Next Article in Journal
RsNAC134 Regulates Taproot Skin Color via Positive Regulation of the Chlorophyll Degradation Pathway in Radish (Raphanus sativus)
Previous Article in Journal
A Highly Efficient Protocol for Multiple In Vitro Somatic Shoot Organogenesis from the Hypocotyl- and Cotyledon-Derived Callus Tissues of Russian Cabbage Genotypes
 
 
Font Type:
Arial Georgia Verdana
Font Size:
Aa Aa Aa
Line Spacing:
Column Width:
Background:
Article

Dynamics of Quality Traits During Cold Storage in ‘Annurca’ Apples: Impact of 1-MCP and the Traditional Melaio Reddening Process

by
Giandomenico Corrado
*,
Alessandro Mataffo
,
Pasquale Scognamiglio
,
Carlo Molinaro
,
Maurizio Teobaldelli
and
Boris Basile
*
Department of Agricultural Sciences, University of Naples Federico II, 80055 Portici, Italy
*
Authors to whom correspondence should be addressed.
Horticulturae 2025, 11(10), 1247; https://doi.org/10.3390/horticulturae11101247
Submission received: 15 September 2025 / Revised: 30 September 2025 / Accepted: 6 October 2025 / Published: 15 October 2025
(This article belongs to the Section Postharvest Biology, Quality, Safety, and Technology)

Abstract

The ‘Annurca’ apple (Malus domestica), a PGI-protected Italian cultivar, undergoes a mandatory postharvest reddening process (melaio). While crucial for skin color development, this process is associated with flesh softening, creating a conflict with consumer demand for crispness. To resolve this quality trade-off, this study compared different postharvest strategies over a five-month commercial cold storage. Specifically, we performed a time-series analysis of the evolution of ripening and skin color dynamics under three strategies: traditional reddening (Melaio), 1-methylcyclopropene application (MCP), and a 1-MCP treatment followed by reddening (MCP+Melaio). While 1-MCP effectively arrested firmness loss, maintaining firmness above 47 N compared to the Melaio-only treatment which dropped to 35.9 N by the end of storage, the pathways of skin color development differed profoundly. The MCP-only strategy led to a highly non-uniform and visually inconsistent appearance (average Total Color Difference, ΔE* > 12) that persisted throughout storage. In contrast, the traditional melaio process proved indispensable for guiding the fruit towards a significantly more homogeneous final coloration (∆E* ≈ 5.5). The integrated MCP+Melaio strategy successfully reconciled these divergent effects, preserving high flesh firmness (47.9 N) while achieving the superior skin color uniformity characteristic of the traditional process (final ΔE* ≈ 5.6). This study demonstrates that pre-treating ‘Annurca’ apples with 1-MCP before the melaio period offers a viable, scientifically validated approach to resolving the critical trade-off between texture and skin color, enabling the ‘Annurca’ industry to meet modern textural expectations while preserving its unique cultural and quality traditions.

1. Introduction

The commercial success of apple (Malus domestica Borkh.) cultivars in the global market is largely determined by fruit quality at the point of purchase. Among the traits that influence consumers’ buying decisions, skin color and flesh texture are consistently ranked as primary drivers of preference [1,2,3,4]. An ideal apple is expected to have a vibrant, uniform skin color and a firm, crisp, and juicy texture. Consequently, a significant focus of modern apple production, from breeding to postharvest management, is dedicated to maximizing and preserving these two key attributes [5,6].
Within this global context, the ‘Annurca’ apple, a traditional Italian cultivar protected by the “Melannurca Campana” PGI (Protected Geographical Indication) designation (Reg. CE 417/2006), represents a unique case. With an estimated annual production value of over €40 million, this cultivar is not just a cultural heritage but a significant economic driver for the Campania region, where it accounts for approximately 80% of the local apple production and 5% of the national total (https://agricoltura.regione.campania.it/ accessed the 1 September 2025). Prized for its distinct flavor, high antioxidant content, and cultural heritage, ‘Annurca’ requires a mandatory and unique postharvest reddening process [7,8,9]. After harvest, the not-yet-mature fruits are placed on soft beds of straw or other natural materials in an open-air facility known as melaio. In this stage, apples are manually rotated for 10–20 days under sunlight filtered through shading nets, a process necessary to develop the characteristic ruby-red blush and final organoleptic profile.
This postharvest reddening requirement, as well as its genetic profile, places ‘Annurca’ in stark contrast to the breeding and horticultural paradigms of the vast majority of modern commercial cultivars [5,10]. Contemporary breeding programs have intensely selected for varieties (e.g., ‘Gala’, ‘Fuji’, ‘Honeycrisp’) and specific blushed red sports (e.g., ‘Royal Gala’, ‘Nagafu 6 (Red Fuji)’, ‘Royal Red’) that achieve full, uniform color directly on the tree [11,12]. This genetic potential is augmented by specific pre-harvest management techniques, including the use of reflective ground covers to increase light exposure especially under netting, leaf removal, and even the application of plant growth regulators to promote anthocyanin synthesis (e.g., Ethephon (2-chloroethylphosphonic acid)) [13,14,15]. The historical success of the ‘Red Delicious’ cultivar serves as a prime example. Despite being noted for a less desirable texture, it dominated the US market for many years, largely on the strength of its vibrant, uniform red appearance.
Modern apple breeding has indirectly influenced peduncle architecture as an adaptation to support heavier fruit loads [16]. A longer and sturdier peduncle helps fruits hang freely, reducing shading and enhancing light penetration, which promotes uniform anthocyanin accumulation and improved skin coloration. Additionally, the development of thicker vascular and supportive tissues in the fruit peduncle, co-selected for a stronger attachment zone, contributes to delayed abscission and reduced pre-harvest drop. This structural reinforcement allows apples to remain on the tree until full physiological maturity, improving fruit quality and enabling more efficient harvesting, including mechanized systems. In contrast, ‘Annurca’ possesses a short peduncle that causes fruit clustering and canopy shading, limiting on-tree coloration and predisposing to premature fruit drop. These limitations underpin the traditional need to harvest physiologically immature ‘Annurca’ apples, and to complete its reddening in postharvest. Under these constraints, the melaio can be understood not merely as a technical process, but as an indispensable horticultural solution that has allowed the ‘Annurca’ to compensate for its genetic limitations, thereby ensuring its continued economic viability against contemporary varieties.
However, while this practice successfully achieves the desired color in post-harvest, it induces a quality trade-off [17]. Exposure to the ambient and fluctuating temperatures of the melaio sustains respiration and ethylene-driven ripening, promoting a progressive degradation of cell wall structures that ultimately favors a final product whose texture contrasts with the strong consumer demand for crispness. The ‘Annurca’ production system is therefore required to reconcile the PGI protocol with the preservation of textural properties demanded by current market standards. A potential solution may lie in uncoupling these two processes by pharmacologically controlling the ripening cascade. One practical approach is the use of 1-methylcyclopropene (1-MCP), an inhibitor of ethylene action that is widely employed in the apple industry to delay ripening during long-term storage [18].
Building on our previous work that assessed the potential of 1-MCP for improving long-term storage [9], the present study adopts a different approach, shifting the focus to a detailed time-course analysis of visual and texture attributes. Our primary objective was to investigate how pre-treatment with 1-MCP affects the dynamics of skin coloration, covering development, intensity, and uniformity, alongside other quality parameters during a five-month commercial storage period. To achieve this, we compared three postharvest strategies: (i) the traditional reddening period followed by cold storage (Melaio); (ii) a 1-MCP treatment followed directly by cold storage (MCP); (iii) an integrated approach combining 1-MCP treatment with the traditional reddening period before cold storage (MCP+Melaio). We hypothesized that 1-MCP treatment would decouple textural softening from the ripening process, the melaio period would optimize color uniformity, and the integrated MCP+Melaio strategy would synergistically combine firmness retention with superior color development.

2. Materials and Methods

2.1. Plant Material

Apple fruits used in the experiment were harvested in a commercial orchard located in Vitulazio (Caserta, Italy). Trees, 7 years old at the time of the experiment, were composed by ‘Rossa del Sud’ (an ‘Annurca’ type apple cultivar) scions grafted on ‘M9′ rootstocks spaced 4.0 × 1.5 m (corresponding to a planting density of 1667 trees/ha) and trained to a free palmette system. The orchard has been consistently managed for commercial production, adhering to the integrated pest and nutrient management protocols of the “Melannurca Campana” PGI designation. Fruits were harvested when maturity indices, monitored on a representative sample of apples, reached the commercial target of the PGI protocol. Specifically, the harvest was carried out when the average soluble solids content of apple juice was around 11.5 °Brix and red cover color extension was around 40% of the skin surface.

