Next Article in Journal
Genome-Wide Analysis of Grapevine Ascorbate Oxidase Genes Identifies VaAAO7 in Vitis amurensis as a Positive Regulator of Botrytis cinerea Resistance
Previous Article in Journal
Comparative Chloroplast Genomes to Gain Insights into the Phylogenetic Relationships and Evolution of Opisthopappus Species
 
 
Font Type:
Arial Georgia Verdana
Font Size:
Aa Aa Aa
Line Spacing:
Column Width:
Background:
Article

Effect of Jasmonic Acid on the Elicitation of Phenolic Compounds and Naphthodianthrones in Hypericum perforatum L. Callus and Shoot Cultures

by
Oliver Tusevski
1,*,
Jasmina Petreska Stanoeva
2,
Ana Bozhinovska
1,
Stefana Dzambazovska
1 and
Sonja Gadzovska Simic
1
1
Institute of Biology, Faculty of Natural Sciences and Mathematics, “Ss. Cyril and Methodius” University in Skopje, 1000 Skopje, North Macedonia
2
Institute of Chemistry, Faculty of Natural Sciences and Mathematics, “Ss. Cyril and Methodius” University in Skopje, 1000 Skopje, North Macedonia
*
Author to whom correspondence should be addressed.
Horticulturae 2025, 11(10), 1210; https://doi.org/10.3390/horticulturae11101210
Submission received: 16 September 2025 / Revised: 4 October 2025 / Accepted: 6 October 2025 / Published: 8 October 2025
(This article belongs to the Section Medicinals, Herbs, and Specialty Crops)

Abstract

Hypericum perforatum callus and shoot cultures were investigated for biomass production, phenolic compounds and naphthodianthrone biosynthesis, as well antioxidant activities upon elicitation with jasmonic acid (JA). Calli and shoots elicited with 50 and 100 μM JA had comparable or better fresh biomass production, while application of 250 μM JA displayed growth suppression effect. Total phenolics, flavonoids, and flavan-3-ols contents in JA-elicited calli were correlated to increased activities of phenylalanine ammonia lyase (PAL) and chalcone isomerase (CHI). In contrast, PAL and CHI activities in shoots were not significantly related to phenolic compound production, suggesting that JA up-regulated distinct phenylpropanoid/flavonoid pathways. Exogenous application of 250 μM JA was selected as an efficient elicitor dose for enhanced production of hypericin and pseudohypericin in both cultures. Calli and shoots showed an early response to JA elicitation through significant enhancement of non-enzymatic antioxidant properties due to accumulation of phenolic compounds. Concerning antioxidant enzymes, it was shown that up-regulated peroxidase activity in calli and catalase activity in shoots had a pivotal importance in cells’ protection against JA-mediated oxidative stress. Outgoing results indicated that elicitation of H. perforatum callus and shoot cultures with JA represents a promising biotechnological approach for production of bioactive metabolites with medicinal properties.

