Next Article in Journal
Cadmium Tolerance in Tea Plants (Camellia sinensis): Physiological, Biochemical, and Molecular Insights
Previous Article in Journal
Advancing Grapevine Breeding with Reliable SSR Genotyping: The Qsep100 Approach
 
 
Font Type:
Arial Georgia Verdana
Font Size:
Aa Aa Aa
Line Spacing:
Column Width:
Background:
Article

Assessing Water and Nitrogen Management Practices in Drip-Irrigated Desert Lettuce

by
Aliasghar Montazar
1,*,
Daniel Geisseler
2 and
Michael D. Cahn
3
1
Division of Agriculture and Natural Resources, University of California Cooperative Extension Imperial County, 1050 East Holton Road, Holtville, CA 92250, USA
2
Department of Land, Air, and Water Resources, University of California Davis, Davis, CA 95616, USA
3
Division of Agriculture and Natural Resources, University of California Cooperative Extension Monterey County, Salinas, CA 93901, USA
*
Author to whom correspondence should be addressed.
Horticulturae 2025, 11(12), 1507; https://doi.org/10.3390/horticulturae11121507
Submission received: 12 November 2025 / Revised: 1 December 2025 / Accepted: 11 December 2025 / Published: 12 December 2025
(This article belongs to the Section Vegetable Production Systems)

Abstract

Efficient water and nitrogen (N) management is critical for sustainable lettuce production in arid regions. This study evaluated N and water management practices for drip-irrigated desert lettuce over three growing seasons at the University of California Desert Research and Extension Center. Two irrigation levels and three N application rates were tested in 1 m and 2 m wide bed configurations. The CropManage (CM) decision support tool was used to estimate crop water requirements for a 100% evapotranspiration (ET) irrigation treatment and to determine the 100% N rate, with additional treatments at 125% ET and 80–120% of the CM-recommended N rate. CM was also used to verify water and N applications in eight commercial fields. Water levels, N rates, and their interaction had no significant effect on yields, whereas 2 m wide beds produced significantly higher yields than 1 m wide beds (p < 0.05). Higher N rates increased N uptake at harvest and significantly reduced N use efficiency (NUE), while higher water levels reduced water use efficiency (WUE) (p < 0.05). Lettuce N uptake increased linearly from thinning to harvest at an average rate of 2.9 kg ha−1 d−1. Across commercial sites, CM-recommended applications were lower than farmer standard practice, reducing irrigation by 34% (from 364 mm to 239 mm) and N inputs by 29% (from 202 kg ha−1 to 144 kg ha−1). These findings provide refined N-uptake estimates and highlight opportunities to optimize water and N management, positioning CM as a practical decision-support tool for desert lettuce production.

1. Introduction

A significant proportion of the U.S. winter lettuce (Lactuca sativa L.) supply is produced in California’s low desert, especially the Imperial and Coachella Valleys. Lettuce is the leading winter leafy green vegetable crop in the region, growing on more than 18,000 ha with gross sales of nearly $465 million dollars per year [1,2]. Intensive production of cool season vegetables including lettuce crops require high inputs of nitrogen (N) fertilizer and irrigation water, and therefore, there is a considerable risk of nitrate leaching into drainage systems, which ultimately discharge into the Salton Sea and affect limited groundwater supplies. In response to increasing water quality regulations, water conservation demands, rising fertilizer prices, and the challenges of defining site-specific irrigation and N optimization strategies due to varying practices and conditions in desert lettuce production, local farmers are continually seeking new tools and practices to enhance resource use efficiency and improve crop productivity.
Farmers employ diverse irrigation and fertilization strategies using various applications and delivery techniques in desert lettuce [3]. Some common practices are 1 m wide beds in iceberg and romaine lettuce under furrow irrigation, 2 m wide beds in iceberg and romaine lettuce under drip irrigation (three driplines per bed with six plant rows) or sprinkler irrigation, 1 m wide beds in iceberg and romaine lettuce under drip irrigation (one dripline with two plant rows), 2 m wide beds in leaf lettuce under sprinkler irrigation, and germinating fields using sprinkler or drip irrigation. Sprinklers are often used for the first 5 to 7 days or until the seedlings emerge in lettuce fields. Afterwards, the fields are irrigated for the remainder of the season using sprinkler, furrow, or shallow subsurface drip irrigation systems. Innovative farmers have implemented drip irrigation in iceberg and romaine lettuce, extending its use to the establishment phase [4]. A wide range of irrigation water (300–600 mm) is applied during the lettuce crop season and N fertilizer application rates vary from 110 kg ha−1 to more than 300 kg ha−1 depending on type of lettuce, irrigation method, early or late season plantings, plant density, and soil texture [3,4]. Early warm-season lettuce (planting from mid-September to mid-October) has a shorter growth cycle than mid-to-late season lettuce (planting from late-October to early-December) and typically receives less N fertilizer [4].
Extensive evidence from California and Arizona indicates that irrigation practices strongly influence N losses from soils under vegetable cultivation [5]. A study suggested using a management allowable depletion (MAD) of 35–40% of available water at the 30 cm soil depth as a guideline for scheduling irrigations in lettuce [6]. The study found that lettuce yields under furrow irrigation were not significantly affected by N fertilization rates ranging from 112 to 280 kg ha−1 or by irrigation regimes set at 80% and 100% of reference evapotranspiration (ETo). In contrast, other research has shown that drip irrigation can improve crop N use efficiency (NUE) and reduce the risk of N losses [7,8]. In a field study using 15N-labeled fertilizer in lettuce fields, switching from conventional furrow irrigation to drip irrigation markedly decreased fertilizer N losses while increasing N uptake [7].
Soil moisture monitoring is widely recognized as an effective tool for optimizing irrigation in vegetable crops, yet it remains underutilized in desert lettuce production systems [4]. Maintaining soil moisture above critical thresholds can prevent yield reductions while enhancing water use efficiency (WUE). A recent field study demonstrated that precise irrigation scheduling based on soil water content thresholds effectively optimized lettuce production under field conditions [9].
Numerous studies have been conducted on optimizing N and/or irrigation strategies in lettuce [10,11,12,13,14,15,16,17,18]. A wide range of seasonal N application rates required to maximize lettuce marketable yield have been reported by researchers from 100 to 150 kg ha−1 [19,20] to greater than 220 kg ha−1 [21]. This variability may be attributed to site specific factors including plant population, precipitation, irrigation efficiency, residual soil NO3-N (nitrate), and soil N mineralization potential. However, farmers commonly use standard fertilization programs with little site-specific modification. A field survey showed that lettuce fields received an average seasonal N fertilization rate of 184 kg ha−1 in California’s central coast region [22].
Nutrient uptake patterns have been widely used to guide the development of efficient N management strategies for vegetable crops [23]. In field trials using drip irrigation, lettuce N uptake averaged 130 kg ha−1 for iceberg lettuce and 106 kg ha−1 for romaine lettuce [24]. Other research has shown that seasonal N requirements can be considerably lower than those applied in typical commercial practice; for example, minimal yield response was observed when N application exceeded 70 kg ha−1 in soils with adequate residual N [22]. Likewise, studies have demonstrated that supplying N fertilizer in combination with other nutrients can increase lettuce yield by 14–22% compared with unfertilized controls, highlighting the strong positive influence of balanced fertilization on yield productivity [25]. Field studies conducted under Mediterranean conditions further indicate that lettuce requires substantial N to sustain rapid biomass accumulation, with optimal crop N uptake ranging from 80 to 125 kg ha−1 to produce 2.5–4.3 Mg ha−1 of dry biomass, confirming the crop’s high and concentrated N demand [26]. However, earlier work also showed that increasing N fertilization not only elevated soil total N available but also raised nitrate concentrations in lettuce leaves, suggesting that excessive N inputs may enhance growth at the expense of food safety [27].
Evapotranspiration-based irrigation scheduling has proven to be an effective approach for maximizing yield while conserving water in lettuce fields [28]. A recent study showed that combining organic fertilization with a moderate irrigation regime (~80% of crop evapotranspiration) can sustain high lettuce yields while significantly reducing leaf N accumulation compared to conventional mineral fertilization under full irrigation [29]. This approach highlights a practical strategy for enhancing both produce safety and resource-use efficiency in lettuce cultivation.
In California, there are currently tools available that may help lettuce farmers to improve irrigation and N management including reference evapotranspiration data from the California Irrigation Management Information System weather stations (CIMIS) [30], gridded ETo data from spatial CIMIS, and actual evapotranspiration (actual ET) data from the OpenET satellite-based platform [31]. The soil nitrate quick test (SNQT) was adopted in several studies [24,32,33] for crediting residual soil N when developing fertilizer N rates. However, adoption of these tools has not been widespread for lettuce production systems. In recent years, decision support systems were developed and deployed to optimize irrigation and N management strategies in vegetable crops [34,35] in various vegetable production regions in the world. A decision support tool, called CropManage (CM) was developed in California to facilitate implementing ET-based irrigation and the SNQT and help farmers with daily decisions on fertilization and irrigation on a field-by-field basis [36,37]. Field trials were conducted on the California Central Coast to evaluate CM’s performance in vegetable crops [28,37].
Most previous studies on lettuce water and N management have been conducted under environmental conditions, irrigation and fertilization practices, salinity levels, and cropping systems that differ substantially from those of California’s low desert production region. In addition, few studies have evaluated N uptake dynamics, WUE, and NUE under drip irrigation across multiple seasons, and limited information exists on how bed configuration influences these responses. Research integrating field-scale trials with decision-support tools such as CM is also scarce, particularly in commercial desert lettuce systems where grower practices vary widely.
To address these gaps, the present study generated region-specific information on the water and N requirements of drip-irrigated lettuce in the low desert of California. The research evaluated how applied water, N rate, and bed width influence biomass production, marketable yield, N uptake, WUE, and NUE in romaine and iceberg lettuce across multiple seasons. It also characterized seasonal N uptake patterns, including the rapid, linear mid-season accumulation phase that drives overall crop N demand. In addition, the study assessed the practical utility of the CM decision-support tool for optimizing irrigation and N management and compared its recommendations with the rates currently used by farmers in commercial fields. Collectively, this work provides a comprehensive, field-based assessment of water and N management strategies for desert lettuce systems and delivers actionable guidance to enhance resource efficiency through improved agronomic practices, refined seasonal N uptake information, and decision-support tools.