2.2. Experimental Treatments

The experiment compared three postharvest strategies. For each strategy, approximately 1000 commercially uniform fruits (65–85 mm caliber) were set aside at the start of cold storage.
(a) Traditional Reddening (Melaio): This treatment followed the traditional management for ‘Annurca’ apples. Fruits were subjected to a 10-day postharvest reddening period in a melaio, following the PGI protocol. The apples were arranged in a single, high-density layer on soft beds of straw to prevent bruising in an open-air facility. Fruits were manually turned every 2–3 days to expose all surfaces to light. To prevent sunscald, the beds were covered with horizontal commercial shading nets suspended approximately three meters above the fruit. As the melaio process is the required commercial standard, it serves as the benchmark against which any novel postharvest strategy must be compared. After this period, fruits were transferred to a commercial cold storage facility (1.0 °C, 90% RH) equipped with an ethylene extractor for long-term storage.
(b) 1-MCP Treatment (MCP): Immediately after harvest, fruits were placed in an air-tight chamber at 2.5 °C and treated for 24 h with 55.5 mg/m3 1-methylcyclopropene (1-MCP) (Smartfresh™, Agrofresh, Philadelphia, PA, USA). This concentration corresponds to the standard commercial rate recommended by the manufacturer. Following the treatment, the fruits were moved directly into long-term cold storage as described for the Melaio treatment.
(c) 1-MCP followed by Traditional Reddening (MCP+Melaio): Fruits were first treated with 1-MCP as described for the MCP treatment, then underwent the 10-day reddening process in the melaio as described for the Melaio treatment and finally were placed in long-term cold storage.
During the 10-day postharvest reddening period in the melaio, ambient conditions were monitored, with average daily temperatures of 14.5 °C (min: 9.9 °C; max: 21.5 °C).

2.3. Measurements on the Fruits

To monitor fruit ripening and the evolution of skin color during cold storage, a sample of 50 fruits per treatment was collected on five dates (corresponding to 21, 48, 88, 118, and 146 days from the beginning of the experiment).

2.3.1. Flesh Firmness, Soluble Solids Content, and Titratable Acidity

On each sample date, apple ripening stage was monitored by measuring flesh firmness, soluble solids content, and titratable acidity. Flesh firmness was measured on two opposite sides of 30 sampled fruit with a digital fruit firmness tester (model 53205; Tironi TR, Forlì, Italy) equipped with an 8 mm plunger. Measurements were taken directly on the flesh after removing a small disk of skin. A juice sample extracted separately from the pulp of 30 fruit was used to measure soluble solids content (SSC) with a digital refractometer (HI96811; Hanna instruments, Padova, Italy). Moreover, titratable acidity (TA) was measured separately on the juice of ten fruit. For this purpose, 2.5 mL of fruit juice was diluted with 7.5 mL of distilled water, and the obtained solution was titrated with 0.1 N NaOH until reaching the endpoint of pH = 8.2. During the titration, pH was continuously measured with a digital pH-meter (CLB22; Crison Instruments, Alella, Spain) and the results were expressed as g/L of malic acid. These data were used to calculate, separately for the 10 fruits used for measuring TTC and TA, the SSC/TA ratio.

2.3.2. Fruit Skin and Pulp Color

On each measuring date, the skin and pulp color of 20 fruit per treatment were measured by digital image analysis [19]. Two opposite fruit sides, characterized by a more or a less developed red color of the skin (hereafter blushed and unblushed side, respectively), were photographed with a digital camera (D3100; Nikon, Tokyo, Japan) from a fixed distance of 40 cm inside a lightbox illuminated with uniform and all-surrounding diffuse light provided by three 60 W lamps (6500 K). Moreover, ten of these fruits were transversally cut (in correspondence of the maximum equatorial diameter) and the pulp of one of two halves was photographed as described for skin image acquisition.
Each 24-bit digital image (RAW format, sRGB color space) was cropped following the apple silhouette, and then the background was removed with Photoshop 19 (CC 2018) (Adobe; San Jose, CA, USA). For each preprocessed apple image, the digital number (DN) of the RGB channels was extracted with Scion Image software 4.02 (Scion Corporation; Maryland, USA). DNs of RGB channels were then converted to L* a* b* coordinates [20]. The skin or pulp hue angle ( h a b ) was calculated with the formula [21]:
h a b ( d e g r e e s ) =   a t a n 2 b * , a * × 180 π  
where the two-argument arctangent function, denoted as atan2, calculates the angle θ in radians between the positive a*-axis and the vector connecting from the origin with the point (a*, b*) in the Cartesian plane. This function is formally defined as a piecewise function to resolve the quadrant ambiguity of the standard arctangent (arctan). The output is in radians, with a range of [−π, π].
Chroma (C*) was calculated according to the following equation [22]:
C * = a * 2 + b * 2
To quantify in a single metric the overall perceptible color difference between the two apple surfaces, the Total Color Difference (ΔE*) was calculated for each fruit at each measurement time using the formula [20]:
Δ E s k i n * = L b l *   L u n b l * 2 + a b l *   a u n b l * 2 + b b l *   b u n b l * 2
where L * , a * , and b * represent the skin color coordinates measured on the blushed (bl) and unblushed (unbl) side of fruit, respectively. This metric represents the overall perceptible difference between the most and least red surfaces of each apple.
Similarly, Δ a s k i n * was calculated using the same approach as ΔE* considering only the differences in the a* values between the blushed and unblushed sides.

2.3.3. Starch Pattern Index

The starch pattern index (SPI) was assessed on ten fruits per treatment as previously described [20]. Briefly, each fruit was transversally cut as previously described for pulp color assessment and an iodine solution was applied on the pulp surface of one of the two halves. After waiting one minute to allow the starch-iodine reaction to complete, SPI was visually evaluated using the Cornell Starch–Iodine 8-point scale as a reference (with 1 and 8 indicating 0% and 100% starch degradation, respectively).

2.4. Statistical Analysis

All data processing and statistical analyses were performed using R (v4.5). Data were visualized using the ggplot2 4.0.0 and patchwork 1.3.2. packages. The significance of the effect of the postharvest management treatments (TRT), the storage time (ST), and the TRT x ST interaction on flesh firmness, SSC/TA ratio, SPI, skin and pulp color parameters (L*, a*, b*, h, and C*), Δ a s k i n * , and Δ E s k i n * was assessed by two-way ANOVA. If the interaction was not significant, main effect means for TRT were compared using Tukey’s Honest Significant Difference (HSD) test. If the TRT × ST interaction was significant, post hoc comparisons of treatment means were conducted separately for each time point, with p-values adjusted using the Sidak method. The consistency of color development was assessed by comparing variances at each time point using Levene’s test. A significance level of p ≤ 0.05 was used for all tests.

3. Results

3.1. Evolution of the Fruit Ripening Parameters

The postharvest management strategy, the duration of cold storage, and their interaction significantly influenced the primary ripening indices of ‘Annurca’ apples (Table 1).
The evolution of fruit ripening parameters during cold storage is presented in Figure 1. Postharvest treatment was a dominant factor influencing flesh firmness (Figure 1A). Apples from the traditional Melaio treatment were significantly softer than those from the 1-MCP-based treatments at all time points, ending the storage period at 35.9 N. In contrast, both MCP and MCP+Melaio treatments were highly effective at preserving firmness, maintaining values above 47 N for the entire 146 days. While statistically similar for much of the storage period, by day 146, the MCP-only fruit (54.5 N) were significantly firmer than those from the MCP+Melaio treatment (47.9 N).
The soluble solids to titratable acidity ratio (SSC/TA), a key indicator of flavor development and maturity, showed a progressive increase in all treatments over time (Figure 1B). A clear and consistent separation between treatments was observed, with the Melaio treatment always exhibiting the highest SSC/TA ratio, indicative of a more advanced ripening stage. Conversely, the MCP treatment consistently displayed the lowest ratio, confirming a delayed ripening progression. By the end of storage, all three treatments were statistically distinct from one another.
The starch pattern index (SPI), which measures the conversion of starch to sugars, also revealed a strong initial treatment effect (Figure 1C). At the first measurement on Day 21, the SPI of MCP-treated fruit was only 3.5, significantly lower than the Melaio and MCP+Melaio treatments, which had both already reached values near 7.0. This initial delay was transient; from Day 48 onwards, the SPI for all treatments was high and statistically similar, indicating that starch hydrolysis was near completion across all groups.
Taken together, these data demonstrate that 1-MCP treatments effectively delayed key physiological markers of ripening.

