Yield, Morphological, and Qualitative Profile of Nine Landraces of Unripe Melon from the Puglia Region Grown in Open Field
Abstract
1. Introduction
2. Materials and Methods
2.1. Experimental Location
2.2. Plant Material and Growing Conditions
2.3. Experimental Design
2.4. Morpho-Physiological Descriptors
2.5. Seed Biometrics
2.6. Leaf Biometrics and Chlorophyll Content
2.7. Fruit Yield and Biometrics
2.8. Fruit Quality and Commercial Descriptors
2.9. Statistical Analysis
3. Results and Discussion
3.1. Pruning Effectiveness
3.2. Morphological Analysis
3.2.1. Plant Morphology
3.2.2. Seeds
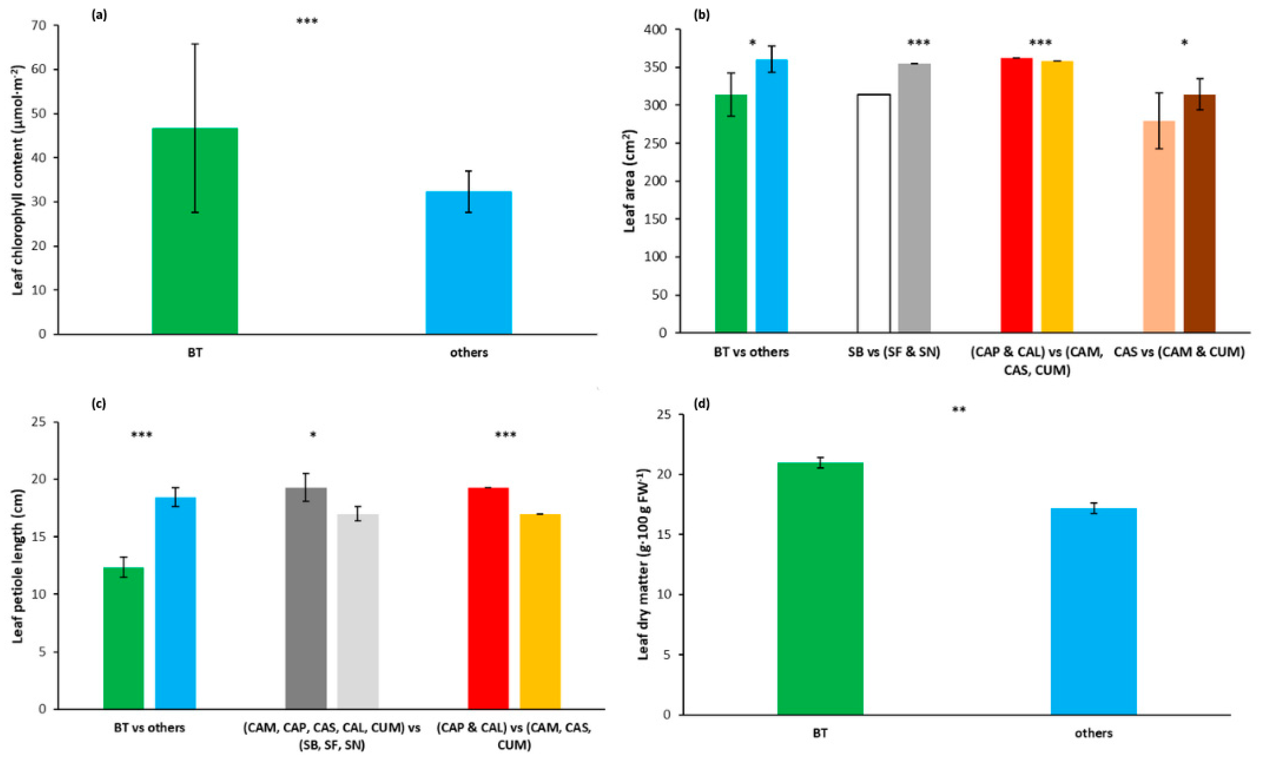
3.2.3. Leaves
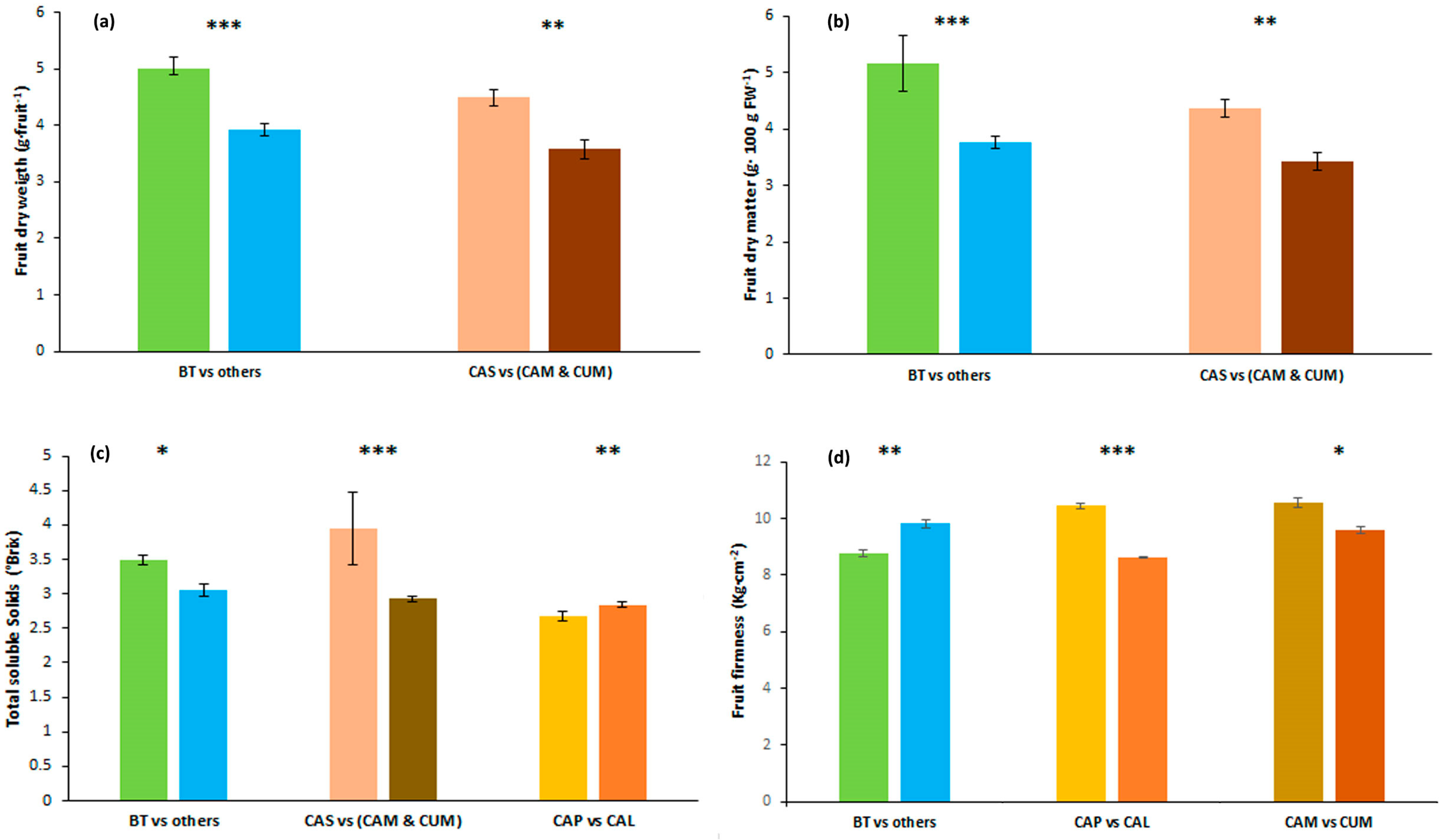
3.2.4. Fruits
3.3. Yield and Quality Descriptors
3.3.1. Yield
3.3.2. Quality Analysis
3.4. PCA
4. Conclusions
Supplementary Materials
Author Contributions
Funding
Data Availability Statement
Acknowledgments
Conflicts of Interest
References
- Elia, A.; Santamaria, P. Biodiversity in Vegetable Crops, a Heritage to Save: The Case of Puglia Region. Ital. J. Agron. 2013, 8, e4. [Google Scholar] [CrossRef]
- Renna, M.; Montesano, F.; Signore, A.; Gonnella, M.; Santamaria, P. BiodiverSO: A Case Study of Integrated Project to Pre-serve the Biodiversity of Vegetable Crops in Puglia (Southern Italy). Agriculture 2018, 8, 128. [Google Scholar] [CrossRef]
- Laghetti, G.; Bisignano, V.; Urbano, M. Genetic resources of vegetable crops and their safeguarding in Italy. Hortic. Int. J. 2018, 2, 72–74. [Google Scholar] [CrossRef][Green Version]
- ISTAT Vegetable Production in Italy in 2023. 2024. Available online: http://Dati.Istat.It/Index.Aspx?QueryId=37850 (accessed on 3 March 2024).
- Renna, M.; D’Imperio, M.; Gonnella, M.; Parente, A.; Santamaria, P.; Serio, F. Barattiere: An Italian Local Variety of Cucumis melo L. with Quality Traits between Melon and Cucumber. Plants 2020, 9, 578. [Google Scholar] [CrossRef]
