Genome-Wide Characterization of the Role of WRKY and VQ Gene Families in Pecan and Their Expression Profile During Development and in Response to Abiotic Stresses
Abstract
1. Introduction
2. Materials and Methods
2.1. Identification of the WRKY and VQ Gene Family Members in Pecan
2.2. Sequence Properties and Subcellular Localization Prediction
2.3. Multiple Sequence Alignment and Phylogenetic Tree Construction
2.4. Chromosomal Distribution Analysis
2.5. Gene Structure and Conserved Motif Analysis
2.6. Cis-Acting Element Analysis
2.7. Duplication Events and Ka/Ks Calculation
2.8. Transcriptome Data Analysis
2.9. Co-Expression Network Construction
2.10. Plant Materials, Growth Conditions, and Treatments
2.11. RNA Isolation, cDNA Synthesis, and qRT-PCR Analysis
2.12. Statistical Analysis
3. Results
3.1. Annotation and In Silico Characterization of WRKYs and VQs in Pecan
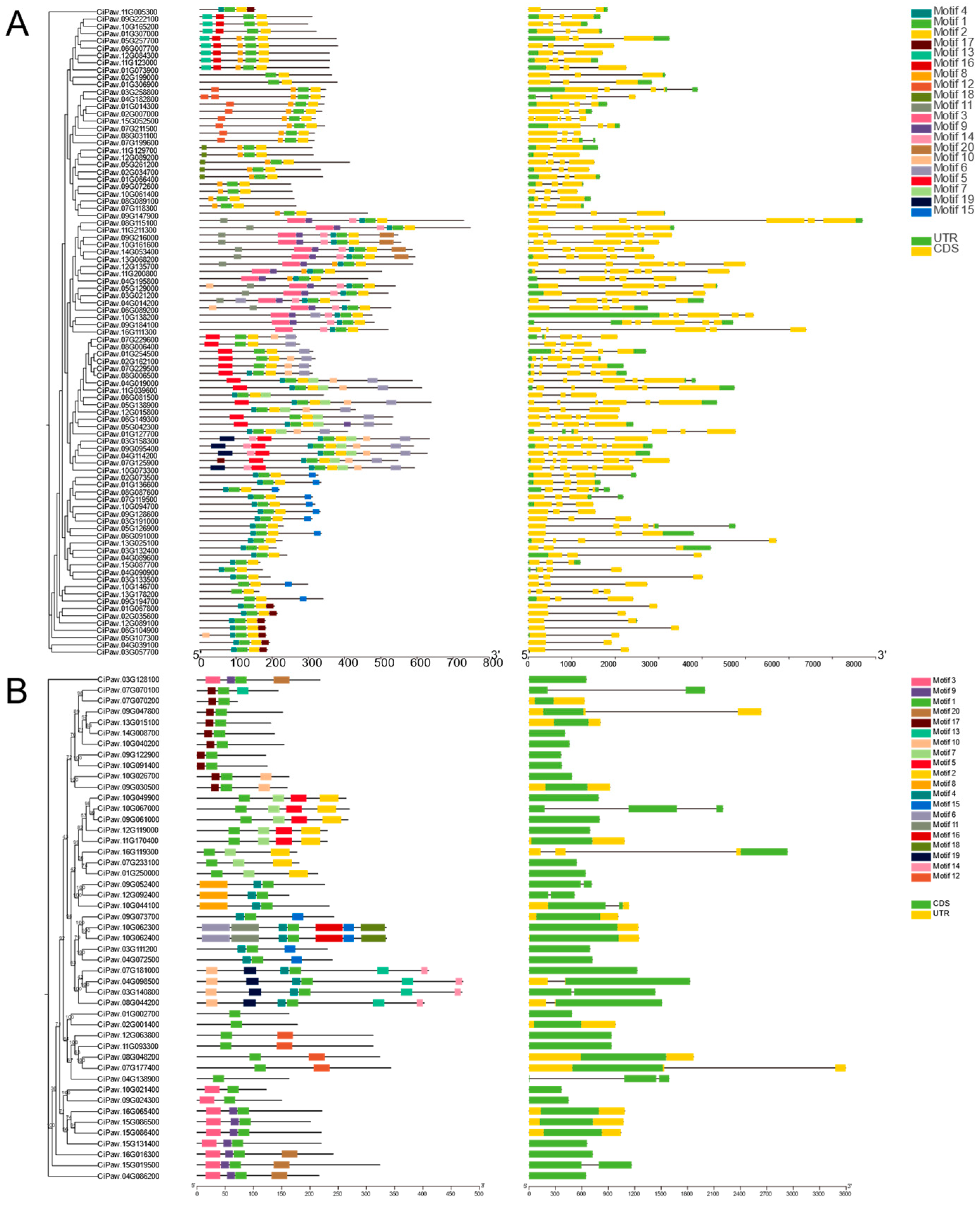
3.2. Gene Structure and Conserved Motif Composition of CiWRKYs and CiVQs
3.3. Conserved Domain Analysis and Phylogenetic Relationships of CiWRKY and CiVQ Proteins
3.4. Chromosomal Localization of CiWRKY and CiVQ Genes
3.5. Duplication Events and Ka/Ks Analysis of CiWRKY and CiVQ Genes in Pecan
3.6. Cis-Acting Element Analysis in the Promoters of CiWRKY and CiVQ Genes in Pecan
3.7. Expression and Co-Expression Analysis of Pecan WRKY and VQ Genes in Various Tissues
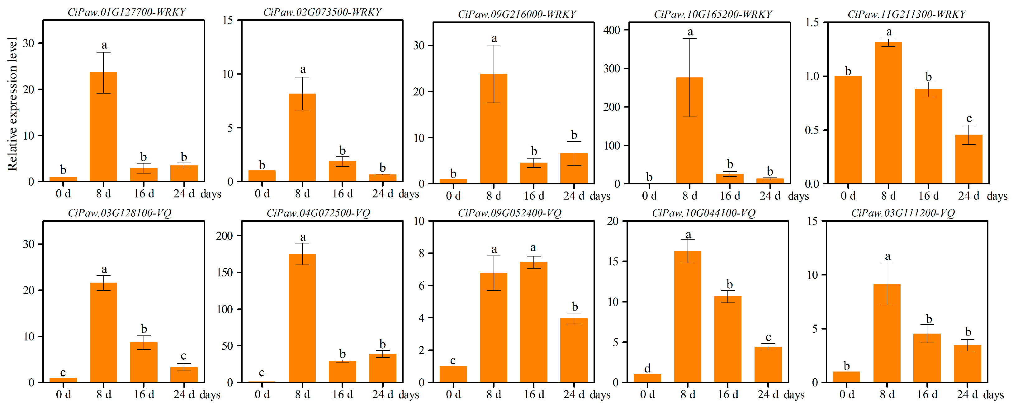
3.8. Expression Patterns and Co-Expression Analysis of Pecan WRKY and VQ Genes Under Drought Treatment
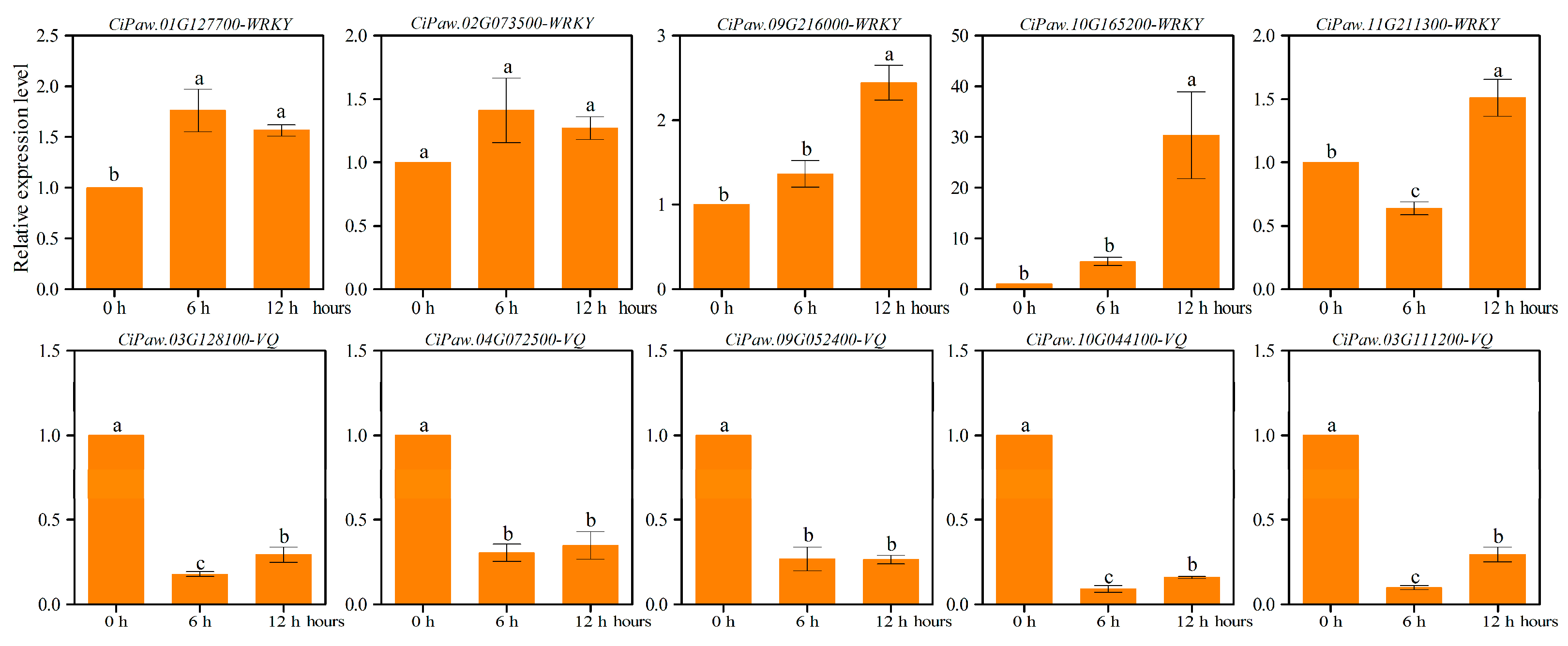
3.9. Response and Expression Pattern of Pecan WRKY and VQ Genes Under Salt and ABA Treatments
4. Discussion
5. Conclusions
Supplementary Materials
Author Contributions
Funding
Data Availability Statement
Conflicts of Interest
References
- Zhu, K.; Fan, P.; Liu, H.; Zhao, J.; Tan, P.; Mo, Z.; Peng, F. Pecan Kinome: Classification and Expression Analysis of All Protein Kinases in Carya illinoinensis. For. Res. 2021, 1, 14. [Google Scholar] [CrossRef] [PubMed]
- Maciel, L.G.; Ribeiro, F.L.; Teixeira, G.L.; Molognoni, L.; Nascimento Dos Santos, J.; Larroza Nunes, I.; Mara Block, J. The Potential of the Pecan Nut Cake as an Ingredient for the Food Industry. Food Res. Int. 2020, 127, 108718. [Google Scholar] [CrossRef]