2. Materials and Methods

2.1. Field Experiments

The field experiments were conducted at the University of California Desert Research and Extension Center (DREC) in Holtville, California (32°48′59″ N, 115°26′32″ W). The region has a truly arid climate, with extremely hot summers and mild winters and an average annual rainfall and air temperature of 76 mm and 22 °C, respectively [38]. The Colorado River was the sole source of irrigation water used in the experiments. During the project period, the average pH, electrical conductivity, and NO3-N content of the irrigation water were 8.1, 1.17 dS m−1, and 0.13 mg L−1, respectively.
The research site was at an elevation of approximately 15 m above sea level and approximately 1 km away from the Meloland CIMIS station (CIMIS# 87). Six trials were conducted over the 2022–2023, 2023–2024, and 2024–2025 seasons (Table 1). The field lay bare fallow during the summer of 2022, while sudangrass was grown as a cover crop and incorporated into the soil in the summers of 2023 and 2024. The soil in the top 30 cm was classified as sandy clay loam, comprising 70.1% sand, 9.7% silt, and 20.2% clay and exhibited an average pH of 8.2, an organic matter content of 0.90%, a nitrate content of 30.1 mg kg−1, an available phosphorus content of 21.9 mg kg−1, an exchangeable potassium content of 118.6 mg kg−1, a bulk density of 1.75 Mg m−3, and an electrical conductivity of 1.6 dS m−1. The soil analysis was conducted by Fruit Growers Laboratory (FGL), an accredited agricultural testing facility located in Santa Paula, California, in September 2022.
In each season, two adjacent drip-irrigated trials were carried out consisting of (1) 1 m wide raised bed with 2 plant rows and one dripline per bed and (2) 2 m wide raised bed with 6 plant rows and three driplines per bed (Figure 1). To minimize potential confounding effects of trial location, bed width assignments were rotated between the two trial locations in subsequent seasons. Specifically, the location assigned to the 2 m wide bed in the first season was used for the 1 m wide bed in the second season, and vice versa. This rotation was repeated in the third season, ensuring that each physical trial location experienced both bed widths over the course of the study.
Drip tape (T-Tape, Rivulis Irrigation Ltd., San Diego, CA, USA) (22 mm diameter, wall thickness of 0.15 mm, emitter discharge rate = 0.4 L h−1 at operating pressure of 0.55 bar, emitter spacing = 20 cm) was placed at a 4 cm depth midway between plant rows. In the first two seasons, seeds of iceberg lettuce (cv. Republic) were sown at a depth of 6 mm and spaced 5 cm apart within rows, while in the final season, romaine lettuce seeds (NNS-1888 cultivar) were planted using the same spacing and depth. In the 1 m wide bed trial, plant rows were spaced at 0.30 m intervals, whereas in the 2 m wide bed trial, row spacing was 0.26 m.
Monoammonium phosphate (MAP, 11-52-0; Simplot J.R. Company, Boise, ID, USA) was applied as a commercial pre-plant N and phosphorus fertilizer at a rate of 330 kg ha−1, providing 36.3 kg N ha−1 and 171.6 kg P2O5 ha−1. This rate was selected because it reflects a common pre-plant fertilizer practice among farmers in the region. The fertilizer served as the primary source of phosphorus and a supplemental source of N and was broadcast over the entire trial area prior to bed shaping each season. Following plant establishment, the remaining N for each treatment was supplied using Urea Ammonium Nitrate solution (UAN-32; USA Ag Supplies, Inc., Fresno, CA, USA), a commercial liquid fertilizer containing 32% total N. UAN-32 was injected into the drip irrigation system to supply the remainder of N according to the CM decision support tool recommendations. N fertilizer rates were applied equally among treatments but varied between years depending on soil residual mineral N levels, in accordance with CM recommendations.
Soil samples were taken three times each season for lab analysis of NO3-N. Furthermore, a SNQT was conducted on a 10-day basis to monitor nitrate in the top 25 cm of soil in all treatments. A 20 mg kg−1 NO3-N threshold was used to determine whether fertilizer N was required [11]. A total of 60 kg K ha−1 in the form of potassium thiosulfate was also applied equally (over three splits after plant establishment) to all treatments through the drip system in each season to ensure that K was not deficient in the soil.
Three N fertilizer scenarios of (1) 100% of the N amount recommended by CM (N2), (2) approximately 80% N2 (N1), and (3) approximately 120% N2 (N3) were assessed under two irrigation strategies: 100% of crop evapotranspiration (ET), referred to as I1, and 125% ET, referred to as I2. CropManage was used to determine 100% crop ET (I1). It should be noted that both the 100% ET and 100% N treatments were based on dynamic recommendations generated by CM. CM provides irrigation and N guidelines that vary throughout the season according to crop growth stage, weather conditions, and soil inputs, rather than predetermined fixed seasonal amounts. Accordingly, the 100% ET and 100% N treatments represent the cumulative water and nitrogen recommended by CM over the season. The actual seasonal totals applied under each treatment are presented in the Results section. In each trial, irrigation strategy (as the primary factor) and N management (as the secondary factor) were evaluated in a randomized complete block design with a split-plot arrangement and four replications. The individual subplots measured 8 m (8 beds for the 1 m wide beds and 4 beds for the 2 m wide beds) by 20 m.
Notably, CM estimates crop N demand using crop-specific N uptake models. This estimated demand is then balanced against existing soil N derived from soil tests, residual crop residues, and N contained in irrigation water. Using this N balance, CM produces field-specific fertilizer recommendations that specify the timing, rate, and form of N application. Users provide field-level inputs, including soil type, planting and harvest dates, crop type, irrigation system, and fertilizer sources. By integrating crop growth models, calibrated using crop-canopy field measurements, with soil and water N supply and user-defined field parameters, CM provides tailored fertilization guidance that meets crop N requirements while minimizing excess application and its associated environmental impacts.
Drip irrigation was employed throughout the entire cropping season, beginning with plant germination and continuing through all growth stages. The crop was manually thinned to a plant population of approximately 73,000 plants ha−1 in the 1 m wide bed trials and a plant population of nearly 110,000 plants ha−1 in the 2 m wide bed trials. Weed control was conducted 30 to 33 days after planting in each season. One week after thinning, irrigation and N treatments were employed. On average, the crop was irrigated once per week, and N fertilizer was applied every other week after thinning, continuing through to harvest. The quantities of N fertilizer and irrigation water were adjusted according to the trial-specific recommendations generated by CM. While this represented the general irrigation and N management strategy, the amounts applied varied across the 1 and 2 m bed trials and between seasons, based on CM recommendations.

2.2. Crop Canopy, Soil Nitrate-N, Soil Matric Potential, and Water Applied

Crop canopy coverage was determined using a pole-mounted infrared digital camera modified to capture normalized difference vegetation index (NDVI) images (LDP-LLC MaxMax Inc., Carlstadt, NJ, USA) on a weekly to 10-day basis beginning at 25 days after planting (DAP). The camera was positioned so that the lens was perpendicular to the canopy, achieving a nadir orientation. The angle of incidence of light relative to the sensor was maintained close to 0° to ensure accurate capture of canopy reflectance. The camera was held vertically at a height of approximately 2.5 m above the canopy. This setup allowed for reliable estimation of canopy coverage from the NDVI images. The images were analyzed using PixelWrench2 software (version 1.0.8.8, Tetracam Inc., Chatsworth, CA, USA). Canopy coverage data was used as input for CM to verify and, if necessary, adjust the canopy coverage curve developed by CM. In addition, NO3-N data determined during the season with laboratory analyses and the SNQT were incorporated into CM to improve the accuracy of in-season N recommendations. CropManage can accommodate various lettuce types, planting configurations, and irrigation methods, resulting in more accurate decision-support guidance.
Soil matric potential was monitored using Irrometer tensiometer sensors (Irrometer Company Inc., Riverside, CA, USA) installed at a depth of 30 cm. The data were recorded by 900 M Monitor data loggers (Irrometer Company Inc., Riverside, CA, USA) on a 2 h basis. Water applied was measured using Seametrics flowmeters (Seametrics AG3000, Kent, WA, USA) in each irrigation treatment.

2.3. Yield Measurement and N Uptake

The final population of marketable plants and biomass yield were evaluated for each plot when the crop reached maturity, ranging from 83 to 90 DAP. 15 heads were randomly selected from the middle of treatments/subplots (each replication). Biomass yield was calculated from the average untrimmed weight of the 15 heads multiplied by the final plant population. The outer leaves of six of these heads were trimmed to market standards and reweighed to determine the ratio of trimmed to untrimmed weight. The ratio was used to calculate the marketable yield from the biomass yield. An additional four whole plants from each subplot were longitudinally sliced into quarters. One quarter of each plant was combined into one sample for determination of dry matter and total N content. Plant tissues were dried at 60 °C until reaching a constant weight (2–3 full days), then ground on a Wiley mill to pass a 1 mm screen, and analyzed for total N by the dry combustion method [39]. For each plant sample, the initial fresh and final dry weights were recorded to determine the dry matter content and calculate N concentration in the fresh weight of the crops and N uptake. N uptake was determined at five intervals during the growing season, in addition to the final harvest.

2.4. Water and N Use Efficiency Calculations

WUE and NUE were calculated to evaluate the efficiency of lettuce in utilizing water and nitrogen under different irrigation and nitrogen treatments. Both fresh and dry biomass were considered. WUE was defined as the ratio of fresh or dry biomass yield to the total water applied (Equation (1)). NUE, expressed as partial factor productivity of nitrogen (PFPN), was calculated as the ratio of fresh or dry biomass yield to the amount of nitrogen applied (Equation (2)) [40,41]:
W U E = F r e s h   o r   D r y   B i o m a s s   ( k g   h a 1 ) W a t e r   a p p l i e d   ( m m )
N U E = F r e s h   o r   D r y   B i o m a s s   ( k g   h a 1 ) N   a p p l i e d   ( k g   N   h a 1 )
These indices provide a quantitative measure of lettuce performance under the experimental irrigation and fertilization regimes.

2.5. Statistical Analysis

Biomass, marketable and dry-matter yields at harvest, soil NO3-N values at thinning and harvest, and N-uptake, WUE, and NUE values were analyzed using a linear mixed-effects model fitted via the GLIMMIX procedure in SAS/STAT (version 16.1) implemented in SAS 9.4 (M9), assuming a normal distribution and identity link. Bed width, irrigation level and N scenario were included as fixed effects, with their interactions; season was treated as a random effect to account for year-to-year variability and trial location (nested within season) was included as a random effect to account for spatial variation. Model assumptions (residual normality and homogeneity of variance) were checked and data were transformed where necessary. When fixed main effects were significant at p < 0.05, multiple-means comparisons were performed using Tukey’s HSD test.

2.6. Field Measurement in Commercial Lettuce Fields

To monitor water and N application rates commonly used in drip-irrigated desert lettuce production, an additional data set was collected from eight commercial fields during the 2022–2023 and 2023–2024 seasons (Table 2). The sites were under shallow subsurface drip irrigation and were representative of regional practices, including N and water application rates, soil textures (loamy fine sand, sandy loam, silty loam, and silty clay loam), lettuce types (romaine and iceberg), and bed and drip tape configurations (1 m wide beds with one dripline per bed and 2 m wide beds with three driplines per bed).
A wide range of physicochemical properties was observed in the top 30 cm across the commercial sites, including pH (7.9–8.2), organic matter content (0.6% in predominantly sandy soils to 1.2% at site C7), nitrate content prior to planting (13.5 mg kg−1 at site C2 to 41.2 mg kg−1 at site C7), bulk density (1.42 Mg m−3 at site C3 to 1.72 Mg m−3 at site C1), and electrical conductivity (0.9 dS m−1 at site C2 to 2.3 dS m−1 at site C8). Plant establishments occurred between October and November, and harvest took place between January and February.
The experimental plots represented the common irrigation and N fertilizer management practices followed by the farmers; no other treatment was implemented. Monoammonium phosphate was broadcasted pre-plant at sites C3–C4 and C7–C8, ranging from 300 to 370 kg ha−1. During the growing season, N was applied through the drip irrigation system using Urea Ammonium Nitrate solution and calcium ammonium nitrate (CAN-17; Dune Co., Imperial Valley, CA, USA), which contains 17% total N. At each field, a 90 m × 90 m experimental plot was laid out on uniform soil representative of the field’s dominant soil classification. Five sub-areas (15 m × 15 m) were selected for measurements at the experimental plots. Crop canopy coverage, soil NO3-N during the season (from laboratory analyses and the SNQT), biomass, marketable, and dry matter yields, and N uptake were determined using the same tools and methods as those employed in the DREC trials, within the sub-areas of these experimental plots. Water applications were measured using Seametrics flowmeters, and N application rates were obtained from farmers.