1. Introduction

Hypericum perforatum L. (St. John’s wort) is a well-known medicinal plant, attracting enormous scientific interest worldwide due to its richness in biologically active compounds. This species exhibits various pharmacological activities, including antidepressant, antioxidant, antimicrobial, antiviral, antidiabetic, and anticancer properties that are related to the presence of a distinct group of secondary metabolites such as flavonoids, phenolic acids, acyl-phloroglucinols, naphthodianthrones, and xanthones [1,2]. Considering this, H. perforatum products are among the best-selling phytopharmaceuticals and nutraceuticals that are commercially available on the market in the form of tablets, capsules, or extracts [3]. However, H. perforatum flowering shoots (Hyperici herba) used in the pharmaceutical and cosmetic industry for the preparation of phytoproducts must fulfill some requirements related to the contents of bioactive compounds in the raw material [4]. Field-grown plants are the main source for supplying the pharmaceutical industry, but their uncontrolled exploitation can significantly decline natural H. perforatum populations [5]. Even cultivated H. perforatum plants can substitute wild-growing plants as a crude material for the preparation of numerous formulations; the production of fast-growing and high-yielding plants with phytochemical stability represents a great challenge in the agro-farming industry [5,6]. In addition, cultivated plants are exposed to seasonal, climatic, and ecological variations that may alter phenolic compound levels and associated biological activities [7]. Therefore, the implementation of innovative strategies for optimal growth of H. perforatum under controlled conditions may offer a new platform for the achievement of raw biomass with a consistent content of bioactive metabolites.
A large number of investigations have been focused on the optimization of protocols for the cultivation of H. perforatum under controlled and aseptic conditions to obtain different types of in vitro cultures with continuous and uniform production of target compounds [8,9]. These in vitro cultures have been recognized as prospective systems for evaluation of their capacity for overproduction of H. perforatum-specific metabolites by using various biotechnological approaches, including modification of nutrient medium composition, precursor feeding, genetic engineering, bioreactor cultivation, and elicitation [9,10,11]. To the best of our knowledge, elicitation is the most commonly exploited and appealing strategy for the enhancement of pharmacologically active compounds in H. perforatum cell, callus, shoot, and root cultures [9,12]. This approach is based on the application of various elicitors that are perceived as stress signals by plant cells and provoke signal transduction reactions resulting in up-regulation of secondary metabolite pathways. Elicitation of plant cells is also followed by overproduction of reactive oxygen species (ROS) that trigger defense mechanisms through the activation of non-enzymatic and enzymatic antioxidants to combat oxidative stress [13]. The elicitors can be classified as biological stressors or endogenous elicitors, primarily obtained from microbial or plant sources, or abiotic stressors, commonly known as exogenous elicitors, that comprise physical and chemical elicitors [13,14]. A particular group of elicitors are phytohormones such as salicylic acid (SA), jasmonic acid (JA), and other plant growth regulators that represent chemical messengers or signaling molecules in the modulation of plant responses to stressful conditions. Even though these signaling molecules are present in very low amounts in the plant cells, their exogenous application may cause increased secondary metabolite biosynthesis [15,16].
Jasmonates, including JA and methyl jasmonate (MeJA), have been used as promising elicitors for increased production of phenolic compounds in H. perforatum in vitro cultures. In this view, H. perforatum cell cultures have been widely used in elicitation experiments with JA and MeJA for modulation of the biosynthesis of flavonoids, xanthones, and hypericins [17,18,19,20]. It has been shown that H. perforatum cell suspensions elicited with JA are characterized by the activation of phenylpropanoid/flavonoid metabolism through phenylalanine ammonia lyase (PAL)- and chalcone isomerase (CHI)-mediated production of various phenolic compounds [19,20]. Despite these encouraging elicitation experiments, the main limitations of using JA-elicited cells are the absence of glandular structures as the main sites for storage of naphthodianthrones and phloroglucinols, as well as the lack of cell differentiation that is sometimes essential for metabolite productivity [8,19]. Taking this into account, H. perforatum in vitro shoots and plants with dark and translucent glands on the leaves have been subjected to elicitation with jasmonates to increase the production of hypericins and hyperforins [21,22,23]. Also, H. perforatum adventitious roots cultured in bioreactors have been elicited with MeJA for large-scale production of hypericin [24]. Even though jasmonates have been shown to up-regulate hypericin biosynthesis in shoot and root cultures, the effect of jasmonic acid on the concomitant production of naphthodianthrones and phenylpropanoids in H. perforatum calli as partially differentiated cultures have never been explored. According to our hypothesis, elicitation of H. perforatum callus cultures with JA might trigger a series of defense responses through activation of phenylpropanoid/naphthodianthrone metabolic flux and considerable modulation of antioxidant state.
The central objective of this study was to determine how different concentrations of JA, applied over different post-elicitation periods, influence the accumulation of phenolic compounds and naphthodianthrones, as well as the activation of associated antioxidant mechanisms in H. perforatum callus cultures. For this purpose, investigations have been focused on the effects of elicitor treatments on the following:
(1)
Fresh biomass production;
(2)
Total phenolic, flavonoid, flavan-3-ol, and anthocyanin contents;
(3)
Chromatographic quantification of naphthodianthrones (hypericin and pseudohypericin);
(4)
Enzyme activities of phenylalanine ammonia lyase (PAL) and chalcone isomerase (CHI);
(5)
Non-enzymatic antioxidant properties (NEAOP) by the β-carotene bleaching method and enzymatic activities of peroxidase (POD) and catalase (CAT).
Additionally, to provide a comparative perspective, the effects of JA on callus cultures were evaluated alongside differentiated shoot cultures. By achieving these objectives, this study provides, for the first time, a comprehensive insight into the simultaneous modulation of phenolic and naphthodianthrone metabolism by JA in H. perforatum calli, thereby advancing our understanding of their biosynthetic potential under controlled elicitation conditions.

2. Materials and Methods

2.1. Chemical and Reagents

All chemicals, unless otherwise stated, were purchased from Sigma-Aldrich Chemie GmbH (Steinheim, Germany). The reference standards of hypericin (HYP) and pseudohypericin (PHYP) were HPLC grade with >99% and >98% purity, respectively (PLANTA Naturstoffe Vertriebs GmbH, Vienna, Austria). The solvents used for mobile phase were LC-MS grade purchased from Sigma-Aldrich (Steinheim, Germany).

