Effects of Water–Fertilizer–Gas Coupling on Emitter Clogging and Uniformity of Drip Irrigation System
Abstract
1. Introduction
2. Materials and Methods
2.1. The Selection of Emitters
- : emitter discharge rate, L/h;
- P: working pressure, MPa;
- : discharge coefficient;
- : behavior index.
- : The standard deviation of the emitter discharge rate, L/h;
- : The average of the emitter discharge rate, L/h.
2.2. Test Equipment
2.3. Experimental Methods
2.3.1. Experimental Design
2.3.2. Fertilization and Irrigation Time
2.3.3. Emitter Uniformity Analysis
Discharge Ratio Variation
- : the i-th emitter discharge rate in blockage test, L/h;
- : the average emitter discharge rate before the test, L/h;
- n: the count of emitters under test.
Christiansen Uniformity Coefficient and Statistical Uniformity Coefficient
Sample Collection of Emitters
2.3.4. Micromorphological Structure and Microbial Diversity Analysis of Emitter Clogging Material
3. Results and Analysis
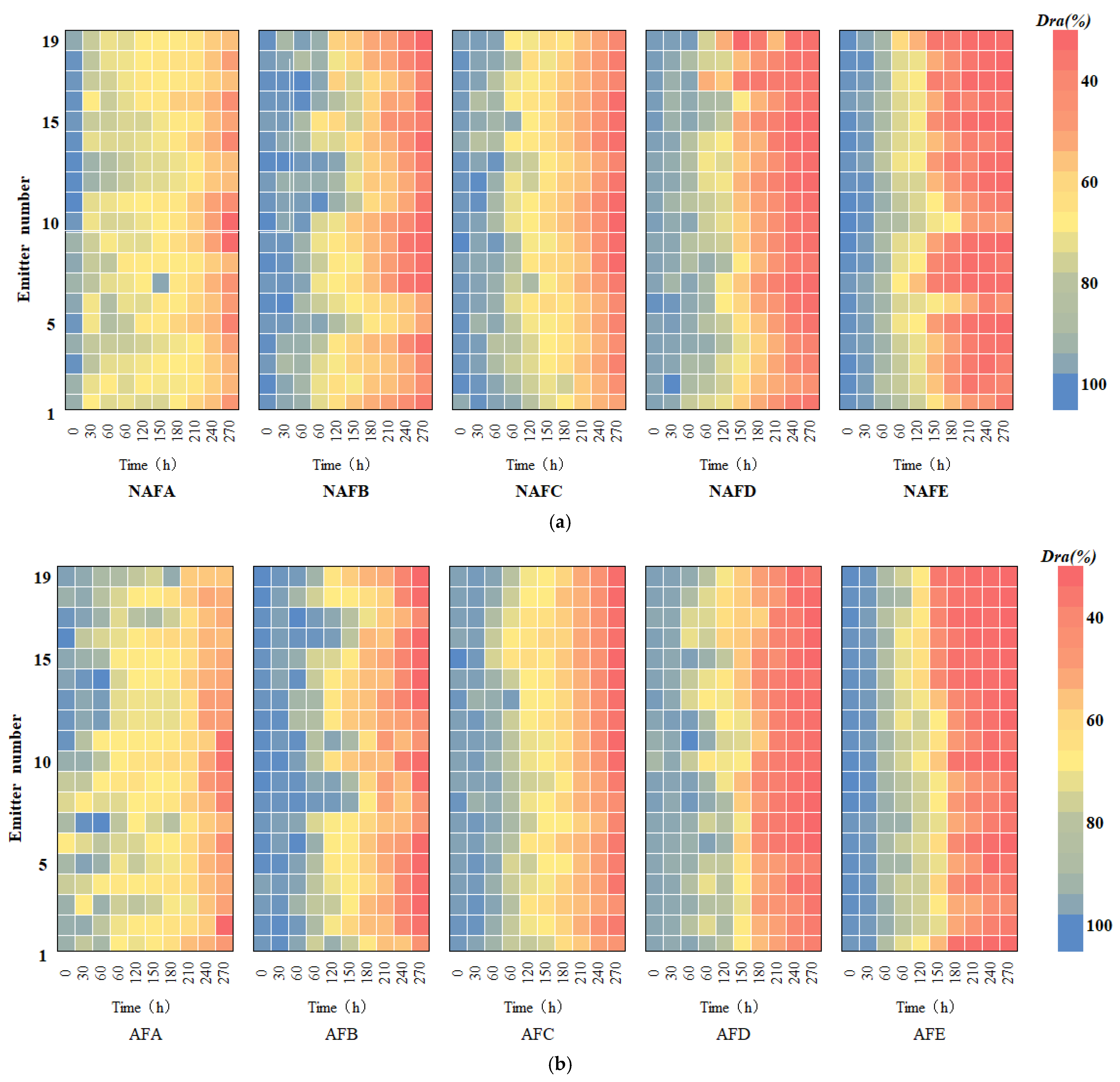
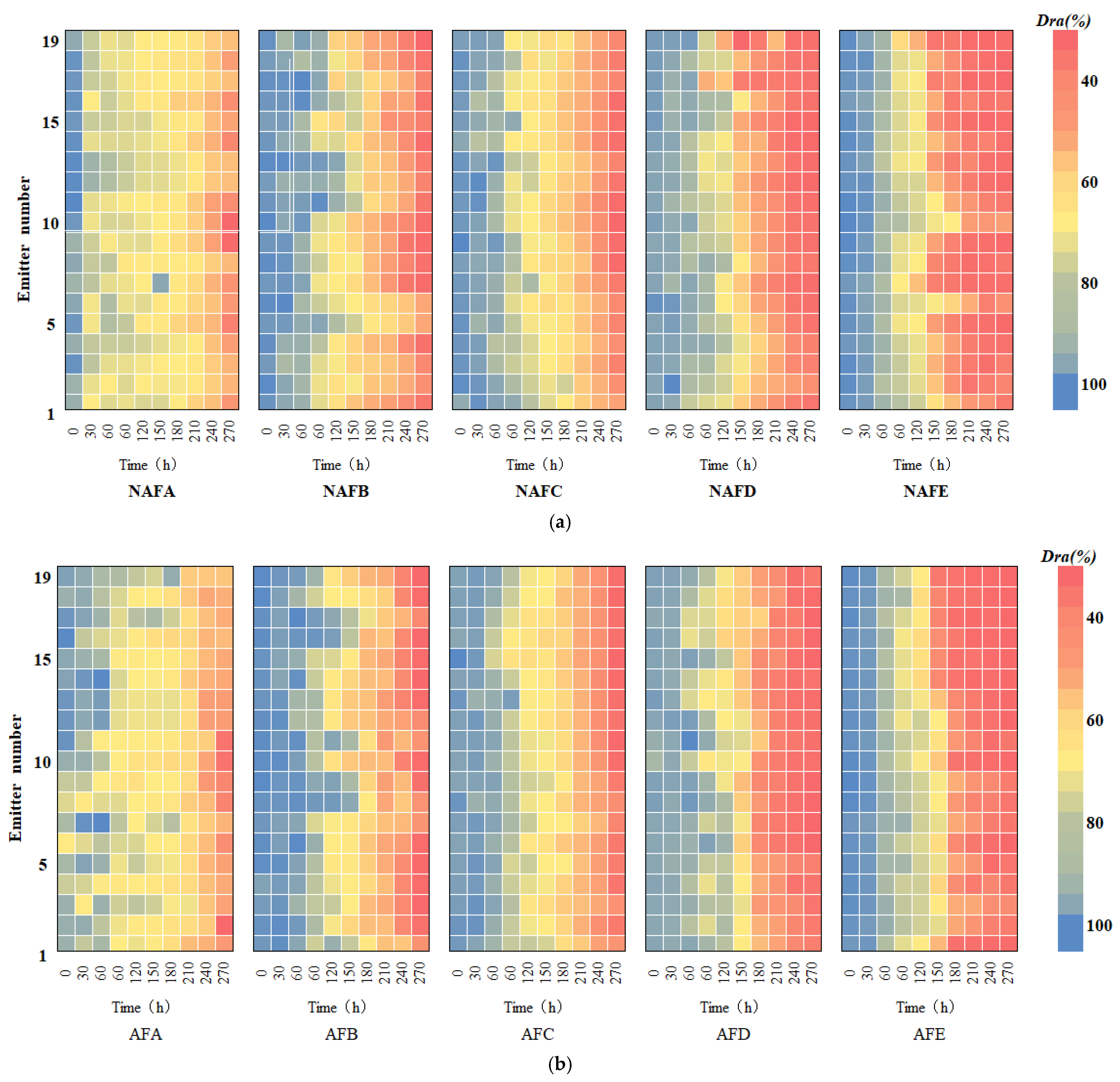
3.1. Emitter Clogging Process
3.2. Regression Analysis of Emitter Dra
3.3. Emitter Clogging Patterns
3.4. Pattern of Change in Emitter Uniformity Coefficient
3.5. Microscopic Morphology and Microbial Diversity of Emitter Clogging Materials
3.5.1. Microscopic Morphology of Clogging Materials
3.5.2. Analysis of Microbial Abundance in Clogging Materials
3.5.3. Analysis of Microbial Community Structure in Clogging Materials
4. Discussion
4.1. Emitter Clogging Patterns Under Water–Fertilizer–Gas Coupling
4.2. Uniformity of Drip Irrigation Systems Under Water–Fertilizer–Gas Coupling
4.3. Micromorphology and Microbial Diversity of Clogging Materials Under Water–Fertilizer–Gas Coupling
5. Conclusions
Author Contributions
Funding
Data Availability Statement
Acknowledgments
Conflicts of Interest
References
- Lei, H.; Xiao, Z.; Zhang, Z.; Yang, H.; Liu, X.; Pan, H. Improving soil aeration and water and nitrogen utilization of tomato in greenhouse by coupled drip irrigation. J. Irrig. Drain. 2020, 39, 8–16. [Google Scholar] [CrossRef]
- Ben-Noah, I.; Nitsan, I.; Cohen, B.; Kaplan, G.; Friedman, S.P. Soil aeration using air injection in a citrus orchard with shallow groundwater. Agric. Water Manag. 2021, 245, 106664. [Google Scholar] [CrossRef]