- Somma, A.; Palmitessa, O.D.; Leoni, B.; Signore, A.; Renna, M.; Santamaria, P. Extraseasonal Production in a Soilless System and Characterisation of Landraces of Carosello and Barattiere (Cucumis melo L.). Sustainability 2021, 13, 11425. [Google Scholar] [CrossRef]
- Palmitessa, O.D.; Durante, M.; Leoni, B.; Montesano, F.; Renna, M.; Serio, F.; Somma, A.; Santamaria, P. Enhancement of a Landrace of Carosello (Unripe Melon) through the Use of Light-Emitting Diodes (LED) and Nutritional Characterization of the Fruit Placenta. Sustainability 2021, 13, 11464. [Google Scholar] [CrossRef]
- Maeda, H.; DellaPenna, D. Tocopherol Functions in Photosynthetic Organisms. Curr. Opin. Plant Biol. 2007, 10, 260–265. [Google Scholar] [CrossRef] [PubMed]
- Rodríguez-Pérez, C.; Quirantes-Piné, R.; Fernández-Gutiérrez, A.; Segura-Carretero, A. Comparative Characterization of Phenolic and Other Polar Compounds in Spanish Melon Cultivars by Using High-Performance Liquid Chromatography Coupled to Electrospray Ionization Quadrupole-Time of Flight Mass Spectrometry. Food Res. Int. 2013, 54, 1519–1527. [Google Scholar] [CrossRef]
- Silva, M.A.; Albuquerque, T.G.; Alves, R.C.; Oliveira, M.B.P.P.; Costa, H.S. Melon (Cucumis melo L.) by-Products: Potential Food Ingredients for Novel Functional Foods? Trends Food Sci. Technol. 2020, 98, 181–189. [Google Scholar] [CrossRef]
- Conversa, G.; Gonnella, M.; Santamaria, P.; Bianco, V.V. Caratterizzazione e Valorizzazione di due Ortaggi Tipici Pugliesi: Carosello e Barattiere. Colt. Protette 2005, 34, 4–13. (In Italian) [Google Scholar]
- Accogli, R.; Nicolì, F.; De Bellis, L. Traditions and knowledge around some local varieties of Cucumis melo L. in Salento (Apulia). Thalass. Salentina 2014, 36, 43–52. [Google Scholar] [CrossRef]
- Pavan, S.; Marcotrigiano, A.R.; Ciani, E.; Mazzeo, R.; Zonno, V.; Ruggieri, V.; Lotti, C.; Ricciardi, L. Genotyping-by-Sequencing of a Melon (Cucumis melo L.) Germplasm Collection from a Secondary Center of Diversity Highlights Patterns of Genetic Variation and Genomic Features of Different Gene Pools. BMC Genom. 2017, 18, 59. [Google Scholar] [CrossRef] [PubMed]