- Zhang, J.; Jiao, Y.; Sharma, A.; Shen, D.; Wei, B.; Hong, C.; Zheng, B.; Pan, C. Transcriptomic Analysis Reveals Potential Pathways Associated with Salt Resistance in Pecan (Carya illinoensis K. Koch). J. Biotechnol. 2021, 330, 17–26. [Google Scholar] [CrossRef]
- Yang, B.; Yang, C.; Chen, J.; Ren, H.; Wang, K.; Liu, L.; Yao, X. CiNAC2 Positively Regulates Drought Stress Tolerance by Promoting Superoxide Dismutase Activity in Pecan (Carya illinoinensis). Hortic. Plant J. 2025, 11, 133–144. [Google Scholar] [CrossRef]
- Rushton, P.J.; Somssich, I.E.; Ringler, P.; Shen, Q.J. WRKY Transcription Factors. Trends Plant Sci. 2010, 15, 247–258. [Google Scholar] [CrossRef]
- Wani, S.H.; Anand, S.; Singh, B.; Bohra, A.; Joshi, R. WRKY Transcription Factors and Plant Defense Responses: Latest Discoveries and Future Prospects. Plant Cell Rep. 2021, 40, 1071–1085. [Google Scholar] [CrossRef]
- Dai, W.-S.; Peng, T.; Wang, M.; Liu, J.-H. Genome-Wide Identification and Comparative Expression Profiling of the WRKY Transcription Factor Family in Two Citrus Species with Different Candidatus Liberibacter Asiaticus Susceptibility. BMC Plant Biol. 2023, 23, 159. [Google Scholar] [CrossRef] [PubMed]
- Cheng, Z.; Luan, Y.; Meng, J.; Sun, J.; Tao, J.; Zhao, D. WRKY Transcription Factor Response to High-Temperature Stress. Plants 2021, 10, 2211. [Google Scholar] [CrossRef] [PubMed]
- Tao, Z.; Kou, Y.; Liu, H.; Li, X.; Xiao, J.; Wang, S. OsWRKY45 Alleles Play Different Roles in Abscisic Acid Signalling and Salt Stress Tolerance but Similar Roles in Drought and Cold Tolerance in Rice. J. Exp. Bot. 2011, 62, 4863–4874. [Google Scholar] [CrossRef]
- Wang, H.; Chen, W.; Xu, Z.; Chen, M.; Yu, D. Functions of WRKYs in Plant Growth and Development. Trends Plant Sci. 2023, 28, 630–645. [Google Scholar] [CrossRef]
- Rehman, S.; Bahadur, S.; Xia, W. Unlocking Nature’s Secrets: The Pivotal Role of WRKY Transcription Factors in Plant Flowering and Fruit Development. Plant Sci. 2024, 346, 112150. [Google Scholar] [CrossRef]
- Wang, M.; Vannozzi, A.; Wang, G.; Zhong, Y.; Corso, M.; Cavallini, E.; Cheng, Z.-M. A Comprehensive Survey of the Grapevine VQ Gene Family and Its Transcriptional Correlation with WRKY Proteins. Front. Plant Sci. 2015, 6, 417. [Google Scholar] [CrossRef]
