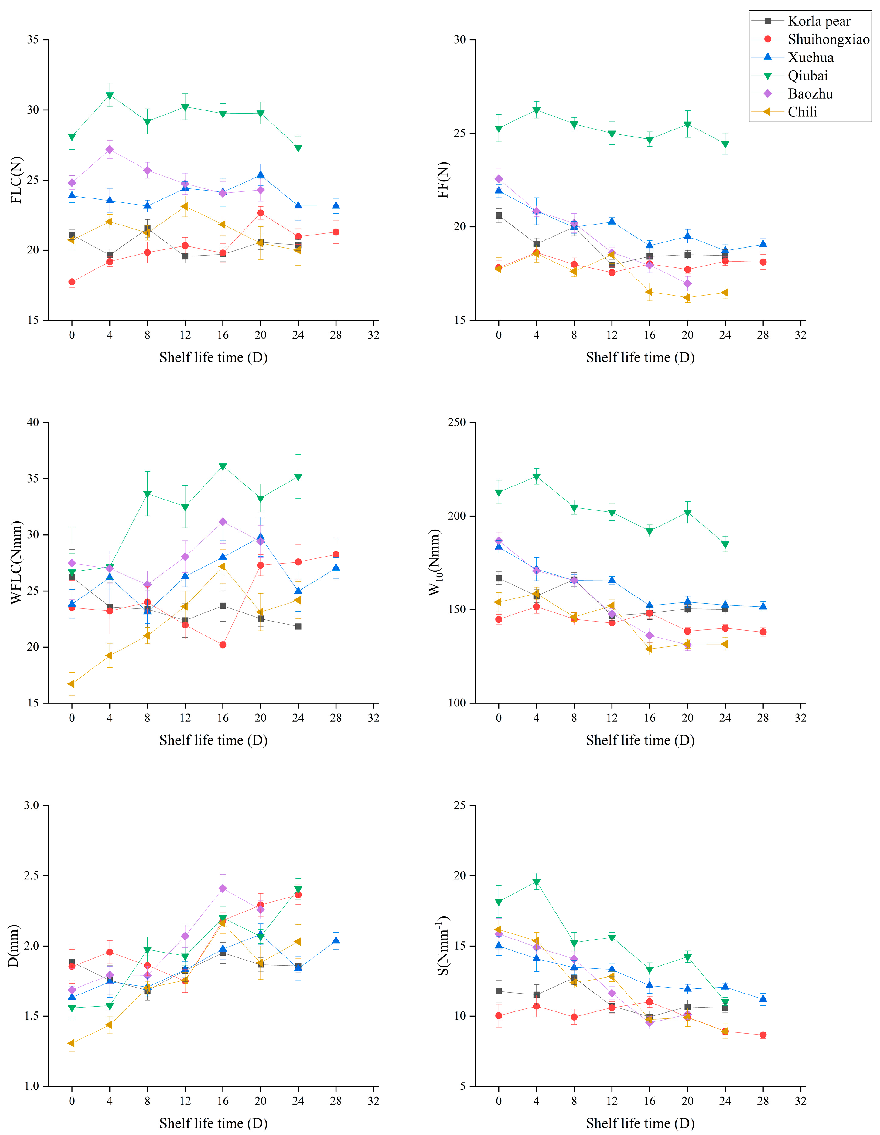
2.2. Puncture Test and Parameter Setting
2.3. Sensory Evaluation of Flesh Texture
2.4. Statistical Analysis
3. Results
3.1. Variation and Correlation Analysis of Puncture Measurement Parameters
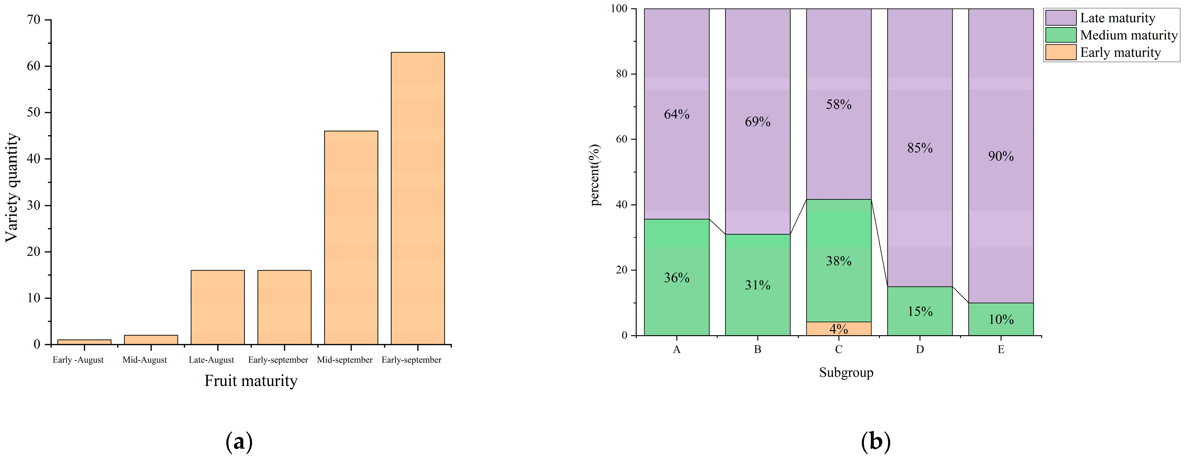
3.2. Cluster Analysis Based on Sensory Texture Evaluation and Puncture Measurement
3.3. Principal Component Analysis of Puncture Measurement Parameters
Y2 = −0.0129 × ZFF − 0.1055 × ZFLC − 0.1149 × ZW10 + 0.3078 × ZWFLC − 0.5677 × ZS + 0.7477 × ZD.
3.4. Analysis of Influencing Factors of Fruit Texture
4. Discussion
5. Conclusions
Supplementary Materials
Author Contributions
Funding
Data Availability Statement
Conflicts of Interest
References
- Cao, Y.F.; Li, S.L.; Huang, L.S.; Sun, J.Z.; Tan, X.W. Survey of germplasm resources of pear in China and comprehensive evaluation of excellent germplasm. China Fruits 2000, 4, 42–44. [Google Scholar] [CrossRef]
- Wang, W.H.; Wang, G.P.; Tian, L.M.; Li, X.G.; Lv, X.L.; Zhang, Y.X.; Zhang, J.H.; Cao, Y.F. New China fruit science research 70 years—Pear. J. Fruit Sci. 2019, 36, 1273–1282. [Google Scholar] [CrossRef]
- Harker, F.R.; Redgwell, R.J.; Hallett, I.C.; Murray, S.H.; Carter, G. Texture of Fresh Fruit. In Horticultural Reviews; John Wiley & Sons, Ltd.: Hoboken, NJ, USA, 1997; pp. 121–224. ISBN 978-0-470-65064-6. [Google Scholar]
- Cano-Salazar, J.; López, M.L.; Echeverría, G. Relationships between the instrumental and sensory characteristics of four peach and nectarine cultivars stored under air and CA atmospheres. Postharvest Biol. Technol. 2013, 75, 58–67. [Google Scholar] [CrossRef]
- Jaeger, S.R.; Andani, Z.; Wakeling, I.N.; MacFie, H.J.H. Consumer preferences for fresh and aged apples: A cross-cultural comparison. Food Qual. Prefer. 1998, 9, 355–366. [Google Scholar] [CrossRef]
- Corrigan, V.K.; Hurst, P.L.; Boulton, G. Sensory characteristics and consumer acceptability of ‘Pink Lady’ and other late-season apple cultivars. N. Z. J. Crop Hortic. Sci. 1997, 25, 375–383. [Google Scholar] [CrossRef][Green Version]
- Wang, Y.X.; Wang, X.M.; Guan, J.F. Flesh Texture Characteristic Analysis of Pear. Agric. Sci. China 2014, 47, 4056–4066. [Google Scholar] [CrossRef]
- Atkinson, R.G.; Gunaseelan, K.; Wang, M.Y.; Luo, L.; Wang, T.; Norling, C.L.; Johnston, S.L.; Maddumage, R.; Schröder, R.; Schaffer, R.J. Dissecting the role of climacteric ethylene in kiwifruit (Actinidia chinensis) ripening using a 1-aminocyclopropane-1-carboxylic acid oxidase knockdown line. J. Exp. Bot. 2011, 62, 3821–3835. [Google Scholar] [CrossRef]