- Laghetti, G.; Accogli, R.; Hammer, K. Different Cucumber Melon (Cucumis melo L.) Races Cultivated in Salento (Italy). Genet. Resour. Crop Evol. 2008, 55, 619–623. [Google Scholar] [CrossRef]
- Lotti, C.; Albo, M.; Ricciardi, L.; Conversa, G.; Elia, A. Studio della Diversità Genetica tra Ecotipi di Carosello e Barattiere (Cucumis melo L.). Colt. Protette 2005, 34, 44–46. (In Italian) [Google Scholar]
- Ricciardi, L.; De Giovanni, C.; Dell’Orco, P.; Lotti, C.; Marcotrigiano, A.R. Phenotypic and Genetic Characterization of Cucumis melo L. Landraces Collected in Apulia (Italy) and Albania. Acta Hortic. 2003, 623, 95–105. [Google Scholar] [CrossRef]
- Hammer, K.; Hanelt, P.; Perrino, P. Carosello and the Taxonomy of Cucumis melo L. Especially of Its Vegetable Races. Die Kult. 1986, 34, 249–259. [Google Scholar] [CrossRef]
- Lázaro, A.; Fernández, I.C.; Borrero, M.J.; Cabello, F.; López-Sesé, A.I.; Gómez-Guillamón, M.L.; Picó, B. Agromorphological Genetic Diversity of Spanish Traditional Melons. Genet. Resour. Crop Evol. 2017, 64, 1687–1706. [Google Scholar] [CrossRef]
- Flores-León, A.; Peréz Moro, C.; Martí, R.; Beltran, J.; Roselló, S.; Cebolla-Cornejo, J.; Picó, B. Spanish Melon Landraces: Revealing Useful Diversity by Genomic, Morphological, and Metabolomic Analysis. Int. J. Mol. Sci. 2022, 23, 7162. [Google Scholar] [CrossRef]
- Didonna, A.; Bocci, R.; Renna, M.; Santamaria, P. The Conservation Varieties Regime: Its Past, Present and Future in the Protection and Commercialisation of Vegetable Landraces in Europe. Horticulturae 2024, 10, 877. [Google Scholar] [CrossRef]
- Spataro, G.; Negri, V. The European Seed Legislation on Conservation Varieties: Focus, Implementation, Present and Future Impact on Landrace on Farm Conservation. Genet. Resour. Crop Evol. 2013, 60, 2421–2430. [Google Scholar] [CrossRef]
