Abstract
Enhancing the growth and productivity of ornamental and horticultural plants is a major function of plant extracts and macronutrient elements. The growth properties of Artemisia abrotanum plants were evaluated in two successive seasons as affected by the magnesium (Mg) fertilizer added to the soil in the form of magnesium sulfate at four concentrations of 0 (as a control), 4, 6, and 8 g/L as well as Tropaeolum majus aqueous leaf extract (ALE) at concentrations of 0 (as a control), 4, 6, and 8 g/L as a foliar application. The chemical components of A. abrotanum essential oils (EOs) were analyzed using the gas chromatography–mass spectrometry (GC-MS) apparatus. The studied parameters, including plant height, total fresh weight, number of branches/plant, EO percentages, chlorophyll-a content, chlorophyll-b content, and carotenoid content, were enhanced by the application of Mg or T. majus ALE or their combinations. The highest plant heights, 48.83 cm, and 48.5 cm, were observed in the plants treated with Mg (8 g/L)+T. majus ALE (8 g/L) and Mg (6 g/L)+T. majus ALE (4 g/L), in both seasons, respectively. The highest values of total fresh weight, 54.80 and 60.59 g, were recorded in plants treated with Mg (8 g/L)+T. majus ALE (4 g/L) and Mg (8 g/L)+T. majus ALE (4 g/L), in both seasons, respectively. The highest number of branches/plant, 60.33 and 73.33, were measured in plants treated with Mg (8 g/L)+T. majus LAE (8 g/L), in both seasons, respectively. The highest EO percentages, 0.477% and 0.64%, were measured in plants treated with Mg (8 g/L)+T. majus ALE (8 g/L), in both seasons, respectively. The total fresh weight in both seasons (r = 0.96), the number of branches/plant in both seasons (r = 0.97), the number of branches/plant in the first season, and the number of branches/plant in both seasons (r = 0.96), the total fresh weight in the second season and the number of branches/plant in the first season (r = 0.95) and the second season (r = 0.94), and the number of branches/plant and the carotenoids in the first season (r = 0.90) were all found to be significantly and positively correlated. The major compounds in the EOs were 7-methoxy-4-methylcoumarin (4-methylherniarin), cedrol, endo-borneol, and 7-epi-silphiperfol-5-ene. The antibacterial activity of the EOs was evaluated against the growth of Pectobacterium atrosepticum and Pectobacterium carotovorum subsp. carotovorum, which causes soft rot of potato tubers. The EOs were found to be effective against P. carotovorum subsp. carotovorum with the inhibition zones ranging from 1 to 5 mm at the concentration of 100 μg/mL, and no inhibitions were found against P. atrosepticum at the studied concentrations. The minimum inhibitory concentration against P. carotovorum subsp. carotovorum was found at 75 μg/mL. In conclusion, using the combination treatments of Mg and T. majus ALE is highly suggested to enhance the growth of A. abrotanum plants.
1. Introduction
Southern wormwood, or Artemisia abrotanum L., (Family Compositae) is a plant species that has played a significant role in Asian and European medical history. This species is well known for its therapeutic properties in southeast and central Europe, as well as in Asia Minor and central Asia [1,2]. When utilized as an ingredient in nail gel for patients with irregularities of the nail plate surface, A. abrotanum leaf extract shows encouraging outcomes [3]. Furthermore, A. abrotanum extract has the potential to be an active ingredient in cosmetics for acne-prone skin due to its antibacterial activity against Propionibacterium acnes strains that are resistant to macrolides [4]. A. abrotanum leaves are used to flavor meats, salads, and cottage cheese because of their pleasant scent. They are occasionally used as flavorings in alcoholic beverages like liqueurs and vermouths, as well as in confections [5,6,7]. Teas contain the herb of A. abrotanum as an ingredient [7]. In European herbal therapy, A. abrotanum is frequently used to treat a variety of diseases, including fever. The crude extracts and some of the constituents of A. abrotanum were tested for antimalarial activity against Plasmodium falciparum in vitro using the technique of [3H]hypoxanthine incorporation [8].
The market for plant-derived biostimulants (PDBs) is expanding in importance, and environmental sustainability has a big impact on how they are used. PDBs are widely used to fortify plants, satisfy commercial needs, produce high-quality products, increase plant vitality, and make harvesting easier in a variety of horticultural applications, including ornamentals. Biostimulants can be regulated by proving their effectiveness and safety and identifying a general mechanism of action [9]. We may soon have a better grasp of the mechanisms and potentially possible modes of action of biostimulants due to the development of new molecular biotechnology tools [10].
When the development of quality features depends on Mg-driven photosynthesis and assimilated translocation within the plant, increasing the magnesium supply on sites where magnesium deficiency exists tends to improve the quality of agricultural harvests [11]. For horticultural crops to be healthy, productive, and high-quality, magnesium (Mg2+) is essential. Mg2+, an essential part of chlorophyll and a key player in plant physiology, drives photosynthesis, supporting biomass accumulation and growth [12]. Mg is recognized as an essential element of the plant, where it is essential for several fundamental physiological and metabolic processes. Key elements include the production, transport, and utilization of photoassimilates; protein synthesis; enzyme activation; and chlorophyll synthesis [13]. In fact, Mg is necessary for some critical physiological and biochemical functions that take place throughout plant growth and development [14]. Mg is the basic building block of the chlorophyll pigments in the light-capturing complex of the chloroplasts, which contributes to the uptake of CO2 during photosynthetic processes [11,15].
Some research has demonstrated that PDBs have no detrimental effects on the environment or human health because their constituents have minimal biological toxicity, quick environmental degradation, poor food mobility, and low application rate [16,17,18,19]. Because they can encourage higher production with less environmental impact, their use can be crucial to enhancing agricultural sustainability [20]. Natural extracts can enhance and stimulate the growth and biochemical components present in treated horticultural, ornamental, and flowering plants [21,22]. PDBs can improve the efficiency of nutrient utilization, protect plants from abiotic stresses, and/or promote plant growth [23]. To sustainably increase productivity and quality, PDBs are receiving more and more attention and being included in high-value production systems (such as greenhouse production, fruit, vegetable, and floriculture) [22,24,25].
In the present work, Mg and Tropaeolum majus L. extract were used to enhance the growth of Artemisia abrotanum plants. T. majus L. (T. elatum Salisb., Tropaeolaceae), or nasturtium, comes from the mountainous areas of South and Central America. Nasturtium is native to Peru and Bolivia [26]. It has been cultivated in Europe since the seventeenth century because of its applications as a decorative plant and in herbal medicine. Sulfur compounds (glucotropaeolin), flavonoids (quercetin, isoquercetin and kaempferol glycosides), anthocyanins (delphinidin, cyanidin, and pelargonidin derivatives), carotenoids (lutein, zeaxanthin, and β-carotene), phenolic acids (chlorogenic acid), cucurbitacines, and vitamin C have all been mentioned in phytochemical studies of T. majus [26,27,28,29].
It has been proven that many edible flowers are a rich source of bioactive compounds, especially phenolic compounds such as flavonoids and anthocyanins, which have beneficial properties for human health [30]. The preliminary screening showed that the T. majus extracts have a variety of reducing phytochemicals including tannins, terpenoids, flavonoids, and cardiac glycosides, T. majus aqueous extract has a potential antioxidant effect [31]. The fresh leaves and flowers of T. majus are also used in feeding, especially in salads, and were pointed out by a study as an excellent source of the carotenoid lutein [27,28,32]. The extracts from edible flowers of T. majus are rich sources of polyphenols with marked antioxidant activity [33].
Pectobacterium spp. is the major cause of soft rot in potato tubers [34]. Potato (Solanum tuberosum L.) is considered one of Egypt’s vegetable crop values, after tomatoes, and is regarded as one of the country’s most significant crops [35]. Pectobacterium atrosepticum and Pectobacterium carotovorum subsp. carotovorum are pectinolytic bacteria that are facultatively anaerobic and Gram-negative and were previously classified as Erwinia carotovora subsp. atroseptica and Erwinia carotovora subsp. carotovora [36]. These polyphagous bacteria induce bacterial soft rot in potatoes, and one of their host plants is the potato tuber. Tuber rot can be caused by bacteria in the soil right away, after harvest, or while being stored [37].
The quality, storage life, and yield of potato tubers are significantly reduced due to a strong odor that usually accompanies the subsequent decomposition of tubers [38]. The bacteria can live in contaminated tubers and contaminate surface water, weed roots, soil residues, and field crops. [39,40]. Therefore, protection is critical to prevent potato tuber infection. Attention is focused on using essential oils from different plant species or their purified components to control the causal against potato tubers’ soft rot [41].
In upcoming years, there could potentially be a greater need for biostimulants in low-input, conventional, and organic agriculture. Because of this, there is growing interest in creating a new generation of plant biostimulants for sustainable agriculture using various natural extracts that work in synergy. Furthermore, innovative products that can sustain yield under the conditions imposed by industrial global warming are becoming more and more necessary. Thus, this study aimed to determine how well magnesium and Tropaeolum majus aqueous leaf extract, a plant-derived biostimulant, might promote Artemisia abrotanum plant development and essential oil production. The second aim was to determine the primary effects of the essential oils as antibacterial agents against P. carotovorum subsp. carotovorum and P. atrosepticum.
2. Materials and Methods
The Artemisia abrotanum (Southernwood) and Tropaeolum majus ‘Empress of India’ plants were sourced from a botanical garden in Alexandria and were identified by the Plant Production Department, Faculty of Agriculture Saba Basha, Alexandria University. Voucher specimens were deposited at the Alexandria University Herbarium under accession numbers no. 4832 (Artemisia abrotanum) and no. 4891 (Tropaeolum majus), respectively.