- Lunn, J.E.; MacRae, E. New complexities in the synthesis of sucrose. Curr. Opin. Plant Biol. 2003, 6, 208–214. [Google Scholar] [CrossRef]
- Dong, X.G.; Tian, L.M.; Cao, Y.F.; Zhang, Y.; Qi, D. Factor analysis and comprehensive evaluation of fruit quality in cultivars of Pyrus pyrifolia (Burm. f.) Nakai from south China. J. Fruit Sci. 2014, 31, 815–822. [Google Scholar] [CrossRef]
- Cao, Y.F.; Zhang, S.L. Chinese Pear Genetic Resources; China Agriculture Press: Beijing, China, 2020; ISBN 978-7-109-26808-1. [Google Scholar]
- Harker, F.R.; Marsh, K.B.; Young, H.; Murray, S.H.; Gunson, F.A.; Walker, S.B. Sensory interpretation of instrumental measurements 2: Sweet and acid taste of apple fruit. Postharvest Biol. Technol. 2002, 24, 241–250. [Google Scholar] [CrossRef]
- Infante, R.; Meneses, C.; Byrne, D.H. Present Situation of Peach Breeding Programs: Post Harvest and Fruit Quality Assessment. Acta Hortic. 2006, 713, 121–124. [Google Scholar] [CrossRef]
- Lozano, L.; Iglesias, I.; Puy, J.; Echeverria, G. Performance of an Expert Sensory Panel and Instrumental Measures for Assessing Eating Fruit Quality Attributes in a Pear Breeding Programme. Foods 2023, 12, 1426. [Google Scholar] [CrossRef] [PubMed]
- Hampson, C.R.; Quamme, H.A.; Hall, J.W.; MacDonald, R.A.; King, M.C.; Cliff, M.A. Sensory evaluation as a selection tool in apple breeding. Euphytica 2000, 111, 79–90. [Google Scholar] [CrossRef]
- Mitchell, J. Food Texture and Viscosity: Concept and Measurement. Int. J. Food Sci. Technol. 2003, 38, 839–840. [Google Scholar] [CrossRef]
- Ross, C.F. Sensory science at the human–machine interface. Trends Food Sci. Technol. 2009, 20, 63–72. [Google Scholar] [CrossRef]
- Bejaei, M.; Stanich, K.; Cliff, M.A. Modelling and Classification of Apple Textural Attributes Using Sensory, Instrumental and Compositional Analyses. Foods 2021, 10, 384. [Google Scholar] [CrossRef] [PubMed]
- Kilcast, D.; Fillion, L. Understanding consumer requirements for fruit and vegetable texture. Nutr. Food Sci. 2001, 31, 221–225. [Google Scholar] [CrossRef]
- Río Segade, S.; Orriols, I.; Giacosa, S.; Rolle, L. Instrumental Texture Analysis Parameters as Winegrapes Varietal Markers and Ripeness Predictors. Int. J. Food Prop. 2011, 14, 1318–1329. [Google Scholar] [CrossRef]