- Du, Y.D.; Niu, W.Q.; Gu, X.B.; Zhang, Q.; Cui, B.J.; Zhao, Y. Crop yield and water use efficiency under aerated irrigation: A meta-analysis. Agric. Water Manag. 2018, 210, 158–164. [Google Scholar] [CrossRef]
- Pendergast, L.; Bhattarai, S.P.; Midmore, D.J. Evaluation of aerated subsurface drip irrigation on yield, dry weight partitioning and water use efficiency of a broad-acre chickpea (Cicer arietinum, L.) in a vertosol. Agric. Water Manag. 2019, 217, 38–46. [Google Scholar] [CrossRef]
- Han, M.; Wang, Z.; Zhu, Y.; Wen, Y. Effects of aeration on photosynthesis and water use efficiency of cotton under membrane drip irrigation in Northwest arid region. J. Drain. Irrig. Mach. Eng. 2024, 42, 64–70. [Google Scholar] [CrossRef]
- Nazari, S.; Shafaei, S.Z.; Gharabaghi, M.; Ahmadi, R.; Shahbazi, B.; Shahbazi, B.; Maoming, F. Effects of nanobubble and hydrodynamic parameters on coarse quartz flotation. Int. J. Min. Sci. Technol. 2019, 29, 289–295. [Google Scholar] [CrossRef]
- Li, Y.; Zhou, B.; Yang, P. Research progress on mechanism and control methods of irrigator clogging in drip irrigation system. J. Hydraul. Eng. 2018, 49, 103–114. [Google Scholar] [CrossRef]
- Pereira, D.J.D.; Lavanholi, R.; de Araújo, A.C.S.; de Camargo, A.P.; Ait-Mouheb, N.; Frizzone, J.A.; Midmore, D.J. Evaluating sensitivity to clogging by solid particles in irrigation emitters: Assessment of a laboratory protocol. J. Irrig. Drain. Eng. 2020, 146, 04020033. [Google Scholar] [CrossRef]
- Li, J.; Li, Y.; Wang, J.; Wang, Z.; Zhao, W. Micro-irrigation in China: History, present situation and future. J. Hydraul. Eng. 2016, 47, 372–381. [Google Scholar] [CrossRef]
- Wang, H.; Ling, G.; Wang, W.; Hu, X.; Gao, X.J. A Prediction Model of Labyrinth Emitter Service Duration (ESD) under Low-Quality (Sand-Laden Water) Irrigation. Water 2022, 14, 1690. [Google Scholar] [CrossRef]
- Huang, Q.; Liu, A.; Zhang, L. Properties of micro-nano bubbles and their application to soil environment improvement. Chin. J. Environ. Eng. Technol. 2022, 12, 1324–1332. [Google Scholar] [CrossRef]
- Li, H.; Li, H.; Han, Q.; Huang, X.; Jiang, Y.; Sun, H.; Li, H. Influence of micro/nanobubbles on clogging in drip irrigation systems. RSC Adv. 2020, 10, 42338. [Google Scholar] [CrossRef] [PubMed]