2.1. Collection and Preparation of Tropaeolum majus Extract
Nasturtium (Tropaeolum majus L.) ‘Empress of India’ plants were collected in March 2022 and 2023 during the flowering stage from the nursery of the Department of Floriculture, Ornamental Horticulture, and Garden Design, Faculty of Agriculture, Alexandria University, Egypt, and the identification was confirmed at the Department, Faculty of Agriculture, Alexandria University, Egypt. T. majus leaves were washed with running tap water [21] to remove dust and any dirt over the leaves, then dried at room temperature, and ground to a fine powder using a grinder. The material powder was kept in dry conditions and ready for further use.
In a glass bottle, 100 g of T. majus leaf powders were soaked for 24 h at room temperature in 1000 mL of distilled water. After passing through Whatman filter paper No. 1, they were dried for 72 h at 50 °C in an oven [42]. The final dried extract was stored at 4 °C in a refrigerator [43]. The extraction yield of T. majus leaves was calculated by the following equation: extraction yield (%) = (W1/W2) × 100, where W1 is the mass of leaf crude extract and W2 is the mass of the dry leaf sample [44]. The extract percentage was 2.50%.
2.2. Field Experiment
Artemisia abrotanum L. (Southernwood) plants were arranged with two treatments performed in the randomized complete block design (RCBD) with three replications at two successive seasons (2022 and 2023) at the nursery of the Department of Floriculture, Ornamental Horticulture and Garden Design, Faculty of Agriculture, Alexandria University, Egypt. A. abrotanum cuttings were planted in March. Then, the rooted cuttings were transplanted after one month for both seasons (2022 and 2023), where three similar plants were selected for each replicate. Therefore, each treatment has nine plants. Figure S1 shows the arrangement of the experimental work.
2.3. Treatments
The first factor was magnesium (Mg) fertilizer in the form of magnesium sulfate at four concentrations of 0 (as a control), 4, 6, and 8 g/L added to the soil with water irrigation (500 mL/plant). The soil analysis is shown in Table 1 [21]. The second factor, Tropaeolum majus aqueous leaf extract (ALE), was applied as a foliar application at the concentrations of 0 (as a control), 4, 6, and 8 g/L. A. abrotanum plants received these treatments four times (from May to August) at one-month intervals during the two seasons, starting one month after transplanting. In both seasons, measurements of the plant’s height (cm), number of branches/plant, total fresh weight (g) chlorophyll-a, chlorophyll-b, carotenoid content, and the percentage of essential oils were done.
Table 1.
Chemical analysis of soil.
2.4. Analysis of Phenolic and Flavonoid Compounds by HPLC
The phenolic compound from T. majus ALE was analyzed using HPLC (Agilent 1100, Agilent ChemStation, Santa Clara, CA 95051, USA) and a UV/Vis detector, two LC pumps, and a C18 column (125 mm × 4.6 mm, 5 μm film thickness) was used to gather and examine chromatograms. By using a gradient mobile phase of two solvents—solvent A (methanol) and solvent B [acetic acid in water (1:25)]. For the first 3 min, the gradient program was maintained at a concentration of 100% B. The concentration of eluent A was then raised to 80% for the following 2 min, then decreased to 50% once again for the following 5 min with detection wavelength at 250 nm. This was followed by 5 min of 50% eluent A. As a result, the order of phenolic compounds was established utilizing this mobile phase to verify standard compounds [45,46].
HPLC (Agilent 1100), which consists of two LC pumps, a UV/Vis detector, and a C18 column (250 mm × 4.6 mm, 5 μm), was used to identify the flavonoid components from T. majus ALE. With an isocratic elution (70:30) program, the mobile phase consisted of acetonitrile (A) and 0.2% (v/v) aqueous formic acid (B). The detection wavelength was 360 nm [45,46]. The phenolic and flavonoid compounds were identified by comparison with standard retention times.
2.5. Photosynthetic Pigments of Chlorophylls and Carotenoid Contents
The following extraction and analysis were carried out as previously mentioned [47]. In brief, the leaves were chopped into small pieces, and then, after adding 10 mL of absolute acetone, 0.5 g of the leaves were pulverized in a mortar and pestle. After centrifuging the homogenized material for 20 min at 4 °C at 10,000 rpm, 0.5 mL of the supernatant was combined with 4.5 mL of acetone absolute. The following suggested equations were then used to estimate the amounts of chlorophyll-a, chlorophyll-b, and carotenoid in a spectrophotometer using this solution [48,49]. All measurements were done in triplicate.
- Chlorophyll-a = 11.75 A662 − 2.350 A645 (μg/mL)
- Chlorophyll-b = 18.61 A645 − 3.960 A662 (μg/mL)
- Carotenoids = 1000 A470 − 2.270 Chl a − 81.4 Chl b/227 (μg/mL)
2.6. Essential Oil Extraction
The essential oils (EOs) from A. abrotanum leaves were extracted using the hydrodistillation process with the Clevenger apparatus. About 100 g of fresh leaves were placed in a 2 L flask with 1500 mL of distilled water for 3 h, then the EOs were collected and stored at 4 °C in a refrigerator until analysis [50].
2.7. Gas Chromatography–Mass Spectrometry (GC-MS) Analysis
The chemical composition of the EOs from the A. abrotanum leaves collected from the treated plants with the 16 treatments was performed using a Trace GC Ultra-ISQ mass spectrometer (Thermo Scientific, Austin, TX, USA) with a direct capillary column TG–5MS (30 m × 0.25 mm × 0.25 µm film thickness). The column oven temperature was initially held at 70 °C, then increased by 5 °C/min to 280 °C withheld for 5 min then increased to 300 at 5 °C/min. The injector and MS transfer line temperatures were kept at 250 °C. Helium was used as a carrier gas at a constant 1 mL/min flow rate. The solvent delay was 2 min and diluted samples of 1 µL were injected automatically using Autosampler AS1310 coupled with GC in the split mode. In full scan mode, EI mass spectra were collected at 70 eV ionization voltages over the m/z 40–600 range. The ion source was set at 200 °C.
The components of the EOs were identified by comparing their mass spectra with those of the WILEY 09 and NIST 14 mass spectral databases [51]. The Xcalibur 3.0 data system in the GC–MS with its threshold values was used to confirm that all the mass spectra of the identified compounds were attached to the library. The Xcalibur 3.0 data system of the GC–MS with threshold values was used to confirm that all the MS were attached to the library by measuring the Standard Index and Reverse Standard Index, where the value of the match factor (MF) with ≥650 was acceptable to confirm the compounds [52,53].
2.8. Antibacterial Activity of the Essential Oils
Two bacterial isolates, Pectobacterium carotovorum subsp. carotovorum (LN851554) and Pectobacterium atrosepticum (LT592258) [54], were obtained from the Department of Agricultural Botany, Faculty of Agriculture (Saba Basha), Alexandria University, Egypt. The bacterial isolates were renewed by growing on a nutrient agar (NA) medium at an optimal temperature of 26 ± 2 °C for 2 days. The EOs of A. abrotanum were prepared at the concentrations of 100, 75, 50, and 25 µL/mL by dissolving the respective amount of the EO in 10% dimethyl sulfoxide (DMSO), and then 0.5 mL of Tween 20 was added. The antibacterial assay of the EOs was determined using the disc diffusion susceptibility test [36]. Each of P. carotovorum subsp. carotovorum and P. atrosepticum inoculum at 100 µL was pipetted onto Petri dishes containing NA medium and uniformly spread with a sterile hockey stick rod. The sterile filter paper discs (10 mm diameter) were each filled with 75 µL of the prepared concentrations. The plates were incubated at the optimal temperature for bacterial growth, and, after 24 h, the diameters of the inhibition zones (IZs) were measured. The minimum inhibitory concentrations (MICs) were determined by serial dilution of the EOs ranging from 25 to 100 µg/mL [46]. Negative control (DMSO 10% and Tween 20) and positive control (Neomycin Sulphate 20 µg/disc) controls were used, and all the tests were done in triplicate.
2.9. Statistical Analysis
The experiment was conducted in a complete randomized block design (RCBD) containing 16 treatments with three replicates in two factors including Mg and the extract. The collected data from both seasons were subjected to analysis of variance (ANOVA) using the SAS program. For each of the seven factors examined in both seasons, simple linear regressions were used to determine a linear relationship that would characterize the correlation between an independent and potentially dependent variable.
3. Results
3.1. Phenolic Compounds from Tropaeolum majus Aqueous Leaf Extract
The phenolic compounds identified by the HPLC analysis in the Tropaeolum majus aqueous leaf extract (ALE) are shown in Table 2 and Figure 1. The most detected abundant phenolic compounds were caffeic acid (17.46 μg/mL), chlorogenic acid (15.22 μg/mL), pyrogallol (11.78 μg/mL), and catechol (10.62 μg/mL).
Table 2.
The phenolic compounds in Tropaeolum majus aqueous leaf extract.
Figure 1.
The HPLC analysis of the phenolic compounds in Tropaeolum majus aqueous leaf extract.
3.2. Flavonoid Compounds from Tropaeolum majus Aqueous Leaf Extract
The flavonoid components found in T. majus ALE by HPLC analysis are displayed in Table 3 and Figure 2. Naringin (18.45 μg/mL), rutin (10.75 μg/mL), and luteolin (9.57 μg/mL) were the most prevalent flavonoid compounds.
Table 3.
The flavonoid compounds in Tropaeolum majus aqueous leaf extract.
Figure 2.
The HPLC analysis of flavonoid compounds in Tropaeolum majus aqueous leaf extract.
3.3. Vegetative Parameters of A. abrotanum Plants
Table 4 shows the recorded data for the plant height, total fresh weight, and the number of branches/plant in both seasons.
Table 4.
The plant height, total fresh weight, and the number of branches/plant of A. abrotanum in both growing seasons.
In the first season, the highest plant height (cm) was observed in the plants treated with Mg (g/L)+T. majus ALE (g/L) at 8+8 (48.83 cm), 8+6 (47.75 cm), 6+6 (47.58 cm), 4+8 (47.58 cm), 8+4 (46.16 cm), 6+4 (45.75 cm) and 6+8 (45.25 cm). In the second season, the greatest heights of plants were observed in plants treated with Mg (g/L)+T. majus ALE (g/L) at 6+4 (48.5 cm), 8+8 (48.33 cm), 6+8 (47.58 cm), 6+6 (46.75 cm), 8+4 (46.16 cm) and 8+6 (46.25 cm).