3. Results

3.1. Weather Variables

Higher temperatures were observed in the 2024–2025 season (an average daily air temperature of 15.4 °C over five months of October–February) than the 2022–2023 season (12.7 °C) and the 2023–2024 season (13.6 °C) (Figure 2). ETo was also considerably greater (a cumulative value of 352 mm) in the 2024–2025 crop season than the other seasons. ETo varied between 1.2 mm d−1 (mid-February) and 7.4 mm d−1 (early October) in the 2024–2025 season. Less than 7% difference in average daily solar radiation and wind speed was found over the three crop seasons, leading by the 2024–2025 season with the average values of 154.9 W m−2 and 1.8 m s−1, respectively. Although effective rainfall was negligible in the 2022–2023 and 2024–2025 seasons, the 2023–2024 lettuce crop season received 42 mm of precipitation over a five-month period of October–February.

3.2. Water and N Applied

Total applied water across treatments in 1 m wide bed trials was in the range of 209–261 mm in the 2022–2023 season, 178–230 mm (plus 26 mm rainfall) in the 2023–2024 season, and 220–275 mm in the 2024–2025 season (Table 3). The range was 230–288 mm, 198–254 mm (plus 26 mm rainfall), and 244–305 mm across treatments in 2 m wide beds during the 2022–2023 to the 2024–2025 seasons, respectively. These values include total applied water during plant establishment and post-establishment until harvest, while excluding the water applied for leaching salts in summer (approximately 125 mm), a common practice to sustain soil productivity and control salinity in the desert cropping systems.
Total N applications across treatments in 1 m wide bed trials were in the range of 89–132 kg ha−1 in the 2022–2023 season, 85–127 kg ha−1 in the 2023–2024 season, and 87–130 kg ha−1 in the 2024–2025 season (Table 3). The application rates were in the range of 101–150 kg ha−1, 98–144 kg ha−1, and 96–146 kg ha−1 in 2 m wide bed trials conducted during the respective seasons, respectively.
Soil matric potential at a 30 cm depth remained consistently below −21.6 kPa following crop establishment across all trials (Figure 3), indicating that soil moisture levels were generally sufficient for optimal plant growth. Throughout most of the growing period, values remained within a narrow range of −12 to −20 kPa, suggesting stable moisture conditions conducive to lettuce development. This range is approximately equivalent to a volumetric soil moisture content of 29–32%, based on the soil water retention characteristics of the soil type. A marked increase to nearly −2 kPa was observed during the 2023–2024 trials, approximately 68–70 days after planting, corresponding to a rainfall event that caused temporary soil saturation.
Previous studies have reported that a soil matric potential of around −20 kPa is optimal for maximizing lettuce yield in sandy loam soils [28,42]. The soils in the present study contained higher clay and lower sand fractions than a typical sandy loam, conferring greater water-holding capacity and slower drainage. Consequently, the observed soil matric potential values indicate that water stress was unlikely to have occurred in any of the trials. Overall, soil moisture conditions appeared to remain within or near the optimal range for lettuce production throughout the experimental period.

3.3. Effects of Irrigation and N Management on Yields

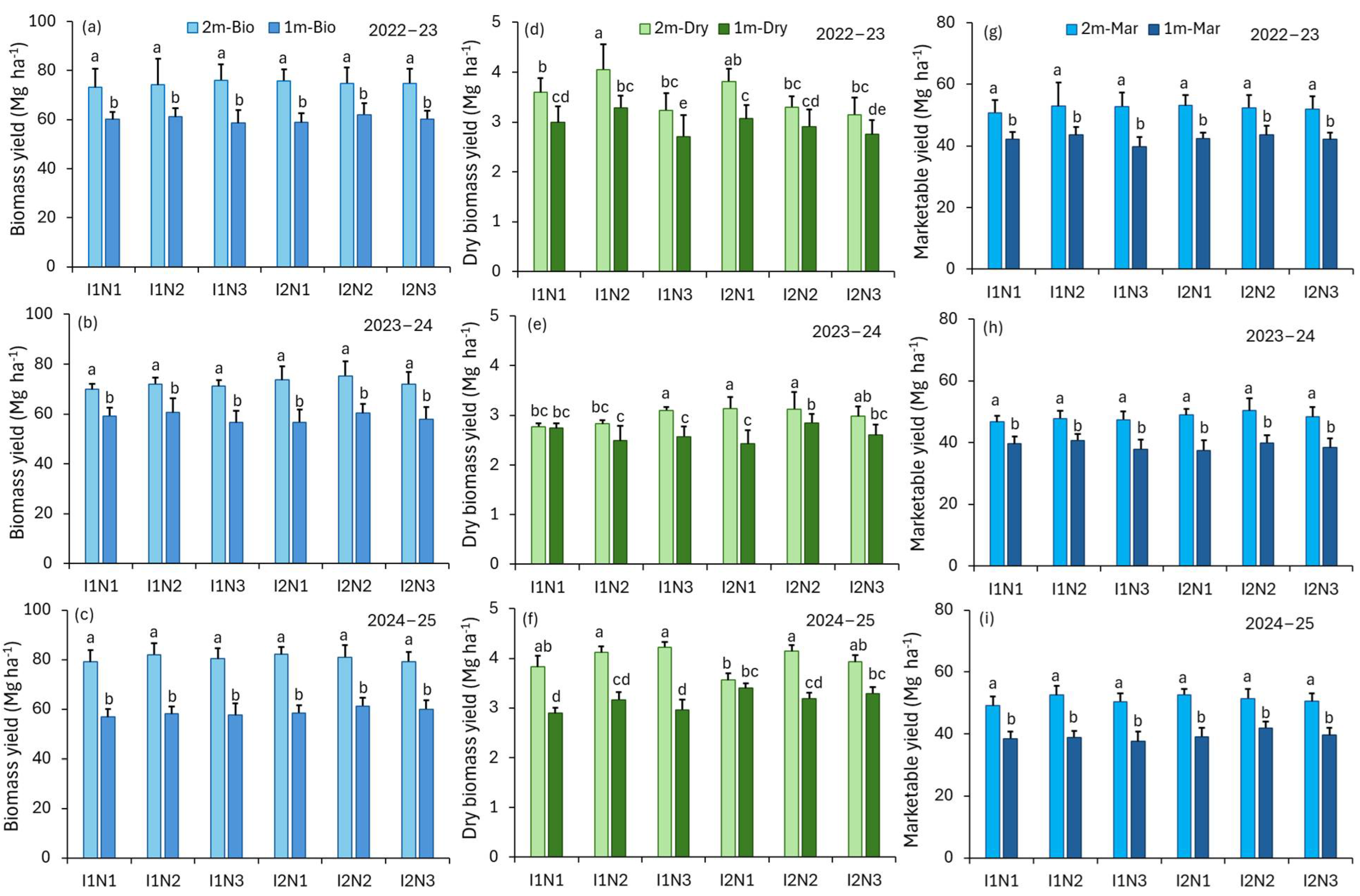
The statistical analysis suggested insignificant impacts of applied water, N application rates, and the interaction between irrigation and N rates on fresh biomass yields (p values ≥ 0.075 in the study seasons) and marketable yields (p values ≥ 0.192 in the study seasons) in both 1 m and 2 m wide bed configurations (Figure 4). This confirms that applying additional water in the 125% ET treatment (I2), as well as increasing or de-creasing N application rates by 20% (N3 and N1) relative to CM-recommended levels, did not enhance crop growth or yield.
The results showed significantly greater biomass and marketable yields in the 2 m wide bed trials than in the 1 m wide bed trials (p ≤ 0.046), representing average increases of 28.4% and 27.5%, respectively, across seasons and trials. For example, in the 2 m wide bed trial conducted during the 2022–2023 season, the highest mean biomass and marketable yields were 76.2 Mg ha−1 (I1N3) and 55.5 Mg ha−1 (I2N1), respectively. During the same study season, the 1 m wide bed trial recorded the highest mean biomass yield of 61.7 Mg ha−1 (I2N2) and marketable yield of 45.5 Mg ha−1 (I1N2).
No consistent statistical effects of irrigation and N applications on dry biomass yield were observed across different trials and years. During the 2023–2024 trials, dry biomass yield in the 1 m wide bed trial was not significantly affected by either irrigation treatment or N application rate (p ≥ 0.057), suggesting that environmental conditions were relatively homogeneous and baseline soil fertility was sufficient to mask treatment effects. However, significant effects were detected in the 2 m wide bed trial during this period. In contrast, both irrigation strategy and N application scenario were statistically significant in the 2024–2025 trials (p ≤ 0.022), indicating that inter-annual variability in weather, soil moisture, or other environmental factors influenced crop responses. A significant effect (p ≤ 0.036) of bed width on dry biomass yield was observed under both irrigation and N application treatments. The 2 m wide beds produced greater dry biomass than the 1 m wide beds, indicating that wider beds may enhance yield potential under favorable environmental or management conditions.

3.4. Effects of Irrigation and N Management on N Uptake

Plant N uptake at harvest was significantly influenced by N application rate across most seasons and bed widths (p ≤ 0.047; Table 4). Increasing N rates generally led to higher N accumulation, demonstrating that additional N supply was effectively reflected in crop nutrient uptake. For example, in 2 m wide beds under irrigation I1, N uptake increased from 126 kg ha−1 at N1 to 132 kg ha−1 at N3 in 2022–2023, and similar increasing trends were observed in subsequent seasons. Under irrigation I2, higher N rates also enhanced N uptake, with the most pronounced effect observed in the 2 m wide beds in 2023–2024 and 2024–2025 (e.g., 149 kg ha−1 at I2N3 in 2023–2024).
The effect of irrigation on N uptake was variable. Significant differences were observed in some seasons for 2 m wide beds (e.g., 2023–2024, p = 0.0002; 2024–2025, p = 0.022), but not consistently across all years or in 1 m wide beds, where irrigation had little influence on N accumulation (all p > 0.05). These results suggest that irrigation effects were likely influenced by seasonal variation in rainfall and soil moisture availability. The interaction between N rate and irrigation was generally not significant, except in 2 m beds in 2024–2025 (p = 0.006), indicating that N uptake was primarily driven by fertilizer rate rather than irrigation, and the effects of both factors were largely additive.
Leaf N content showed similar trends (Table 5). Higher N application rates consistently led to increased leaf N concentrations, with the highest values observed under the combined I2N3 treatment. Irrigation I2 generally enhanced the effect of higher N rates, particularly in 2 m wide beds, whereas 1 m wide beds exhibited comparable but slightly smaller increases. Despite these differences, leaf N concentrations remained below 4% of dry matter in all treatments, indicating that N accumulation remained within typical ranges for lettuce. Overall, these results demonstrate that fertilizer rate was the primary determinant of both total N uptake and leaf N content, while increased irrigation contributed additively, particularly at higher N rates and in wider bed configurations.
Regardless of the N application rates, the results indicated that nitrate-N concentrations were maintained above the threshold of 15 mg kg−1 in the top 25 cm during the crop season (Table 6), implying minimal risk of N deficiency. The CM algorithm adjusts the soil nitrate sufficiency thresholds for lettuce throughout the season, with 15 mg kg−1 used in the early and late season and 20 mg kg−1 during mid-season [33]. Minimizing soil residual N in lettuce fields at harvest is crucial to limit summer nitrate losses due to leaching in the desert region, in light of the widespread practice of flooding fields in the summer period to leach salt prior to the next crop cycle.