- Wu, H.; Wu, W.; Chen, K. Research Progress of bubble drag reduction in ships. Shipbuild. China 2019, 60, 212–227. [Google Scholar]
- Liu, L.; Niu, W.; Wu, Z.; Guan, Y.; Li, Y. Risk and induced mechanism of dropper clogging in accelerated fertilizer drip irrigation. Trans. Chin. Soc. Agric. Mach. 2017, 48, 228–236. [Google Scholar] [CrossRef]
- Diogo, A.F.; Resende, R.A.; Oliveira, A.L. Optimised selection of water supply and irrigation sources—A case study on surface and underground water, desalination, and wastewater reuse in a Sahelian coastal arid region. Sustainability 2021, 13, 12696. [Google Scholar] [CrossRef]
- EP405.1 FEB03; Design and Installation of Microirrigation Systems. ASAE Standards: St. Joseph, MI, USA, 2003.
- Dai, J.; Fan, X.; Liang, Y.; Sun, L. Verification of standard curve for determination of concentration of fertilizer solution by conductivity method. Phosphate Compd. Fertil. 2005, 4, 15–17. [Google Scholar] [CrossRef]
- ISO 9261; Agricultural Irrigation Equipment. Emitters and Emitting Pipe. Specification and Test Methods. International Organization for Standardization: Geneva, Switzerland, 2004.
- Caporaso, J.G.; Kuczynski, J.; Stombaugh, J.; Bittinger, K.; Bushman, F.D.; Costello, E.K. Qiime allows analysis of high-throughput community sequencing data. Nat. Methods 2010, 7, 335–336. [Google Scholar] [CrossRef] [PubMed]
- Rognes, T.; Flouri, T.; Nichols, B.; Quince, C.; Mahé, F. VSEARCH: A versatile open source tool for metagenomics. PeerJ 2016, 4, e2584. [Google Scholar] [CrossRef]
- Reinders, F.; Van Niekerk, A. Technology smart approach to keep drip irrigation systems functional. Irrig. Drain. 2018, 67, 82–88. [Google Scholar] [CrossRef]
- Feng, J.; Li, Y.; Liu, Z.; Muhammad, T.; Wu, R. Composite clogging characteristics of emitters in drip irrigation systems. Irrig. Sci. 2019, 37, 105–122. [Google Scholar] [CrossRef]
- Li, H.; Ma, Z.; Zhang, G.; Chen, J.; Lu, Y.; Li, P. Performance of a Drip Irrigation System under the Co-Application of Water, Fertilizer, and Air. Horticulturae 2023, 10, 6. [Google Scholar] [CrossRef]
- Shen, Y.; Puig-Bargués, J.; Li, M.; Xiao, Y.; Li, Q.; Li, Y. Physical, chemical and biological emitter clogging behaviors in drip irrigation systems using high-sediment loaded water. Agric. Water Manag. 2022, 270, 107738. [Google Scholar] [CrossRef]