For the weighted total fresh weight (g), the highest values observed in the first season were in plants treated with Mg (g/L)+T. majus ALE (g/L) at 8+4 (54.80 g), 8+8 (53.75 g), 8+6 (51.08 g), 6+6 (50.67 g), and 6+8 (49.94 g). In the second season, these were recorded in plants treated with Mg (g/L)+T. majus ALE (g/L) at 8+4 (60.59 g), 8+8 (57.78 g), 8+6 (55.18 g), 6+6 (51.50 g) and 6+8 (50.57 g).
In the first season, the highest numbers for branches/plant were recorded in plants treated with Mg (g/L)+T. majus ALE (g/L) at 8+8 (60.33 branches/plant), 8+4 (58.16 branches/plant), 6+6 (57.66 branches/plant), 8+6 (57.33 branches/plant) and 6+8 (51.5 branches/plant). In the second season, the highest numbers for branches/plant were recorded in plants treated with Mg (g/L)+T. majus ALE (g/L) at 8+8 (73.33 branches/plant), 8+4 (68.83 branches/plant), 6+6 (66.66 branches/plant), 8+6 (66 branches/plant), 6+8 (64 branches/plant) and 6+4 (60.83 branches/plant).
3.4. Essential Oil, Chlorophyll-a and -b, and Carotenoid Contents
The EO, chlorophyll-a and -b, and carotenoid contents of A. abrotanum in both growing seasons are shown in Table 5. In the first season, the highest percentages of the EOs were measured in plants treated with Mg (g/L)+T. majus ALE (g/L) at 8+8 (0.47%), 6+6 0.47%), 8+6 (0.44%), 4+6 (0.44%), 4+8 0.43%), and 6±8 (0.42%). In the second season, the highest percentages of the EOs were measured in plants treated with Mg (g/L)+T. majus ALE (g/L) at 8+8 (0.64%), 6+6 (0.62%), 4+8 (0.59%), 6+8 (0.58%), and 8+6 (0.57%).
Table 5.
The essential oil, chlorophyll-a and -b, and carotenoid contents of A. abrotanum in both growing seasons.
The plants that were treated with Mg (g/L)+T. majus ALE (g/L) at 8+8 (21.27 µg/mL), 8+6 (20.89 µg/mL), 4+6 (20.63 µg/mL), and 6+8 (20.58 µg/mL) had the highest chlorophyll-a content in the first season. In the second season, the highest values of chlorophyll-a content were measured in plants treated with Mg (g/L)+T. majus ALE (g/L) at 8+8 (25.04 µg/mL), 8+6 (22.67 µg/mL), 6+4 (20.51 µg/mL), 4+6 (20.41 µg/mL), 8+4 (20.25 µg/mL), and 6+8 (20.00 µg/mL).
The highest values of chlorophyll-b content in the first season were shown in untreated plants (10.22 µg/mL) followed by plants treated with Mg (g/L)+T. majus ALE (g/L) at 8+4 (9.78 µg/mL), 8+0 (8.14 µg/mL) and 4+8 (8.09 µg/mL). In the second season, the highest values were recorded in plants treated with Mg (g/L)+T. majus ALE (g/L) at 8+8 (23.73 µg/mL), 8+6 (14.79 µg/mL), 4+6 (10.76 µg/mL), and 6+4 (8.90 µg/mL).
The highest contents of carotenoid in the first season were measured in the plants treated with Mg (g/L)+T. majus ALE (g/L) at 8+6 (7.88 µg/mL), 8+8 (17.61 µg/mL), 6+8 (7.51 µg/mL), and 6+6 (7.44 µg/mL). In the second season, the highest carotenoid contents were found in the plants treated with Mg (g/L)+T. majus ALE (g/L) at 8+8 (8.36 µg/mL), 6+8 (8.12 µg/mL), 4+6 (8.12 µg/mL), and 6+4 (8.04 µg/mL).
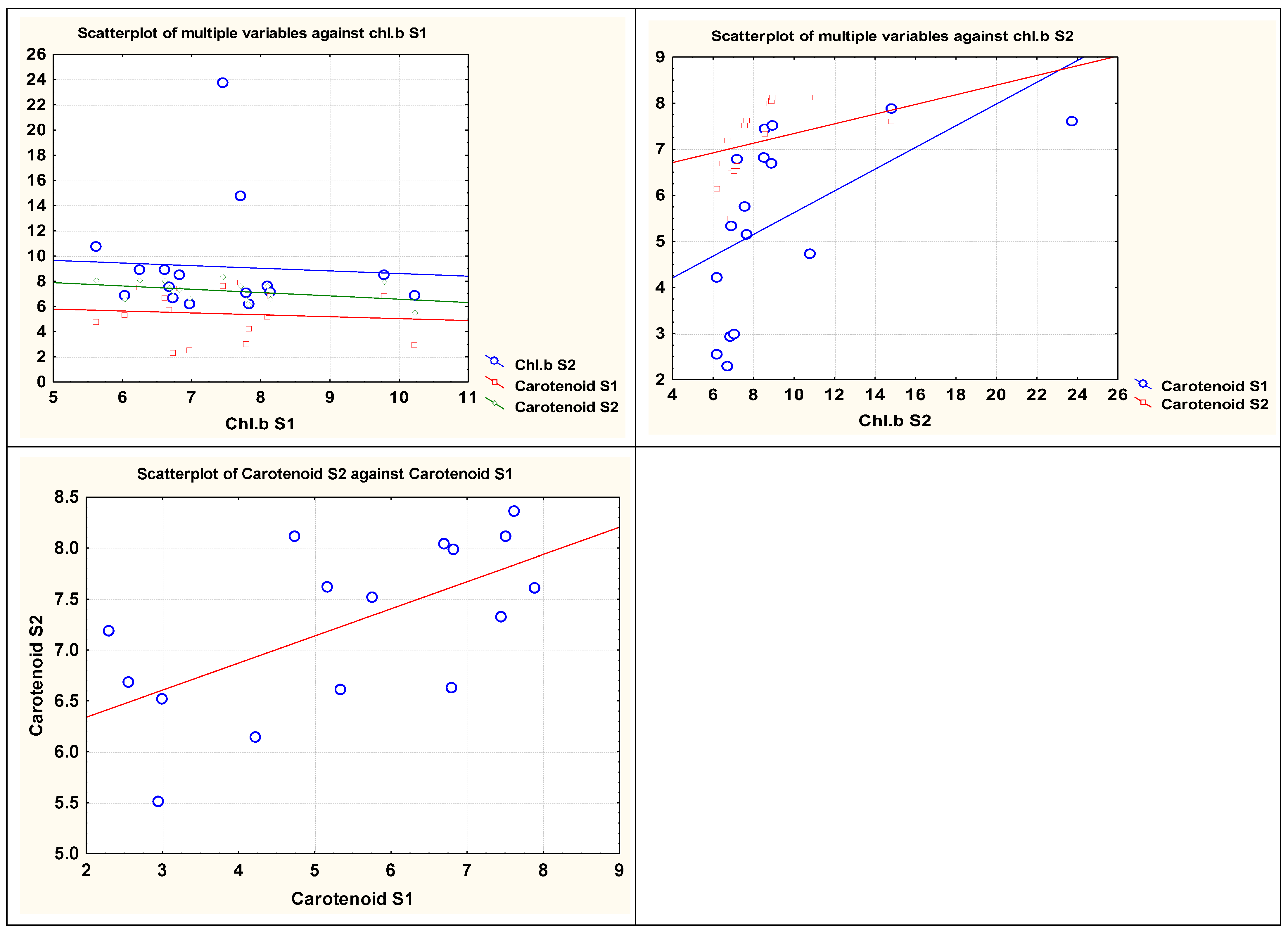
3.5. Correlations Among the Studied Variables in Both Seasons
Observing the possible relationships among the studied parameters measured for the growing A. abrotanum plants as affected by the Mg and T. majus ALE treatments at 0, 4, 6, and 8 g/L, see Figure 3 and Table 6, the most positive and good correlations were found between the number of branches/plant in both seasons (r = 0.97), the total fresh weight in both seasons (r = 0.96), the total fresh weight in the first season and the number of branches/plant in both seasons (r = 0.96), the total fresh weight in the second season and the number of branches/plant in the first season (r = 0.95) and the second season (r = 0.94), and the number of branches/plant and the carotenoids in the first season (r = 0.90).


Figure 3.
The correlation results among the studied parameters in both seasons. S1: First season; S2: Second season.
Table 6.
The regression equations with the coefficient of determination (R2) and the correlation (r) between the predictor variable, x, and the response variable, y.
Additionally, good correlation results were found between the plant height in the second season with the total fresh weight in the first season (r = 0.88), the total fresh weight in the first season, and the EO% in the second season (r = 0.88), chlorophyll-a in the first season and the carotenoids in the second season (r = 0.88), and the number of branches/plant in the first season and the EO% in the second season (r = 0.88).
Furthermore, the results also reported good correlation results between the plant height with the EO% in the second season (r = 0.87), the number of branches/plant in the second season and the carotenoids in the first season (r = 0.87), the number of branches/plant and the EO% in the second season (r = 0.87), the plant height in both seasons (r = 0.86), the EO% in both seasons (r = 0.85), the plant height and the number of branches/plant in the second season (r = 0.85), and chlorophyll-a and chlorophyll-b in the second season (r = 0.85).