- Pimbert, M.P. Participatory Research and On-Farm Management of Agricultural Biodiversity in Europe; IIED: London, UK, 2011; ISBN 978-1-84369-809-8. [Google Scholar]
- Lorenzetti, F.; Negri, V. The European Seed Legislation on Conservation Varieties. In European Landraces: On-farm Conservation, Management and Use; Veteläinen, M., Maxted, N., Negri, V., Eds.; Bioversity International: Rome, Italy, 2009; ISBN 978-92-9043-805-2. [Google Scholar]
- Renner, S.S.; Schaefer, H.; Kocyan, A. Phylogenetics of Cucumis (Cucurbitaceae): Cucumber (C. Sativus) Belongs in an Asian/Australian Clade Far from Melon (C. melo). BMC Evol. Biol. 2007, 7, 58. [Google Scholar] [CrossRef] [PubMed]
- Pandey, A.; Ranjan, P.; Ahlawat, S.P.; Bhardwaj, R.; Dhariwal, O.P.; Singh, P.K.; Malav, P.K.; Harish, G.D.; Prabhu, P.; Agrawal, A. Studies on Fruit Morphology, Nutritional and Floral Diversity in Less-Known Melons (Cucumis melo L.) of India. Genet. Resour. Crop Evol. 2021, 68, 1453–1470. [Google Scholar] [CrossRef]
- Chikh-Rouhou, H.; Tlili, I.; Ilahy, R.; R’Him, T.; Sta-Baba, R. Fruit Quality Assessment and Characterization of Melon Genotypes. Int. J. Veg. Sci. 2021, 27, 3–19. [Google Scholar] [CrossRef]
- Ministry of Agriculture, Food and Forestry. National Plan on Biodiversity of Agricultural Interest. 2008. Available online: https://www.mase.gov.it/sites/default/files/archivio/allegati/biodiversita/piano_nazionale_biodiversita_interesse_agricolo.pdf (accessed on 3 March 2025). (In Italian)
- Parente, A.; Buttaro, D.; Conversa, G.; Serio, F.; Santamaria, P. Confronto Tra Sistemi Di Coltivazione Di Carosello e Barattiere in Serra. I. Aspetti Produttivi. Colt. Protette 2005, 34, 19–27. (In Italian) [Google Scholar]
- Serio, F.; Florio, G.; Parente, A.; Santamaria, P. Confronto Tra Sistemi Di Coltivazione Di Carosello e Barattiere in Serra. II. Aspetti Qualitativi. Colt. Protette 2005, 34, 28–35. (In Italian) [Google Scholar]