- Li, Y.H.; Chang, R.F.; Zhang, L.S.; Wang, Z.Y.; Chen, H.; Han, J.C.; Liu, G.J. The Optimization of Texture Determination of Fresh Peach by Using Texture Analyzer TPA. J. Hebei Agric. Sci. 2016, 20, 95–100. [Google Scholar] [CrossRef]
- He, G.Q.; Huang, M.H.; Zhang, E.Z.; Xin, M.; Huang, M.K.; Tan, R.Y.; Huang, Z.Y. Optimization for mango texture profile analysis and characterization of texture to different maturaity of mango. Sci. Technol. Food Ind. 2016, 37, 122–126. [Google Scholar] [CrossRef]
- Ma, Q.H.; Wang, G.X.; Liang, L.S. Establishment of the Detecting Method on the Fruit Texture of Dongzao by Puncture Test. Agric. Sci. China 2011, 44, 1210–1217. [Google Scholar] [CrossRef]
- Yang, L.; Xiang, L.; Wang, Q.; Zhang, C.X.; Cong, P.H.; Tian, Y. Study on texture properties of apple flesh by using texture profile analysis. J. Fruit Sci. 2014, 31, 977–985. [Google Scholar] [CrossRef]
- Li, J.K.; Lin, Y.; Zhang, P.; Qin, G.Z.; Li, B.Q.; Tian, S.P. Effect of 1-Methylcyclopropene Treatment at Different Times Postharvest on the Texture of Apple Fruits. Food Sci. 2013, 34, 277–281. [Google Scholar] [CrossRef]
- Wang, X.M.; Guan, J.F.; Wang, Y.X.; Liu, Y. Effect of 1-MCP on flesh texture of “Whangkeumbae” pear during ambient temperature storage. J. Hebei Agric. Univ. 2013, 36, 46–49. [Google Scholar] [CrossRef]
- Wang, F.; Jiang, S.L.; Chen, Q.J.; Ou, C.Q.; Zhang, W.J.; Hao, N.N.; Ma, L.; Li, L.W. Changes in fruit texture of crisp-flesh pear during fruit ripening. J. Fruit Sci. 2016, 33, 950–958. [Google Scholar] [CrossRef]
- Li, Y.H.; Zhang, L.S.; Chang, R.F.; Wang, S.Y.; Chen, H.; Liu, G.J. Change of Texture Properties of Three Peach Varieties During Postharvest Storage by Texture Profile Analysis. N. Hortic. 2016, 4, 133–137. [Google Scholar] [CrossRef]
- Yuan, C.L.; Dong, X.Y.; Li, P.H.; Li, D.L.; Duan, Y.X. Changes in Texture Properties of Crisp Peach during Postharvest Storage by Texture Profile Analysis. Food Sci. 2013, 34, 273–276. [Google Scholar] [CrossRef]
- Zhang, Y.; Liang, Y.L.; Pan, Q.W.; Zhang, W. Correlation between the Sensory Evaluation and Texture Profile Analysis of Kiwifruit. Sci. Technol. Food Ind. 2018, 39, 243–247+252. [Google Scholar] [CrossRef]
- Reng, Z.H.; Zhang, K.M.; Li, Z.W.; Nong, S.Z.; Zhang, P. Study on the evaluation of texture parameters of grape berry during storage by using texture profile analysis. Sci. Technol. Food Ind. 2011, 32, 375–378. [Google Scholar] [CrossRef]