3.5. Effect of Irrigation and N Management on WUE

Irrigation strategy had a significant effect on WUE for both fresh and dry biomass yields (Table 7), with consistently higher values observed under irrigation strategy I1 compared with I2 (p < 0.01). Across the three crop seasons from 2022–2023 to 2024–2025, WUE under I1 exceeded that of I2 by an average of 24%, 23.5%, and 22%, respectively, indicating that I1 consistently enhanced the efficiency of water use for biomass production. In contrast, neither N application rate nor the interaction between irrigation and N treatments had a significant effect on WUE (p ≥ 0.39), suggesting that irrigation scheduling was the primary determinant of water productivity under the conditions of this study. These findings highlight the importance of optimizing irrigation strategy to maximize crop water efficiency, independent of N input levels.
WUE with respect to fresh biomass yield was also considerably higher in the 2 m wide bed configurations than in the 1 m wide beds, primarily due to the greater biomass accumulation achieved in wider beds. Across all treatments and seasons, the average WUE in the 2-m-wide beds was 293 kg ha−1 mm−1, ranging from 257 to 336 kg ha−1 mm−1, whereas in the 1-m-wide beds, average WUE was 252 kg ha−1 mm−1, with a range of 213 to 297 kg ha−1 mm−1. These results indicate that both irrigation strategy and bed width substantially influence WUE in lettuce production. The combination of wider beds and the I1 irrigation regime promoted higher WUE by enhancing biomass accumulation per unit of water applied, underscoring the potential of these management practices to improve water productivity in intensive vegetable production systems.

3.6. Effect of Irrigation and N Management on NUE

NUE was evaluated on both biomass and dry matter bases over three growing seasons across two bed configurations (1 m and 2 m) and two irrigation strategies (I1 and I2). N application rate had a consistently significant effect on NUE (p < 0.01), with efficiency declining as N rates increased from N1 to N3 (Table 8). For instance, under 2 m beds with I1 irrigation in 2024–2025, biomass-based NUE decreased from 824.2 (N1) to 683.4 (N2) and 549.9 (N3), while dry matter-based NUE declined from 39.8 (N1) to 34.3 (N2) and 28.9 (N3). Similar trends were observed under 1 m beds, although NUE values were generally slightly lower than in 2 m beds, suggesting that wider bed spacing can marginally enhance N utilization. These results underscore the strong influence of N management on plant N efficiency, with higher N rates reducing NUE and indicating diminishing returns at elevated applications.
Irrigation strategy had a smaller and more variable effect on NUE. In some seasons, particularly 2023–2024 and 2024–2025, I2 tended to slightly improve NUE compared to I1, although the effect was not consistent across all bed spacings or metrics. The interaction between irrigation and N was significant in certain cases (e.g., dry matter NUE in 2 m beds in 2022–2023 and 2024–2025, and 1 m beds in 2023–2024), indicating that N efficiency can depend on the irrigation regime under specific conditions. Overall, N management was the primary determinant of NUE, while irrigation strategy and bed width modulated efficiency to a lesser extent, emphasizing the importance of optimizing both practices to improve N utilization.
In the low desert region, where water is relatively inexpensive, no significant differences in yield were observed among the different irrigation and N treatments. This indicates that reducing N application rates does not compromise crop productivity. Coupled with the observed trends in NUE, these results suggest that farmers can maintain yield while applying less N, thereby lowering fertilizer costs and improving economic returns. Optimizing N management in this manner not only enhances NUE but also provides a practical strategy for increasing the profitability and sustainability of lettuce production in resource-limited systems.

3.7. Assessment of Water and N Application Rates Across Commercial Sites

Irrigation water applied under Farmer Standard (FS) practices ranged from 259 to 503 mm across the eight study sites (C1–C8), whereas CM-recommended inputs ranged from 228 to 247 mm (Table 9). At every site, CM recommended less irrigation than FS. On average, irrigation inputs decreased from 364 mm (FS) to 239 mm (CM), a 34% reduction. The absolute differences (FS − CM) ranged from 31 to 256 mm, reflecting substantial site-specific savings. The greatest reductions occurred at high-input sites C1 and C6, where decreases exceeded 50%, while even sites with relatively low FS inputs (C3, C4, C8) showed notable reductions. Overall, these patterns demonstrate that CM effectively reduces water use while accommodating local production conditions.
N fertilizer applications under FS ranged from 135 to 289 kg ha−1, whereas CM recommendations ranged from 111 to 165 kg ha−1 (Table 9). At all sites, CM suggested lower N rates than FS. Average N inputs declined from 202 kg ha−1 (FS) to 144 kg ha−1 (CM), a 29% reduction. Absolute differences ranged from 11 to 129 kg ha−1, with the largest decreases observed at high-input sites C1 and C6 (38–45%). Sites with moderate FS inputs (C3, C4, C8) also exhibited meaningful reductions, indicating that CM adjusts recommendations to local nutrient conditions while reducing unnecessary applications.
Overall, CM reduced both irrigation water and N fertilizer inputs across all sites, with percentage reductions ranging from 12% to 51% for water and 7% to 45% for N. These reductions underscore the potential of CM to improve resource-use efficiency, lower production costs, and mitigate environmental impacts such as water overuse and N losses.

4. Discussion

4.1. Optimal Water and N Management

In lettuce production, reductions in yield are commonly associated with water applications below crop evapotranspiration requirements [17,28,43,44], due to a well-established non-linear relationship between yield response and irrigation levels [17]. In the present study, no deficit irrigation treatments were imposed, and soil matric potential measurements indicated that water stress was unlikely to have occurred during the experimental period (Figure 2). Additionally, no statistically significant differences in fresh biomass and marketable yield were observed across treatments receiving up to 25% more irrigation water and N application rates ± 20% of CM-based recommendations (Figure 3). The lack of yield or growth differences between the 100% ET and 125% ET irrigation treatments suggest that the 100% ET level estimated by CropManage was sufficient to meet crop water requirements under the environmental and soil conditions of this study. However, this finding does not imply that 100% ET is excessive, as crop water needs can vary across seasons, soil textures, and climatic conditions. Because the tested irrigation range did not include deficit levels (<100% ET), the threshold at which water stress begins to impact lettuce yield could not be identified. Future research including irrigation levels below 100% ET is needed to determine the onset of water-stress responses.
The absence of a significant yield response to varying N inputs is consistent with previous studies that reported negligible effects of N fertilization rate (a wide range of applications more than 78 kg N ha−1) on lettuce fresh and dry biomass accumulation [6,10,15,17,44,45,46], thereby supporting the findings of this study.
The results of the trials suggest that implementing water and N rates recommended by CM could optimize biomass production and marketable yield in desert lettuce. This is consistent with findings from previous studies conducted in California’s Salinas Valley [36,37]. However, the water and N application rates identified in this study are lower than those reported in a study from Yuma, Arizona, which aimed to maximize lettuce yields under sprinkler irrigation [5]. Similarly, the N rates are also lower than those recommended for baby green romaine lettuce production in Brazil [44].
In this study, irrigation requirements ranged from 204 to 244 mm over a growing season of 83–90 days, which is lower than the 234–314 mm range reported by [47] for furrow-irrigated lettuce cultivated over 63–107 days in Yuma, Arizona. Differences in irrigation methods and growing season duration are likely the primary factors contributing to variations in crop water use. In contrast, the irrigation amounts observed in this study exceed the 185–247 mm range reported in a more recent study from the Salinas Valley [29].
The inverse relationship between WUE and applied irrigation volume observed here is supported by evidence from previous studies [45,48]. An average WUE of 300 kg ha−1 mm−1 for biomass yield was recorded under 100% ET irrigation treatments, closely matching values reported in an earlier study conducted in the Salinas Valley [28].
In the present study, lettuce NUE based on dry biomass ranged from 20.2 to 40.1 kg kg−1, substantially higher than the 2.9–10.7 kg kg−1 reported in previous field study under Mediterranean conditions [26], where the researchers noted that NUE was very low irrespective. This marked difference indicates that N utilization in our experiments was considerably more efficient, likely reflecting variations in cultivar selection, soil fertility, irrigation management, or N application timing. These results demonstrate that optimized agronomic practices and cropping systems, as implemented in our trials, can substantially enhance the conversion of applied N into marketable biomass, thereby mitigating the inefficiencies observed in previous studies.
The results showed a relatively wide range of N accumulated in lettuce plants across the trials and seasons at harvest, ranging from 99 kg N ha−1 (treatment I1N2 in the 2023–2024 1 m wide bed trial) to 150 kg N ha−1 (treatment I2N3 in the 2 m wide bed trial of the 2024–2025 season). Comparison of N applied and N uptake values across the trials (Table 3 and Table 4), together with the lack of significant yield response to N application rates within ±20% of the CM-based recommendations, indicates that growers can expect lettuce N uptake to fall within the range of 108–125 kg N ha−1 under similar soil and environmental conditions. This range provides a practical reference for adjusting N applications in drip-irrigated lettuce on 1 m and 2 m bed widths. The observed N uptake is broadly consistent with previous findings in drip-irrigated lettuce in the Salinas Valley [24] and falls at the lower end of the 100–150 kg N ha−1 range suggested by [17,18], while remaining substantially below the 220 kg N ha−1 reported by [19]. Although one cited study reported no yield increase above 78 kg N ha−1 [40], those findings were based on different environmental and management conditions than those in our study (e.g., soil N status, climate, and soil types). In our experimental setting, the lowest rate of 87 kg N ha−1 (CM recommendation) reflected the minimum N input required to avoid early-season N deficiency and remain consistent with locally recommended agronomic practices. Therefore, the N rates tested represent a realistic and practical range for lettuce production under our site-specific conditions rather than excessively high applications.
The observed increase in plant N uptake without a corresponding enhancement in yield indicates the occurrence of luxury N consumption, in which plants absorb N in excess of their metabolic or productive requirements. This finding is consistent with previous reports showing that lettuce is particularly prone to luxury N uptake under high fertilizer rates, where additional N does not translate into proportional biomass gains [20,49]. In line with this, NUE decreased significantly at higher N application rates, demonstrating that surplus N inputs were not efficiently converted into yield. Although leaf N concentrations increased under luxury N uptake, they remained below 4% of dry matter, within typical ranges for lettuce, suggesting that post-harvest quality and food safety were unlikely to be compromised. These results emphasize that excessive N fertilization can reduce NUE and increase the risk of environmental N losses without providing additional agronomic or quality benefits.
The lack of a yield response to N and irrigation treatments may be partly explained by the high initial soil nitrate levels measured at planting. The trial fields had been planted to sudangrass cover crops prior to lettuce, and mineralization of the cover crop residues likely supplied substantial plant-available N early in the season. This reduced the crop’s dependence on applied fertilizer across treatments. Additionally, the use of drip irrigation minimized plant water stress, thereby limiting the potential for irrigation-induced differences in yield. As noted earlier, lettuce can exhibit “luxury consumption”, whereby plants absorb N in excess of physiological demand without a corresponding increase in biomass or marketable yield. Although such uptake may buffer crops against short-term N deficits, it also lowers NUE and can elevate post-harvest soil nitrate, increasing the risk of leaching during subsequent irrigations or salt-leaching events. To reduce residual soil nitrate and improve soil health, sudangrass cover crops were planted after lettuce harvest as part of the cropping system. Sudangrass is effective at scavenging remaining soil nitrate and adding organic biomass, which helps reduce leaching potential and enhance soil quality. Collectively, these factors likely contributed to the limited yield response observed in this study.
Predominant soil types in desert lettuce production systems generally range from silty loam to silty clay loam, which are well-suited for implementing 2 m wide beds equipped with three driplines. In this study, WUE was consistently higher in the 2 m wide bed configurations, characterized by high-density planting, compared with the 1 m wide beds with lower plant density (Table 5). This finding suggests that adopting 2 m wide beds may represent a viable strategy for desert farmers to simultaneously enhance lettuce yield and water productivity under suitable soil conditions. However, the broader adoption of wider beds may be limited in areas with fine sandy soils, where soil structure and infiltration characteristics could reduce their effectiveness. It is important to recognize that the management of sandy soils is inherently region-specific. Climatic factors, soil physicochemical properties, and locally adapted cropping systems collectively determine which management approaches are most suitable and effective.
Wider beds allow for a higher plant density per unit area, which can improve light interception and overall resource use efficiency, ultimately contributing to greater biomass accumulation and higher marketable yields. These results are consistent with previous studies [50,51] and emphasize the importance of optimizing bed width to achieve an ideal plant population that maximizes lettuce productivity while maintaining adequate water, nutrient, and space availability. Strategic management of bed width, therefore, represents a key approach to improving both crop performance and WUE in intensive desert lettuce production systems.
The findings highlight that optimal N fertilizer rates for lettuce are not fixed, but vary according to specific field conditions, including soil type, plant density relative to bed width, residual soil N from previous crops, and irrigation management under varying environmental settings. This variability underscores the importance of site-specific nutrient management strategies and reinforces the need to calibrate N recommendations using local agronomic data, crop uptake patterns, and real-time monitoring tools to avoid both over- and under-application of N fertilizer.
Integrated management of N and water is essential in lettuce production to enhance resource-use efficiency, enabling lower fertilizer application rates that support both profitability and environmental sustainability. Higher N rates may be required in over-irrigated fields, particularly where residual soil nitrate at planting is low or where soils are predominantly sandy and prone to leaching.