- Xiao, Y.; Ma, C.; Li, M.; Zhangzhong, L.; Song, P.; Li, Y. Interaction and Adaptation of Phosphorus Fertilizer and Calcium Ion in Drip Irrigation Systems: The Perspective of Emitter Clogging. Agric. Water Manag. 2023, 282, 108269. [Google Scholar] [CrossRef]
- Tan, S.; Shen, Y.; Liu, Y.; Wang, X.; Xiao, Y.; Li, Y. Anti-clogging effect and mechanism of nano-bubbles on irrigators in biogas slurry drip irrigation system. Trans. Chin. Soc. Agric. Eng. 2022, 38, 79–87. [Google Scholar] [CrossRef]
- Zheng, J.; Zhao, Y.; Chen, Y. Plugging characteristics of different types of irrigators under biogas drip irrigation. Water Sav. Irrig. 2024, 8, 110–116. [Google Scholar] [CrossRef]
- Zheng, J.; Chen, H.; Meng, L.; Li, S.; Ma, L. Influence of different types of irrigator drops on plugging resistance of biogas slurry. Chin. J. Agric. Sci. Technol. 2022, 24, 108–116. [Google Scholar] [CrossRef]
- Hou, P.; Xiao, Y.; Wu, N.; Wang, H.; Ma, Y.; Li, Y. A study on the relationship between irrigator structure-silting-clogging behavior in the Yellow River drip irrigation system. J. Hydraul. Eng. 2020, 51, 1372–1382. [Google Scholar] [CrossRef]
- Hou, J.; Zhang, E.; Sun, Y.; Zhang, L.; Zhou, K. Structural optimization and Performance analysis of button-type pressure compensation irrigator. Trans. Chin. Soc. Agric. Eng. 2022, 38, 100–108. [Google Scholar] [CrossRef]
- Tanaka, S.; Kastens, S.; Fujioka, S.; Schlüter, M.; Terasaka, K. Mass transfer from freely rising microbubbles in aqueous solutions of surfactant or salt. Chem. Eng. J. 2020, 387, 121246. [Google Scholar] [CrossRef]
- Li, C.; Cui, Y.; Shi, X.; Gao, J.; Lan, X. Direct numerical simulation of mass transfer process of single free rising microbubbles under the influence of surface active materials. Process Eng. J. 2021, 21, 877–886. [Google Scholar]
- Zhu, J.; An, H.; Alheshibri, M.; Liu, L.; Terpstra, P.M.; Liu, G.; Craig, V.S. Cleaning with bulk nanobubbles. Langmuir 2016, 32, 11203–11211. [Google Scholar] [CrossRef] [PubMed]
- Han, F.; Liu, A.; Fan, M. Effect of micro-nano bubbles on the flotation of coarse coal. Min. Res. Dev. 2020, 40, 111–116. [Google Scholar] [CrossRef]