3.6. Chemical Compounds of the Essential Oils from Artemisia abrotanum Leaves
Table 7 shows the chemical analysis of the essential oils (EOs) extracted from Artemisia abrotanum as affected by Mg and T. majus ALE treatments. Table 8 presents the match factors for the identified compounds from the EOs of A. abrotanum plants by the Xcalibur 3.0 data system in the GC–MS. The abundant compounds in the EOs were 7-methoxy-4-methylcoumarin (4-methylherniarin), cedrol, α-costol, eucalyptol, camphor, endo-borneol, camphene, m-cymene, ascaridole, germacrene D, isoaromadendrene epoxide, ledene alcohol, 7-epi-silphiperfol-5-ene, 1,5,9,9-tetramethyl-2-methylene-spiro[3.5]non-5-ene, longiverbenone, β-caryophyllene oxide, and caryophylla-4(12),8(13)-dien-5α-ol. The GC–MS chromatograms of the isolated EOs extracted from A. abrotanum leaves treated with the 16 treatments are shown in Figure S2.
Table 7.
Variation in the chemical compounds of the essential oils from Artemisia abrotanum plants as affected by the treatments of magnesium element and T. majus aqueous leaf extract.
Table 8.
The match factors (MFs) for the identified compounds from the essential oils of Artemisia abrotanum plants by Xcalibur 3.0 data system in the GC–MS as affected by the treatments of magnesium and T. majus aqueous leaf extract.
These main compounds had different concentrations in the EOs according to the treatment used. The ranges of these compounds were 0–1.51, 0–2.90, 0–7.20, 0–2.45, 4.05–10.91, 0–4.99, 1.10–3.33, 0.44–1.44, 9.57–13.2, 2.35–3.34, 5.42–7.01, 1.98–2.71, 3.62–5.20, 28.32–55.45, 3.58–5.90, and 1.64–3.09% for camphene, m-cymene, eucalyptol, camphor, endo-borneol, ascaridole, germacrene D, isoaromadendrene epoxide, cedrol, ledene alcohol, 7-epi-silphiperfol-5-ene, 1,5,9,9-tetramethyl-2-methylene-spiro[3.5]non-5-ene, α-costol, 7-methoxy-4-methylcoumarin (4-methylherniarin), longiverbenone, and caryophylla-4(12),8(13)-dien-5α-ol, respectively.
The highest percentage of camphene (1.51%) was obtained in the EO of treated plants with Mg (4 g/L)+T. majus ALE (8 g/L) followed by treated plants with Mg (6 g/L)+T. majus ALE (6 g/L) (1.03%). For m-cymene, the highest percentages were found in the plants treated with Mg (g/L)+T. majus ALE (g/L) at 4+8, 8+0, and 4+6, with values of 2.90, 2.86, and 2.70%, respectively. The highest values of eucalyptol in the EOs were observed in the plants treated with Mg (8 g/L)+T. majus ALE (0 g/L) (7.20%), followed by Mg (4 g/L)+T. majus ALE (8 g/L) (7.18%) and Mg (4 g/L)+T. majus ALE (0 g/L) (7.04%). The highest percentage values of camphor in the EOs were found in plants treated by Mg (4 g/L)+T. majus ALE (0 g/L) (2.45%) and Mg (8 g/L)+T. majus ALE (0 g/L) (1.98%). The highest percentages of endo-borneol in the EOs were obtained in the plants treated by Mg (8 g/L)+T. majus ALE (4 g/L) (10.91%) followed by Mg (0 g/L)+T. majus ALE (8 g/L) (10.77%) and Mg (8 g/L)+T. majus ALE (6 g/L) (10.21%). Ascaridole was observed at a high percentage in the EO of plants treated with Mg (4 g/L)+T. majus ALE (6 g/L) (4.99%), followed by Mg (8 g/L)+T. majus ALE (0 g/L) (3.30%), and Mg (4 g/L)+T. majus ALE (8 g/L) (2.51%). The high percentages of germacrene D were found in the EOs of plants treated with Mg (4 g/L)+T. majus ALE (6 g/L) (3.33%), followed by Mg (0 g/L)+T. majus ALE (6 g/L) (2.80%), Mg (4 g/L)+T. majus ALE (4 g/L) (2.80%), and untreated plants (2.52%).
The highest values of isoaromadendrene epoxide were found in the EOs from the plants treated with the concentrations of Mg (8 g/L)+T. majus ALE (4 g/L) (1.44%), Mg (0 g/L)+T. majus ALE (6 g/L) (1.38%), Mg (8 g/L)+T. majus ALE (8 g/L) (1.37%), and Mg (8 g/L)+T. majus ALE (6 g/L) (1.36%). The highest percentages of cedrol were obtained in the EOs of plants treated by Mg (0 g/L)+T. majus ALE (4 g/L) (13.25%), Mg (8 g/L)+T. majus ALE (4 g/L) (12.62%), Mg (4 g/L)+T. majus ALE (4 g/L) (11.64%), and Mg (8 g/L)+T. majus ALE (6 g/L) (11.52%). The highest concentrations of ledene alcohol in the EOs were observed in plants treated with Mg (0 g/L)+T. majus ALE (4 g/L) (3.34%), and Mg (8 g/L)+T. majus ALE (4 g/L) (3.07%). The highest percentages of 7-epi-silphiperfol-5-ene were observed in the EOs from plants treated with Mg (0 g/L)+T. majus ALE (4 g/L) (7.01%), Mg (8 g/L)+T. majus ALE (4 g/L) (6.74%), untreated plants (6.39%), and Mg (8 g/L)+T. majus ALE (8 g/L) (6.37%). The highest percentages of 1,5,9,9-tetramethyl-2-methylene-spiro[3.5]non-5-ene were observed in the EOs from treated plants with Mg (0 g/L)+T. majus ALE (4 g/L) (7.01%), Mg (8 g/L)+T. majus ALE (4 g/L) (6.74%), untreated plants (6.39%), and Mg (8 g/L)+T. majus ALE (8 g/L) (6.37%). The high percentages of α-costol were found in the EOs from plants treated with the combination treatments of Mg (0 g/L)+T. majus ALE (4 g/L) (5.20%), Mg (8 g/L)+T. majus ALE (8 g/L) (5.08%), and from untreated plants (5.04%).
The abundant concentrations of the main compound, 7-methoxy-4-methylcoumarin (4-methylherniarin), were observed in the EOs extracted from plants treated with Mg (0 g/L)+T. majus ALE (4 g/L) (55.45%), Mg (0 g/L)+T. majus ALE (8 g/L) (45.37%), untreated plants (41.94%), and Mg (6 g/L)+T. majus ALE (0 g/L) (41.00%). The highest percentages of longiverbenone were observed in the EOs from plants treated with Mg (0 g/L)+T. majus ALE (4 g/L) (5.90%), Mg (4 g/L)+T. majus ALE (0 g/L) (4.77%), Mg (8 g/L)+T. majus ALE (4 g/L) (4.25%) and Mg (8 g/L)+T. majus ALE (6 g/L) (4.08%). The highest percentages, 3.09 and 3.01%, of caryophylla-4(12),8(13)-dien-5α-ol were observed in the EOs from treated plants with Mg (0 g/L)+T. majus ALE (4 g/L) and Mg (0 g/L)+T. majus ALE (6 g/L), respectively.
3.7. Antibacterial Activity
A. abrotanum EOs were found to be effective against only P. carotovorum subsp. carotovorum, unlike Pectobacterium atrosepticum. Figure 4 shows the overall effect of A. abrotanum EOs against P. carotovorum subsp. carotovorum isolate. The minimum inhibitory concentration (MIC) of A. abrotanum EOs was 75 μg/mL against P. carotovorum subsp. carotovorum bacterial isolate and the inhibition zones (IZs) ranged from 1 to 5 mm for a concentration of 100 μg/mL compared to 6 mm from the positive control Neomycin Sulphate (20 µg/disc). With increasing A. abrotanum EO concentration, the activity was increased at 100 and 75 μg/mL, as measured by the IZ. No IZs were found against the growth of P. atrosepticum as the MIC was MIC > 1000 μg/mL.
Figure 4.
Antibacterial activity of the essential oils from Artemisia abrotanum against the plant pathogen bacterium Pectobacterium carotovorum subsp. carotovorum. *; The interaction between Mg+T. majus ALE and their concentration (Conc.).
4. Discussion
Using Mg in conjunction with T. majus ALE as biostimulants encouraged the growth of A. abrotanum.
4.1. Role of Mg in Enhancing A. abrotanum Plants
Most of the investigated parameters (plant height, total fresh weight, number of branches/plants, essential oil (EO%), chlorophyll-a content, chlorophyll-b content, and carotenoid content) rose in the treated A. abrotanum plants with Mg in the form of magnesium sulfate at 4, 6, and 8 g/L as compared to the untreated A. abrotanum plants. The application of Mg significantly improved the plant’s growth and yield.
Mg is a necessary cofactor for several enzymes involved in photosynthetic CO2 fixation and chlorophyll production [55,56]. Additionally, Mg is necessary for several biological functions, including pollen production, energy metabolism, N intake, plant-microbe interactions, stress tolerance, and sucrose transport [56,57,58,59,60]. Magnesium sulfate (4 g/L) produced the highest aerial biomass production and EO of Dracocephalum moldavica [61]. Mg supplements are necessary for increasing the antioxidant capacity of tea plants, decreasing growth inhibition brought on by acid stress in the root environment, and increasing the amount of chlorophyll and the vitality of the roots [62]. Mg as a foliar application for Mentha crispa decreased lipid peroxidation and osmotic stress while increasing root development, plant biomass, EO production, leaf area, chlorophyll content, soluble sugar synthesis, and antioxidant enzyme activity [63].
Furthermore, it is well recognized that Mg is crucial to the plant’s ability to produce the EO. This element is a crucial cofactor of terpene synthase enzymes (TPS) in addition to its well-known functions. For instance, sesquiterpene synthases prefer Mg, but monoterpene synthases have less stringent requirements for divalent cations [64,65]. Instead of an overabundance of Mn, a shortage of Mg increased the fraction of monoterpenes [66].