- Zhong, Y.; Guo, C.; Chu, J.; Liu, H.; Cheng, Z.-M. Microevolution of the VQ Gene Family in Six Species of Fragaria. Genome 2018, 61, 49–57. [Google Scholar] [CrossRef]
- Hu, Y.; Chen, L.; Wang, H.; Zhang, L.; Wang, F.; Yu, D. Arabidopsis Transcription Factor WRKY 8 Functions Antagonistically with Its Interacting Partner VQ 9 to Modulate Salinity Stress Tolerance. Plant J. 2013, 74, 730–745. [Google Scholar] [CrossRef] [PubMed]
- Cheng, Y.; Zhou, Y.; Yang, Y.; Chi, Y.-J.; Zhou, J.; Chen, J.-Y.; Wang, F.; Fan, B.; Shi, K.; Zhou, Y.-H.; et al. Structural and Functional Analysis of VQ Motif-Containing Proteins in Arabidopsis as Interacting Proteins of WRKY Transcription Factors. Plant Physiol. 2012, 159, 810–825. [Google Scholar] [CrossRef] [PubMed]
- Lovell, J.T.; Bentley, N.B.; Bhattarai, G.; Jenkins, J.W.; Sreedasyam, A.; Alarcon, Y.; Bock, C.; Boston, L.B.; Carlson, J.; Cervantes, K.; et al. Four Chromosome Scale Genomes and a Pan-Genome Annotation to Accelerate Pecan Tree Breeding. Nat. Commun. 2021, 12, 4125. [Google Scholar] [CrossRef]
- Tian, J.; Zhang, J.; Francis, F. The Role and Pathway of VQ Family in Plant Growth, Immunity, and Stress Response. Planta 2024, 259, 16. [Google Scholar] [CrossRef] [PubMed]
- Atanasov, A.G.; Sabharanjak, S.M.; Zengin, G.; Mollica, A.; Szostak, A.; Simirgiotis, M.; Huminiecki, Ł.; Horbanczuk, O.K.; Nabavi, S.M.; Mocan, A. Pecan Nuts: A Review of Reported Bioactivities and Health Effects. Trends Food Sci. Technol. 2018, 71, 246–257. [Google Scholar] [CrossRef]
- Xiao, L.; Yu, M.; Zhang, Y.; Hu, J.; Zhang, R.; Wang, J.; Guo, H.; Zhang, H.; Guo, X.; Deng, T.; et al. Chromosome-Scale Assembly Reveals Asymmetric Paleo-Subgenome Evolution and Targets for the Acceleration of Fungal Resistance Breeding in the Nut Crop, Pecan. Plant Commun. 2021, 2, 100247. [Google Scholar] [CrossRef]
- Jia, X.; Xu, M.; Tan, W.; Wang, Z.; Guo, Z.; Yang, X.; Liu, C. Proteomic and Transcriptomic Analyses Provide New Insights into the Mechanism Underlying Lipid Deterioration in Pecan Kernels during Storage. J. Agric. Food Chem. 2024, 72, 10127–10137. [Google Scholar] [CrossRef]