- Bhattarai, S.P.; Balsys, R.J.; Eichler, P.; Midmore, D.J.; Wassink, D. Dynamic changes in bubble profile due to surfactant and tape orientation of emitters in drip tape during aerated water irrigation. Int. J. Multiph. Flow 2015, 75, 137–143. [Google Scholar] [CrossRef]
- Temesgen, T.; Bui, T.T.; Han, M.; Kim, T.I.; Park, H. Micro and nanobubble technologies as a new horizon for water-treatment techniques: A review. Adv. Colloid Interface Sci. 2017, 246, 40–51. [Google Scholar] [CrossRef]
- Wang, W.; Xu, F.; Zhou, B.; Feng, J.; Li, Y. Structural and fractal characteristics of biofilm attached on surfaces of sediments in yellow river for drip irrigation. J. Drain. Irrig. Mach. Eng. 2014, 32, 914–920. [Google Scholar] [CrossRef]
- Liu, Y.; Wang, G.; Wang, C.; Zhang, X.; Li, H.; Si, B. Bubble transport characteristics and influencing factors in micro-nano aerated drip irrigation systems. Trans. Chin. Soc. Agric. Eng. 2023, 39, 88–96. [Google Scholar] [CrossRef]
- Liu, C.; She, C.; Su, Y.; Zhang, T.; Huang, Z.; Lin, Y. Effects of micro-nano aeration on bacterial and phosphorus-functional bacteria communities in reservoir sediments. J. Environ. Eng. 2022, 16, 1340–1352. [Google Scholar]
- Wang, S.; Liu, Y.; Li, P. Effects of micro-nano bubbles on aerobic microbial communities in small and micro water bodies. China Water Supply Drain. 2020, 36, 29–34. [Google Scholar] [CrossRef]
- Song, X.; Sun, S.; Zhou, L.; Gao, Y.; Tang, M.; Jiang, C.; Chen, J. Inoculation of aerobic granular sludge to achieve granulation under high dissolved oxygen and the associated mechanisms. J. Water Process Eng. 2021, 42, 102168. [Google Scholar] [CrossRef]
- Rosas-Echeverría, K.; Fall, C.; Gutiérrez-Segura, E.; Romero-Camacho, M.P.; Ba, K.M. Mechanisms of persistence and impact of ordinary heterotrophic organisms in aerobic granular sludge. Bioresour. Technol. 2023, 384, 129346. [Google Scholar] [CrossRef]
- Fujii, N.; Kuroda, K.; Narihiro, T.; Aoi, Y.; Ozaki, N.; Ohashi, A.; Kindaichi, T. Metabolic potential of the superphylum Patescibacteria reconstructed from activated sludge samples from a municipal wastewater treatment plant. Microbes Environ. 2022, 37, ME22012. [Google Scholar] [CrossRef]
- Xiao, Q.; Wang, Q.; Wu, L.; Cai, A.; Wang, C.; Zhang, W.; Xu, M. Integrated analysis of effects of fertilization on soil microbial community structure and enzyme activity in farmland in China. Plant Nutr. Fertil. J. 2018, 24, 1598–1609. [Google Scholar] [CrossRef]