3.2. Post-Harvest Evolution of the Fruit Skin Color

The skin color of ‘Annurca’ apples, a critical quality attribute, was significantly influenced by the postharvest treatment, storage time, and their interaction, as measured by the CIE L* a* b* color coordinates (Table 2).
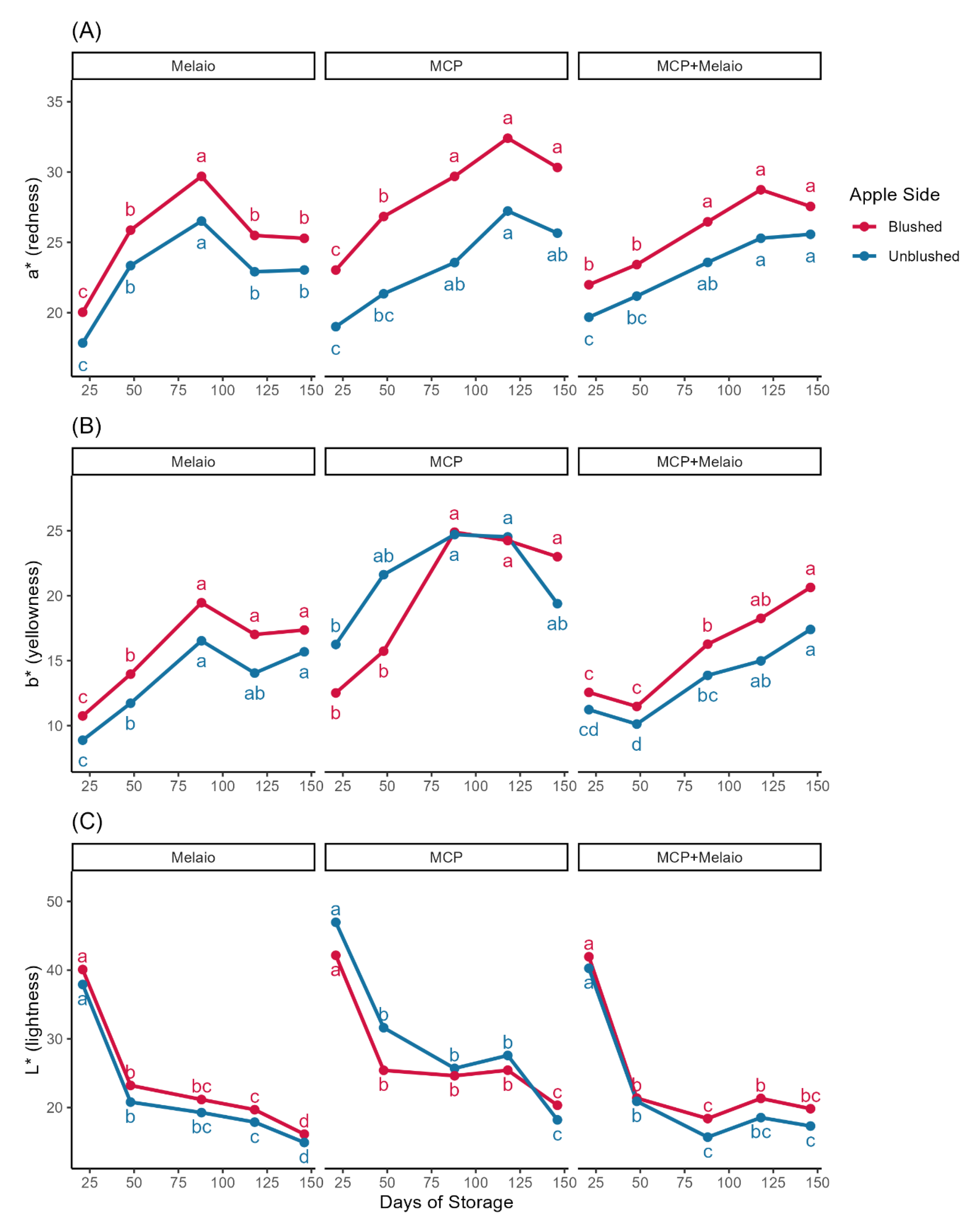
The evolution of skin redness (a* value) showed a general increase throughout the storage period for both the blushed and unblushed sides across all treatments, indicating continuous color development (Figure 2A). The effect of the treatments was most pronounced on the side of the fruit with the most skin color. Moreover, the MCP treatment resulted in apples with the most intense red coloration, showing a significantly higher average a* value on the blushed side compared to the Melaio and MCP+Melaio treatments (Table 2). This trend is visible in Figure 2A, where the MCP fruit consistently reached the highest a* values after 48 days of storage. Interestingly, this treatment effect was specific to the well-colored side, as there was no significant difference in the average a* value of the unblushed side among the three treatments. As expected, the blushed side of the fruit always exhibited a significantly higher a* value than the unblushed side within any given treatment.
The development of the yellow background color (b* value) was markedly different between treatments (Figure 2B). Fruit from the MCP treatment displayed a rapid and significant increase in the b* value, which peaked after 88 days and remained high. In contrast, apples from the Melaio and MCP+Melaio treatments maintained significantly lower b* values throughout the entire storage period, indicating a suppression of yellow color development (Table 2). This suggests that the traditional reddening process, both with and without 1-MCP pre-treatment, limits the unmasking of yellow pigments.
Skin lightness (L* value) decreased over time in all treatments, signifying a darkening of the fruit skin during storage (Figure 2C). A sharp drop in the L* value was observed between the first and second measurement dates. Overall, the MCP-treated fruit consistently maintained a significantly higher L* value compared to the other two treatments, meaning they were lighter in color (Table 2). The Melaio and MCP+Melaio treatments resulted in darker fruit, and their L* values were statistically similar for most of the storage period.
To further interpret these color changes, the hue angle and chroma were calculated, and both were significantly affected by the treatment, storage time, and their interaction (Supplementary Table S1, Supplementary Figure S1). The hue angle revealed distinct differences among the treatments. On average, fruit from the Melaio and MCP+Melaio treatments had significantly lower hue angles than the MCP treatment on both the blushed and unblushed sides. This indicates a color profile closer to a pure red for the traditionally reddened fruit (Supplementary Table S1). In contrast, the higher hue angle resulting from the MCP treatment, particularly on the unblushed side, denotes a more orange-yellowish tone (Supplementary Figure S1A). Similarly, chroma, which represents color saturation or intensity, was significantly impacted by the postharvest strategy. The MCP apples developed a significantly higher average chroma than those from the Melaio or MCP+Melaio treatments, signifying that their skin color was more vivid and saturated (Supplementary Table S1). While chroma generally increased during storage for all treatments, the values for the MCP-treated fruit were consistently highest after the initial measurement (Supplementary Figure S1B).
Taken together, these results show that while the traditional reddening process produces a purer red hue, the MCP treatment alone leads to the development of a more intense and saturated, albeit more orange-toned, skin color.
The internal color of the fruit pulp was also analyzed (Supplementary Table S2). Postharvest treatments significantly affected pulp lightness (L*) and yellowness (b*), but not its a* value or hue angle. Specifically, the traditional Melaio treatment resulted in a significantly more yellow pulp (higher b* value) compared to the treatments involving 1-MCP. Over the course of the storage period, the pulp generally became darker (lower L*) and progressively more yellow, with the most pronounced changes occurring by the final measurement at 146 days. A significant interaction between treatment and storage time was only found for pulp lightness.