2.2. Establishment of Shoot and Callus Cultures for Elicitation

In vitro seedling cultures of H. perforatum were obtained after seed sterilization and germination on solid hormone-free medium supplemented with MS macro- and oligoelements, Gamborg B5 vitamin mixture (0.1 mg·L−1 thiamine-HCl, 0.1 mg·L−1 nicotinic acid and 1 mg·L−1 pyridoxine-HCl), 3% sucrose, 0.7% agar, 0.2 g·L−1 casein hydrolysate, and 0.1 g·L−1 myo-inositol [25].
Three-week-old in vitro seedlings were used as stock cultures for the establishment of multiple shoots and calli in the following elicitation experiments with JA. These in vitro seedling, shoot, and callus cultures were kept in a growth chamber at 24 °C, with a photoperiod of 16 h, irradiance of 50 μmol·m2·s−1, and relative humidity of 60%.
Apical segments with 2–3 leaf pairs were isolated from in vitro seedlings and inoculated in test tubes on MS/B5 medium with 0.5 mg·L−1 N6-benzyladenine (BA) to obtain multiplied shoot cultures. Subcultures were carried out every 14 days. After two subcultures, multiple shoots (2–2.5 cm) were isolated and transferred to the medium supplemented with JA. For the induction of callus cultures, leaf explants were isolated from in vitro seedlings and inoculated in Petri dishes on MS/B5 medium supplemented with 1.0 mg·L−1 2,4-dichlorophenoxyacetic acid (2,4-D), 0.5 mg·L−1 BA, and 0.1 mg·L−1 1-naphthaleneacetic acid (NAA). The callus tissues induced from the leaf explants were isolated and subcultured every 14 days. After two subcultures, green calli were transferred to a MS/B5 medium supplemented with JA.
Elicitation experiments on calli and shoots were performed with exogenous application of different concentrations of JA at a final concentration of 50, 100, and 250 µM in the culture medium. The JA (Sigma-Aldrich) was dissolved in ethanol and this stock solution was filter-sterilized through a 0.22 µm syringe filter. Control shoots and calli were treated with an appropriate volume of ethanol.
Elicited and control calli were harvested at days 1, 4, 7, 14, and 21 of post-elicitation, while elicited and control shoots were harvested at days 7, 14, and 21 of post-elicitation. This selection of harvest days for both cultures was based on our previous elicitation experiments suggesting that differentiated shoots did not provide a clear answer to the applied elicitors in the early stage of post-elicitation, while undifferentiated cell cultures showed fast proliferation and strong response in the biosynthesis of secondary metabolites [26]. The harvested biomass of calli and shoots was weighed for fresh weight analysis, lyophilized and ground for phytochemical analyses and non-enzymatic antioxidant capacity, or frozen in liquid nitrogen and stored at −80 °C for determination of antioxidant and phenylpropanoid/flavonoid enzymes activities.

2.3. Total Phenolic Compound Contents

Extract preparation. Phenolic compounds were extracted from homogenized plant material (0.2 g) with 5 mL 80% (v/v) methanol in ultrasonic bath at 4 °C for 30 min. After centrifugation (10 min at 12 000 rpm), the residue was re-extracted with 80% methanol under the above-mentioned conditions. The supernatants from both extractions were combined and used for quantification of total phenolics (TP), total flavonoids (TF), total flavan-3-ols (TFL), and total anthocyanins (TANT) contents.
Total phenolics (TP) contents. The TP content was determined according to the Folin–Ciocalteau assay, which is based on electron transfer from phenolic compounds to phosphomolybdic/phosphotungstic acid blue complex in alkaline medium. The assay was performed as follows: 20 μL of methanolic extract were mixed with 100 μL Folin–Ciocalteau reagent (Carlo Erba, Cornaredo, Italy) diluted 10 times with distilled water and 80 μL 0.7 M Na2CO3 [27]. After the incubation of samples for 5 min at 50 °C, the absorbance was measured at 765 nm and the concentration of TP was calculated using gallic acid as a standard. The TP contents were expressed as milligrams of gallic acid (GA) equivalents per gram of dry weight (mg GAE·g−1 DW).
Total flavonoids (TF) contents. The TF content was determined according to a method based on the nitration of flavonoids with NaNO2 followed by the development of a red-colored flavonoid–Al3+ complex using AlCl3 in alkaline conditions. The assay was performed by mixing of 10 μL methanolic extract with 5 μL 5% NaNO2, 5 μL 10% AlCl3, 80 μL 1 M NaOH, and 100 μL distilled water [28]. Absorbance was measured at 510 nm and the concentration of TF was calculated using quercetin as a standard. The TF contents were expressed as milligrams of quercetin (Q) equivalents per gram of dry weight (mg QE·g−1 DW).
Total flavan-3-ols (TFL) contents. The TFL contents were analyzed in plant extracts with 4-dimethylaminocinnamaldehyde (DMACA) reagent. This method is based on the formation of a green-colored complex between DMACA reagent and meta-oriented hydroxyl groups from flavane molecule with a single bond in the 2–3 position of heterocyclic ring [29]. An aliquot of 180 μL DMACA reagent (100 mg DMACA dissolved in 100 mL of methanolic sulfuric acid) was added to 20 μL of methanolic extracts. After incubation of the samples for 20 min at room temperature, the absorbance was measured at 637 nm and the concentration of TFL was calculated using catechin as a standard. The TFA contents were expressed as milligrams of catechin (C) equivalents per gram of dry weight (mg CE·g−1 DW).
Total anthocyanins (TANT) contents. The TANT content was analyzed by the method described by Giusti et al. [30]. The extraction of anthocyanins from plant samples was performed with 1% HCl/CH3OH (15/85, v/v). Absorbance was measured at 530 nm and the concentration of TANT was calculated using the molar extinction coefficient of cyanidin-3-glucoside (ε530 = 34,300 M−1·cm−1) in acidic methanol. The TANT contents were expressed as milligrams of cyanidin-3-glucoside (CG) equivalents per gram of dry weight (mg CGE·g−1 DW).