- Gasteiger, E. ExPASy: The Proteomics Server for in-Depth Protein Knowledge and Analysis. Nucleic Acids Res. 2003, 31, 3784–3788. [Google Scholar] [CrossRef]
- Yu, C.; Chen, Y.; Lu, C.; Hwang, J. Prediction of Protein Subcellular Localization. Proteins 2006, 64, 643–651. [Google Scholar] [CrossRef] [PubMed]
- Zhang, J.; Zhang, W.; Ji, F.; Qiu, J.; Song, X.; Bu, D.; Pan, G.; Ma, Q.; Chen, J.; Huang, R.; et al. A High-quality Walnut Genome Assembly Reveals Extensive Gene Expression Divergences after Whole-genome Duplication. Plant Biotechnol. J. 2020, 18, 1848–1850. [Google Scholar] [CrossRef]
- Tamura, K.; Stecher, G.; Kumar, S. MEGA11: Molecular Evolutionary Genetics Analysis Version 11. Mol. Biol. Evol. 2021, 38, 3022–3027. [Google Scholar] [CrossRef]
- Price, M.N.; Dehal, P.S.; Arkin, A.P. FastTree: Computing Large Minimum Evolution Trees with Profiles Instead of a Distance Matrix. Mol. Biol. Evol. 2009, 26, 1641–1650. [Google Scholar] [CrossRef]
- Subramanian, B.; Gao, S.; Lercher, M.J.; Hu, S.; Chen, W.-H. Evolview v3: A Webserver for Visualization, Annotation, and Management of Phylogenetic Trees. Nucleic Acids Res. 2019, 47, W270–W275. [Google Scholar] [CrossRef]
- Chen, C.; Wu, Y.; Li, J.; Wang, X.; Zeng, Z.; Xu, J.; Liu, Y.; Feng, J.; Chen, H.; He, Y.; et al. TBtools-II: A “One for All, All for One” Bioinformatics Platform for Biological Big-Data Mining. Mol. Plant 2023, 16, 1733–1742. [Google Scholar] [CrossRef]
- Lescot, M. PlantCARE, a Database of Plant Cis-Acting Regulatory Elements and a Portal to Tools for in Silico Analysis of Promoter Sequences. Nucleic Acids Res. 2002, 30, 325–327. [Google Scholar] [CrossRef] [PubMed]
- Wang, Y.; Li, J.; Paterson, A.H. MCScanX-Transposed: Detecting Transposed Gene Duplications Based on Multiple Colinearity Scans. Bioinformatics 2013, 29, 1458–1460. [Google Scholar] [CrossRef] [PubMed]
- Larkin, M.A.; Blackshields, G.; Brown, N.P.; Chenna, R.; McGettigan, P.A.; McWilliam, H.; Valentin, F.; Wallace, I.M.; Wilm, A.; Lopez, R.; et al. Clustal W and Clustal X Version 2.0. Bioinformatics 2007, 23, 2947–2948. [Google Scholar] [CrossRef]
- Librado, P.; Rozas, J. DnaSP v5: A Software for Comprehensive Analysis of DNA Polymorphism Data. Bioinformatics 2009, 25, 1451–1452. [Google Scholar] [CrossRef]