- Palmitessa, O.D.; Renna, M.; De Angelis, D.; Signore, A.; Serio, F.; Summo, C.; Santamaria, P. Moderate Saline Waters Are Effective to Enhance a Landrace of Unripe Melon Cultivated in a “Water Culture System” with High Input Efficiency. Sci. Hortic. 2024, 337, 113599. [Google Scholar] [CrossRef]
- Mastrochirico, M.; Spanò, R.; Mascia, T. Grafting to Manage Infections of the Emerging Tomato Leaf Curl New Delhi Virus in Cucurbits. Plants 2022, 12, 37. [Google Scholar] [CrossRef]
- Gallo, M.; Ciccarese, A.; Ciccarese, F.; Jaupi, M. New Source of Resistance to Fusarium-Wilt in Local Germplasm of Cucumis melo. Acta Hortic. 2012, 960, 83–88. [Google Scholar] [CrossRef]
- Didonna, A.; Renna, M.; Santamaria, P. Traditional Italian Agri-Food Products: A Unique Tool with Untapped Potential. Agriculture 2023, 13, 1313. [Google Scholar] [CrossRef]
- Ministerial Decree, n. 350 of 8 September 1999. Regulation Containing Rules for the Identification of Traditional Products Pursuant to Article 8, Paragraph 1, of Legislative Decree n. 173 of 30 April 1998 (Published in the Official Journal n. 240 of 12 October 1999). 1999. Available online: https://www.gazzettaufficiale.it/eli/id/1999/10/12/099G0423/sg (accessed on 3 March 2025). (In Italian).
- Law, No. 194 of 1 December 2015. Provisions for the Protection and Enhancement of Biodiversity of Agricultural and Food Interest. 2015. Available online: https://www.gazzettaufficiale.it/eli/id/2015/12/11/15G00210/sg%20 (accessed on 3 March 2025). (In Italian).
- Apulia Region. Regional Law 11 December 2013, n. 39. Protection of Native Genetic Resources of Agricultural, Forestry and Zootechnical Interest (Published in Official Bulletin of the Apulia Region n. 166 of 17 December 2013). 2013. Available online: https://biodiversitapuglia.it/wp-content/uploads/2014/05/B.U.R.P.-n.166-del-17122013.pdf (accessed on 3 March 2025). (In Italian).