4.2. N Uptake During Early and Rapid Accumulation Phases

The N uptake values observed in the 2 m (109–155 kg N ha−1) and 1 m (99–141 kg N ha−1) bed trials (Table 4) extended beyond the range previously reported for lettuce crops (121–136 kg N ha−1) [43], with values falling both below and above this reference range. This broader variability in N uptake may be attributed to differences in bed configuration, soil characteristics, irrigation and N practices, and the specific environmental conditions of the desert region. The average seasonal N uptake for romaine and iceberg lettuce across all trials (including both 2 m and 1 m bed widths) was 131 kg N ha−1, exceeding the average uptake of 118 kg N ha−1 reported for drip-irrigated lettuce in trials conducted on California’s Central Coast [24]. This difference may be partially explained by climatic differences between the two regions, particularly the contrast between the arid desert environment and the more temperate coastal climate.
Crop N uptake exhibited a distinct two-phase pattern over the growing season (Figure 5). During the early growth period (0–39 days after planting), cumulative N uptake reached approximately 10 kg, corresponding to an average daily uptake of 0.26 kg N d−1. This relatively low rate reflects limited canopy and root development, slow biomass accumulation, and modest N demand during crop establishment. The gradual increase in N uptake during this phase is consistent with the progressive development of the root system and the initial expansion of leaf area, which together drive incremental nutrient acquisition.
Following early establishment, the crop entered a rapid N accumulation phase, during which cumulative N uptake increased sharply (≥40 days after planting) and was well described by the linear relationship:
y cumulative = 2.9 x 118.1
where y is cumulative N uptake (kg ha−1) and x is days after planting. The slope of 2.9 kg N ha−1 d−1 represents the average daily N uptake during this phase, which is more than tenfold higher than during the early growth period. The negative intercept (–118.1 kg ha−1) is a mathematical artifact of the regression and indicates that the linear model is applicable only after the onset of accelerated growth. The near-linear cumulative uptake reflects a period of stable, high daily nitrogen demand, consistent with rapid vegetative growth, canopy expansion, and increased biomass accumulation, which together drive greater nutrient uptake up to harvest.
It should be noted that regional observations indicate that the lettuce growing season in commercial fields can occasionally extend beyond 90 days, although the typical crop duration for mid- and late-season plantings is 12 to 13 weeks. This extended duration underscores the relevance of characterizing N uptake patterns not only during early and rapid accumulation phases but also throughout the full production period up to harvest. Overall, these observations reveal a two-phase nitrogen uptake pattern: a prolonged period of slow, gradually increasing uptake during early establishment, followed by a period of high, relatively constant daily N accumulation during the rapid N accumulation phase. By combining cumulative uptake measurements with phase-specific average daily rates, this analysis provides a robust and biologically meaningful characterization of crop N dynamics, offering valuable insights for optimizing fertilizer management and supporting accurate crop growth modeling.
The linear pattern of lettuce crop N uptake observed in this study aligns with findings of previous studies [22,24], indicating a stable uptake rate during vegetative growth. A post-thinning N uptake rate of 4.0 kg N ha−1 d−1 has been reported for romaine and iceberg lettuce under drip irrigation in the Salinas Valley [23], exceeding the average rate observed in this study. This difference could primarily be driven by climatic conditions and the duration of the crop season. Lettuce is grown in a mild winter climate with a longer crop season in the desert region, compared to the shorter spring–summer season in coastal production systems.

4.3. Prospects of CropManage in Commercial Desert Agricultural Operations

While the controlled research plots provided critical insights into the agronomic and resource-use efficiency outcomes of CropManage, understanding its broader applicability requires consideration of commercial production contexts. Supplementary observations from collaborating farmers in drip-irrigated desert systems were therefore used to evaluate the potential benefits of CM under large-scale operational conditions. These findings of this study are consistent with multi-year trials conducted in the Salinas Valley, which similarly reported that both N and irrigation inputs can be substantially reduced by following CM recommendations [36,37].
This analysis highlights substantial variability, as well as potential over-irrigation and over-fertilization, in commercial lettuce fields, indicating that operational efficiency in drip-irrigated desert lettuce production can be improved. It underscores the need for targeted extension efforts and the adoption of decision-support tools such as CM to guide farmers toward more efficient water and N use, ultimately enhancing sustainability, resource conservation, and crop productivity. Overall, this assessment provides insight into how decision-support tools like CM can be integrated into commercial production systems to improve input efficiency, reduce environmental impacts, and promote sustainable practices in arid environments.
Seasonal N application rates were lower in the trial fields than in the commercial sites (both farmer practice and CM), and several factors help explain this difference. The trial fields were planted to sudangrass cover crops prior to lettuce, and mineralization of the residues provided substantial plant-available N at planting. Consequently, the crop required less supplemental fertilizer N during the season. In contrast, the commercial sites did not include cover crops in their rotations and therefore began the season with lower baseline soil nitrate levels. Commercial growers also typically conduct more intensive pre-season salt-leaching irrigation, which can move nitrate below the root zone and further reduce initial soil N availability. Soil texture differences further contributed to the observed discrepancy; several commercial fields consisted of sandy loam or loamy fine sand, which have lower nutrient retention and greater nitrate-leaching potential, whereas the trial fields were located on heavier-textured soils that retain water and nutrients more effectively. Additionally, farmers in commercial systems often target higher marketable yields than those achieved in experimental trials, and higher yield expectations increase the N recommended by CM as well as the N applied under standard grower practices. Variability in planting dates, harvest dates, and overall season length among commercial fields also influenced crop N demand and contributed to higher seasonal N applications. Collectively, these factors explain why total N application rates were higher in the commercial fields than in the trial fields.
These differences between trial and commercial production systems also influence how decision-support tools such as CM are adopted and used. Although results from the commercial sites demonstrate that CM can reduce water and N inputs without compromising yield, several practical considerations affect its broader adoption. Effective use of CM requires accurate information on soil type, irrigation system performance, and planting schedules, which may limit adoption in fields where such data are not routinely collected. Successful implementation also depends on farmers’ familiarity with digital decision-support tools and their willingness to incorporate CM recommendations into existing practices. Training and technical support are therefore essential to ensure correct use and to build confidence in the system’s recommendations. Despite these challenges, CM has already been adopted by many large-scale vegetable operations in the Central Coast of California, indicating that the platform can meet commercial-scale needs when adequate support, field-specific calibration, and reliable field data are available. Together, these factors highlight both the potential and the practical requirements for broader CM adoption in desert lettuce production systems.

5. Conclusions

Under the conditions tested, and across the full range of water amounts and N application rates, neither water supply, N rate, nor their interaction had a significant effect on biomass or marketable yield. In contrast, both biomass and marketable yield were consistently higher in the 2 m beds than in the 1 m beds. N application rate significantly affected crop N uptake at harvest and reduced NUE (p < 0.05), while water level had a significant effect on WUE (p < 0.05). Lettuce N uptake remained low during the first 40 days after planting and then increased steadily from thinning to harvest, averaging 2.9 kg ha−1 d−1 across trials.
The findings indicate that adopting the application rates recommended by CM can reduce irrigation water and nitrogen (N) fertilizer inputs at all commercial sites, with reductions ranging from 12% to 51% for water and 7% to 45% for N. These reductions highlight the potential of CM to improve resource-use efficiency, lower production costs, and mitigate environmental impacts such as excessive water use and N losses. This study also provides refined estimates of crop N uptake, supporting more precise in-season split N fertilizer management. Overall, integrating the CM decision-support tool with the SNQT and the results presented here offer regional farmers a practical framework to enhance operational efficiency, increase economic returns, and meet regulatory requirements.

Author Contributions

Conceptualization, A.M., D.G. and M.D.C.; Data curation, A.M.; Formal analysis, A.M.; Funding acquisition, A.M.; Investigation, A.M.; Methodology, A.M., D.G. and M.D.C.; Supervision, A.M.; Writing—original draft, A.M.; Writing—review and editing, A.M., D.G. and M.D.C. All authors have read and agreed to the published version of the manuscript.

Funding

Funding for this study was provided by the California Department of Food and Agriculture Fertilizer Research and Education Program (CDFA FREP; award number 22-1312-0000-SA) and the California Leafy Greens Research Program (CLGRP; award number LGR-2022-03).

Data Availability Statement

The data presented in this study are available on request from the corresponding author due to privacy or ethical restrictions.