- Zhu, K.; Fan, P.; Liu, H.; Tan, P.; Ma, W.; Mo, Z.; Zhao, J.; Chu, G.; Peng, F. Insight into the CBL and CIPK Gene Families in Pecan (Carya illinoinensis): Identification, Evolution and Expression Patterns in Drought Response. BMC Plant Biol. 2022, 22, 221. [Google Scholar] [CrossRef] [PubMed]
- Zhu, K.; Wei, L.; Ma, W.; Hu, X.; Zhao, J.; Tan, P.; Liu, H.; Feng, G.; Fan, P.; Peng, F. Transcriptome Analysis of Pecan (Carya illinoinensis) Differentially Expressed Genes in Response to Drought Stress. Forests 2023, 14, 608. [Google Scholar] [CrossRef]
- Wei, G.; Chen, Y.; Wang, M.; Xi, Y.; Xu, Y.; Hussain, H.; Zhu, K.; Xu, Y.; Bai, M.; Wang, J.; et al. Integrative Application of Metabolomics and Transcriptomics Provides New Insights into Carotenoid Biosynthesis during Rosa rugosa Hips Ripening. Food Biosci. 2024, 60, 104422. [Google Scholar] [CrossRef]
- Livak, K.J.; Schmittgen, T.D. Analysis of Relative Gene Expression Data Using Real-Time Quantitative PCR and the 2−ΔΔCT Method. Methods 2001, 25, 402–408. [Google Scholar] [CrossRef]
- Khoso, M.A.; Hussain, A.; Ritonga, F.N.; Ali, Q.; Channa, M.M.; Alshegaihi, R.M.; Meng, Q.; Ali, M.; Zaman, W.; Brohi, R.D.; et al. WRKY Transcription Factors (TFs): Molecular Switches to Regulate Drought, Temperature, and Salinity Stresses in Plants. Front. Plant Sci. 2022, 13, 1039329. [Google Scholar] [CrossRef]
- Wang, M.; Vannozzi, A.; Wang, G.; Liang, Y.-H.; Tornielli, G.B.; Zenoni, S.; Cavallini, E.; Pezzotti, M.; Cheng, Z.-M. Genome and Transcriptome Analysis of the Grapevine (Vitis vinifera L.) WRKY Gene Family. Hortic. Res. 2014, 1, 14016. [Google Scholar] [CrossRef]
- Liu, Y.; Liu, X.; Yang, D.; Yin, Z.; Jiang, Y.; Ling, H.; Huang, N.; Zhang, D.; Wu, J.; Liu, L.; et al. A Comprehensive Identification and Expression Analysis of VQ Motif-Containing Proteins in Sugarcane (Saccharum spontaneum L.) under Phytohormone Treatment and Cold Stress. Int. J. Mol. Sci. 2022, 23, 6334. [Google Scholar] [CrossRef]
- Guo, C.; Chen, Y.; Wu, L.; Jin, Y.; Huang, X.; Gu, Q.; Cao, F.; Ke, P.; Wang, Y.; Li, Y. Genome-Wide Identification of WRKY Transcription Factors in Lagerstroemia indica and Their Involvement in Color Formation. Physiol. Plant. 2025, 177, e70328. [Google Scholar] [CrossRef]