- Bonasia, A.; Montesano, F.; Parente, A.; Signore, A.; Santamaria, P. Morfologia e Produzione di Quattro Popolazioni di Melone da Consumo Verde. Colt. Protette 2005, 34, 14–18. (In Italian) [Google Scholar]
- UPOV DUS System Test Guidelines. Available online: https://www.upov.int/test_guidelines/en/ (accessed on 3 March 2025).
- International Plant Genetic Resources Institute (IPGRI) Descriptors for Melon (Cucumis melo L.). 2003. Available online: https://cgspace.cgiar.org/server/api/core/bitstreams/2a70fc55-0d62-46ae-977b-06f735621b5e/content (accessed on 3 March 2025).
- Ferreira, R.M.D.A.; Aroucha, E.M.M.; Medeiros, J.F.D.; Nascimento, I.B.D.; Paiva, C.A.D. Effect of Main Stem Pruning and Fruit Thinning on the Postharvest Conservation of Melon. Rev. Bras. Eng. Agríc. Ambient. 2018, 22, 355–359. [Google Scholar] [CrossRef]
- Ferreira, R.M.D.A.; Aroucha, E.M.M.; Paiva, C.A.D.; Medeiros, J.F.D.; Barreto, F.P. Influence of the Main Stem Pruning and Fruit Thinning on Quality of Melon. Rev. Ceres. 2016, 63, 789–795. [Google Scholar] [CrossRef][Green Version]
- Jani, S.; Hoxha, S. The Effect of Plant Pruning on Production of Melon Grown Under PVC Greenhouse Conditions. Acta Hortic. 2002, 579, 377–381. [Google Scholar] [CrossRef]
- Pathare, P.B.; Opara, U.L.; Al-Said, F.A.-J. Colour Measurement and Analysis in Fresh and Processed Foods: A Review. Food Bioprocess Technol. 2013, 6, 36–60. [Google Scholar] [CrossRef]
- Lee, S.-M.; Lee, K.-T.; Lee, S.-H.; Song, J.-K. Origin of Human Colour Preference for Food. J. Food Eng. 2013, 119, 508–515. [Google Scholar] [CrossRef]
- Schifferstein, H.N.J.; Wehrle, T.; Carbon, C.-C. Consumer Expectations for Vegetables with Typical and Atypical Colors: The Case of Carrots. Food Qual. Prefer. 2019, 72, 98–108. [Google Scholar] [CrossRef]
- Shen, J.; Xu, X.; Zhang, Y.; Niu, X.; Shou, W. Genetic Mapping and Identification of the Candidate Genes for Mottled Rind in Cucumis melo L. Front. Plant Sci. 2021, 12, 769989. [Google Scholar] [CrossRef]
- Reid, M.S.; Lee, T.H.; Pratt, H.K.; Chichester, C.O. Chlorophyll and Carotenoid Changes in Developing Muskmelons. J. Amer. Soc. Hort. Sci. 1970, 95, 814–815. [Google Scholar] [CrossRef]
- Pitrat, M. Phenotypic Diversity in Wild and Cultivated Melons (Cucumis melo). Plant Biotechnol. 2013, 30, 273–278. [Google Scholar] [CrossRef]











| Length | Width | Thickness | Length/Width Ratio | |
|---|---|---|---|---|