3.3. Post-Harvest Evolution of Skin Color Uniformity

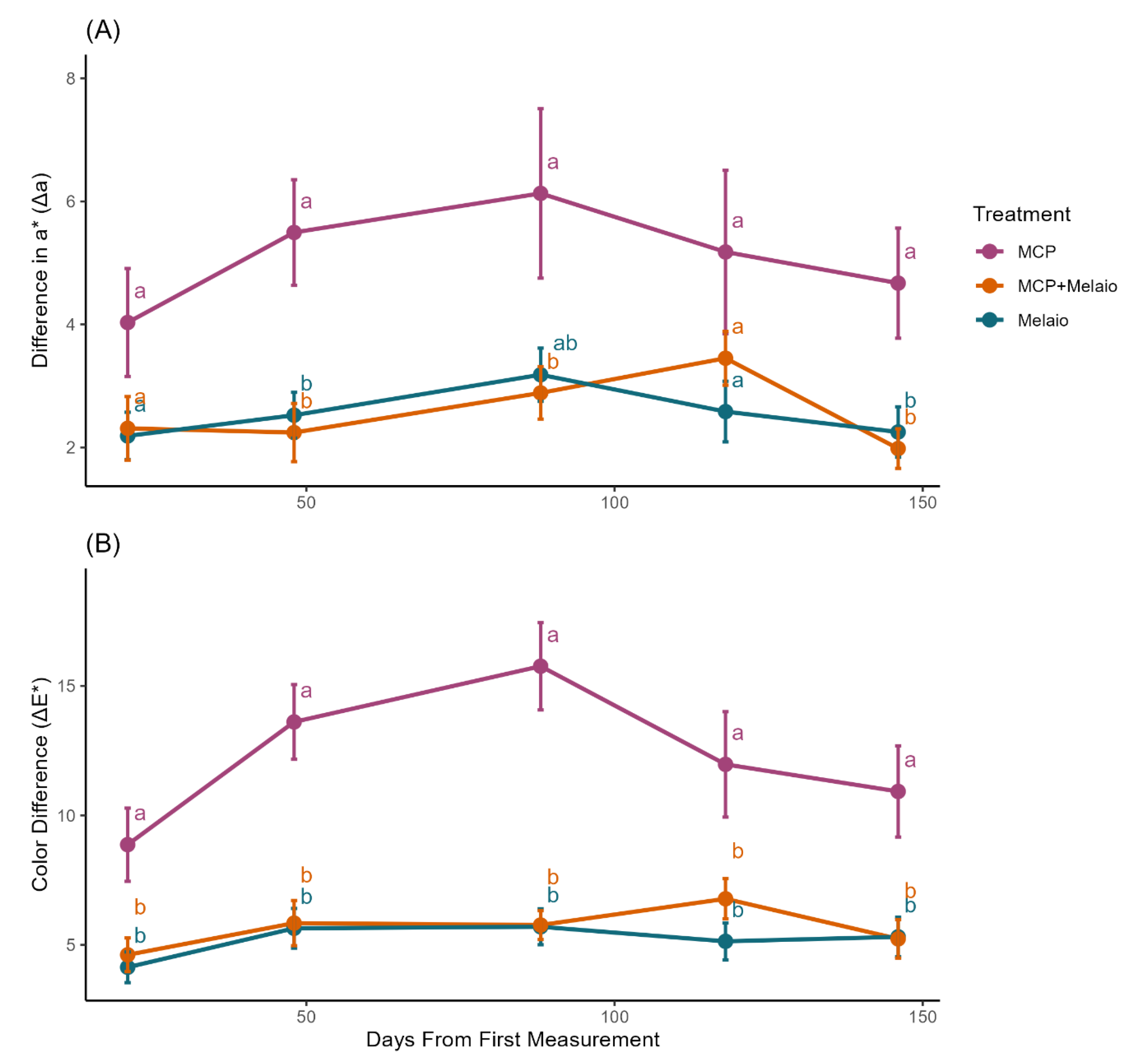
To assess the homogeneity of skin color, the difference between the blushed and unblushed sides of the apples was calculated for both redness (Δa*) and total perceptible color (ΔE*). The postharvest treatment had a highly significant effect on both of these uniformity metrics (Table 3).
The MCP treatment consistently resulted in fruit with significantly less uniform skin color compared to the other two treatments. On average, the total color difference (ΔE*) for MCP-treated apples was more than double that of the Melaio and MCP+Melaio treatments (12.23 vs. 5.18 and 5.64, respectively) (Table 3). This pronounced effect is clearly illustrated in Figure 3, where the MCP treatment maintained a significantly higher Δa* and ΔE* throughout the entire 146-day storage period. In contrast, the Melaio and MCP+Melaio treatments produced fruit with a much more uniform skin color, and these two treatments were not statistically different from one another.
While the effect of treatment was the dominant factor, storage time had a significant, albeit less pronounced, effect on the total color difference (ΔE*), which tended to peak in the middle of the storage period. No significant interaction between treatment and storage time was detected, indicating that the MCP treatment consistently produced more heterogeneous coloration regardless of the storage duration.
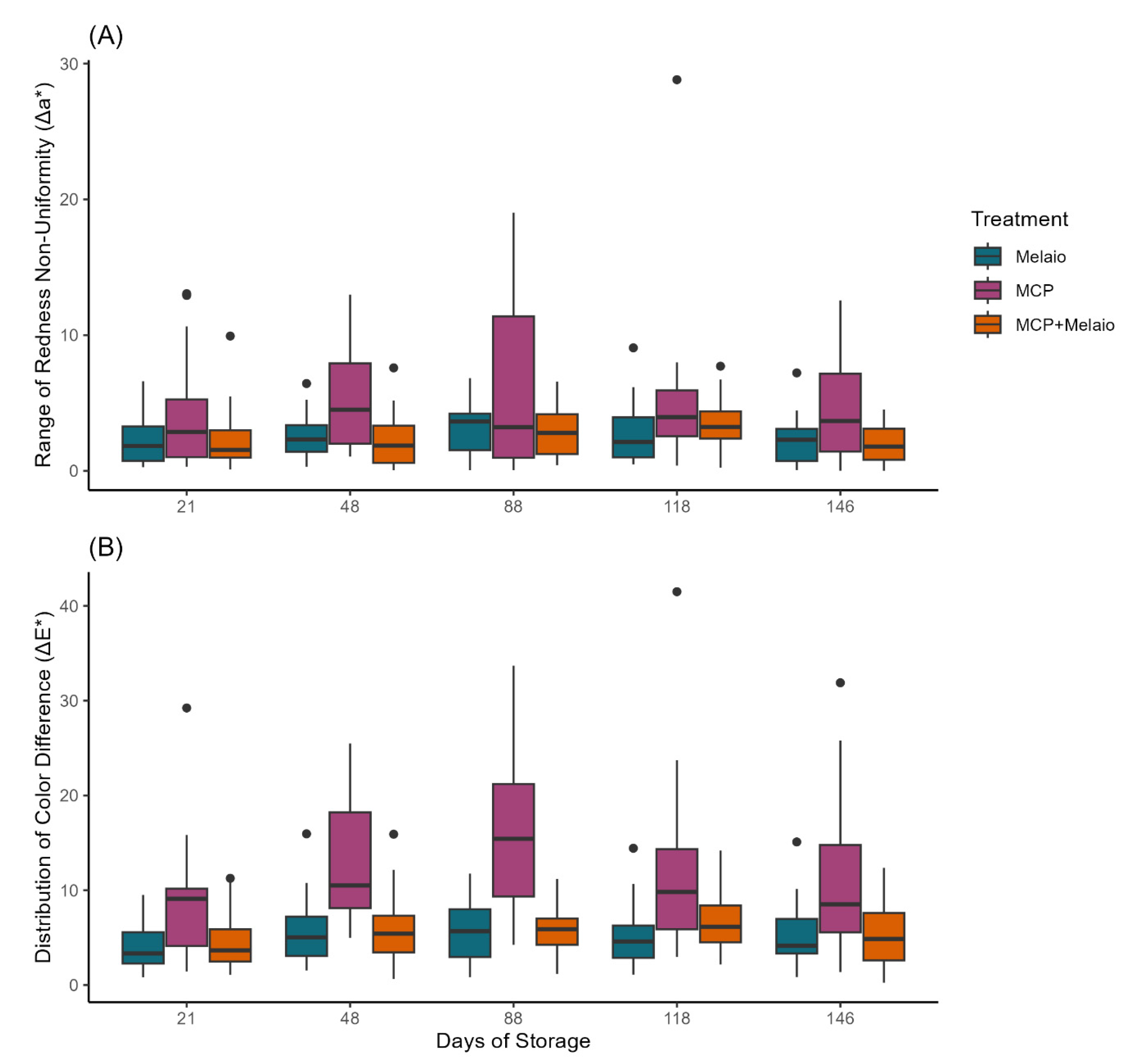
Beyond the differences in mean values, the postharvest treatments also had a profound impact on the variability of color uniformity within each batch of fruit (Figure 4). The MCP treatment consistently induced a much wider distribution in both Δa* and ΔE* values at every time point. This is evidenced by the larger interquartile ranges and the greater frequency of outliers in the boxplots for the MCP group. Conversely, the Melaio and MCP+Melaio treatments produced fruit with a consistently low degree of variation in color uniformity. This indicates that while the MCP-only treatment can lead to a high average difference between the blushed and unblushed sides, it does so inconsistently. The inclusion of the traditional melaio reddening phase, therefore, leads to a more predictable and homogeneous batch of fruit with respect to color uniformity.
To statistically confirm the observations on the variability of color uniformity, Levene’s test for homogeneity of variance was performed at each measurement date. The results provide statistical evidence that the MCP treatment induced greater heteroscedasticity in color non-uniformity compared to the treatments involving the melaio phase (Table 4 and Table 5). Crucially, no significant differences in variance were detected at the first measurement on Day 21 for either Δa* (p = 0.116) or ΔE* (p = 0.063). This indicates that, while apples in each group may show different degrees of natural variation (e.g., exhibited individual color uniformity values), the fruit batches were initially homogeneous in their color uniformity. Subsequent differences in consistency during storage emerged because of the postharvest treatments.
For the non-uniformity in redness (Δa*), the variance of the MCP group was consistently and numerically much larger than the Melaio and MCP+Melaio groups. This difference was statistically significant at 48, 88, and 146 days of storage (Table 4).
An even stronger effect was observed for the total color difference (ΔE*). The variance in the MCP group was dramatically higher than in the other two groups, and this difference was statistically significant at every measurement point from day 48 onwards (Table 5).
These results formally confirm the visual evidence from Figure 4 the inclusion of the traditional melaio reddening step, both with and without 1-MCP application, is critical for producing a final product with a more consistent and homogeneous skin color distribution.