Acknowledgments

The first author gratefully acknowledges the cooperating farms in Imperial and Riverside Counties for their invaluable support during this study, including their permission to conduct trials and measurements on their agricultural operations. The authors wish to express their sincere appreciation to Tayebeh Hosseini and several student interns from Imperial Valley College for their dedicated support and meticulous work in collecting and processing extensive soil and plant samples, as well as for their contributions to various field activities. The authors would like to thank the staff of the Desert Research and Extension Center (DREC) for providing the necessary support and resources to conduct the trials.

Conflicts of Interest

The authors declare no conflicts of interest.

References

  1. County of Imperial. Agricultural Crop and Livestock Report; Agricultural Commissioner/Weights and Measures: Imperial County, CA, USA, 2023. Available online: https://agcom.imperialcounty.org/crop-reports/ (accessed on 23 November 2025).
  2. County of Riverside. Agricultural Production Report; Agricultural Commissioner/Weights and Measures: Riverside County, CA, USA, 2023. Available online: https://storymaps.arcgis.com/stories/d11869b86f094d86aa79529966ec33bc (accessed on 23 November 2025).
  3. Montazar, A. The Impact of Irrigation and Fertilizer Management Practices on Enhancing Resource-Use Efficiency in the Low Desert Lettuce Production Systems; Annual Project Report; California Leafy Greens Research Program: Salinas, CA, USA, 2022.
  4. Montazar, A. Irrigation and nitrogen best management practices in the low desert lettuce cropping system. Agric. Briefs—Imp. Cty. 2023, 26, 2–6. [Google Scholar]
  5. Sanchez, C.A. Response of lettuce to water and N on sand and the potential for leaching of nitrate-N. HortScience 2000, 35, 73–77. [Google Scholar] [CrossRef]
  6. Sanchez, C.A.; Zerihun, D.; Bali, K. Efficient Irrigation for Reduced Non-Point Source Pollution from Low Desert Vegetables; DFA Fertilizer Research and Education Program Final Report 98-0423; California Department of Food and Agriculture: Sacramento, CA, USA, 2003.
  7. Jin, Q.; You, J.; Xie, M.; Qiu, Y.; Lei, S.; Ding, Q.; Chen, J. Drip irrigation reduced fertilizer nitrogen loss from lettuce field—A case study based on 15N tracing technique. Water 2022, 14, 675. [Google Scholar] [CrossRef]
  8. Sturm, M.; Kacjan-Marsic, N.; Zupanc, V.; Bracic-Zeleznik, B.; Lojen, S.; Pintar, M. Effect of different fertilisation and irrigation practices on yield, nitrogen uptake and fertiliser use efficiency of white cabbage. Sci. Hortic. 2010, 125, 103–109. [Google Scholar] [CrossRef]
  9. Hou, M.; Zhang, H.; Shaghaleh, H.; Chen, J.; Zhong, F.; Alhaj Hamoud, Y.; Zhu, L. Optimization of a lower irrigation limit for lettuce based on comprehensive evaluation. Plants 2024, 13, 853. [Google Scholar] [CrossRef]
  10. Bozkurt, S.; Mansuroglu, G.; Kara, M.; Onder, S. Responses of lettuce to irrigation levels and nitrogen forms. Afr. J. Agric. Res. 2009, 4, 1171–1177. [Google Scholar]
  11. Hartz, T.K.; Johnstone, P.R.; Williams, E.; Smith, R.F. Establishing lettuce leaf nutrient optimum ranges through DRIS analysis. HortScience 2007, 42, 143–146. [Google Scholar] [CrossRef]
  12. Gallardo, M.; Jackson, L.E.; Schulbach, K.; Snyder, R.L.; Thompson, R.B.; Wyland, L.J. Production and water use in lettuces under variable water supply. Irrig. Sci. 1996, 16, 125–137. [Google Scholar] [CrossRef]
  13. Acharya, S.K.; Shukla, Y.R.; Khatik, P.C. Effect of water regime on growth and yield of lettuce. Bioscan 2013, 8, 201–206. [Google Scholar]
  14. Mansuroglu, G.S.; Bozkurt, S.; Kara, M.; Telli, S. The effects of nitrogen forms and rates under different irrigation levels on yield and plant growth of lettuce. J. Cell Plant Sci. 2010, 1, 33–40. [Google Scholar]
  15. Hoque, M.M.; Ajwa, H.; Othman, M. Yield and postharvest quality of lettuce in response to nitrogen, phosphorus, and potassium fertilizers. HortScience 2010, 45, 1539–1544. [Google Scholar] [CrossRef]
  16. Hasan, M.; Tahsin, A.K.M.; Islam, M.; Ali, M.; Uddain, J. Growth and yield of lettuce influenced by nitrogen fertilizer and plant spacing. J. Agric. Vet. Sci. 2017, 10, 62–71. [Google Scholar]
  17. Capra, A.; Consoli, S.; Russo, A.; Scicoloni, B. Integrated agro-economic approach to deficit irrigation on lettuce crops. J. Irrig. Drain. Eng. 2008, 134, 437–445. [Google Scholar] [CrossRef]
  18. Thompson, T.; Doerge, T. Nitrogen and water rates for subsurface trickle-irrigated romaine lettuce. HortScience 1995, 30, 1233–1237. [Google Scholar] [CrossRef]
  19. Gardner, B.R.; Pew, W.D. Comparison of nitrogen sources for winter-grown head lettuce. J. Am. Soc. Hortic. Sci. 1979, 104, 534–536. [Google Scholar] [CrossRef]
  20. Tei, F.; Benincasa, P.; Guiducci, M. Critical nitrogen concentration in lettuce. In Proceedings of the XXVI International Horticultural Congress: Toward Ecologically Sound Fertilization Strategies for Field Vegetable Production 627, Toronto, ON, Canada, 28 October 2003; pp. 187–194. [Google Scholar] [CrossRef]
  21. Welch, N.C.; Tyler, K.; Ririe, D. Nitrogen stabilization in Pajaro Valley lettuce, celery and strawberries. Calif. Agric. 1979, 33, 12–13. [Google Scholar]
  22. Bottoms, T.; Smith, R.; Cahn, M.; Hartz, T. Nitrogen requirements and nitrogen status determination of lettuce. HortScience 2012, 47, 1768–1774. [Google Scholar] [CrossRef]
  23. Sanchez, C.A.; Doerge, T.A. Using nutrient uptake patterns to develop efficient nitrogen management strategies for vegetables. HortTechnology 1999, 9, 601–606. [Google Scholar] [CrossRef]
  24. Breschini, S.J.; Hartz, T.K. Presidedress soil nitrate testing reduces nitrogen fertilizer use and nitrate leaching hazard in lettuce. HortScience 2002, 37, 1061–1064. [Google Scholar] [CrossRef]
  25. Singh, R.; Kumar, V.; Sharma, P.; Meena, M.L.; Rani, S. Evaluation of nitrogen, phosphorus, and potassium applications on lettuce yield and quality. Agronomy 2022, 12, 2477. [Google Scholar] [CrossRef]
  26. Benincasa, P.; Guiducci, M.; Tei, F. Growth, critical N concentration, and nitrogen demand in butterhead and crisphead lettuce. Agronomy 2019, 9, 681. [Google Scholar] [CrossRef]
  27. Zhang, H.; Zhao, F.; Liu, X.; Chen, J. Effects of nitrogen fertilizers on growth and nitrate content of lettuce. Int. J. Environ. Res. Public Health 2014, 11, 4427–4440. [Google Scholar] [CrossRef]
  28. Cahn, M.; Johnson, L.; Benzen, S. Evapotranspiration-based irrigation trials in romaine lettuce. Horticulturae 2022, 8, 857. [Google Scholar] [CrossRef]
  29. Abd-Elrahman, S.H.; Saudy, H.S.; Abd El-Fattah, D.A.; Hashem, F.A. Effect of irrigation water and organic fertilizer on reducing nitrate accumulation and boosting lettuce productivity. J. Soil Sci. Plant Nutr. 2022, 22, 2144–2155. [Google Scholar] [CrossRef]
  30. CIMIS. California Irrigation Management Information System. Available online: https://cimis.water.ca.gov/SpatialData.aspx (accessed on 17 September 2025).
  31. Melton, F.S.; Johnson, L.F.; Lund, C.P.; Pierce, L.L.; Michaelis, A.R.; Hiatt, S.H.; Guzman, A.; Adhikari, D.D.; Purdy, A.J.; Rosevelt, C.; et al. Satellite irrigation management support with the terrestrial observation and prediction system. IEEE J. Sel. Top. Appl. Earth Obs. Remote Sens. 2012, 5, 1709–1721. [Google Scholar] [CrossRef]
  32. Hartz, T.K.; Bendixen, W.E.; Wierdsma, L. The value of pre-sidedress soil nitrate testing as a nitrogen management tool in irrigated vegetable production. HortScience 2000, 35, 651–656. [Google Scholar] [CrossRef]
  33. Smith, R.; Chan, M. Details on the Soil Nitrate Quick Test. UCANR Blog, 1 April 2019. Available online: https://ucanr.edu/blogs/blogcore/postdetail.cfm?postnum=4406 (accessed on 12 October 2025).
  34. Miras-Avalos, J.; Rubio-Asensio, J.; Ramirez-Cuesta, J.; Maestre-Valero, J.; Intrigliolo, D. Irrigation-Advisor—A decision support system for irrigation of vegetable crops. Water 2019, 11, 2245. [Google Scholar] [CrossRef]
  35. Gallardo, M.; Elia, A.; Thompson, R. Decision support systems and models for aiding irrigation and nutrient management of vegetable crops. Agric. Water Manag. 2020, 240, 106209. [Google Scholar] [CrossRef]
  36. Cahn, M.; Hartz, T.; Smith, R.; Noel, B.; Johnson, L.; Melton, F. CropManage: An online decision support tool for irrigation and nutrient management. In Proceedings of the Western Nutrient Management Conference, Reno, NV, USA, 5–6 March 2015; Volume 11. [Google Scholar]
  37. Cahn, M.; Smith, R.; Melton, F. Field evaluations of the CropManage decision support tool for improving irrigation and nutrient use of cool-season vegetables in California. Agric. Water Manag. 2023, 287, 108401. [Google Scholar] [CrossRef]
  38. Montazar, A.; Geisseler, D.; Cahn, M. Spatial variability of nitrogen uptake and net removal and actual evapotranspiration in the California desert carrot production system. Agriculture 2021, 11, 752. [Google Scholar] [CrossRef]
  39. Matejović, I. Total nitrogen in plant material determined by means of dry combustion: A possible alternative to determination by Kjeldahl digestion. Commun. Soil Sci. Plant Anal. 1995, 26, 2217–2229. [Google Scholar] [CrossRef]
  40. Hatfield, J.L.; Dold, C. Water-use efficiency: Advances and challenges in a changing climate. Front. Plant Sci. 2019, 10, 103. [Google Scholar] [CrossRef]
  41. Moll, R.H.; Kamprath, E.J.; Jackson, W.A. Analysis and interpretation of factors which contribute to efficiency of nitrogen utilization. Agron. J. 1982, 74, 562–564. [Google Scholar] [CrossRef]