The foliar application of Fe (3 g/L), Mg (8 g/L), or Mn (300 mg/L) significantly improved the plant’s growth, yield, EO constituents, and chemical composition of A. abrotanum, when compared to the control [67]. Mg (370 and 740 mg/L MgSO4) has a beneficial effect on the structural cultural growth of Chamomilla recutita as well as the quantity and quality of the EO produced [68]. Mg at 0.8 mM dramatically raised water-soluble extracts, amino acids, and polyphenols in tea leaves under acid stress.
4.2. Role of T. majus ALE in Enhancing A. abrotanum Plants
In the present work, T. majus ALE was characterized by the presence of several compounds, including chlorogenic acid, catechol, syringic acid, caffeic acid, pyrogallol, ferulic acid, naringin, rutin, quercetin, kaempferol, luteolin, apigenin, and catechin. Through its bioactive substances to reduce abiotic stress, or by providing the treated plants with important components like vitamins and menials that can dissolve in water extraction, T. majus ALE, as a biostimulant, could increase the development and production of A. abrotanum plants. Its growth-stimulating phytohormones enhance apical meristem activity leading to cell division and elongation. Therefore, chemical fertilizers and manufactured growth regulators can be safely replaced with plant extracts. When sprayed on treated plants, natural extracts also contain minerals like Fe, N, K, Zn, Mg, P, and Ca, as well as carbohydrates that are absorbed by the leaves and increase the plants’ growth activity.
In a previous study, it was reported that T. majus ALEs were characterized by the presence of esters of quinic acid with cinnamic acids (chlorogenic acids, p-coumaroylquinic acids) and flavonoids [26]. The major phenolic acids from T. majus ALE, identified by HPLC-RP with UV detection were gallic, caffeic, and p-coumaric, and the predominant flavonoids were quercetin, epicatechin, and luteolin [33]. Additionally, this plant contains various flavonoids, including kaempferol glucoside and quercetin-3-O-glucoside [69].
Sustainable horticultural production techniques require the use of natural plant biostimulants. Extracts from leaves are among the many plant-derived biostimulants that are attracting interest worldwide. Biostimulants generated from natural plants have the potential to enhance horticultural products’ growth, productivity, and quality after harvest. Under abiotic stress, biostimulants, a new class of crop management chemicals, can increase the yield of crops [70]. According to several studies, using extracts from plants could boost their defenses and make them more resilient to abiotic stressors [71,72]. In addition to the previously mentioned phytohormones, mineral components, and vitamins, this is most likely caused by plant-derived extracts that contain antioxidants, osmoprotectants, and secondary metabolites [73]. Exogenous administration of plant extracts like moringa leaf extract, for instance, reduces the negative effects of gamma rays, high temperatures, salt and dehydration, and heavy metals [74,75,76].
4.3. The Effect of the Combination Treatments of Mg with T. majus ALE
In the present work, the combination treatments of Mg with T. majus ALE enhanced the growth parameters of A. abrotanum plants. Their interactions have the potential to greatly improve A. abrotanum’s growth characteristics and biochemical synthesis. Similarly, moringa leaf extract alone, and in combination with K and Zn, can improve fruit quality parameters, such as soluble solid contents, vitamin C, sugars, total antioxidant and phenolic contents, and activities of superoxide dismutase and catalase enzymes in ‘Kinnow’ mandarin [77].
Additive, synergistic, or antagonistic interactions may result from the combination of two or more biostimulants. Furthermore, the combined effect may differ from the individual effects of each biostimulant [78]. When Diplotaxis tenuifolia plants were treated with a mixture of three biostimulants, their dry biomass and total yield increased by an average of 48.1% and 37.2%, respectively. Additionally, the plants’ chlorophyll, K, Mg, and Ca contents increased in comparison to the untreated plants when using combination treatments [79,80,81]. Foliar magnesium combined with maize grain extract increased the levels of macronutrients, such as magnesium in plants, which is depleted in sandy environments. It also increased the levels of antioxidants, plant metabolites, and hormones in sunflower plants grown in sandy environments [82].
4.4. The Chemical Compounds of the Essential Oils
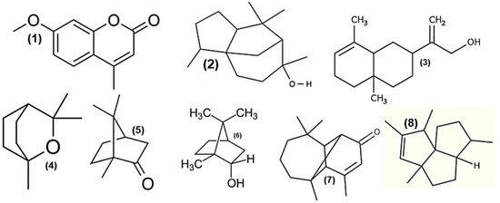
By the analysis of the GC–MS apparatus, the abundant compounds in the EOs extracted by the hydrodistillation method from A. abrotanum leaves as affected by Mg and T. majus ALE treatments were 7-methoxy-4-methylcoumarin (4-methylherniarin), cedrol, α-costol, eucalyptol, camphor, endo-borneol, camphene, m-cymene, ascaridole, germacrene D, isoaromadendrene epoxide, ledene alcohol, 7-epi-silphiperfol-5-ene, 1,5,9,9-tetramethyl-2-methylene-spiro[3.5]non-5-ene, longiverbenone, β-caryophyllene oxide, and caryophylla-4(12),8(13)-dien-5α-ol. Figure 5 presents the chemical structure of the most abundant compounds.
Figure 5.
The chemical structure of (1) 7-methoxy-4-methylcoumarin (4-methylherniarin), (2) cedrol, (3) α-costol, (4) eucalyptol, (5) camphor, (6) endo-borneol, (7) longiverbenone, and (8) 7-epi-silphiperfol-5-ene.
7-Methoxy-4-methylcoumarin (4-methylherniarin), a coumarin compound, was identified as the main compound in the EOs from A. abrotanum leaves by the hydrodistillation method. This method is used primarily to extract EOs, including those containing coumarins. In this method, steam is passed through the source material, vaporizing compounds. The steam and extracted compounds are condensed and collected separately, with the EO enriched in coumarins obtained as the distillate [83]. It was also reported that the primary constituents extracted from the EO of aerial parts of A. abrotanum were camphor, β-eudesmol, and 2-hydroxy-1,8-cineole [67]. The main chemicals found in A. abrotanum included borneol, cymene, camphor, terpineol, 1,8-cineole, and aromadendrene [84].
4.5. The Antibacterial Activity of the Essential Oils
The antimicrobial activities of the EOs from A. abrotanum showed weak activity against the plant pathogen bacterium Pectobacterium carotovorum subsp. carotovorum and no activity was found against Pectobacterium atrosepticum. However, most of the antimicrobial activities of the EOs from A. abrotanum as shown in the literature were assayed against human or animal pathogens.
Among some EOs, the higher sensitivity of soft rot of potato tuber bacteria was manifested in clove (P. carotovorum subsp. carotovorum and P. atrosepticum), mint (P. carotovorum subsp. carotovorum), oregano (P. atrosepticum), and thyme (P. atrosepticum) EOs., while rosemary EO was the least effective [36]. It was found that P. carotovorum subsp. brasiliensis was suppressed by EOs from rosemary, tea tree, and clove at 1%, 0.75%, and 0.25%, respectively, after 48 h of incubation [85]. These findings are consistent with our conclusions about the effect of wormwood on P. carotovorum. The EOs of cinnamon (MIC 128 mg/L) and oregano (MIC 256 mg/L) were the most efficient against P. carotovorum subsp. carotovorum after harvest [86]. Rosemary and tea tree (MIC > 1024 mg/L) were ineffective at the concentrations used. These results are consistent with our previous findings that wormwood had little impact on P. atrosepticum.
The EO isolated from the herb of A. abrotanum showed a potential activity against the growth of Escherichia coli, Pseudomonas aeruginosa, Staphylococcus aureus, Proteus vulgaris, and Aspergillus flavus [87]. The EOs’ chemicals found in A. abrotanum plants were responsible for inhibiting the growth of Staphylococcus aureus, Bacillus subtillis, Salmonella typhi, Escherichia coli, and Candida albicans [84].
Finally, natural biostimulant feedstocks include leaf, root, or seed extracts, either individually or in combination with others. Their positive effect on horticultural production is mostly due to plant growth-enhancing bioactive compounds such as phytohormones, amino acids, and nutrients.
The usage of surfactants for the crude extract is one of the study’s limitations; more investigation and testing with various surfactants are required. In the future, this can be accomplished using several formulation studies. It is crucial to remember that some factors can impact the bioactivity of the applied extract, which requires more research. This work therefore paves the way for additional investigation into the long-term effects, or shelf life, of plant extracts when used in the field.
5. Conclusions
The application of magnesium in the form of magnesium sulfate to the soil and Tropaeolum majus aqueous leaf extract as a foliar application significantly influenced the plant yield and essential oil content of Artemisia abrotanum plants. This study recommends the combination treatments of Mg (g/L)+Tropaeolum majus aqueous leaf extract (g/L) at 8+4, 8+6, or 8+8 g/L, with no significant difference among them to enhance the vegetative growth (plant height, total fresh weight, and number of branches/plant) compared to the untreated plants. For the essential oils and photosynthetic pigments, this study recommends the combination treatments of Mg (g/L)+Tropaeolum majus aqueous leaf extract (g/L) at 8+6 or 8+8 g/L, compared to the untreated plants. As a natural source of a complex mixture of micronutrients, polysaccharides, and plant growth hormones, natural plant extracts can improve horticultural product quality, boost plant resistance to abiotic stresses, increase plant growth, flowering, and productivity, decrease fertilizer application rates, and replace synthetic plant regulators. One essential sustainable method for increasing cropping systems’ efficiency and productivity—and, more critically, their environmental impact—is using plant extracts, and elemental nutrients in particular, as biostimulants in horticulture crops.
Supplementary Materials
The following supporting information can be downloaded at: https://www.mdpi.com/article/10.3390/horticulturae11030328/s1, Figure S1: The arrangement of the experimental work; Figure S2: The GC-MS chromatograms of the isolated essential oil compounds from Artemisia abrotanum as affected by the magnesium and Tropaeolum majus aqueous leaf extract in a field experiment.