4. Discussion

The traditional postharvest reddening of the ‘Annurca’ apple in a melaio is the foundation of its PGI designation, essential for developing its characteristic color and organoleptic profile [7,9]. However, this process invariably leads to a loss of flesh firmness, creating a conflict with modern consumer preference for crisp, crunchy apples [17]. This study examined the dynamics of an integrated postharvest strategy designed to resolve this quality trade-off. Our results demonstrate that the application of 1-MCP prior to the traditional reddening period (the MCP+Melaio treatment) is an effective strategy, successfully uncoupling the desired skin color development from the detrimental textural degradation.
The flesh softening observed in the traditional Melaio treatment can be attributed to a classic ethylene-mediated ripening response [23]. There is a large consensus that 1-MCP, by blocking ethylene perception at the receptor level, effectively preserves a high degree of firmness throughout the reddening period and subsequent cold storage [24,25]. It is also necessary to mention that 1-MCP can block the signaling cascade that promotes the expression of cell-wall-degrading enzymes [26] and upregulates key genes in the anthocyanin biosynthesis pathway, thereby uncoupling textural degradation from color development [27]. Both treatments involving 1-MCP (MCP and MCP+Melaio) maintained significantly higher flesh firmness during the entire storage period compared to the traditional Melaio treatment. Interestingly, MCP-treated fruit exhibited higher firmness than MCP+Melaio fruit only at the beginning and end of storage. This suggests that the integrated strategy retained firmness comparable to MCP alone, confirming that the protective effect of 1-MCP persists even when fruit is subsequently exposed to the field conditions of the Melaio. The slight early softening observed in MCP+Melaio fruit may be linked to the reddening phase, which involves higher temperature and light exposure, potentially increasing metabolic activity and water loss. At the final stage, a partial recovery of ethylene sensitivity or cumulative stress effects from the reddening period could explain the slightly greater softening observed in MCP+Melaio apples despite prior 1-MCP treatment [28]. The SSC/TA ratio and starch index trends further support the presence of a slowed ripening process in 1-MCP-treated fruit. Melaio apples exhibited a rapid increase in SSC/TA and faster starch hydrolysis, consistent with advanced ripening driven by ethylene activity. In contrast, MCP and MCP+Melaio treatments maintained lower SSC/TA values and delayed starch degradation throughout storage, indicating a strong inhibitory effect of 1-MCP on internal ripening processes. Overall, the integrated strategy partially suppresses internal ripening, indicating that the application of 1-MCP before melaio is effective in mitigating the metabolic acceleration typically caused by field exposure.
A somewhat counter-intuitive finding was that the MCP-only treatment ultimately achieved the highest overall red color intensity (a*) and Chroma, surpassing the other treatments by a small yet significant margin, despite the melaio stage being specifically designed to induce reddening in ‘Annurca’. However, in the commercial evaluation of apples, skin color quantity is not synonymous with color quality. Consumer preference is strongly influenced not just by the intensity of the red blush, but also by its uniformity and the harmony of the overall appearance [1,2,3,4]. For example, a fruit with an intense but isolated red patch on a less-developed background may be perceived as ‘blotchy’ or unevenly ripened, which can detract from its visual appeal [29].
The traditional process leverages strong ethylene-independent cues (i.e., light and fluctuating temperature) which are known to directly activate the anthocyanin biosynthesis pathway [30]. In contrast, the MCP-only fruit in cold storage lacked both the hormonal trigger of ethylene and these strong environmental stimuli, resulting in a much slower and less uniform coloration process. This outcome likely reflects an extended physiological window for anthocyanin biosynthesis under slow, controlled ripening in cold storage. The field conditions of the melaio, with fluctuating temperatures and high light, trigger a more rapid, but ultimately self-limiting skin color production. The 1-MCP in cold storage likely allows for greater final pigment accumulation because, by suppressing competing ethylene-dependent ripening processes like cell wall softening, more metabolic precursors (e.g., sugars, phenylpropanoids) are available to be channeled into the anthocyanin pathway over a longer duration [31,32,33]. Consistent with this interpretation, the a* peak in MCP fruit occurred later than in the other treatments, confirming a delayed yet more sustained reddening process. In contrast, Melaio-only fruits reached an earlier peak in a* but then plateaued or declined, likely due to faster senescence and metabolic exhaustion. The b* dynamics provide additional insight. The higher b* values in MCP-only fruit reflect a slower degradation of chlorophyll, which would otherwise unmask the yellow carotenoid pigments, a process that is also partially ethylene-dependent [34]. At the beginning of storage, MCP-only fruit showed higher b* values on the unblushed side compared to the blushed side, reflecting the persistence of chlorophyll and carotenoids in shaded tissue. This difference diminished over time as pigment degradation and anthocyanin accumulation progressed, albeit more slowly than in treatments exposed to the reddening phase, where early field conditions accelerated pigment transitions on both sides.
However, it is crucial to consider whether these statistically significant increases in red intensity translate to a perceptually superior fruit. The science of colorimetry uses the Total Color Difference (ΔE*) metric to quantify how the human eye perceives differences between two colors, with a ΔE* value greater than 3–5 generally considered to be a clear and distinct difference [35].
When we analyze the color non-uniformity (i.e., the difference between the apple’s own blushed and unblushed sides) the practical implications become clear. The MCP-treated fruit exhibited an average ΔE* of over 12, a value indicating a strong contrast between the two sides of the fruit. In contrast, the fruit from the Melaio and MCP+Melaio treatments had a more moderate ΔE* of around 5.5. While this is still a clearly visible difference, it implies a more harmonious and gradual transition between the colored and background surfaces. Therefore, while the MCP treatment slightly maximized the quantity of red skin color, it did so at the expense of aesthetic quality, creating a less visually integrated appearance. We would like to propose that the traditional melaio process does not simply generate color but rather optimizes it for a more uniform and perceptually pleasing aesthetic outcome.
This distinction between color quantity and aesthetic quality highlights a critical shortcoming of the MCP-only strategy and the value of the traditional melaio process. Specifically, the highly variable and non-uniform coloration produced by the MCP-only treatment, along with its more orange-toned hue, would likely be considered a quality flaw for a premium product like the ‘Annurca’ apple. Moreover, the high variance in the MCP-only group translates directly to commercial challenges: inconsistent product quality, lower pack-out of premium-grade fruit, and increased sorting costs. This implies that the traditional practice of managing sun exposure and fruit rotation in the melaio is probably irreplaceable. Our data not only provides the first quantitative evidence that this technique successfully transforms a partially colored fruit at harvest into a uniformly and aesthetically finished product but indicates that this level of quality cannot be replicated by chemical intervention (1-MCP) alone.
Under this perspective, the efficacy of the integrated MCP+Melaio strategy becomes evident. It leveraged the ethylene-inhibiting power of 1-MCP to preserve flesh firmness at levels demanded by the modern consumer [3]. Simultaneously, by including the melaio reddening phase, it achieved a higher color uniformity and the desirable, purer red hue (i.e., lower hue angle) characteristic of the traditional process. This treatment effectively mitigates the high variability in color uniformity seen in the MCP-only fruit, likely leading to a more commercially desirable product [36]. Despite its benefits, the proposed MCP+Melaio strategy also has limitations. The 1-MCP treatment adds cost and logistical complexity to the postharvest chain, requiring access to gas-tight facilities, a likely barrier for smaller producers. Moreover, future research should include volatile profiling to understand the effect of 1-MCP on biochemical aspects of maturation. Finally, follow-up studies should focus on consumer sensory analysis to confirm the market preference for the uniform color achieved by the MCP+Melaio treatment.

5. Conclusions

This study demonstrates that the quality trade-off between texture and color in ‘Annurca’ apples can be successfully managed through an integrated postharvest protocol. Treating the apples with 1-MCP immediately after harvest effectively prevents the rapid softening and over-ripening typically induced by the traditional melaio process. The subsequent reddening period can then proceed to ensure the development of the uniform, characteristic skin color required for the “Melannurca Campana” PGI designation. This combined MCP+Melaio strategy offers a viable, science-based solution for the ‘Annurca’ apple industry, allowing it to preserve its unique traditions while adapting its product to meet the textural expectations of today’s market. In a broader perspective, this work provides a strategic blueprint for preserving the unique identity of heritage cultivars without genetic modification, demonstrating how targeted scientific intervention can enhance their value and support their competitiveness in a globalized market [37].

Supplementary Materials

The following supporting information can be downloaded at: https://www.mdpi.com/article/10.3390/horticulturae11101247/s1: Supplementary Figure S1. Evolution of skin color hue angle and chroma on the blushed and unblushed sides of ‘Annurca’ apples during cold storage; Supplementary Table S1. Two-way ANOVA results for fruit skin color; Supplementary Table S2. Effects of treatment and storage time on pulp color.

Author Contributions

G.C., methodology, formal analysis, writing—original draft preparation, and writing—review and editing; A.M., investigation and data curation; P.S., investigation and data curation; C.M., investigation; M.T., investigation and methodology; B.B., methodology, formal analysis, supervision, and writing—review and editing. All authors have read and agreed to the published version of the manuscript.

Funding

This research received no external funding.

Data Availability Statement

Data will be made available upon reasonable request from the corresponding authors (B.B.).

Acknowledgments

The authors are grateful to the personnel at Giaccio Frutta, particularly Giuseppe Giaccio, for granting access to their farm facilities and for their assistance throughout the experimental work. Special gratitude is also given to Maurizio Iovane for his technical assistance during the data collection.

Conflicts of Interest

The authors declare no conflicts of interest.