- Van der Kooij, D.; Veenendaal, H.R.; Italiaander, R.; Van der Mark, E.J.; Dignum, M. Primary colonizing Betaproteobacteriales play a key role in the growth of Legionella pneumophila in biofilms on surfaces exposed to drinking water treated by slow sand filtration. Appl. Environ. Microbiol. 2018, 84, e01732-18. [Google Scholar] [CrossRef] [PubMed]
- Wang, C.; Feng, G.; Yao, Q.; Li, A.; Zhu, H. Advances in Myxobacterium genomics. Bull. Microbiol. 2019, 46, 2394–2403. [Google Scholar] [CrossRef]
- Daims, H.; Lebedeva, E.V.; Pjevac, P.; Han, P.; Herbold, C.; Albertsen, M.; Wagner, M. Complete nitrification by Nitrospira bacteria. Nature 2015, 528, 504–509. [Google Scholar] [CrossRef] [PubMed]
- Pagnier, I.; Yutin, N.; Croce, O.; Makarova, K.S.; Wolf, Y.I.; Benamar, S.; La Scola, B. Babela massiliensis, a representative of a widespread bacterial phylum with unusual adaptations to parasitism in amoebae. Biol. Direct 2015, 10, 1–17. [Google Scholar] [CrossRef]
- Xu, R.; Fu, Y.; Xu, Y.; Zheng, X.; Huang, Y.; Meng, F. Comparing biotransformation of extracellular polymeric substances (EPS) under aerobic and anoxic conditions: Reactivities, components, and bacterial responses. Chemosphere 2022, 296, 133996. [Google Scholar] [CrossRef]












| Number | Type of Emitters | Rated Flow Rate (L/h) | Spacing (m) | Connection Method | Compensate Function | Runner Size (mm) | Filter Area (mm2) | Flow Coefficient K | Behavior Index m | Coefficient of Variation Cv (%) | ||
|---|---|---|---|---|---|---|---|---|---|---|---|---|
| Width | Depth | Length | ||||||||||
| A | ARIES 16250 | 1.9 | 0.3 | interior embedded patches | Non-pressure-compensated | 0.76 | 1.03 | 65 | 54 | 0.693 | 0.46 | 3.25 |
| B | DRIPNET PC 16009 | 2.0 | 0.3 | interior embedded patches | pressure-compensated | 1.02 | 0.88 | 8 | 42 | 1.969 | 0.01 | 3.16 |
| C | ARIES 16250 | 1.0 | 0.3 | interior embedded patches | Non-pressure-compensated | 0.6 | 0.74 | 65 | 49 | 0.347 | 0.48 | 1.74 |
| D | DRIPNET PC 16, 150 FL | 1.0 | 0.4 | interior embedded patches | pressure-compensated | 0.76 | 0.73 | 8 | 42 | 1.003 | 0.01 | 3.13 |
| E | PC EXTRA DDC1620050 | 2.0 | 0.5 | column | Non-pressure-compensated | NA | NA | NA | NA | 0.218 | 0.46 | 2.20 |