Author Contributions
Formal analysis, M.E.-H.; methodology, M.E.-H. and A.A.M.; software, M.E.-H. and A.A.M., validation, M.E.-H. and A.A.M.; investigation, M.E.-H. and A.A.M.; resources, M.E.-H. and A.A.M.; data curation, M.E.-H.; writing—original draft preparation, M.E.-H. and A.A.M.; writing—review and editing, M.E.-H. and A.A.M.; visualization, M.E.-H. and A.A.M.; supervision, M.E.-H. All authors have read and agreed to the published version of the manuscript.
Funding
This research received no external funding.
Data Availability Statement
Data are contained within the article and Supplementary Materials.
Acknowledgments
The authors would like to thank Mamoun S. M. Abd El-Kareem, Atomic and Molecular Physics Unit, Experimental Nuclear Physics Department, Nuclear Research Center, Egyptian Atomic Energy Authority, Egypt, for his help in GC-MS analysis.
Conflicts of Interest
The authors declare no conflicts of interest.
References
- Ekiert, H.; Knut, E.; Świątkowska, J.; Klin, P.; Rzepiela, A.; Tomczyk, M.; Szopa, A. Artemisia abrotanum L. (Southern Wormwood)—History, Current Knowledge on the Chemistry, Biological Activity, Traditional Use and Possible New Pharmaceutical and Cosmetological Applications. Molecules 2021, 26, 2503. [Google Scholar] [CrossRef] [PubMed]
- Melzig, M.F. Artemisia abrotanum L., Eberraute. Z. Für Phytother. 2019, 40, 283–288. [Google Scholar] [CrossRef]
- Varothai, S.; Bunyaratavej, S.; Leeyaphan, C.; Phaitoonwattanakij, S.; Winayanuwattikun, W.; Munprom, K. Pilot Study of the Efficacy and Safety of Nail Gel Containing Artemisia abrotanum Extract and Glycerin in the Treatment of Nail Plate Surface Abnormality. Siriraj Med. J. 2021, 73, 204–208. [Google Scholar] [CrossRef]
- Hrytsyk, R.A.; Kutsyk, R.V.; Yurchyshyn, O.I.; Struk, O.A.; Kireev, I.V.; Grytsyk, A.R. The investigation of antimicrobial and antifungal activity of some Artemisia L. species. Pharmacia 2021, 68, 93–100. [Google Scholar] [CrossRef]
- Trendafilova, A.; Moujir, L.M.; Sousa, P.M.C.; Seca, A.M.L. Research Advances on Health Effects of Edible Artemisia Species and Some Sesquiterpene Lactones Constituents. Foods 2020, 10, 65. [Google Scholar] [CrossRef]
- Dib, I.; Idrissi, A.; Fakchich, J.; Diass, K.; Oualdi, I.; Abderrahim, Z.; Touzani, R.; Chaachouay, N.; Bussmann, R.W.; Elachouri, M. Artemisia abrotanum L. Artemisia absinthium L. Artemisia annua L. Artemisia arborescens (Vaill.) L. Artemisia atlantica Coss. Artemisia campestris subsp. campestris L. Artemisia judaica L. Artemisia judaica subsp. sahariensis (L.Chevall.) Maire Artemisia mesatlantica Maire Artemisia monosperma Delile Artemisia verlotiorum Lamotte Artemisia vulgaris L. Seriphidium herba-alba (Asso) Y.R. Ling Seriphidium huguetii (Caball.) Dobignard Seriphidium sieberi (Besser) K.Bremer & Humphries ex Y.R. Ling Asteraceae. In Ethnobotany of Northern Africa and Levant. Ethnobotany of Mountain Regions; Bussmann, R.W., Elachouri, M., Kikvidze, Z., Eds.; Springer: Cham, Switzerland, 2024. [Google Scholar] [CrossRef]
- Vaughan, J.; Geissler, C. The New Oxford Book of Food Plants; OUP Oxford: Oxford, UK, 2009. [Google Scholar]
- Cubukcu, B.; Bray, D.H.; Warhurst, D.C.; Mericli, A.H.; Ozhatay, N.; Sariyar, G. In vitro antimalarial activity of crude extracts and compounds from Artemisia abrotanum L. Phytother. Res. 1990, 4, 203–204. [Google Scholar] [CrossRef]
- Yakhin, O.I.; Lubyanov, A.A.; Yakhin, I.A.; Brown, P.H. Biostimulants in Plant Science: A Global Perspective. Front. Plant Sci. 2016, 7, 2049. [Google Scholar] [CrossRef]
- Caradonia, F.; Battaglia, V.; Righi, L.; Pascali, G.; La Torre, A. Plant Biostimulant Regulatory Framework: Prospects in Europe and Current Situation at International Level. J. Plant Growth Regul. 2019, 38, 438–448. [Google Scholar] [CrossRef]
- Gerendás, J.; Führs, H. The significance of magnesium for crop quality. Plant Soil 2013, 368, 101–128. [Google Scholar] [CrossRef]
- Ahmed, N.; Zhang, B.; Bozdar, B.; Chachar, S.; Rai, M.; Li, J.; Li, Y.; Hayat, F.; Chachar, Z.; Tu, P. The power of magnesium: Unlocking the potential for increased yield, quality, and stress tolerance of horticultural crops. Front. Plant Sci. 2023, 14, 1285512. [Google Scholar] [CrossRef]
- Ishfaq, M.; Wang, Y.; Yan, M.; Wang, Z.; Wu, L.; Li, C.; Li, X. Physiological Essence of Magnesium in Plants and Its Widespread Deficiency in the Farming System of China. Front. Plant Sci. 2022, 13, 802274. [Google Scholar] [CrossRef]
- Fiorentini, D.; Cappadone, C.; Farruggia, G.; Prata, C. Magnesium: Biochemistry, nutrition, detection, and social impact of diseases linked to its deficiency. Nutrients 2021, 13, 1136. [Google Scholar] [CrossRef] [PubMed]
- Cakmak, I.; Yazici, A.M. Magnesium: A forgotten element in crop production. Better Crops 2010, 94, 23–25. [Google Scholar]
- Silva, T.d.S.; Silva, A.P.S.e.; de Almeida Santos, A.; Ribeiro, K.G.; Souza, D.C.d.; Bueno, P.A.A.; Marques, M.M.M.; Almeida, P.M.d.; Peron, A.P. Cytotoxicity, Genotoxicity, and Toxicity of Plant Biostimulants Produced in Brazil: Subsidies for Determining Environmental Risk to Non-Target Species. Water Air Soil Pollut. 2020, 231, 233. [Google Scholar] [CrossRef]
- Nephali, L.; Piater, L.A.; Dubery, I.A.; Patterson, V.; Huyser, J.; Burgess, K.; Tugizimana, F. Biostimulants for Plant Growth and Mitigation of Abiotic Stresses: A Metabolomics Perspective. Metabolites 2020, 10, 505. [Google Scholar] [CrossRef]
- Bartucca, M.L.; Cerri, M.; Del Buono, D.; Forni, C. Use of Biostimulants as a New Approach for the Improvement of Phytoremediation Performance—A Review. Plants 2022, 11, 1946. [Google Scholar] [CrossRef]
- Malik, A.; Mor, V.S.; Tokas, J.; Punia, H.; Malik, S.; Malik, K.; Sangwan, S.; Tomar, S.; Singh, P.; Singh, N.; et al. Biostimulant-Treated Seedlings under Sustainable Agriculture: A Global Perspective Facing Climate Change. Agronomy 2021, 11, 14. [Google Scholar] [CrossRef]
- Ertani, A.; Sambo, P.; Nicoletto, C.; Santagata, S.; Schiavon, M.; Nardi, S. The use of organic biostimulants in hot pepper plants to help low input sustainable agriculture. Chem. Biol. Technol. Agric. 2015, 2, 11. [Google Scholar] [CrossRef]
- El-Hefny, M.; Hussien, M.K. Enhancing the growth and essential oil components of Lavandula latifolia using Malva parviflora extract and humic acid as biostimulants in a field experiment. Sci. Rep. 2025, 15, 774. [Google Scholar] [CrossRef]
- Kisvarga, S.; Farkas, D.; Boronkay, G.; Neményi, A.; Orlóci, L. Effects of biostimulants in horticulture, with emphasis on ornamental plant production. Agronomy 2022, 12, 1043. [Google Scholar] [CrossRef]
- Posmyk, M.M.; Szafrańska, K. Biostimulators: A New Trend towards Solving an Old Problem. Front. Plant Sci. 2016, 7, 748. [Google Scholar] [CrossRef] [PubMed]
- Zuzunaga-Rosas, J.; Boscaiu, M.; Vicente, O. Agroindustrial By-Products as a Source of Biostimulants Enhancing Responses to Abiotic Stress of Horticultural Crops. Int. J. Mol. Sci. 2024, 25, 3525. [Google Scholar] [CrossRef] [PubMed]