  42. Sammis, T.W. Comparison of sprinkler, trickle, subsurface, and furrow irrigation methods for row crops. Agron. J. 1980, 72, 701–704. [Google Scholar] [CrossRef]
  43. Patra, S.K.; Sengupta, S.; Bhattacharya, P.; Bhattacharyya, K. Enhancing yield of lettuce through irrigation and nitrogen management in a subtropical Inceptisol. Isr. J. Plant Sci. 2023, 70, 76–90. [Google Scholar] [CrossRef]
  44. Pereira, L.S.; Saad, J.C.C.; Cardoso, A.I.I.; Silva, M.A.; Lima, C.J.C.; Silva, E.M. Intermittence in irrigation management and nitrogen optimize yield and water use efficiency in baby lettuce. Span. J. Agric. Res. 2023, 21, e1202. [Google Scholar] [CrossRef]
  45. Ansari, M.; Chaichi, M.R.; Bhandari, S.; Raheja, A. Water and nitrogen use efficiency of lettuce under water-stressed growing conditions. Can. J. Agric. Crops 2019, 4, 111–120. [Google Scholar]
  46. Economakis, C.D.; Koleilat, R. Effect of nitrogen concentration on growth, water, and nutrient uptake of lettuce plants in solution culture. Acta Hortic. 1997, 449, 223–228. [Google Scholar] [CrossRef]
  47. Dhungel, R.; Anderson, R.G.; French, A.N.; Saber, M.; Sanchez, C.A.; Scudiero, E. Assessing evapotranspiration in a lettuce crop with a two-source energy balance model. Irrig. Sci. 2023, 41, 183–196. [Google Scholar] [CrossRef]
  48. Michelon, N.; Pennisi, G.; Myint, N.; Orsini, F.; Gianquinto, G. Strategies for improved water use efficiency (WUE) of field-grown lettuce (Lactuca sativa L.) under a semi-arid climate. Agronomy 2020, 10, 668. [Google Scholar] [CrossRef]
  49. Tei, F.; Benincasa, P.; Guiducci, M. Nitrogen fertilisation of lettuce, processing tomato and sweet pepper: Yield, nitrogen uptake and the risk of nitrate leaching. Acta Hortic. 1999, 506, 61–67. [Google Scholar] [CrossRef]
  50. Workineh, M.; Markos, D. Effects of nitrogen and intra-row spacing on growth and yield components of lettuce (Lactuca sativa) in Eastern Gojjam Zone, Ethiopia. J. Biol. Agric. Healthc. 2022, 12, 1–5. [Google Scholar] [CrossRef]
  51. Moniruzzaman, M. Effects of plant spacing and mulching on yield and profitability of lettuce (Lactuca sativa L.). J. Agric. Rural. Dev. 2006, 4, 107–111. [Google Scholar] [CrossRef]
Figure 1. Photographs of the two adjacent bed-width trials. (A) View showing portions of the 2 m beds in the foreground with the 1 m beds behind them. (B) Reverse view showing portions of the 1 m beds in the foreground and the 2 m beds in the background. The photographs depict iceberg lettuce during the 2023–2024 season.
Figure 1. Photographs of the two adjacent bed-width trials. (A) View showing portions of the 2 m beds in the foreground with the 1 m beds behind them. (B) Reverse view showing portions of the 1 m beds in the foreground and the 2 m beds in the background. The photographs depict iceberg lettuce during the 2023–2024 season.
Horticulturae 11 01507 g001
Figure 2. Daily reference evapotranspiration (ETo), rainfall, solar radiation, air temperature, and wind speed recorded at the Meloland CIMIS #87 station (≈1 km from the DREC trials) during the primary lettuce production period (October–February) for the 2022–2023, 2023–2024, and 2024–2025 seasons. Meloland CIMIS #87 represents the regional weather conditions for the study area.
Figure 2. Daily reference evapotranspiration (ETo), rainfall, solar radiation, air temperature, and wind speed recorded at the Meloland CIMIS #87 station (≈1 km from the DREC trials) during the primary lettuce production period (October–February) for the 2022–2023, 2023–2024, and 2024–2025 seasons. Meloland CIMIS #87 represents the regional weather conditions for the study area.
Horticulturae 11 01507 g002
Figure 3. Soil matric potential at 30 cm depth across trials and seasons. I1 and I2 correspond to the 100% ET and 125% ET irrigation strategies, respectively. D1–D6 indicate individual trials, and DAP denotes days after planting.
Figure 3. Soil matric potential at 30 cm depth across trials and seasons. I1 and I2 correspond to the 100% ET and 125% ET irrigation strategies, respectively. D1–D6 indicate individual trials, and DAP denotes days after planting.
Horticulturae 11 01507 g003
Figure 4. Mean fresh biomass, marketable yield, and dry biomass of lettuce across irrigation and nitrogen treatments over three crop seasons for the 2 m and 1 m bed trials (shown in different colors). Bars with different letters indicate significant differences among treatments (Tukey’s HSD, p < 0.05). “2m-Bio”, “1m-Bio”, “2m-Mar”, “1m-Mar”, “2m-Dry”, and “1m-Dry” denote (ac) fresh biomass, (df) marketable yield, and (gi) dry biomass measured in the 2 m and 1 m bed trials, respectively. Irrigation treatments: I1 = 100% ET and I2 = 125% ET. Nitrogen treatments: N1 = 80% N2, N2 = CropManage-based N rate, and N3 = 120% N2. Error bars represent standard deviations.
Figure 4. Mean fresh biomass, marketable yield, and dry biomass of lettuce across irrigation and nitrogen treatments over three crop seasons for the 2 m and 1 m bed trials (shown in different colors). Bars with different letters indicate significant differences among treatments (Tukey’s HSD, p < 0.05). “2m-Bio”, “1m-Bio”, “2m-Mar”, “1m-Mar”, “2m-Dry”, and “1m-Dry” denote (ac) fresh biomass, (df) marketable yield, and (gi) dry biomass measured in the 2 m and 1 m bed trials, respectively. Irrigation treatments: I1 = 100% ET and I2 = 125% ET. Nitrogen treatments: N1 = 80% N2, N2 = CropManage-based N rate, and N3 = 120% N2. Error bars represent standard deviations.
Horticulturae 11 01507 g004
Figure 5. Cumulative nitrogen (N) uptake of lettuce as a function of days after planting (DAP). Uptake followed two phases: a slow early phase (0–39 DAP; ≈10 kg N ha−1) and a rapid, linear mid-season phase (≥40 DAP). The dashed line shows the fitted linear model for the rapid accumulation period. The analysis is based on 501 observations from trials at DREC and eight commercial sites and represents general N uptake trends in drip-irrigated desert systems.
Figure 5. Cumulative nitrogen (N) uptake of lettuce as a function of days after planting (DAP). Uptake followed two phases: a slow early phase (0–39 DAP; ≈10 kg N ha−1) and a rapid, linear mid-season phase (≥40 DAP). The dashed line shows the fitted linear model for the rapid accumulation period. The analysis is based on 501 observations from trials at DREC and eight commercial sites and represents general N uptake trends in drip-irrigated desert systems.
Horticulturae 11 01507 g005
Table 1. General information of trials (D1–D6) conducted at the Desert Research and Extension Center over three crop seasons. ETo and precipitation refer to reference evapotranspiration and rainfall (Meloland CIMIS #87) from planting to harvest, respectively.
Table 1. General information of trials (D1–D6) conducted at the Desert Research and Extension Center over three crop seasons. ETo and precipitation refer to reference evapotranspiration and rainfall (Meloland CIMIS #87) from planting to harvest, respectively.
TrialLettuce Crop Bed Width (m)Date of First Irrigation After PlantingHarvestETo (mm)Precipitation (mm)
D1Iceberg24 November 202231 January 20232410
D2Iceberg14 November 202231 January 20232410
D3Iceberg27 November 20236 February 202423626
D4Iceberg17 November 20236 February 202423626
D5Romaine221 October 202414 January 20252630
D6Romaine121 October 202414 January 20252630
Table 2. General information of commercial sites (C1–C8). ETo and precipitation refer to reference evapotranspiration and rainfall (Meloland CIMIS #87) from planting to harvest, respectively.
Table 2. General information of commercial sites (C1–C8). ETo and precipitation refer to reference evapotranspiration and rainfall (Meloland CIMIS #87) from planting to harvest, respectively.
TrialLettuce Crop Bed Width (m)Soil TextureDate of First Irrigation After PlantingHarvestETo (mm)Precipitation (mm)
C1Iceberg *1 **Loamy fine sand 11 November 20228 February 20232480
C2Romaine *1Sandy loam30 October 202224 January 20232490
C3Iceberg2 **Silty clay loam30 October 202229 January 20232550
C4Romaine2Silty loam5 November 20223 February 20232440
C5Romaine *1Sandy loam11 November 202312 February 202422425
C6Iceberg *1Loamy fine sand9 November 20238 February 202422722
C7Iceberg2Silty clay loam14 November 202312 February 202423129
C8Romaine2Silty loam17 November 202315 February 202422931
* Sprinklers were used during the first week after planting to ensure uniform germination, after which irrigation was switched to drip systems for the remainder of the season. Drip irrigation was used for germinating seeds in all other trials. ** 1 m and 2 m wide raised beds had one and three driplines per bed, respectively.
Table 3. Total applied water (mm) and nitrogen (kg ha−1) for trials D1–D6. Applied water includes irrigation plus rainfall. Irrigation treatments: I1 = 100% ET and I2 = 125% ET. Nitrogen treatments: N1–N3 represent the three N application rates.
Table 3. Total applied water (mm) and nitrogen (kg ha−1) for trials D1–D6. Applied water includes irrigation plus rainfall. Irrigation treatments: I1 = 100% ET and I2 = 125% ET. Nitrogen treatments: N1–N3 represent the three N application rates.
Trial Water Applied (mm)N Applied (kg ha−1)
Bed Width (m)I1I2N1N2N3
D12230288101125150
D2120926189110132
D3222428098120144
D4120425685105127
D5224430596120146
D6122027587108130