- Khuman, A.; Arora, S.; Makkar, H.; Patel, A.; Chaudhary, B. Extensive Intragenic Divergences amongst Ancient WRKY Transcription Factor Gene Family Is Largely Associated with Their Functional Diversity in Plants. Plant Gene 2020, 22, 100222. [Google Scholar] [CrossRef]
- Tian, J.; Zhang, J.; Francis, F. Large-Scale Identification and Characterization Analysis of VQ Family Genes in Plants, Especially Gymnosperms. Int. J. Mol. Sci. 2023, 24, 14968. [Google Scholar] [CrossRef]
- Ling, J.; Jiang, W.; Zhang, Y.; Yu, H.; Mao, Z.; Gu, X.; Huang, S.; Xie, B. Genome-Wide Analysis of WRKY Gene Family in Cucumis sativus. BMC Genom. 2011, 12, 471. [Google Scholar] [CrossRef] [PubMed]
- Song, H.; Wang, P.; Lin, J.-Y.; Zhao, C.; Bi, Y.; Wang, X. Genome-Wide Identification and Characterization of WRKY Gene Family in Peanut. Front. Plant Sci. 2016, 7, 534. [Google Scholar] [CrossRef]
- Wang, Y.; Lu, X.; Fu, Y.; Wang, H.; Yu, C.; Chu, J.; Jiang, B.; Zhu, J. Genome-Wide Identification and Expression Analysis of VQ Gene Family under Abiotic Stress in Coix lacryma-jobi L. BMC Plant Biol. 2023, 23, 327. [Google Scholar] [CrossRef]
- Dong, X.; Yu, L.; Zhang, Q.; Yang, J.; Gong, Z.; Niu, X.; Li, H.; Zhang, X.; Liu, M.; Jin, C.; et al. Structural Basis for the Regulation of Plant Transcription Factor WRKY33 by the VQ Protein SIB1. Commun. Biol. 2024, 7, 561. [Google Scholar] [CrossRef]
- Panchy, N.; Lehti-Shiu, M.; Shiu, S.-H. Evolution of Gene Duplication in Plants. Plant Physiol. 2016, 171, 2294–2316. [Google Scholar] [CrossRef]
- Dong, Q.; Zhao, S.; Duan, D.; Tian, Y.; Wang, Y.; Mao, K.; Zhou, Z.; Ma, F. Structural and Functional Analyses of Genes Encoding VQ Proteins in Apple. Plant Sci. 2018, 272, 208–219. [Google Scholar] [CrossRef]
- Wang, Q.; Wang, M.; Zhang, X.; Hao, B.; Kaushik, S.K.; Pan, Y. WRKY Gene Family Evolution in Arabidopsis thaliana. Genetica 2011, 139, 973–983. [Google Scholar] [CrossRef] [PubMed]
- Zhang, L.; Wang, K.; Han, Y.; Yan, L.; Zheng, Y.; Bi, Z.; Zhang, X.; Zhang, X.; Min, D. Genome-Wide Analysis of the VQ Motif-Containing Gene Family and Expression Profiles during Phytohormones and Abiotic Stresses in Wheat (Triticum aestivum L.). BMC Genom. 2022, 23, 292. [Google Scholar] [CrossRef] [PubMed]