| Landraces | mm | mm | mm | |
| BT | 11.16 ± 0.54 | 5.20 ± 0.24 | 1.80 ± 0.16 | 2.15 ± 0.14 |
| CAL | 12.34 ± 0.53 | 4.85 ± 0.11 | 2.11 ± 0.16 | 2.55 ± 0.14 |
| CAM | 15.56 ± 0.49 | 5.79 ± 0.24 | 2.13 ± 0.15 | 2.69 ± 0.11 |
| CAP | 12.07 ± 0.50 | 4.84 ± 0.20 | 1.68 ± 0.13 | 2.50 ± 0.14 |
| CAS | 9.71 ± 0.45 | 4.72 ± 0.15 | 2.44 ± 0.16 | 2.06 ± 0.09 |
| CUM | 12.13 ± 0.50 | 5.07 ± 0.18 | 1.98 ± 0.16 | 2.39 ± 0.11 |
| SB | 12.79 ± 0.39 | 5.18 ± 0.22 | 1.47 ± 0.15 | 2.47 ± 0.10 |
| SF | 12.43 ± 0.46 | 4.94 ± 0.19 | 1.77 ± 0.16 | 2.52 ± 0.12 |
| SN | 11.87 ± 0.29 | 4.81 ± 0.19 | 1.92 ± 0.16 | 2.47 ± 0.06 |
| Significance | ||||
| BT vs. others | *** | *** | *** | *** |
| (CAM, CAP, CAS, CAL, CUM) vs. (SB, SF, SN) | ns | * | *** | * |
| SB vs. (SF and SN) | *** | *** | *** | ns |
| SF vs. SN | *** | ns | * | ns |
| (CAP and CAL) vs. (CAM, CAS, CUM) | * | *** | *** | *** |
| CAP vs. CAL | ns | ns | *** | ns |
| CAS vs. (CAM and CUM) | *** | *** | *** | *** |
| CAM vs. CUM | *** | *** | ** | *** |
| Peduncle Length | Equatorial Diameter | Polar Diameter | Length | Endosperm Length | Endosperm Width | Mesocarp Thickness | Length/ Equatorial Diameter Ratio | Endosperm Length/ Width Ratio | |
|---|---|---|---|---|---|---|---|---|---|
| Landraces | cm | cm | cm | cm | cm | cm | cm | ||
| BT | 2.5 ± 0.9 | 7.1 ± 0.5 | 4.5 ± 0.5 | 9.4 ± 0.6 | 6.3 ± 0.4 | 3.2 ± 0.1 | 1.9 ± 0.1 | 1.3 ± 0.1 | 2.0 ± 0.1 |
| CAL | 2.3 ± 0.8 | 5.7 ± 0.6 | 4.2 ± 0.5 | 11.5 ± 1.1 | 8.0 ± 0.9 | 3.0 ± 0.4 | 1.5 ± 0.1 | 2.0 ± 0.1 | 2.7 ± 0.4 |
| CAM | 1.8 ± 0.6 | 6.9 ± 0.7 | 4.7 ± 0.7 | 10.0 ± 1.1 | 7.4 ± 1.0 | 4.3 ± 0.4 | 1.3 ± 0.2 | 1.5 ± 0.3 | 1.7 ± 0.4 |
| CAP | 3.3 ± 0.5 | 4.5 ± 0.5 | 3.2 ± 0.6 | 15.0 ± 1.4 | 12.7 ± 1.3 | 2.3 ± 0.4 | 1.2 ± 0.2 | 3.4 ± 0.4 | 5.7 ± 0.9 |
| CAS | 2.0 ± 0.3 | 7.0 ± 0.7 | 4.5 ± 0.4 | 9.3 ± 0.4 | 6.4 ± 0.6 | 3.5 ± 0.3 | 1.8 ± 0.3 | 1.3 ± 0.1 | 1.8 ± 0.2 |
| CUM | 1.4 ± 0.4 | 6.8 ± 0.2 | 4.7 ± 0.2 | 8.3 ± 0.5 | 5.8 ± 0.4 | 3.8 ± 0.2 | 1.7 ± 0.2 | 1.2 ± 0.1 | 1.5 ± 0.1 |
| SB | 1.8 ± 0.4 | 5.8 ± 0.3 | 4.0 ± 0.2 | 11.4 ± 1.0 | 8.2 ± 0.9 | 3.0 ± 0.4 | 1.4 ± 0.2 | 2.0 ± 0.2 | 2.7 ± 0.3 |
| SF | 1.8 ± 0.6 | 5.8 ± 0.4 | 4.0 ± 0.6 | 11.8 ± 0.9 | 9.1 ± 0.5 | 2.8 ± 0.3 | 1.6 ± 0.1 | 2.0 ± 0.2 | 3.3 ± 0.5 |
| SN | 1.5 ± 0.7 | 5.12 ± 0.2 | 3.7 ± 0.3 | 16.6 ± 7.8 | 10.8 ± 0.9 | 2.5 ± 0.2 | 1.4 ± 0.2 | 3.2 ± 1.5 | 4.4 ± 0.4 |
| Significance | |||||||||
| BT vs. others | * | *** | ns | * | *** | ns | *** | *** | *** |