Table 4. Mean crop N uptake (kg ha−1) in replicated trials across three seasons for the 2 m and 1 m bed widths. Means with different letters within a column differ significantly (p < 0.05). The table includes p-values from the ANOVA for irrigation (I), nitrogen (N), and the I × N interaction. Irrigation treatments: I1 = 100% ET and I2 = 125% ET. Nitrogen treatments: N1–N3 denote the three N application rates.
Table 4. Mean crop N uptake (kg ha−1) in replicated trials across three seasons for the 2 m and 1 m bed widths. Means with different letters within a column differ significantly (p < 0.05). The table includes p-values from the ANOVA for irrigation (I), nitrogen (N), and the I × N interaction. Irrigation treatments: I1 = 100% ET and I2 = 125% ET. Nitrogen treatments: N1–N3 denote the three N application rates.
Treatment2022–20232023–20242024–2025
2 m1 m2 m1 m2 m1 m
I1N1126 a104 a109 a105 a121 a106 a
I1N2146 b127 b123 b99 a137 b121 b
I1N3132 a123 b137 b110 ab155 c141 c
I2N1127 a105 a123 b100 a128 a104 a
I2N2131 a127 b133 b116 ab148 c127 b
I2N3141 b125 b149 c125 b150 c140 c
p-values of significance test
Irrigation (I)0.7120.4680.00020.0620.0220.551
Nitrogen (N)0.047<0.0001<0.0001<0.0001<0.0001<0.0001
I × N0.0570.7870.7380.0770.0060.173
Table 5. Leaf N content (%) of lettuce under irrigation (I1–I2) and N (N1–N3) treatments across the 2022–2023, 2023–2024, and 2024–2025 seasons for the 1 m and 2 m bed widths. Values are means, and different letters within a column indicate significant differences (p < 0.05). Irrigation treatments: I1 = 100% ET and I2 = 125% ET. N treatments: N1–N3 represent the three application rates.
Table 5. Leaf N content (%) of lettuce under irrigation (I1–I2) and N (N1–N3) treatments across the 2022–2023, 2023–2024, and 2024–2025 seasons for the 1 m and 2 m bed widths. Values are means, and different letters within a column indicate significant differences (p < 0.05). Irrigation treatments: I1 = 100% ET and I2 = 125% ET. N treatments: N1–N3 represent the three application rates.
Treatment2022–20232023–20242024–2025
2 m1 m2 m1 m2 m1 m
I1N13.21 a3.10 a3.32 a3.55 ab3.15 a3.32 a
I1N23.34 a3.37 a3.56 a3.43 a3.26 a3.47 a
I1N33.50 ab3.42 ab3.62 b3.79 b3.36 a3.51 ab
I2N13.33 a3.31 a3.40 a3.25 a3.24 a3.10 a
I2N23.74 b3.50 b3.49 a3.31 a3.30 a3.35 a
I2N33.82 b3.85 c3.63 b3.66 b3.53 b3.67 b
Table 6. Mean soil NO3–N concentrations at post-thinning and harvest for the 2 m and 1 m bed trials. Means with different letters within a column (post-thinning or harvest) differ significantly (p < 0.05). Irrigation treatments: I1 = 100% ET and I2 = 125% ET. N treatments: N1–N3 represent the three application rates.
Table 6. Mean soil NO3–N concentrations at post-thinning and harvest for the 2 m and 1 m bed trials. Means with different letters within a column (post-thinning or harvest) differ significantly (p < 0.05). Irrigation treatments: I1 = 100% ET and I2 = 125% ET. N treatments: N1–N3 represent the three application rates.
VariableTreatment2022–20232023–20242024–2025
2 m1 m2 m1 m2 m1 m
Soil NO3-N at post-thinning (mg kg−1)I1N133.6 a37.8 b58.7 b56 b51.7 b54.5 b
I1N231.5 a31.3 a50.9 a46.6 a48.9 a53.7 ab
I1N338.1 b33.2 a51.3 a48.7 a47.7 a50.2 a
I2N130.7 a39.3 b48.5 a45.6 a45.5 a49.3 a
I2N231.4 a33.0 a53.6 ab44.7 a50.4 ab50.3 a
I2N330.5 a32.5 a46.5 a53.8 ab47.1 a48.6 a
Soil NO3-N at harvest (mg kg−1)I1N127.9 a25.7 a25.7 a30.2 a25.5 a31.3 ab
I1N237.3 b30.2 ab30.2 a30.8 a30.8 b27.6 a
I1N333.2 b41.6 c40.4 c33.5 b41.3 c39.4 c
I2N130.5 ab36.5 bc35.3 b28.6 a23.4 a32.8 b
I2N239.4 bc33.4 b31.1 ab29.9 a28 b26.7 a
I2N340.2 c37.1 c39.5 c34.7 b36.1 c30.5 a
Table 7. Mean water use efficiency (WUE; kg ha−1 mm−1) across treatments. Means with different letters within a column differ significantly (Tukey’s HSD, p < 0.05). The table includes p-values from the ANOVA for irrigation (I), nitrogen (N), and the I × N interaction. Fresh biomass yields for the 1 m and 2 m beds are labeled 1m-Bio and 2m-Bio (7-1), and dry biomass yields as 1m-Dry and 2m-Dry (7-2). Total water input (irrigation + rainfall) was used for all WUE calculations. Irrigation treatments: I1 = 100% ET and I2 = 125% ET. N treatments: N1–N3 represent the three application rates.
Table 7. Mean water use efficiency (WUE; kg ha−1 mm−1) across treatments. Means with different letters within a column differ significantly (Tukey’s HSD, p < 0.05). The table includes p-values from the ANOVA for irrigation (I), nitrogen (N), and the I × N interaction. Fresh biomass yields for the 1 m and 2 m beds are labeled 1m-Bio and 2m-Bio (7-1), and dry biomass yields as 1m-Dry and 2m-Dry (7-2). Total water input (irrigation + rainfall) was used for all WUE calculations. Irrigation treatments: I1 = 100% ET and I2 = 125% ET. N treatments: N1–N3 represent the three application rates.
Treatment2022–20232023–20242024–2025
2m-Bio1m-Bio2m-Bio1m-Bio2m-Bio1m-Bio
I1N1318 b287 b312 b290 b324 b258 b
I1N2322 b292 b321 b297 b336 b264 b
I1N3331 b280 b318 b277 b329 b262 b
I2N1263 a225 a263 a222 a269 a213 a
I2N2260 a238 a269 a236 a265 a223 a
I2N3261 a231 a257 a226 a260 a218 a
p-values of significance test
Irrigation (I)<0.01<0.01<0.01<0.01<0.01<0.01
Nitrogen (N)0.940.480.660.530.620.50
I × N0.860.760.820.790.430.94
Treatment2022–20232023–20242024–2025
2m-Dry1m-Dry2m-Dry1m-Dry2m-Dry1m-Dry
I1N116 cd14 b12 ab13 b16 c13 b
I1N218 d16 b12 ab12 b17 c15 b
I1N314 bc13 a14 b13 b17 c13 b
I2N113 b12 a11 a10 a12 a11 a
I2N211 a11 a11 a11 a14 b12 a
I2N311 a11 a11 a10 a13 a12 a
p-values of significance test
Irrigation (I)<0.01<0.01<0.01<0.01<0.01<0.01
Nitrogen (N)0.010.070.410.86<0.010.72
I × N0.030.260.040.070.210.06
Table 8. Mean nitrogen use efficiency (NUE; kg kg−1 N) across treatments averaged over three seasons. Means with different letters within a column differ significantly (Tukey’s HSD, p < 0.05). The table includes p-values from the ANOVA for irrigation (I), nitrogen (N), and the I × N interaction. Fresh biomass yields for the 1 m and 2 m beds are labeled 1m-Bio and 2m-Bio (8-1), and dry biomass yields as 1m-Dry and 2m-Dry (8-2). Irrigation treatments: I1 = 100% ET and I2 = 125% ET. N treatments: N1–N3 represent the three N application rates.
Table 8. Mean nitrogen use efficiency (NUE; kg kg−1 N) across treatments averaged over three seasons. Means with different letters within a column differ significantly (Tukey’s HSD, p < 0.05). The table includes p-values from the ANOVA for irrigation (I), nitrogen (N), and the I × N interaction. Fresh biomass yields for the 1 m and 2 m beds are labeled 1m-Bio and 2m-Bio (8-1), and dry biomass yields as 1m-Dry and 2m-Dry (8-2). Irrigation treatments: I1 = 100% ET and I2 = 125% ET. N treatments: N1–N3 represent the three N application rates.
Treatment2022–20232023–20242024–2025
2m-Bio1m-Bio2m-Bio1m-Bio2m-Bio1m-Bio
I1N1723.8 c674.7 c712.3 c696.8 c824.2 c653.0 c
I1N2592.9 b555.4 b599.6 b577.2 b683.4 b537.6 b
I1N3507.1 a443.6 a494.1 a445.6 a549.9 a442.6 a
I2N1749.7 c660.9 c751.3 c667.4 c855.4 c672.5 c
I2N2598.2 b563.8 b627.8 b574.2 b674.4 b567.3 b
I2N3498.3 a456.0 a499.6 a456.6 a542.2 a461.6 a
p-values of significance test
Irrigation (I)0.760.870.230.770.720.07
Nitrogen (N)<0.01<0.01<0.01<0.01<0.01<0.01
I × N0.840.720.770.780.390.09
Treatment2022–20232023–20242024–2025
2m-Dry1m-Dry2m-Dry1m-Dry2m-Dry1m-Dry
I1N135.6 bc33.6 b27.8 b32.3 c39.8 d33.2 c
I1N232.1 b28.9 b23.6 b23.7 b34.3 b29.3 bc
I1N321.6 a20.5 a21.5 a20.2 a28.9 a22.8 a
I2N137.3 c34.4 b32.0 c28.5 bc37.1 c40.2 d
I2N232.4 b26.5 b26.1 b27.2 b34.5 b29.6 b
I2N321.5 a20.8 a20.7 a20.5 a26.9 a25.3 ab
p-values of significance test
Irrigation (I)0.200.540.030.980.03<0.01
Nitrogen (N)<0.01<0.01<0.01<0.01<0.01<0.01
I × N0.020.320.060.040.17<0.01
Table 9. Applied water (mm) and N fertilizer (kg ha−1) at commercial sites (C1–C8) comparing CropManage (CM) recommendations with farmer standard practice (FS).
Table 9. Applied water (mm) and N fertilizer (kg ha−1) at commercial sites (C1–C8) comparing CropManage (CM) recommendations with farmer standard practice (FS).
SiteStatus (Applied as FS or Recommended by CM)Applied Water or Recommended (mm)Applied N or Recommended (kg ha−1)
C1FS503289
CM247160
C2FS341234
CM237151
C3FS362153
CM240142
C4FS259135
CM228119
C5FS368228
CM247145
C6FS485267
CM244165
C7FS322139
CM234111
C8FS268168
CM237141
AverageFS364202
CM239144
Disclaimer/Publisher’s Note: The statements, opinions and data contained in all publications are solely those of the individual author(s) and contributor(s) and not of MDPI and/or the editor(s). MDPI and/or the editor(s) disclaim responsibility for any injury to people or property resulting from any ideas, methods, instructions or products referred to in the content.

Share and Cite

MDPI and ACS Style

Montazar, A.; Geisseler, D.; Cahn, M.D. Assessing Water and Nitrogen Management Practices in Drip-Irrigated Desert Lettuce. Horticulturae 2025, 11, 1507. https://doi.org/10.3390/horticulturae11121507

AMA Style

Montazar A, Geisseler D, Cahn MD. Assessing Water and Nitrogen Management Practices in Drip-Irrigated Desert Lettuce. Horticulturae. 2025; 11(12):1507. https://doi.org/10.3390/horticulturae11121507

Chicago/Turabian Style

Montazar, Aliasghar, Daniel Geisseler, and Michael D. Cahn. 2025. "Assessing Water and Nitrogen Management Practices in Drip-Irrigated Desert Lettuce" Horticulturae 11, no. 12: 1507. https://doi.org/10.3390/horticulturae11121507

APA Style

Montazar, A., Geisseler, D., & Cahn, M. D. (2025). Assessing Water and Nitrogen Management Practices in Drip-Irrigated Desert Lettuce. Horticulturae, 11(12), 1507. https://doi.org/10.3390/horticulturae11121507

Note that from the first issue of 2016, this journal uses article numbers instead of page numbers. See further details here.

Article Metrics

Back to TopTop