- Roth, C.; Liberles, D.A. A systematic search for positive selection in higher plants (Embryophytes). BMC Plant Biol. 2006, 6, 12. [Google Scholar] [CrossRef]
- Cannon, S.B.; Mitra, A.; Baumgarten, A.; Young, N.D.; May, G. The Roles of Segmental and Tandem Gene Duplication in the Evolution of Large Gene Families in Arabidopsis thaliana. BMC Plant Biol. 2004, 4, 10. [Google Scholar] [CrossRef]
- Brunet, T.D.P.; Doolittle, W.F.; Bielawski, J.P. The Role of Purifying Selection in the Origin and Maintenance of Complex Function. Stud. Hist. Philos. Sci. Part A 2021, 87, 125–135. [Google Scholar] [CrossRef]
- Jamil, A.; Riaz, S.; Ashraf, M.; Foolad, M.R. Gene Expression Profiling of Plants under Salt Stress. Crit. Rev. Plant Sci. 2011, 30, 435–458. [Google Scholar] [CrossRef]
- Lei, R.; Li, X.; Ma, Z.; Lv, Y.; Hu, Y.; Yu, D. Arabidopsis WRKY 2 and WRKY 34 Transcription Factors Interact with VQ 20 Protein to Modulate Pollen Development and Function. Plant J. 2017, 91, 962–976. [Google Scholar] [CrossRef] [PubMed]
- Chen, Z.; Shah, F.A.; Lu, X.; Zhu, L.; Wei, G.; Meng, X.; Ma, Q.; Ren, J. The ApWRKY26/ApERF4-ApMYB2 module regulates anthocyanin accumulation for the seasonal leaf color transition in Acer palmatum. Hortic. Res. 2025, 13, uhaf257. [Google Scholar] [CrossRef]
- Gómez-Porras, J.L.; Riaño-Pachón, D.M.; Dreyer, I.; Mayer, J.E.; Mueller-Roeber, B. Genome-Wide Analysis of ABA-Responsive Elements ABRE and CE3 Reveals Divergent Patterns in Arabidopsis and Rice. BMC Genom. 2007, 8, 260. [Google Scholar] [CrossRef]
- Zhu, J.-K. Plant Salt Tolerance. Trends Plant Sci. 2001, 6, 66–71. [Google Scholar] [CrossRef] [PubMed]
- Wei, G.; Chen, Y.; Wang, J.; Feng, L. Molecular Cloning and Characterization of Farnesyl Diphosphate Synthase from Rosa Rugosa Thunb Associated with Salinity Stress. PeerJ 2024, 12, e16929. [Google Scholar] [CrossRef]
- Li, N.; Li, X.; Xiao, J.; Wang, S. Comprehensive Analysis of VQ Motif-Containing Gene Expression in Rice Defense Responses to Three Pathogens. Plant Cell Rep. 2014, 33, 1493–1505. [Google Scholar] [CrossRef]
- An, H.; Luan, Y.; Zhao, D.; Tao, J. The VQ Motif-Containing PoVQ31 Protein Positively Modulates Drought Stress Tolerance in Paeonia ostii ‘FengDan’. Ornam. Plant Res. 2024, 4, e017. [Google Scholar] [CrossRef]