- Zhang, Y.; Cao, Y.; Huo, H.; Xu, J.; Tian, L.; Dong, X.; Qi, D.; Liu, C. An assessment of the genetic diversity of pear (Pyrus L.) germplasm resources based on the fruit phenotypic traits. J. Integr. Agric. 2022, 21, 2275–2290. [Google Scholar] [CrossRef]
- Shen, S.Y.; Wang, Z.Q.; Zhang, Q.; Yang, J.; Han, F.; Zhong, C.H.; Wang, C.H.; Huang, W.J. Analysis of fruit quality and sensory evaluation of 36 kiwifruit (Actinidia) germplasm accessions. J. Integr. Plant Biol. 2023, 41, 540–551. [Google Scholar] [CrossRef]
- Yang, Y.H.; Song, X.F.; Zhao, Y.H.; Li, X.L.; Cui, H.N.; Jia, J.H.; Yan, L.Y. Evaluation of fruit texture traits of cucumber germplasm resources. Jiangsu Agric. Sci. 2023, 51, 145–152. [Google Scholar] [CrossRef]
- Tang, R. Comprehensive Evaluation and Genetic Trend Analysis of Skin Texture of 50 Watermelon Germplasm Resource. Master’s Thesis, Northeast Agricultural University, Harbin, China, 2024. [Google Scholar]
- Blanckenberg, A.; Muller, M.; Theron, K.I.; Crouch, E.M.; Steyn, W.J. Harvest maturity and ripeness differentially affects consumer preference of ‘Forelle’, ‘Packham’s Triumph’ and ‘Abate Fetel’ pears (Pyrus communis L.). Sci. Hortic. 2016, 207, 131–139. [Google Scholar] [CrossRef]
- Zhang, M.-Y.; Xue, C.; Xu, L.; Sun, H.; Qin, M.-F.; Zhang, S.; Wu, J. Distinct transcriptome profiles reveal gene expression patterns during fruit development and maturation in five main cultivated species of pear (Pyrus L.). Sci. Rep. 2016, 6, 28130. [Google Scholar] [CrossRef] [PubMed]
- Wan, C.Y.; Mi, L.; Guo, D.; Qiao, Y.S.; Huo, H.Z.; Chen, B.Y.; Li, J.F.; Chen, X.P. Preliminary screening of Pyrus pyrifolia Nakai combination with different mature periods based on fuzzy synthetic evaluation of fruit quality. J. Northwest AF Univ. (Nat. Sci. Ed.) 2018, 46, 99–107. [Google Scholar] [CrossRef]
- Lee, B.-R.; Cho, J.-H.; Wi, S.G.; Yang, U.; Jung, W.-J.; Lee, S.-H. The Sucrose-to-Hexose Ratio is a Significant Determinant for Fruit Maturity and is Modulated by Invertase and Sucrose Re-Synthesis During Fruit Development and Ripening in Asian Pear (Pyrus pyrifolia Nakai) Cultivars. Hortic. Sci. Technol. 2021, 39, 141–151. [Google Scholar] [CrossRef]
- Byun, J.; Kim, D.H.; Lee, D.; Kang, I.; Chang, K.; Shin, S.L. Changes of Pectic Substances and Polygalacturonase Activity during Fruit Development of Various Peach Cultivars with Degrees of Fruit Softening. J. Korean Soc. Hortic. Sci. 2003, 44, 503–507. [Google Scholar]