References

  1. Daillant-Spinnler, B.; MacFie, H.J.H.; Beyts, P.K.; Hedderley, D. Relationships between perceived sensory properties and major preference directions of 12 varieties of apples from the Southern Hemisphere. Food Qual. Prefer. 1996, 7, 113–126. [Google Scholar] [CrossRef]
  2. Dar, J.A.; Wani, A.A.; Ahmed, M.; Nazir, R.; Zargar, S.M.; Javaid, K. Peel colour in apple (Malus × domestica Borkh.): An economic quality parameter in fruit market. Sci. Hortic. 2019, 244, 50–60. [Google Scholar] [CrossRef]
  3. Harker, F.R.; Kupferman, E.M.; Marin, A.B.; Gunson, F.A.; Triggs, C.M. Eating quality standards for apples based on consumer preferences. Postharvest Biol. Technol. 2008, 50, 70–78. [Google Scholar] [CrossRef]
  4. Saure, M.C. External control of anthocyanin formation in apple. Sci. Hortic. 1990, 42, 181–218. [Google Scholar] [CrossRef]
  5. Teh, S.L.; Kostick, S.A.; Evans, K.M. Genetics and breeding of apple scions. In The Apple Genome; Springer: Berlin/Heidelberg, Germany, 2021; pp. 73–103. [Google Scholar]
  6. Watkins, C.B. Advances in postharvest handling and storage of apples. In Achieving Sustainable Cultivation of Apples; Burleigh Dodds Science Publishing: Cambridge, UK, 2017; pp. 361–392. [Google Scholar]
  7. Cirillo, A.; Spadafora, N.D.; James-Knight, L.; Ludlow, R.A.; Müller, C.T.; De Luca, L.; Romano, R.; Rogers, H.J.; Di Vaio, C. Comparison of Volatile Organic Compounds, Quality, and Nutritional Parameters from Local Italian and International Apple Cultivars. Horticulturae 2024, 10, 863. [Google Scholar] [CrossRef]
  8. Lintas, C.; Paoletti, F.; Ponziani, G.; Gambelli, L.; Monastra, F.; Cappelloni, M. Agronomic, nutritional and tecture evaluation of “Annurca” apple clones. Adv. Hortic. Sci. 1993, 7, 1000–1004. [Google Scholar]
  9. Lisanti, M.T.; Mataffo, A.; Scognamiglio, P.; Teobaldelli, M.; Iovane, M.; Piombino, P.; Rouphael, Y.; Kyriacou, M.C.; Corrado, G.; Basile, B. 1-Methylcyclopropene Improves Postharvest Performances and Sensorial Attributes of Annurca-Type Apples Exposed to the Traditional Reddening in Open-Field Melaio. Agronomy 2021, 11, 1056. [Google Scholar] [CrossRef]
  10. Melchiade, D.; Foroni, I.; Corrado, G.; Santangelo, I.; Rao, R. Authentication of the ‘Annurca’apple in agro-food chain by amplification of microsatellite loci. Food Biotechnol. 2007, 21, 33–43. [Google Scholar] [CrossRef]
  11. De Mori, G.; Cipriani, G. Marker-Assisted Selection in Breeding for Fruit Trait Improvement: A Review. Int. J. Mol. Sci. 2023, 24, 8984. [Google Scholar] [CrossRef]
  12. Singh, D.; Chauhan, N.; Chauhan, A. A note on promising early colouring apple bud sports identified from commercial exotic apple germplasm. Genet. Resour. Crop Evol. 2023, 70, 1931–1938. [Google Scholar] [CrossRef]
  13. Lugaresi, A.; Steffens, C.A.; Souza, M.P.d.; Amarante, C.V.T.d.; Brighenti, A.F.; Pasa, M.d.S.; Martin, M.S.d. Late summer pruning improves the quality and increases the content of functional compounds in Fuji apples. Bragantia 2022, 81, e3122. [Google Scholar] [CrossRef]
  14. Mupambi, G.; Valverdi, N.A.; Camargo-Alvarez, H.; Reid, M.; Kalcsits, L.; Schmidt, T.; Castillo, F.; Toye, J. Reflective groundcover improves fruit skin color in ‘Honeycrisp’apples grown under protective netting. HortTechnology 2021, 31, 607–614. [Google Scholar]
  15. Tipu, M.M.H.; Jahed, K.R.; Sherif, S.M. Integrated application of ACC and AVG mitigates pre-harvest fruit drop and enhances red coloration in apple. Plant Growth Regul. 2025, 105, 1289–1305. [Google Scholar] [CrossRef]
  16. Horbens, M.; Feldner, A.; Höfer, M.; Neinhuis, C. Ontogenetic tissue modification in Malus fruit peduncles: The role of sclereids. Ann. Bot. 2014, 113, 105–118. [Google Scholar]
  17. Corrado, G.; Mataffo, A.; Scognamiglio, P.; Teobaldelli, M.; Basile, B. Mealiness and Aroma Drive a Non-Linear Preference Curve for ‘Annurca’ PGI Apples in Long-Term Storage. Foods 2025, 14, 2990. [Google Scholar]
  18. Blankenship, S.M.; Dole, J.M. 1-Methylcyclopropene: A review. Postharvest Biol. Technol. 2003, 28, 1–25. [Google Scholar] [CrossRef]
  19. Murakami, P.F. An Instructional Guide for Leaf Color Analysis Using Digital Imaging Software; US Department of Agriculture, Forest Service, Northeastern Research Station: Newtown Square, PA, USA, 2005. [Google Scholar]
  20. Blanpied, G.; Silsby, K.J. Predicting Harvest Date Windows for Apples; Cornell Cooperative Extension: Ithaca, NY, USA, 1992. [Google Scholar]
  21. McGuire, R.G. Reporting of objective color measurements. Hortscience 1992, 27, 1254–1255. [Google Scholar]
  22. Schanda, J. Colorimetry: Understanding the CIE System; John Wiley & Sons: Hoboken, NJ, USA, 2007. [Google Scholar]
  23. Ireland, H.S.; Gunaseelan, K.; Muddumage, R.; Tacken, E.J.; Putterill, J.; Johnston, J.W.; Schaffer, R.J. Ethylene regulates apple (Malus× domestica) fruit softening through a dose × time-dependent mechanism and through differential sensitivities and dependencies of cell wall-modifying genes. Plant Cell Physiol. 2014, 55, 1005–1016. [Google Scholar]
  24. Hu, B.; Sun, D.-W.; Pu, H.; Wei, Q. Recent advances in detecting and regulating ethylene concentrations for shelf-life extension and maturity control of fruit: A review. Trends Food Sci. Technol. 2019, 91, 66–82. [Google Scholar] [CrossRef]
  25. Satekge, T.K.; Magwaza, L.S. Postharvest Application of 1-Methylcyclopropene (1-MCP) on Climacteric Fruits: Factors Affecting Efficacy. Int. J. Fruit Sci. 2022, 22, 595–607. [Google Scholar] [CrossRef]
  26. Win, N.M.; Yoo, J.; Naing, A.H.; Kwon, J.-G.; Kang, I.-K. 1-Methylcyclopropene (1-MCP) treatment delays modification of cell wall pectin and fruit softening in “Hwangok” and “Picnic” apples during cold storage. Postharvest Biol. Technol. 2021, 180, 111599. [Google Scholar] [CrossRef]
  27. Zhang, Y.; Ling, J.; Zhou, H.; Tian, M.; Huang, W.; Luo, S.; Hu, H.; Li, P. 1-Methylcyclopropene counteracts ethylene inhibition of anthocyanin accumulation in peach skin after harvest. Postharvest Biol. Technol. 2022, 183, 111737. [Google Scholar] [CrossRef]
  28. Zanella, A.; Rossi, O. Post-harvest retention of apple fruit firmness by 1-methylcyclopropene (1-MCP) treatment or dynamic CA storage with chlorophyll fluorescence (DCA-CF). Eur. J. Hortic. Sci. 2015, 80, 11–17. [Google Scholar] [CrossRef]
  29. Vilaplana, R.; Soria, Y.; Valentines, M.C.; Larrigaudière, C. Specific response of apple skin and pulp tissues to cold stress and 1-MCP treatment. Postharvest Biol. Technol. 2007, 43, 215–220. [Google Scholar] [CrossRef]
  30. Ma, Y.; Ma, X.; Gao, X.; Wu, W.; Zhou, B. Light induced regulation pathway of anthocyanin biosynthesis in plants. Int. J. Mol. Sci. 2021, 22, 11116. [Google Scholar] [CrossRef] [PubMed]
  31. Cappellini, F.; Marinelli, A.; Toccaceli, M.; Tonelli, C.; Petroni, K. Anthocyanins: From mechanisms of regulation in plants to health benefits in foods. Front. Plant Sci. 2021, 12, 748049. [Google Scholar] [CrossRef]
  32. Ni, J.; Premathilake, A.T.; Gao, Y.; Yu, W.; Tao, R.; Teng, Y.; Bai, S. Ethylene-activated PpERF105 induces the expression of the repressor-type R2R3-MYB gene PpMYB140 to inhibit anthocyanin biosynthesis in red pear fruit. Plant J. 2021, 105, 167–181. [Google Scholar] [CrossRef]
  33. Petroni, K.; Tonelli, C. Recent advances on the regulation of anthocyanin synthesis in reproductive organs. Plant Sci. 2011, 181, 219–229. [Google Scholar] [CrossRef]
  34. Syvash, O.; Zolotareva, O. Regulation of chlorophyll degradation in plant tissues. Biotechnol. Acta 2017, 10, 20–30. [Google Scholar] [CrossRef]
  35. Mokrzycki, W.; Tatol, M. Colour difference ∆E—A survey. Mach. Graph. Vis 2011, 20, 383–411. [Google Scholar]
  36. Cliff, M.; Sanford, K.; Wismer, W.; Hampson, C. Use of digital images for evaluation of factors responsible for visual preference of apples by consumers. HortScience 2002, 37, 1127–1131. [Google Scholar] [CrossRef]
  37. Bai, Y.; Li, X.; Feng, Y.; Liu, M.; Chen, C. Preserving traditional systems: Identification of agricultural heritage areas based on agro-biodiversity. Plants People Planet 2024, 6, 670–682. [Google Scholar] [CrossRef]
Figure 1. Effects of postharvest treatments (MCP, MCP+Melaio, Melaio). (A) Flesh firmness, (B) SSC/TA ratio, and (C) Starch pattern index of ‘Annurca’ apples during cold storage. Each point represents the estimated marginal mean. Error bars indicate the pooled standard error derived from the two-way ANOVA model. Within each time point, means not sharing a common letter are significantly different (p < 0.05, Tukey’s HSD test). Different letters at each time point indicate significant differences among treatments (p ≤ 0.05).
Figure 1. Effects of postharvest treatments (MCP, MCP+Melaio, Melaio). (A) Flesh firmness, (B) SSC/TA ratio, and (C) Starch pattern index of ‘Annurca’ apples during cold storage. Each point represents the estimated marginal mean. Error bars indicate the pooled standard error derived from the two-way ANOVA model. Within each time point, means not sharing a common letter are significantly different (p < 0.05, Tukey’s HSD test). Different letters at each time point indicate significant differences among treatments (p ≤ 0.05).
Horticulturae 11 01247 g001
Figure 2. Evolution of CIE L* a* b* skin color coordinates on the blushed and unblushed sides of ‘Annurca’ apples during cold storage. The figure displays the changes in (A) a* value (redness), (B) b* value (yellowness), and (C) L* value (lightness) over a 146-day period. Fruits were managed with one of three postharvest treatments: traditional reddening (Melaio), 1-MCP application (MCP), or 1-MCP application followed by traditional reddening (MCP+Melaio). Within each time point, different letters denote statistically significant differences among all treatment and side combinations (p ≤ 0.05).