2.4. Phenylpropanoid/Flavonoid Pathway Enzyme Assays

Extraction of enzymes. The extraction procedure was based on the homogenization of frozen tissues in 100 mM potassium phosphate buffer (pH 8.0) containing 2 mM EDTA and 1% (w/v) polyvinylpyrrolidone. This homogenate was centrifuged (12 000 rpm for 20 min) at 4 °C. The supernatant (enzyme extract) was collected for the determination of soluble protein content and enzyme activities.
Phenylalanine ammonia-lyase (PAL). The PAL activity was determined according to method described by Gadzovska et al. [26]. The reaction mixture consisted of 20 μL enzyme extract and 180 μL 2% (w/v) L-phenylalanine in 50 mM Tris-HCl buffer (pH 8.8) and was incubated for 1 h at 40 °C. The PAL activity was determined as its absorbance increased at 290 nm by the measuring the rate of formation of trans-cinnamic acid. The molar extinction coefficient of cinnamate was ε290 = 19,600 M−1·cm−1. The specific activity of PAL was expressed in pkat·mg−1 proteins.
Chalcone isomerase (CHI). The CHI activity was assayed according to the method presented by Gadzovska et al. [26]. The CHI assay was performed in 60 mM phosphate buffer (pH 8) with 50 mM KCN to inhibit peroxidase activity. The reaction was initiated by the addition of 25 μL of enzyme extract in 225 μL 0.1% ethanolic solution of 2′4,4′,6-tetrahydroxychalcone and the mixture was incubated at 30 °C for 45 min. The enzyme reaction was monitored as its absorbance decreased at 400 nm. The molar extinction coefficient of 2′4,4′,6-tetrahydroxychalcone was ε400 = 33,113 M−1·cm−1. The specific activity of CHI was expressed in pkat·mg−1 proteins.

2.5. Chromatographic Identification and Quantification of Hypericin and Pseudohypericin

The protocols for the extraction of hypericin (HYP) and pseudohypericin (PHYP), as well as the separation, identification, and quantification of these naphthodianthrones in plant extracts were previously presented by Gadzovska et al. [25]. Briefly, chromatographic separation of HYP and PHYP were conducted on a Hypersil reversed-phase C18 column (150 × 4.6 mm, 5 µm) at room temperature. The mobile phase consisted of two solvents: 10 mM triethylammonium acetate buffer (pH 7.0) and a mixture of methanol and acetonitrile (5:4, v/v). The gradient program, with a flow rate of 1.5 mL·min−1 and with a 20 μL injected volume, was as follows: 60% B (0–3 min), 92% B (4–9 min), and 100% B (10 min). The HYP and PHYP standard solutions were prepared in a concentration of 1–100 µg·mL−1, while chromatograms were read at 590 nm. The mass spectra of naphthodianthrones were acquired in negative ionization mode using a LCQ Deca mass spectrometer coupled with an atmospheric pressure chemical ionization (APCI). The APCI conditions were as follows: sheath gas (65 psi), auxiliary nitrogen gas (10 psi), while the capillary temperature, the needle voltage and capillary voltage were set at 250 °C, 4.5 kV, and −12 V, respectively. The HYP and PHYP contents in plant extracts were expressed as micrograms per gram of dry weight (µg·g−1 DW).
The sensitivity of the method was assessed by determining the limits of detection (LOD) and quantification (LOQ), calculated as LOD = 3.3 × σ/S and LOQ = 10 × σ/S, where σ is the standard deviation of the y-intercept and S is the slope of the calibration curve at low concentration levels (0.100–1.00 µg·mL−1). The LOD values were 0.050 µg·mL−1 for HYP and 0.075 µg·mL−1 for PHYP, while the corresponding LOQ values were 0.167 µg·mL−1 and 0.250 µg·mL−1. Method accuracy, evaluated through a recovery test, yielded sample concentrations of 0.283 µg·mL−1 for HYP and 0.538 µg/mL for PHYP.