- Gao, H.S.; Jia, Y.R.; Wei, J.M.; Ran, X.T.; Le, W.Q. Studies on the Post-harvested Fruit Texture Changes of ‘Yali’ and ‘Jingbaili’ Pears by Using Texture Analyzer. Hortic. Plant J. 2012, 39, 1359–1364. [Google Scholar] [CrossRef]
- Brookfield, P.L.; Nicoll, S.; Gunson, F.A.; Harker, F.R.; Wohlers, M. Sensory evaluation by small postharvest teams and the relationship with instrumental measurements of apple texture. Postharvest Biol. Technol. 2011, 59, 179–186. [Google Scholar] [CrossRef]
- Gálvez-López, D.; Laurens, F.; Devaux, M.F.; Lahaye, M. Texture analysis in an apple progeny through instrumental, sensory and histological phenotyping. Euphytica 2012, 185, 171–183. [Google Scholar] [CrossRef]
- Du, X.M.; Zhao, Q.C.; Lv, K.; Liu, J.Y.; Cheng, S.F.; Ma, Y.S. Comparison of Texture Determination Method and Correlation Analysis with Sensory Evaluation of 5 Kinds of Apple. Sci. Technol. Food Ind. 2020, 41, 240–246. [Google Scholar] [CrossRef]
- Zhang, W.; Mayinur, J.M.L.; Wang, M.; Han, S.A.; Xie, H.; Pan, Q.M. Analysis on the Flesh Texture, Cell Architecture andIts Physiological Characteristics of Different Grape Varieties. Acta Bot. Boreali-Occident. Sin. 2022, 42, 1870–1879. [Google Scholar] [CrossRef]
- Pan, H.B.; Liu, D.; Shao, Q.X.; Gao, G.; Qi, H.Y. Analysis and Comprehensive Evaluation of Textural Quality of Ripe Fruits from Different Varieties of Oriental Melon (Cucumis melo var. makuwa Makino). Food Sci. 2019, 40, 35–42. [Google Scholar] [CrossRef]
- Xu, Y.Q.; Tian, L.M.; Cao, Y.F.; Dong, X.G.; Qi, D.; Huo, H.L. Evaluation and analysis of flesh texture of six pear varieties with different shelf life after cold storage. China Fruits 2024, 9, 14–23. [Google Scholar] [CrossRef]
- Wu, S.; Jia, Y.L.; Zhi, F.J.; Wei, W. Multivariate Statistical Analysis of 19 Characters of 31 Jujube Resources. J. Hebei Agric. Sci. 2020, 24, 56–62+70. [Google Scholar] [CrossRef]
- Yang, Z.; Wang, Z.L. Evaluation and Cluster Analysis of Jujube Fruit Texture Based on TPA Method. Xinjiang Acad. Agric. Sci. 2019, 56, 1860–1868. [Google Scholar] [CrossRef]
- Fan, Z.P. Analysis and Comprehensive Evaluation of Fruit Quality of Different Mulberry Varieties. Master’s Thesis, Hebei Agriculture University, Baoding, China, 2020. [Google Scholar]
- Yan, C.; Yin, M.; Zhang, N.; Jin, Q.; Fang, Z.; Lin, Y.; Cai, Y. Stone cell distribution and lignin structure in various pear varieties. Sci. Hortic. 2014, 174, 142–150. [Google Scholar] [CrossRef]