- Wazeer, H.; Shridhar Gaonkar, S.; Doria, E.; Pagano, A.; Balestrazzi, A.; Macovei, A. Plant-Based Biostimulants for Seeds in the Context of Circular Economy and Sustainability. Plants 2024, 13, 1004. [Google Scholar] [CrossRef] [PubMed]
- Bazylko, A.; Granica, S.; Filipek, A.; Piwowarski, J.; Stefańska, J.; Osińska, E.; Kiss, A.K. Comparison of antioxidant, anti-inflammatory, antimicrobial activity and chemical composition of aqueous and hydroethanolic extracts of the herb of Tropaeolum majus L. Ind. Crops Prod. 2013, 50, 88–94. [Google Scholar] [CrossRef]
- Garzón, G.A.; Wrolstad, R.E. Major anthocyanins and antioxidant activity of Nasturtium flowers (Tropaeolum majus). Food Chem. 2009, 114, 44–49. [Google Scholar] [CrossRef]
- Niizu, P.Y.; Rodriguez-Amaya, D.B. Flowers and Leaves of Tropaeolum majus L. as Rich Sources of Lutein. J. Food Sci. 2005, 70, S605–S609. [Google Scholar] [CrossRef]
- Gasparotto Junior, A.; Gasparotto, F.M.; Lourenço, E.L.B.; Crestani, S.; Stefanello, M.E.A.; Salvador, M.J.; da Silva-Santos, J.E.; Marques, M.C.A.; Kassuya, C.A.L. Antihypertensive effects of isoquercitrin and extracts from Tropaeolum majus L.: Evidence for the inhibition of angiotensin converting enzyme. J. Ethnopharmacol. 2011, 134, 363–372. [Google Scholar] [CrossRef]
- Youwei, Z.; Jinlian, Z.; Yonghong, P. A comparative study on the free radical scavenging activities of some fresh flowers in southern China. LWT Food Sci. Technol. 2008, 41, 1586–1591. [Google Scholar] [CrossRef]
- Bawazeer, S.; Rauf, A.; Shah, S.U.A.; Shawky, A.M.; Al-Awthan, Y.S.; Bahattab, O.S.; Uddin, G.; Sabir, J.; El-Esawi, M.A. Green synthesis of silver nanoparticles using Tropaeolum majus: Phytochemical screening and antibacterial studies. Green Process. Synth. 2021, 10, 85–94. [Google Scholar] [CrossRef]
- Mlcek, J.; Rop, O. Fresh edible flowers of ornamental plants—A new source of nutraceutical foods. Trends Food Sci. Technol. 2011, 22, 561–569. [Google Scholar] [CrossRef]
- Jurca, T.; Baldea, I.; Filip, G.; Olteanu, D.; Clichici, S.; Pallag, A.; Vicas, L.; Marian, E.; Micle, O.; Muresan, M. The effect of Tropaeolum majus L. on bacterial infections and in vitro efficacy on apoptosis and DNA lesions in hyperosmotic stress. J. Physiol. Pharmacol. 2018, 69, 391–401. [Google Scholar]
- Su, Z.; Liu, X.; Guo, Q.; Xuan, L.; Lu, X.; Dong, L.; Zhang, X.; Wang, P.; Zhao, W.; Qu, Y.; et al. Insights into complex infection by two Pectobacterium species causing potato blackleg and soft rot. Microbiol. Res. 2022, 261, 127072. [Google Scholar] [CrossRef] [PubMed]
- Abdelkader, M.; Zargar, M.; Murtazova, K.M.-S.; Nakhaev, M.R. Life Cycle Assessment of the Cultivation Processes for the Main Vegetable Crops in Southern Egypt. Agronomy 2022, 12, 1527. [Google Scholar] [CrossRef]
- Jílková, B.; Víchová, J.; Holková, L.; Pluháčková, H.; Michutová, M.; Kmoch, M. Laboratory Efficacy of Essential Oils Against Pectobacterium carotovorum Subsp. carotovorum and Pectobacterium atrosepticum Causing Soft Rot of Potato Tubers. Potato Res. 2024. [Google Scholar] [CrossRef]
- Bastas, K.K. Chapter 10—Bacterial diseases of potato and their control. In Potato Production Worldwide; Çalişkan, M.E., Bakhsh, A., Jabran, K., Eds.; Academic Press: Cambridge, MA, USA, 2023; pp. 179–197. [Google Scholar]
- Levaj, B.; Pelaić, Z.; Galić, K.; Kurek, M.; Ščetar, M.; Poljak, M.; Dite Hunjek, D.; Pedisić, S.; Balbino, S.; Čošić, Z. Maintaining the quality and safety of fresh-cut potatoes (Solanum tuberosum): Overview of recent findings and approaches. Agronomy 2023, 13, 2002. [Google Scholar] [CrossRef]
- Lamichhane, J.R.; Bartoli, C. Plant pathogenic bacteria in open irrigation systems: What risk for crop health? Plant Pathol. 2015, 64, 757–766. [Google Scholar] [CrossRef]
- Mamphogoro, T.P.; Babalola, O.O.; Aiyegoro, O.A. Sustainable management strategies for bacterial wilt of sweet peppers (Capsicum annuum) and other Solanaceous crops. J. Appl. Microbiol. 2020, 129, 496–508. [Google Scholar] [CrossRef]
- Hajian-Maleki, H.; Baghaee-Ravari, S.; Moghaddam, M. Herbal essential oils exert a preservative effect against the potato soft rot disease. Sci. Hortic. 2021, 285, 110192. [Google Scholar] [CrossRef]
- Elbanoby, N.E.; El-Settawy, A.A.A.; Mohamed, A.A.; Salem, M.Z.M. Phytochemicals derived from Leucaena leucocephala (Lam.) de Wit (Fabaceae) biomass and their antimicrobial and antioxidant activities: HPLC analysis of extracts. Biomass Convers. Biorefin. 2024, 14, 14593–14609. [Google Scholar] [CrossRef]
- Shadid, K.A.; Shakya, A.K.; Naik, R.R.; Jaradat, N.; Farah, H.S.; Shalan, N.; Khalaf, N.A.; Oriquat, G.A. Phenolic Content and Antioxidant and Antimicrobial Activities of Malva sylvestris L., Malva oxyloba Boiss., Malva parviflora L., and Malva aegyptia L. Leaves Extract. J. Chem. 2021, 2021, 8867400. [Google Scholar] [CrossRef]
- Ngamkhae, N.; Monthakantirat, O.; Chulikhit, Y.; Boonyarat, C.; Maneenet, J.; Khamphukdee, C.; Kwankhao, P.; Pitiporn, S.; Daodee, S. Optimization of extraction method for Kleeb Bua Daeng formula and comparison between ultrasound-assisted and microwave-assisted extraction. J. Appl. Res. Med. Aromat. Plants 2022, 28, 100369. [Google Scholar] [CrossRef]
- Alkharpotly, A.A.; Abd-Elkader, D.Y.; Salem, M.Z.M.; Hassan, H.S. Growth, productivity and phytochemicals of Coriander in responses to foliar application of Acacia saligna fruit extract as a biostimulant under field conditions. Sci. Rep. 2024, 14, 2921. [Google Scholar] [CrossRef]
- El-Hefny, M.; Mohamed, A.A.; Abdelkhalek, A.; Salem, M.Z.M. Productivity and phytochemicals of Asclepias curassavica in response to compost and silver nanoparticles application: HPLC analysis and antibacterial activity of extracts. Plants 2023, 12, 2274. [Google Scholar] [CrossRef]
- Sumanta Nayek, S.N.; Haque, C.; Nishika Jaishee, N.J.; Suprakash Roy, S.R. Spectrophotometric analysis of chlorophylls and carotenoids from commonly grown fern species by using various extracting solvents. Res. J. Chem. Sci. 2014, 4, 63–69. [Google Scholar]
- Arnon, D.I. Copper enzymes in isolated chloroplasts. Polyphenoloxidase in Beta vulgaris. Plant Physiol. 1949, 24, 1–15. [Google Scholar] [CrossRef]
- Wellburn, A.R. The Spectral Determination of Chlorophylls a and b, as well as Total Carotenoids, Using Various Solvents with Spectrophotometers of Different Resolution. J. Plant Physiol. 1994, 144, 307–313. [Google Scholar] [CrossRef]
- Abd El-Kareem, M.S.M.; Rabbih, M.A.; Rashad, A.M.; El-Hefny, M. Essential oils from fennel plants as valuable chemical products: Gas chromatography–mass spectrometry, FTIR, quantum mechanical investigation, and antifungal activity. Biomass Convers. Biorefin. 2024. [Google Scholar] [CrossRef]
- Mikaia, A.; White, E.; Zaikin, V.; Zhu, D.; Sparkman, O.D.; Neta, P.; Zenkevich, I. NIST Standard Reference Database 1A. Standard Reference Data; NIST: Gaithersburg, MD, USA, 2014. Available online: https://www.nist.gov/srd/nist-standard-reference-database-1a (accessed on 11 May 2014).