2.6. Non-Enzymatic Antioxidant Properties (NEAOP) and Enzymatic Antioxidant Assays

NEAOP assay. The NEAOP of methanolic extracts were estimated by the β-carotene bleaching method modified by Marron et al. [31]. The analyses were performed by mixing 20 μL methanolic extract, 30 μL 80% methanol, and 250 μL of linoleic acid-β-carotene emulsion (10 mg linoleic acid, 0.2 mg·mL−1 chloroformic β-carotene solution, and 0.1 g Tween 40), and the reaction mixture was incubated at 50 °C. The control reaction included 50 μL 80% methanol and 250 μL emulsion. The absorbance of the samples was measured at 470 nm for 1 h and the antioxidant activity was expressed as inhibition percentage relative to the control according to the following equation: NEAOP = ((b − a)/b) × 100, where a is variation in sample absorbance between 0 and 1 h; b is variation in control absorbance between 0 and 1 h.
Catalase (CAT) activity. The assessment of CAT activity in extracts was conducted according to Fu and Huang [32]. The reaction mixture contained 60 mM potassium phosphate buffer, 3% (v/v) H2O2, and deionized water. The enzyme reaction was initiated by the addition of 10 μL enzyme extract to 190 μL of reaction mixture. The reduction of H2O2 was monitored for a period of 1 min as absorbance decreased at 240 nm. The rate of change in absorbance per minute was used to quantify CAT activity using the molar extinction coefficient of H2O2 ε240 = 43.6 M−1·cm−1. The CAT-specific activity was expressed in nkat·mg−1 proteins.
Peroxidase (POD) activity. The assessment of POD activity in plant extracts was performed according to method of Gonzales et al. [33] with minor modifications. The reaction mixture contained 100 mM sodium phosphate buffer (pH 6.0), 20 mM guaiacol, and 0.1% (v/v) H2O2. Reaction was initiated by addition of 10 μL diluted enzyme extract to 190 μL of reaction mixture and the absorbance was monitored at 420 nm for a period of 1 min. The rate of change in absorbance per minute was used to quantify POD activity using the molar extinction coefficient of the oxidized product tetraguaiacol (ε420 = 6400 M−1·cm−1). The POD-specific activity was expressed in nkat·mg−1 proteins.

2.7. Statistical Analysis

In this elicitation experiment, all analyses were conducted in biological triplicates. The statistical analyses were performed with the SPSS software program (v. 11.0.1, SPSS Inc., Chicago, IL, USA). The results for all parameters were presented as mean values with standard deviation and analyzed by one-way ANOVA to detect significant differences between samples. The significant differences between elicitor treatments and control samples at each post-elicitation period were post hoc evaluated using Student Newman Keuls’ test. All statistical tests were considered to be statistically significant at p < 0.05.

3. Results

3.1. Growth of H. perforatum Callus and Shoot Cultures

The influence of JA on the growth of H. perforatum callus and shoot cultures was monitored during 21 days of post-elicitation. Present results demonstrated that the green color of callus was changed into red and brown during the post-elicitation period (Figure 1a). The control and elicited shoots had a reddish color on the stem and developed dark glands on the leaf margins. In comparison to healthy control shoots, treatment for a long time with JA (day 21) induced leaf browning and senescence (Figure 1b).
In comparison to control callus cultures, the FW production of calli elicited with 50 and 100 µM JA was not changed until the day 14 post-elicitation, where only 250 µM JA caused significantly decreased biomass production. At the end of the post-elicitation period, the application of the lowest JA dose (50 µM) showed a 1.2-fold increase FW production, while the highest JA dose (250 µM) significantly decreased callus growth (1.7-fold) in comparison to control callus (Figure 2a). Regarding shoot growth under elicitor treatments (Figure 2b), high doses of JA (100 and 250 µM) significantly declined FW production in shoot cultures (up to 1.7-fold) compared to control shoots at day 14 and 21 of post-elicitation.
Correlation analysis showed that FW in JA-elicited calli had a significant negative relationship with phenolic compounds production (TP, TF, and TFL), as well as with antioxidant activities (NEAOP and POD), while significant positive correlation was found only for CAT activity (Figure 3a). In JA-elicited shoots, significant negative correlations were observed between FW and the activities of phenylropanoid/flavonoid pathway enzymes (PAL and CHI), while positive correlation was shown between FW and POD activity (Figure 3b).