- Wang, Y.; Cao, X.H.; Nian, R.; You, K.Y.; Zhu, D.S. Research Progress on Factors Controlling the Formation of Stone Cells in Pear Fruits and Their Effects on Fruit Texture. Food Sci. 2024, 45, 340. [Google Scholar] [CrossRef]
- Gong, X.; Qi, K.; Zhao, L.; Xie, Z.; Pan, J.; Yan, X.; Shiratake, K.; Zhang, S.; Tao, S. PbAGL7–PbNAC47–PbMYB73 complex coordinately regulates PbC3H1 and PbHCT17 to promote the lignin biosynthesis in stone cells of pear fruit. Plant J. 2024, 120, 1933–1953. [Google Scholar] [CrossRef]
- Liu, D.; Xue, Y.; Wang, R.; Song, B.; Xue, C.; Shan, Y.; Xue, Z.; Wu, J. PbrMYB4, a R2R3-MYB protein, regulates pear stone cell lignification through activation of lignin biosynthesis genes. Hortic. Plant J. 2025, 11, 105–122. [Google Scholar] [CrossRef]
- Payasi, A.; Mishra, N.N.; Chaves, A.L.S.; Singh, R. Biochemistry of fruit softening: An overview. Physiol. Mol. Biol. Plants Int. J. Funct. Plant Biol. 2009, 15, 103–113. [Google Scholar] [CrossRef]
- Cliff, M.A.; Bejaei, M. Inter-correlation of apple firmness determinations and development of cross-validated regression models for prediction of sensory attributes from instrumental and compositional analyses. Food Res. Int. 2018, 106, 752–762. [Google Scholar] [CrossRef] [PubMed]
- Hiwasa, K. European, Chinese and Japanese pear fruits exhibit differential softening characteristics during ripening. J. Exp. Bot. 2004, 55, 2281–2290. [Google Scholar] [CrossRef] [PubMed][Green Version]
- Asrey, R.; Patel, V.B.; Singh, S.K.; Sagar, V.R. Factors affecting fruit maturity and maturity standards—A review. J. Food Sci. Technol. 2008, 45, 381–390. [Google Scholar]
- Prasad, K.; Jacob, S.; Siddiqui, M.W. Chapter 2—Fruit Maturity, Harvesting, and Quality Standards. In Preharvest Modulation of Postharvest Fruit and Vegetable Quality; Siddiqui, M.W., Ed.; Academic Press: Cambridge, MA, USA, 2018; pp. 41–69. ISBN 978-0-12-809807-3. [Google Scholar]
- Lin, H.T.; Xi, Y.F.; Chen, S.J. Postharvest Softening Physiological Mechanism of Huang hua Pear Fruit. Agric. Sci. China 2003, 36, 349–352. [Google Scholar]
- Shiga, T.M.; Soares, C.A.; Nascimento, J.R.; Purgatto, E.; Lajolo, F.M.; Cordenunsi, B.R. Ripening-associated changes in the amounts of starch and non-starch polysaccharides and their contributions to fruit softening in three banana cultivars. J. Sci. Food Agric. 2011, 91, 1511–1516. [Google Scholar] [CrossRef] [PubMed]
- Lopez, G.; Behboudian, M.H.; Echeverria, G.; Girona, J.; Marsal, J. Instrumental and Sensory Evaluation of Fruit Quality for ‘Ryan’s Sun’ Peach Grown under Deficit Irrigation. HortTechnology 2011, 21, 712–719. [Google Scholar] [CrossRef]