- Taha, A.S.; Ibrahim, I.H.M.; Abo-Elgat, W.A.A.; Abdel-Megeed, A.; Salem, M.Z.M.; El-Kareem, M.S.M.A. GC–MS, quantum mechanics calculation and the antifungal activity of river red gum essential oil when applied to four natural textiles. Sci. Rep. 2023, 13, 18214. [Google Scholar] [CrossRef]
- Abdelsalam, N.R.; Salem, M.Z.M.; Ali, H.M.; Mackled, M.I.; El-Hefny, M.; Elshikh, M.S.; Hatamleh, A.A. Morphological, biochemical, molecular, and oil toxicity properties of Taxodium trees from different locations. Ind. Crops Prod. 2019, 139, 111515. [Google Scholar] [CrossRef]
- El-Hefny, M.; Mohamed, A.A.; Salem, M.Z.M.; Abd El-Kareem, M.S.M.; Ali, H.M. Chemical composition, antioxidant capacity and antibacterial activity against some potato bacterial pathogens of fruit extracts from Phytolacca dioica and Ziziphus spina-christi grown in Egypt. Sci. Hortic. 2018, 233, 225–232. [Google Scholar] [CrossRef]
- Peng, W.T.; Zhang, L.D.; Zhou, Z.; Fu, C.; Chen, Z.C.; Liao, H. Magnesium promotes root nodulation through facilitation of carbohydrate allocation in soybean. Physiol. Plant. 2018, 163, 372–385. [Google Scholar] [CrossRef] [PubMed]
- Chen, Z.C.; Peng, W.T.; Li, J.; Liao, H. Functional dissection and transport mechanism of magnesium in plants. Semin. Cell Dev. Biol. 2018, 74, 142–152. [Google Scholar] [CrossRef] [PubMed]
- Xu, X.-F.; Wang, B.; Lou, Y.; Han, W.-J.; Lu, J.-Y.; Li, D.-D.; Li, L.-G.; Zhu, J.; Yang, Z.-N. Magnesium Transporter 5 plays an important role in Mg transport for male gametophyte development in Arabidopsis. Plant J. 2015, 84, 925–936. [Google Scholar] [CrossRef] [PubMed]
- Tian, X.-Y.; He, D.-D.; Bai, S.; Zeng, W.-Z.; Wang, Z.; Wang, M.; Wu, L.-Q.; Chen, Z.-C. Physiological and molecular advances in magnesium nutrition of plants. Plant Soil 2021, 468, 1–17. [Google Scholar] [CrossRef]
- Li, D.; Ma, W.; Wei, J.; Mao, Y.; Peng, Z.; Zhang, J.; Kong, X.; Han, Q.; Fan, W.; Yang, Y.; et al. Magnesium promotes root growth and increases aluminum tolerance via modulation of nitric oxide production in Arabidopsis. Plant Soil 2020, 457, 83–95. [Google Scholar] [CrossRef]
- Ishfaq, M.; Zhong, Y.; Wang, Y.; Li, X. Magnesium Limitation Leads to Transcriptional Down-Tuning of Auxin Synthesis, Transport, and Signaling in the Tomato Root. Front. Plant Sci. 2021, 12, 802399. [Google Scholar] [CrossRef]
- Nejatzadeh, F. Effect of biofertilizer and magnesium sulfate on the components of essential oil of Dracocephalum moldavica. Biocatal. Agric. Biotechnol. 2020, 27, 101671. [Google Scholar] [CrossRef]
- Lv, X.; Kong, H.; Luo, Y.; Dong, D.; Liu, W.; Wu, D.; Ye, Z.; Ma, J.; Liu, D. The Impact of Magnesium on the Growth, Physiology and Quality of Tea (Camellia sinensis L.) Plants under Acid Stress. Agronomy 2024, 14, 767. [Google Scholar] [CrossRef]
- Khanchi, S.; Hashemi Khabir, S.H.; Hashemi Khabir, S.H.; Golmoghani Asl, R.; Rahimzadeh, S. The role of magnesium oxide foliar sprays in enhancing mint (Mentha crispa L.) tolerance to cadmium stress. Sci. Rep. 2024, 14, 14823. [Google Scholar] [CrossRef]
- Rohdich, F.; Lauw, S.; Kaiser, J.; Feicht, R.; Köhler, P.; Bacher, A.; Eisenreich, W. Isoprenoid biosynthesis in plants—2C-methyl-d-erythritol-4-phosphate synthase (IspC protein) of Arabidopsis thaliana. FEBS J. 2006, 273, 4446–4458. [Google Scholar] [CrossRef]
- Köllner, T.G.; Held, M.; Lenk, C.; Hiltpold, I.; Turlings, T.C.J.; Gershenzon, J.; Degenhardt, J.r. A Maize (E)-β-Caryophyllene Synthase Implicated in Indirect Defense Responses against Herbivores Is Not Expressed in Most American Maize Varieties. Plant Cell 2008, 20, 482–494. [Google Scholar] [CrossRef] [PubMed]
- Farzadfar, S.; Zarinkamar, F.; Hojati, M. Magnesium and manganese affect photosynthesis, essential oil composition and phenolic compounds of Tanacetum parthenium. Plant Physiol. Biochem. 2017, 112, 207–217. [Google Scholar] [CrossRef] [PubMed]
- Khalid, K.A.; El-Gohary, A.E. Productivity of wormwood (Artemisia abrotanum) enhanced by trace elements. Bull. Natl. Res. Cent. 2020, 44, 120. [Google Scholar] [CrossRef]
- Szöke, É.; Máday, E.; Kiss, S.A.; Sonnewend, L.; Lemberkovics, É. Effect of Magnesium on Essential Oil Formation of Genetically Transformed and Non-Transformed Chamomile Cultures. J. Am. Coll. Nutr. 2004, 23, 763S–767S. [Google Scholar] [CrossRef]
- Bazylko, A.; Parzonko, A.; Jeż, W.; Osińska, E.; Kiss, A.K. Inhibition of ROS production, photoprotection, and total phenolic, flavonoids and ascorbic acid content of fresh herb juice and extracts from the leaves and flowers of Tropaeolum majus. Ind. Crops Prod. 2014, 55, 19–24. [Google Scholar] [CrossRef]
- Dubey, S.C.; Kuldeep Sharma, K. Biostimulant: An innovative approach for sustainable crop production. Curr. Sci. 2023, 125, 377–382. [Google Scholar] [CrossRef]
- Zulfiqar, F.; Casadesús, A.; Brockman, H.; Munné-Bosch, S. An overview of plant-based natural biostimulants for sustainable horticulture with a particular focus on moringa leaf extracts. Plant Sci. 2020, 295, 110194. [Google Scholar] [CrossRef]
- Pacyga, K.; Pacyga, P.; Boba, A.; Kozak, B.; Wolko, Ł.; Kochneva, Y.; Michalak, I. Potential of Plant-Based Extracts to Alleviate Sorbitol-Induced Osmotic Stress in Cabbage Seedlings. Plants 2024, 13, 843. [Google Scholar] [CrossRef]
- Ahmad, A.; Blasco, B.; Martos, V. Combating salinity through natural plant extracts based biostimulants: A review. Front. Plant Sci. 2022, 13, 862034. [Google Scholar] [CrossRef]
- Desoky, E.-S.M.; Elrys, A.S.; Rady, M.M. Integrative moringa and licorice extracts application improves Capsicum annuum fruit yield and declines its contaminant contents on a heavy metals-contaminated saline soil. Ecotoxicol. Environ. Saf. 2019, 169, 50–60. [Google Scholar] [CrossRef]
- Abd El-Mageed, T.A.; Semida, W.M.; Rady, M.M. Moringa leaf extract as biostimulant improves water use efficiency, physio-biochemical attributes of squash plants under deficit irrigation. Agric. Water Manag. 2017, 193, 46–54. [Google Scholar] [CrossRef]
- Latif, H.H.; Mohamed, H.I. Exogenous applications of moringa leaf extract effect on retrotransposon, ultrastructural and biochemical contents of common bean plants under environmental stresses. S. Afr. J. Bot. 2016, 106, 221–231. [Google Scholar] [CrossRef]
- Nasir, M.; Khan, A.S.; Basra, S.M.A.; Malik, A.U. Foliar application of moringa leaf extract, potassium and zinc influence yield and fruit quality of ‘Kinnow’ mandarin. Sci. Hortic. 2016, 210, 227–235. [Google Scholar] [CrossRef]
- Colla, G.; Cardarelli, M.; Bonini, P.; Rouphael, Y. Foliar Applications of Protein Hydrolysate, Plant and Seaweed Extracts Increase Yield but Differentially Modulate Fruit Quality of Greenhouse Tomato. HortScience Horts 2017, 52, 1214–1220. [Google Scholar] [CrossRef]
- Giordano, M.; El-Nakhel, C.; Caruso, G.; Cozzolino, E.; De Pascale, S.; Kyriacou, M.C.; Colla, G.; Rouphael, Y. Stand-alone and combinatorial effects of plant-based biostimulants on the production and leaf quality of perennial wall rocket. Plants 2020, 9, 922. [Google Scholar] [CrossRef]
- Fernandes, Â.; Polyzos, N.; Mandim, F.; Pereira, C.; Petrović, J.; Soković, M.; Petropoulos, S.A. Combined effect of biostimulants and mineral fertilizers on crop performance and fruit quality of watermelon plants. Horticulturae 2023, 9, 838. [Google Scholar] [CrossRef]
- Mosa, W.F.; Sas-Paszt, L.; Głuszek, S.; Górnik, K.; Anjum, M.A.; Saleh, A.A.; Abada, H.S.; Awad, R.M. Effect of some biostimulants on the vegetative growth, yield, fruit quality attributes and nutritional status of apple. Horticulturae 2023, 9, 32. [Google Scholar]
- Rehman, H.U.; Alharby, H.F.; Alzahrani, Y.; Rady, M.M. Magnesium and organic biostimulant integrative application induces physiological and biochemical changes in sunflower plants and its harvested progeny on sandy soil. Plant Physiol. Biochem. 2018, 126, 97–105. [Google Scholar] [CrossRef]
- Fotsing Yannick Stéphane, F.; Kezetas Jean Jules, B.; El-Saber Batiha, G.; Ali, I.; Ndjakou Bruno, L. Extraction of Bioactive Compounds from Medicinal Plants and Herbs. In Natural Medicinal Plants; El-Shemy, H.A., Ed.; IntechOpen: Rijeka, Croatia, 2022. [Google Scholar] [CrossRef]
- Almahdawy, S.S.; Said, A.M.; Abbas, I.S.; Dawood, A.H. The evaluation of antimicrobial and cytotoxic activity of the essential oil extracted from the aerial parts of southernwood herb (Artemisia abrotanum L.) that recently grown in Iraq. Asian J. Pharm. Clin. Res. 2017, 10, 384–387. [Google Scholar] [CrossRef]
- Queiroz, M.F.; Lima, M.A.G.; Pereira, J.E.; Barroso, K.A.; Da Paz, C.D.; Lucchese, A.M.; Peixoto, A.R. Essential oils in the management of soft rot of kale in the brazilian semiarid region. Biosci. J. 2020, 36, 143–155. [Google Scholar] [CrossRef]
- Bozik, M.; Novy, P.; Kloucek, P. Susceptibility of postharvest pathogens to essential oils. Sci. Agric. Bohem. 2017, 48, 103–111. [Google Scholar]
- Al-Zubairi, A.S.; Al-Mamary, M.A.; Al-Ghasani, E. The antibacterial, antifungal, and antioxidant activities of essential oil from different aromatic plants. Glob. Adv. Res. J. Med. Med. Sci. 2017, 6, 224–233. [Google Scholar]
Disclaimer/Publisher’s Note: The statements, opinions and data contained in all publications are solely those of the individual author(s) and contributor(s) and not of MDPI and/or the editor(s). MDPI and/or the editor(s) disclaim responsibility for any injury to people or property resulting from any ideas, methods, instructions or products referred to in the content. |
© 2025 by the authors. Licensee MDPI, Basel, Switzerland. This article is an open access article distributed under the terms and conditions of the Creative Commons Attribution (CC BY) license (https://creativecommons.org/licenses/by/4.0/).