3.2. Phenolic Compounds Production in H. perforatum Callus and Shoot Cultures

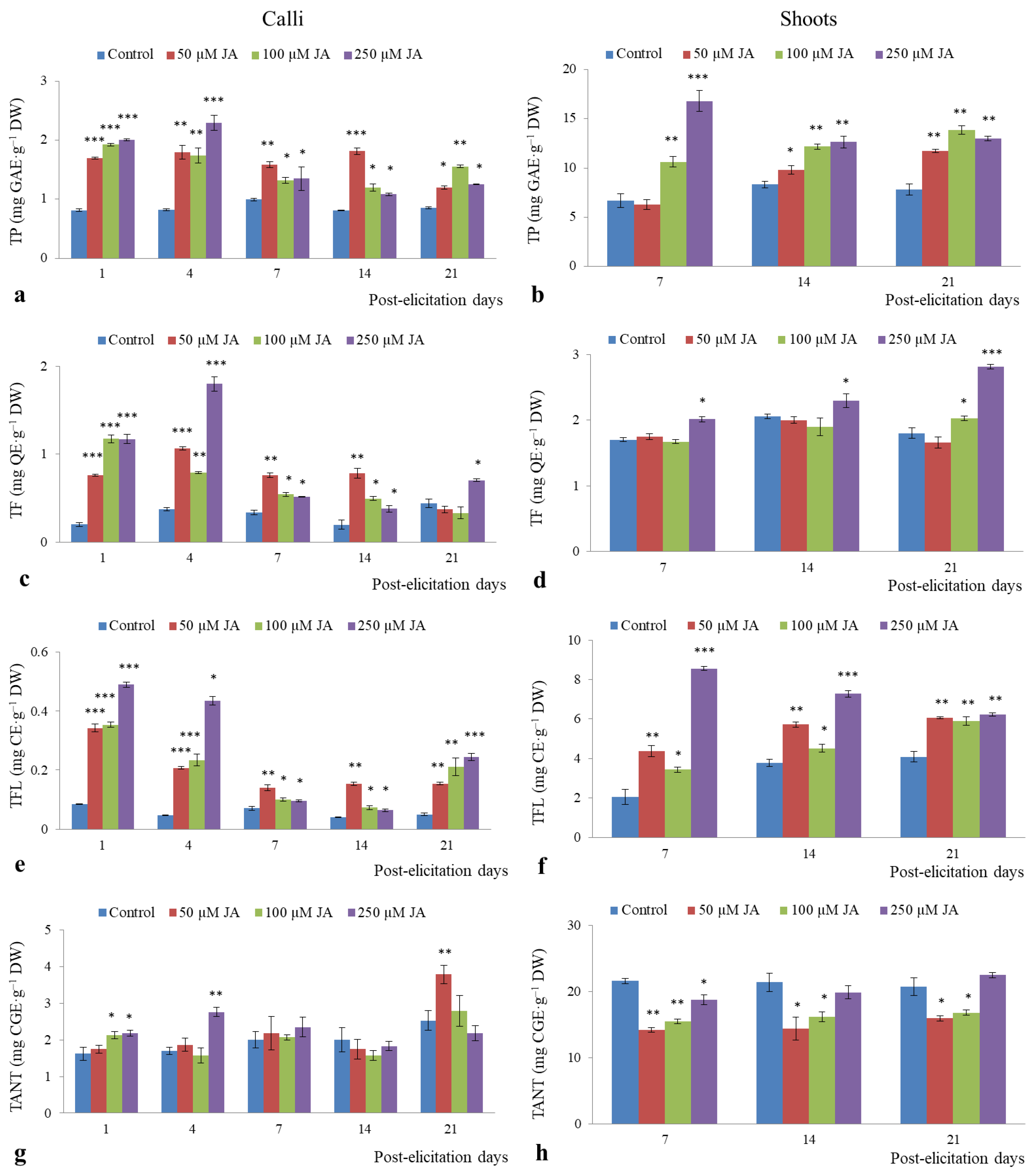
Phenolic compounds production (TP, TF, TFL, and TANT) in H. perforatum callus and shoot cultures was evaluated according to the dose of JA and duration of elicitation (Figure 4). The production of TP in callus cultures was constantly increased upon all doses of JA during the entire post-elicitation period (from 1.9- to 2.8-fold) in comparison to control calli (Figure 4a). Shoot cultures responded similarly to applied JA doses, inducing significantly enhanced TP production (from 1.2- to 2.5-fold) during the post-elicitation period compared to control shoots (Figure 4b). The TF contents in calli with all JA treatments were notably enhanced from day 1 to day 14 (up to 4.8-fold), while at day 21 only 250 µM JA caused significantly increased TF production (1.6-fold) in comparison to control calli (Figure 4c). Concerning shoot cultures, only 250 µM JA-elicited shoots exhibited increased TF contents (up to 1.5-fold) during entire post-elicitation period compared to control cultures (Figure 4d). In comparison to control cultures, all tested JA concentrations caused significantly enhanced TFL production in calli (from 1.4- to 9.2-fold) and shoots (from 1.3- to 4.3-fold) from the beginning to the end of post-elicitation (Figure 4e,f). Callus cultures displayed an early enhancement of TANT production upon treatments with 100 and 250 µM JA (up to 1.6-fold) at day 1 and 4, while at the end of post-elicitation, only 50 µM JA exhibited significantly increased TANT content (1.5-fold) compared to control calli (Figure 4g). On the other hand, shoot cultures elicited with 50 and 100 µM JA exhibited significantly decreased TANT production (from 1.3- to 1.5-fold) in comparison to control shoots during the entire post-elicitation period (Figure 4h). Correlation data for JA-elicited calli and shoots (Figure 3) demonstrated that the levels of phenolic compounds (TP, TF, and TFL) were displayed a significant positive relationship with naphthodianthrone production (HYP and PHYP) and antioxidant activity (NEAOP, POD, and CAT). It is worth noting that TANT production in JA-elicited shoots was significantly negatively correlated with phenylropanoid/flavonoid pathway enzyme (PAL and CHI) activities (Figure 3b).
The PAL and CHI activities were also analyzed to investigate phenylpropanoid/flavonoid metabolic pathways in H. perforatum callus and shoot cultures upon elicitation with JA (Figure 5). Outgoing results demonstrated that both types of cultures responded to JA elicitation through up-regulation of PAL activity during the entire post-elicitation period. In this context, JA-elicited callus cultures showed a gradual enhancement in PAL activities from the beginning to the end of the post-elicitation period (from 2- to 3.6-fold) compared to the control callus (Figure 5a). Concerning JA-elicited shoots, the highest increment of PAL activity was observed at day 7 (about 2.4-fold), while at the end of post-elicitation, the enzyme activity was enhanced from 1.3- to 1.7-fold compared to control shoots (Figure 5b). Callus and shoot cultures showed distinct responses to CHI activity upon exogenously applied JA concentrations. The JA-elicited calli displayed an enormous increment of CHI activity (up to 25.3-fold) compared to control calli throughout the post-elicitation period (Figure 5c). In comparison to control shoots, CHI activity in shoot cultures was significantly up-regulated (from 1.2- to 1.7-fold) at day 7, while only 50 µM JA showed a 1.4-fold increased enzyme activity at day 14 of post-elicitation (Figure 5d).
According to correlation analysis, the PAL and CHI enzyme activities in JA-elicited calli (Figure 3a) showed a significant positive relationship with naphthodianthrone production (HYP and PHYP). On the other hand, CHI activity in JA-elicited shoots was in significant negative correlation to HYP and PHYP levels, as well as to POD activity (Figure 3b).