- Li, X.; Xu, C.; Korban, S.S.; Chen, K. Regulatory Mechanisms of Textural Changes in Ripening Fruits. Crit. Rev. Plant Sci. 2010, 29, 222–243. [Google Scholar] [CrossRef]







| Parameter | Calculation Method | Description |
|---|---|---|
| Flesh limit compression force (FLC, N) | Maximum force through the flesh | Represents the ultimate elasticity of flesh |
| Deformation associated with flesh limit compression force (D, mm) | Distance at which breaking force is displaced | Deformation of flesh with breaking force |
| Slope of force deformation curve (S, N·mm−1) | Gradient slope of force from 0 to FLC | Gradient measurement of puncture hardness |
| Work associated with FLC (WFLC, N·mm) | Area under the curve from 0 to D | The work required for the flesh to break |
| Work required to attain a flesh deformation of 10 mm (W10, N·mm) | Displacement from 0 to 10mm area under the curve | The work required when the flesh is deformed to 10 mm |
| Flesh firmness (FF, N) | Mean of force required to shift from D to 10 mm | The average force required to penetrate the flesh to 10 mm |
| Indicators | FLC/N | D/mm | WFLC/N·mm | FF/N | W10/N·mm | S/N·mm−1 |
|---|---|---|---|---|---|---|
| Average | 26.15 | 1.83 | 28.49 | 23.03 | 187.30 | 14.55 |
| Min | 10.71 | 1.24 | 11.40 | 11.88 | 96.11 | 5.29 |
| Max | 42.41 | 2.45 | 53.63 | 38.59 | 290.85 | 21.81 |
| Standard deviation | 6.32 | 0.25 | 8.02 | 5.35 | 41.05 | 3.29 |
| CV/% | 24.20 | 13.60 | 28.1 | 23.2 | 21.9 | 22.6 |
| FLC/N | D/mm | WFLC/N·mm | FF/N | W10/N·mm | S/N·mm−1 | |
|---|---|---|---|---|---|---|
| Sensory texture score | 0.698 ** | 0.294 ** | 0.648 ** | 0.708 ** | 0.696 ** | 0.529 ** |
| Subgroups | FLC (N) ± SD | D (mm) ± SD | WFLC (N·mm) ± SD | FF (N) ± SD | W10 (N·mm) ± SD | S (N·mm−1) ± SD |
|---|---|---|---|---|---|---|
| A | 26.75 ± 0.4 | 1.70 ± 0.02 | 26.74 ± 0.54 | 23.26 ± 0.37 | 192.50 ± 2.9 | 16.03 ± 2.9 |
| B | 23.58 ± 0.45 | 2.04 ± 0.02 | 29.23 ± 0.49 | 20.96 ± 0.3 | 166.63 ± 2.35 | 11.63 ± 2.35 |
| C | 16.71 ± 0.47 | 1.67 ± 0.05 | 17.93 ± 0.65 | 15.40 ± 0.33 | 128.05 ± 2.73 | 10.35 ± 2.73 |
| D | 32.63 ± 0.69 | 2.04 ± 0.04 | 37.86 ± 0.79 | 28.76 ± 0.5 | 228.73 ± 4.34 | 16.42 ± 4.34 |
| E | 38.93 ± 0.73 | 2.14 ± 0.05 | 45.74 ± 1.16 | 34.28 ± 0.71 | 268.68 ± 4.75 | 18.57 ± 4.75 |
| Parameter | Feature Vector | |
|---|---|---|
| First Principal Component | Second Principal Component | |