Figure 2. Evolution of CIE L* a* b* skin color coordinates on the blushed and unblushed sides of ‘Annurca’ apples during cold storage. The figure displays the changes in (A) a* value (redness), (B) b* value (yellowness), and (C) L* value (lightness) over a 146-day period. Fruits were managed with one of three postharvest treatments: traditional reddening (Melaio), 1-MCP application (MCP), or 1-MCP application followed by traditional reddening (MCP+Melaio). Within each time point, different letters denote statistically significant differences among all treatment and side combinations (p ≤ 0.05).
Horticulturae 11 01247 g002
Figure 3. Evolution of skin color non-uniformity in ‘Annurca’ apples during cold storage. The figure displays (A) the difference in skin redness (Δa*) and (B) the total perceptible color difference (ΔE*) calculated between the blushed and unblushed sides of the fruit. Apples were managed with one of three postharvest treatments: traditional reddening (Melaio), 1-MCP application (MCP), or 1-MCP application followed by traditional reddening (MCP+Melaio). Each point represents the mean ± standard error. At each time point, different letters indicate significant differences among treatments according to Tukey’s HSD test (p ≤ 0.05).
Figure 3. Evolution of skin color non-uniformity in ‘Annurca’ apples during cold storage. The figure displays (A) the difference in skin redness (Δa*) and (B) the total perceptible color difference (ΔE*) calculated between the blushed and unblushed sides of the fruit. Apples were managed with one of three postharvest treatments: traditional reddening (Melaio), 1-MCP application (MCP), or 1-MCP application followed by traditional reddening (MCP+Melaio). Each point represents the mean ± standard error. At each time point, different letters indicate significant differences among treatments according to Tukey’s HSD test (p ≤ 0.05).
Horticulturae 11 01247 g003
Figure 4. Distribution of skin color non-uniformity metrics for ‘Annurca’ apples over 146 days of cold storage. The boxplots visualize the distribution of (A) the difference in skin redness (Δa*) and (B) the total perceptible color difference (ΔE*) between the blushed and unblushed fruit sides for the three postharvest treatments. The horizontal line within each box represents the median, the box boundaries represent the 25th and 75th percentiles, the whiskers extend to 1.5 times the interquartile range, and individual points are outliers.
Figure 4. Distribution of skin color non-uniformity metrics for ‘Annurca’ apples over 146 days of cold storage. The boxplots visualize the distribution of (A) the difference in skin redness (Δa*) and (B) the total perceptible color difference (ΔE*) between the blushed and unblushed fruit sides for the three postharvest treatments. The horizontal line within each box represents the median, the box boundaries represent the 25th and 75th percentiles, the whiskers extend to 1.5 times the interquartile range, and individual points are outliers.
Horticulturae 11 01247 g004
Table 1. Effects of treatment and storage time on post-harvest apple ripening. Different letters within a column for each source of variation indicate significant differences according to Tukey’s HSD test (p ≤ 0.05). Significance levels: * p ≤ 0.05, ** p ≤ 0.01, *** p ≤ 0.001.
Table 1. Effects of treatment and storage time on post-harvest apple ripening. Different letters within a column for each source of variation indicate significant differences according to Tukey’s HSD test (p ≤ 0.05). Significance levels: * p ≤ 0.05, ** p ≤ 0.01, *** p ≤ 0.001.
Source of VariationFlesh Firmness (N)SSC/TA RatioStarch Pattern
Index
Treatment (TRT)
MCP51.7 ± 0.6 c2.2 ± 0.0 a6.7 ± 0.1 a
MCP+Melaio49.6 ± 0.6 b2.5 ± 0.0 b7.6 ± 0.1 b
Melaio38.1 ± 0.6 a3.0 ± 0.0 c7.5 ± 0.1 b
Significance*********
Storage Time (ST)
Day 2148 ± 0.8 b2.2 ± 0.1 a5.8 ± 0.1 a
Day 4847.7 ± 0.8 b2.3 ± 0.1 a7.2 ± 0.1 b
Day 8844.0 ± 0.8 a2.5 ± 0.1 b7.8 ± 0.1 cd
Day 11846.4 ± 0.8 ab2.7 ± 0.1 b7.6 ± 0.1 c
Day 14646.1 ± 0.8 ab3.0 ± 0.1 c8.0 ± 0.1 d
Significance********
TRT × ST
MCP × Time 2155.9 ± 1.3 e2.0 ± 0.1 abc3.5 ± 0.1 a
MCP × Time 4849.6 ± 1.3 de1.9 ± 0.1 ab7.1 ± 0.1 bc
MCP × Time 8847.9 ± 1.3 cd2.2 ± 0.1 abcd7.8 ± 0.1 def
MCP × Time 11850.5 ± 1.3 de2.4 ± 0.1 abcde7.2 ± 0.1 bcd
MCP × Time 14654.5 ± 1.3 e2.5 ± 0.1 bcde8.0 ± 0.1 f
MCP+Melaio × Time 2150.8 ± 1.3 de1.9 ± 0.1 a6.9 ± 0.1 b
MCP+Melaio × Time 4851.1 ± 1.3 de2.2 ± 0.1 abcd7.3 ± 0.1 bcde
MCP+Melaio × Time 8847.6 ± 1.3 cd2.5 ± 0.1 cdef7.9 ± 0.1 ef
MCP+Melaio × Time 11850.5 ± 1.3 de2.8 ± 0.1 def8.0 ± 0.1 f
MCP+Melaio × Time 14647.9 ± 1.3 cd3.0 ± 0.1 f8.0 ± 0.1 f
Melaio × Time 2137.5 ± 1.3 ab2.8 ± 0.1 ef7.1 ± 0.1 bc
Melaio × Time 4842.5 ± 1.3 bc2.6 ± 0.1 def7.2 ± 0.1 bcd
Melaio × Time 8836.4 ± 1.3 ab2.8 ± 0.1 ef7.8 ± 0.1 def
Melaio × Time 11838.2 ± 1.3 ab3.0 ± 0.1 f7.6 ± 0.1 cdef
Melaio × Time 14635.9 ± 1.3 a3.6 ± 0.1 g8.0 ± 0.1 f
Significance*******
Table 2. Two-Way ANOVA results for fruit skin color. Different letters within a column for each source of variation indicate significant differences (p ≤ 0.05). Significance levels: ns (not significant) p > 0.05, *** p ≤ 0.001.
Table 2. Two-Way ANOVA results for fruit skin color. Different letters within a column for each source of variation indicate significant differences (p ≤ 0.05). Significance levels: ns (not significant) p > 0.05, *** p ≤ 0.001.
Source of VariationBlushed SideUnblushed Side
L*a*b*L*a*b*
Treatment (TRT)
Melaio24.1 ± 8.9 b25.3 ± 4.0 b15.7 ± 4.1 b22.2 ± 8.7 b22.7 ± 3.8 a13.4 ± 4.1 b
MCP27.6 ± 8.6 a28.5 ± 4.5 a20.1 ± 6.7 a30.0 ± 11.9 a23.4 ± 5.9 a21.3 ± 7.8 a
MCP+Melaio24.6 ± 9.3 b25.7 ± 3.8 b15.9 ± 4.7 b22.6 ± 9.9 b23.1 ± 3.6 a13.6 ± 4.4 b
Significance************ns***
Storage Time (ST)
Day 2141.4 ± 2.5 a21.68 ± 2.44 c11.9 ± 2.0 b41.7 ± 5.6 a18.8 ± 3.0 c12.1 ± 4.7 c
Day 4823.4 ± 3.4 b25.41 ± 2.99 b13.8 ± 3.0 b24.5 ± 7.1 b22.0 ± 4.0 b14.6 ± 7.3 bc
Day 8821.4 ± 4.8 c28.62 ± 3.92 a20.2 ± 5.4 a20.2 ± 7.1 c24.6 ± 4.3 a18.4 ± 7.0 a
Day 11822.2 ± 4.5 bc28.88 ± 3.90 a19.8 ± 5.2 a21.3 ± 7.0 bc25.1 ± 4.6 a17.9 ± 6.9 a
Day 14618.8 ± 3.9 d27.72 ± 3.43 a20.3 ± 4.9 a16.8 ± 4.5 d24.8 ± 3.4 a17.5 ± 5.6 ab
Significance******************
TRT × ST
Melaio × Day 2120.03 ± 1.89 i20.03 ± 1.89 i10.75 ± 1.86 h37.91 ± 1.79 b17.84 ± 2.52 f8.88 ± 1.92 g
Melaio × Day 4825.87 ± 2.11 defg25.87 ± 2.11 defg13.96 ± 2.31 fgh20.80 ± 2.51 ef23.34 ± 1.80 abcd11.72 ± 2.83 efg
Melaio × Day 8829.69 ± 3.30 abc29.69 ± 3.30 abc19.46 ± 3.09 cde19.27 ± 3.26 fg26.51 ± 2.26 ab16.53 ± 1.98 bcde
Melaio × Day 11825.49 ± 1.96 efg25.49 ± 1.96 efg17.02 ± 2.14 def17.88 ± 3.21 fg22.91 ± 3.14 bcde14.05 ± 3.11 cdefg
Melaio × Day 14625.29 ± 3.13 efg25.29 ± 3.13 efg17.36 ± 4.10 def14.91 ± 3.85 g23.04 ± 3.34 bcde15.68 ± 4.78 cde
MCP × Day 2123.03 ± 2.57 ghi23.03 ± 2.57 ghi12.52 ± 2.07 gh46.96 ± 6.00 a19.00 ± 3.89 ef16.25 ± 5.16 bcde
MCP × Day 4826.84 ± 3.29 cde26.84 ± 3.29 cde15.74 ± 2.56 efg31.62 ± 6.70 c21.34 ± 5.91 cdef21.62 ± 7.66 ab
MCP × Day 8829.69 ± 3.73 abc29.69 ± 3.73 abc24.90 ± 4.99 a25.70 ± 8.80 de23.56 ± 5.57 abcd24.71 ± 8.19 a
MCP × Day 1 1832.41 ± 3.08 a32.41 ± 3.08 a24.25 ± 6.13 ab27.58 ± 8.15 cd27.23 ± 6.26 a24.53 ± 7.60 a
MCP × Day 14630.33 ± 2.64 ab30.33 ± 2.64 ab23.00 ± 5.11 abc18.21 ± 5.71 fg25.66 ± 3.63 ab19.39 ± 7.04 abc
MCP+Melaio × Day 2121.98 ± 1.83 hi21.98 ± 1.83 hi12.56 ± 1.66 gh40.27 ± 3.36 b19.67 ± 1.96 def11.23 ± 2.79 efg
MCP+Melaio × Day 4823.42 ± 2.45 fgh23.42 ± 2.45 fgh11.47 ± 2.72 h20.91 ± 5.00 ef21.18 ± 2.89 def10.12 ± 3.89 fg
MCP+Melaio × Day 8826.46 ± 3.95 def26.46 ± 3.95 def16.27 ± 4.06 efg15.69 ± 4.04 fg23.57 ± 3.85 abcd13.87 ± 3.75 defg
MCP+Melaio × Day 11828.74 ± 2.94 bcd28.74 ± 2.94 bcd18.26 ± 3.35 de18.53 ± 3.74 fg25.29 ± 2.50 abc14.98 ± 3.29 cdef
MCP+Melaio × Day 14627.55 ± 2.52 bcde27.55 ± 2.52 bcde20.64 ± 3.87 bcd17.31 ± 3.08 fg25.57 ± 2.73 ab17.40 ± 4.22 bcd
Significance******************
Table 3. Two-Way ANOVA results for skin color non-uniformity ( Δ a s k i n *   and  Δ E s k i n * ). Different letters within a column for each source of variation indicate significant differences (p ≤ 0.05). Significance levels: ns (not significant) p > 0.05, ** p ≤ 0.01, *** p ≤ 0.001.
Table 3. Two-Way ANOVA results for skin color non-uniformity ( Δ a s k i n *   and  Δ E s k i n * ). Different letters within a column for each source of variation indicate significant differences (p ≤ 0.05). Significance levels: ns (not significant) p > 0.05, ** p ≤ 0.01, *** p ≤ 0.001.
Source of Variation Δ a s k i n * Δ E s k i n *
Treatment (TRT)
Melaio2.55 ± 1.88 b5.18 ± 3.16 b
MCP5.10 ± 4.84 a12.23 ± 7.74 a
MCP+Melaio2.58 ± 1.99 b5.64 ± 3.25 b
Significance******
Storage Time (ST)
Day 212.84 ± 2.89 a5.87 ± 4.74 b
Day 483.44 ± 3.04 a8.40 ± 6.01 ab
Day 884.07 ± 4.10 a9.07 ± 6.80 a
Day 1183.74 ± 3.92 a7.96 ± 6.52 ab
Day 1462.97 ± 2.90 a7.15 ± 5.88 ab
Significancens**
TRT x ST
Significancensns
Table 4. Evaluation of the Homogeneity of Variance of Δ a s k i n * . Significance levels: ns (not significant) p > 0.05, ** p ≤ 0.01, *** p ≤ 0.001.
Table 4. Evaluation of the Homogeneity of Variance of Δ a s k i n * . Significance levels: ns (not significant) p > 0.05, ** p ≤ 0.01, *** p ≤ 0.001.
Storage TimeVariance (Melaio)Variance (MCP)Variance (MCP+Melaio)p-ValueSignificance
Day 212.97315.4405.3530.116ns
Day 482.76814.7084.2390.001**
Day 883.76537.9733.6240.001***
Day 1184.85435.2763.8480.301ns
Day 1463.33716.0182.0660.001**
Table 5. Evaluation of the Homogeneity of Variance of Δ E s k i n * . Significance levels: ns (not significant) p > 0.05, * p ≤ 0.05, ** p ≤ 0.01, *** p ≤ 0.001.
Table 5. Evaluation of the Homogeneity of Variance of Δ E s k i n * . Significance levels: ns (not significant) p > 0.05, * p ≤ 0.05, ** p ≤ 0.01, *** p ≤ 0.001.
Storage TimeVariance (Melaio)Variance (MCP)Variance (MCP+Melaio)p-ValueSignificance
Day 217.05139.9958.4690.063ns
Day 4811.78341.64114.4830.011*
Day 889.61956.9496.2430.000***
Day 11810.17582.74212.1440.012*
Day 14611.63861.99611.1810.008**
Disclaimer/Publisher’s Note: The statements, opinions and data contained in all publications are solely those of the individual author(s) and contributor(s) and not of MDPI and/or the editor(s). MDPI and/or the editor(s) disclaim responsibility for any injury to people or property resulting from any ideas, methods, instructions or products referred to in the content.