3.3. Naphthodianthrone Production in H. perforatum Callus and Shoot Cultures

The chromatographic analysis revealed that JA elicitation differently affects naphthodianthrone (HYP and PHYP) production in callus (Figure 6) and shoot cultures (Figure 7).
Over the course of the entire post-elicitation, HYP production was significantly enhanced in calli elicited with all tested JA doses, while a maximum HYP production (about twofold) was observed upon exogenous application of 250 µM JA (Figure 6a). Similarly, JA-elicited calli displayed increased levels of PHYP (up to 1.6-fold) during entire post-elicitation period compared to control calli (Figure 6b).
Contrary to calli, JA did not exhibit a strong effect on HYP amounts in shoot cultures, where addition of 100 and 250 µM JA caused slightly increased production of this naphthodianthrone (about 1.2-fold) in elicited shoots compared to control cultures during entire post-elicitation period (Figure 7a). Also, significantly higher HYP level was observed in 50 µM JA-elicited shoots compared to control cultures at the end of post-elicitation (day 21). The exogenous application of 50 µM JA in shoot cultures caused a significant decrease in PHYP amount at the beginning of the post-elicitation period (day 7), while this JA dose did not influence PHYP production until the end of the post-elicitation period. The PHYP production in shoots elicited with 100 µM JA was significantly declined at day 7, but it was notably elevated in the following period of post-elicitation (day 14 and 21) compared to control shoots. The PHYP contents in shoots treated with 250 µM JA was significantly increased (up to 1.8-fold) during the entire post-elicitation period compared to control cultures (Figure 7b).
Elicitation with JA demonstrated that HYP and PHYP levels in callus cultures (Figure 3a) were in significant positive correlation with antioxidant activities (NEAOP and POD), while those amounts in shoot cultures (Figure 3b) were positively related to CAT activity.