| Nitrogen | Phosphorus | COD | TDS | Calcium | Magnesium | Iron | Carbonate | Sodium Ion | pH | Salinity | Sulfate |
|---|---|---|---|---|---|---|---|---|---|---|---|
| mg/L | mg/L | mg/L | g/L | mg/L | mg/L | mg/L | mg/L | mg/L | S/cm | mg/L | |
| 6.3 | 0.36 | <15 | 2.69 | 96.39 | 95.4 | 0.074 | 26.96 | 109.50 | 7.26 | 2.66 | 87.31 |
| Number of Emitters | NAF/h | AF/h | Increase in the Proportion Under Water–Fertilizer–Gas Coupling |
|---|---|---|---|
| A | 361 | 434 | 20% |
| B | 145 | 157 | 8% |
| C | 162 | 167 | 3% |
| D | 107 | 121 | 13% |
| E | 63 | 81 | 29% |
Disclaimer/Publisher’s Note: The statements, opinions and data contained in all publications are solely those of the individual author(s) and contributor(s) and not of MDPI and/or the editor(s). MDPI and/or the editor(s) disclaim responsibility for any injury to people or property resulting from any ideas, methods, instructions or products referred to in the content. |
© 2025 by the authors. Licensee MDPI, Basel, Switzerland. This article is an open access article distributed under the terms and conditions of the Creative Commons Attribution (CC BY) license (https://creativecommons.org/licenses/by/4.0/).
Share and Cite
Li, P.; Wang, X.; Zhang, C.; Chen, K.; Junejo, A.R.; Liu, J.; Li, H. Effects of Water–Fertilizer–Gas Coupling on Emitter Clogging and Uniformity of Drip Irrigation System. Horticulturae 2025, 11, 333. https://doi.org/10.3390/horticulturae11030333
Li P, Wang X, Zhang C, Chen K, Junejo AR, Liu J, Li H. Effects of Water–Fertilizer–Gas Coupling on Emitter Clogging and Uniformity of Drip Irrigation System. Horticulturae. 2025; 11(3):333. https://doi.org/10.3390/horticulturae11030333
Chicago/Turabian StyleLi, Peng, Xinkun Wang, Chenjun Zhang, Keyue Chen, Abdul Rahim Junejo, Jinrui Liu, and Hao Li. 2025. "Effects of Water–Fertilizer–Gas Coupling on Emitter Clogging and Uniformity of Drip Irrigation System" Horticulturae 11, no. 3: 333. https://doi.org/10.3390/horticulturae11030333
APA StyleLi, P., Wang, X., Zhang, C., Chen, K., Junejo, A. R., Liu, J., & Li, H. (2025). Effects of Water–Fertilizer–Gas Coupling on Emitter Clogging and Uniformity of Drip Irrigation System. Horticulturae, 11(3), 333. https://doi.org/10.3390/horticulturae11030333