Share and Cite

MDPI and ACS Style

Corrado, G.; Mataffo, A.; Scognamiglio, P.; Molinaro, C.; Teobaldelli, M.; Basile, B. Dynamics of Quality Traits During Cold Storage in ‘Annurca’ Apples: Impact of 1-MCP and the Traditional Melaio Reddening Process. Horticulturae 2025, 11, 1247. https://doi.org/10.3390/horticulturae11101247

AMA Style

Corrado G, Mataffo A, Scognamiglio P, Molinaro C, Teobaldelli M, Basile B. Dynamics of Quality Traits During Cold Storage in ‘Annurca’ Apples: Impact of 1-MCP and the Traditional Melaio Reddening Process. Horticulturae. 2025; 11(10):1247. https://doi.org/10.3390/horticulturae11101247

Chicago/Turabian Style

Corrado, Giandomenico, Alessandro Mataffo, Pasquale Scognamiglio, Carlo Molinaro, Maurizio Teobaldelli, and Boris Basile. 2025. "Dynamics of Quality Traits During Cold Storage in ‘Annurca’ Apples: Impact of 1-MCP and the Traditional Melaio Reddening Process" Horticulturae 11, no. 10: 1247. https://doi.org/10.3390/horticulturae11101247

APA Style

Corrado, G., Mataffo, A., Scognamiglio, P., Molinaro, C., Teobaldelli, M., & Basile, B. (2025). Dynamics of Quality Traits During Cold Storage in ‘Annurca’ Apples: Impact of 1-MCP and the Traditional Melaio Reddening Process. Horticulturae, 11(10), 1247. https://doi.org/10.3390/horticulturae11101247

Note that from the first issue of 2016, this journal uses article numbers instead of page numbers. See further details here.

Article Metrics

Back to TopTop