| (CAM, CAP, CAS, CAL, CUM) vs. (SB, SF, SN) | * | *** | ** | *** | *** | *** | ns | *** | *** |
| SB vs. (SF and SN) | ns | ns | ns | * | *** | * | ns | ** | *** |
| SF vs. SN | ns | * | ns | *** | *** | ns | * | *** | *** |
| (CAP and CAL) vs. (CAM, CAS, CUM) | *** | *** | *** | *** | *** | *** | *** | *** | *** |
| CAP vs. CAL | ** | *** | *** | * | *** | *** | *** | *** | *** |
| CAS vs. (CAM and CUM) | ns | ns | ns | ns | ns | *** | *** | ns | ns |
| CAM vs. CUM | ns | ns | ns | ns | *** | * | *** | ns | ns |
Disclaimer/Publisher’s Note: The statements, opinions and data contained in all publications are solely those of the individual author(s) and contributor(s) and not of MDPI and/or the editor(s). MDPI and/or the editor(s) disclaim responsibility for any injury to people or property resulting from any ideas, methods, instructions or products referred to in the content. |
© 2025 by the authors. Licensee MDPI, Basel, Switzerland. This article is an open access article distributed under the terms and conditions of the Creative Commons Attribution (CC BY) license (https://creativecommons.org/licenses/by/4.0/).
Share and Cite
Didonna, A.; Somma, A.; Palmitessa, O.D.; Gonnella, M.; Leoni, B.; Signore, A.; Renna, M.; Santamaria, P. Yield, Morphological, and Qualitative Profile of Nine Landraces of Unripe Melon from the Puglia Region Grown in Open Field. Horticulturae 2025, 11, 344. https://doi.org/10.3390/horticulturae11040344
Didonna A, Somma A, Palmitessa OD, Gonnella M, Leoni B, Signore A, Renna M, Santamaria P. Yield, Morphological, and Qualitative Profile of Nine Landraces of Unripe Melon from the Puglia Region Grown in Open Field. Horticulturae. 2025; 11(4):344. https://doi.org/10.3390/horticulturae11040344
Chicago/Turabian StyleDidonna, Adriano, Annalisa Somma, Onofrio Davide Palmitessa, Maria Gonnella, Beniamino Leoni, Angelo Signore, Massimiliano Renna, and Pietro Santamaria. 2025. "Yield, Morphological, and Qualitative Profile of Nine Landraces of Unripe Melon from the Puglia Region Grown in Open Field" Horticulturae 11, no. 4: 344. https://doi.org/10.3390/horticulturae11040344
APA StyleDidonna, A., Somma, A., Palmitessa, O. D., Gonnella, M., Leoni, B., Signore, A., Renna, M., & Santamaria, P. (2025). Yield, Morphological, and Qualitative Profile of Nine Landraces of Unripe Melon from the Puglia Region Grown in Open Field. Horticulturae, 11(4), 344. https://doi.org/10.3390/horticulturae11040344