- Rushton, D.L.; Tripathi, P.; Rabara, R.C.; Lin, J.; Ringler, P.; Boken, A.K.; Langum, T.J.; Smidt, L.; Boomsma, D.D.; Emme, N.J.; et al. WRKY Transcription Factors: Key Components in Abscisic Acid Signalling. Plant Biotechnol. J. 2012, 10, 2–11. [Google Scholar] [CrossRef] [PubMed]










Disclaimer/Publisher’s Note: The statements, opinions and data contained in all publications are solely those of the individual author(s) and contributor(s) and not of MDPI and/or the editor(s). MDPI and/or the editor(s) disclaim responsibility for any injury to people or property resulting from any ideas, methods, instructions or products referred to in the content. |
© 2025 by the authors. Licensee MDPI, Basel, Switzerland. This article is an open access article distributed under the terms and conditions of the Creative Commons Attribution (CC BY) license (https://creativecommons.org/licenses/by/4.0/).
Share and Cite
Zhu, K.; Wu, Y.; Zhao, J.; Wang, M.; Wei, G.; Shao, H.; Jin, W.; Tan, P.; Peng, F. Genome-Wide Characterization of the Role of WRKY and VQ Gene Families in Pecan and Their Expression Profile During Development and in Response to Abiotic Stresses. Horticulturae 2025, 11, 1370. https://doi.org/10.3390/horticulturae11111370
Zhu K, Wu Y, Zhao J, Wang M, Wei G, Shao H, Jin W, Tan P, Peng F. Genome-Wide Characterization of the Role of WRKY and VQ Gene Families in Pecan and Their Expression Profile During Development and in Response to Abiotic Stresses. Horticulturae. 2025; 11(11):1370. https://doi.org/10.3390/horticulturae11111370
Chicago/Turabian StyleZhu, Kaikai, Yangyang Wu, Juan Zhao, Mingwei Wang, Guo Wei, Hongyu Shao, Wei Jin, Pengpeng Tan, and Fangren Peng. 2025. "Genome-Wide Characterization of the Role of WRKY and VQ Gene Families in Pecan and Their Expression Profile During Development and in Response to Abiotic Stresses" Horticulturae 11, no. 11: 1370. https://doi.org/10.3390/horticulturae11111370
APA StyleZhu, K., Wu, Y., Zhao, J., Wang, M., Wei, G., Shao, H., Jin, W., Tan, P., & Peng, F. (2025). Genome-Wide Characterization of the Role of WRKY and VQ Gene Families in Pecan and Their Expression Profile During Development and in Response to Abiotic Stresses. Horticulturae, 11(11), 1370. https://doi.org/10.3390/horticulturae11111370