| FF (N) | 0.982 | −0.015 |
| FLC (N) | 0.971 | −0.123 |
| W10 (N·mm) | 0.970 | −0.134 |
| WFLC (N·mm) | 0.923 | 0.359 |
| S (N·mm−1) | 0.737 | −0.662 |
| D (mm) | 0.482 | 0.872 |
| Characteristic value | 4.475 | 1.360 |
| Contribution rate/% | 74.591 | 22.672 |
| Cumulative contribution rate/% | 74.591 | 97.262 |
| Sensory Texture Score | FLC/N | D/mm | WFLC/N·mm | FF/N | W10/N·mm | S/N·mm−1 | |
|---|---|---|---|---|---|---|---|
| Maturity | 0.200 * | 0.200 * | 0.120 | 0.166 * | 0.198 * | 0.201 * | 0.151 |
| Fruit diameter | 0.079 | 0.031 | −0.127 | −0.042 | −0.133 | −0.126 | 0.099 |
Disclaimer/Publisher’s Note: The statements, opinions and data contained in all publications are solely those of the individual author(s) and contributor(s) and not of MDPI and/or the editor(s). MDPI and/or the editor(s) disclaim responsibility for any injury to people or property resulting from any ideas, methods, instructions or products referred to in the content. |
© 2025 by the authors. Licensee MDPI, Basel, Switzerland. This article is an open access article distributed under the terms and conditions of the Creative Commons Attribution (CC BY) license (https://creativecommons.org/licenses/by/4.0/).
Share and Cite
Mou, Y.; Dong, X.; Zhang, Y.; Tian, L.; Huo, H.; Qi, D.; Xu, J.; Liu, C.; Li, N.; Yin, C.; et al. Identification and Evaluation of Flesh Texture of Crisp Pear Fruit Based on Penetration Test Using Texture Analyzer. Horticulturae 2025, 11, 359. https://doi.org/10.3390/horticulturae11040359
Mou Y, Dong X, Zhang Y, Tian L, Huo H, Qi D, Xu J, Liu C, Li N, Yin C, et al. Identification and Evaluation of Flesh Texture of Crisp Pear Fruit Based on Penetration Test Using Texture Analyzer. Horticulturae. 2025; 11(4):359. https://doi.org/10.3390/horticulturae11040359
Chicago/Turabian StyleMou, Yulu, Xingguang Dong, Ying Zhang, Luming Tian, Hongliang Huo, Dan Qi, Jiayu Xu, Chao Liu, Niman Li, Chen Yin, and et al. 2025. "Identification and Evaluation of Flesh Texture of Crisp Pear Fruit Based on Penetration Test Using Texture Analyzer" Horticulturae 11, no. 4: 359. https://doi.org/10.3390/horticulturae11040359
APA StyleMou, Y., Dong, X., Zhang, Y., Tian, L., Huo, H., Qi, D., Xu, J., Liu, C., Li, N., Yin, C., & Yang, X. (2025). Identification and Evaluation of Flesh Texture of Crisp Pear Fruit Based on Penetration Test Using Texture Analyzer. Horticulturae, 11(4), 359. https://doi.org/10.3390/horticulturae11040359