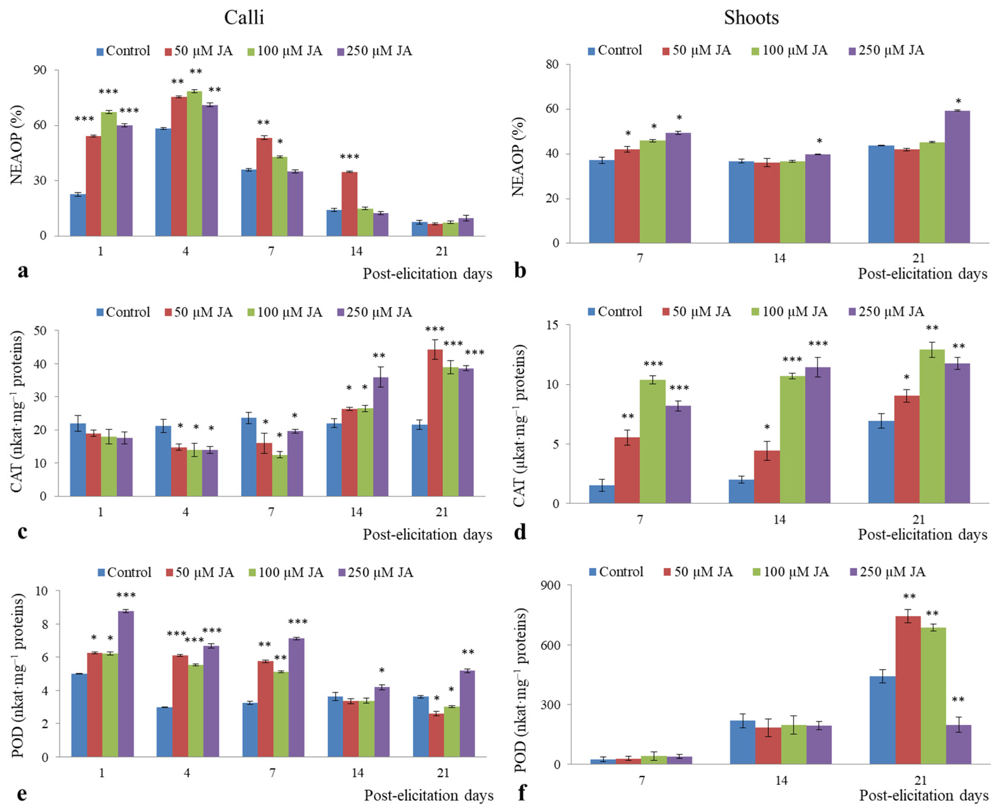
3.4. Antioxidant Activity in H. perforatum Callus and Shoot Cultures

Present results showed that all tested JA doses induced an early enhancement of NEAOP values in callus cultures (from 1.2- to 3-fold) up to day 4, while at the end of post-elicitation (day 21), there were no significant differences in antioxidant capacity between control and elicited calli (Figure 8a). With respect to shoot cultures, all JA doses caused significant enhancement of NEAOP at day 7 of post-elicitation (up to 1.3-fold), and thereafter, that elevation in antioxidant capacity compared to control cultures was maintained only upon treatment with 250 µM JA (Figure 8b). Concerning enzymatic antioxidant activities, the CAT activity in JA elicited calli was significantly declined during the intermediate post-elicitation period, and thereafter, applied elicitor doses induced a late and gradually elevation of enzyme activity (up to 2.1-fold) in comparison to control calli (Figure 8c). In contrast, all JA doses caused a significant increment of CAT activity in shoot cultures (from 1.3- to 6.9-fold) during entire post-elicitation period compared to control shoots (Figure 8d).
Treatments of calli with all JA doses evoked an early enhancement of POD activity (up to 2.2-fold) compared to control calli and this increased enzyme activity was continued to the end of post-elicitation only with 250 µM JA (Figure 8e). At day 21 of post-elicitation, a significant reduction in POD activity was observed in callus cultures upon treatment with 50 and 100 µM JA. Significant differences in POD activity between control and elicited shoots were found only at the end of post-elicitation (Figure 8f), where 50 and 100 µM JA induced about 1.6-fold enhancement in enzyme activity, while application of 250 µM JA notably decreased POD activity (2.2-fold). Statistical analysis demonstrated that NEAOP in JA-elicited calli was in significant positive correlation to POD activity, but in negative relationship with CAT activity (Figure 3a). With regard to shoots elicited with JA, significant positive correlation was observed between NEAOP and CAT activity (Figure 3b).

4. Discussion

4.1. Effect of Elicitation on the Growth of H. perforatum Calli and Shoots

The productivity of plant in vitro culture systems upon elicitation depends not only on their capability for bioactive compounds production, but also on the competence to produce viable biomass [34]. The outgoing elicitation experiment with JA showed that a low elicitor dose of 50 μM had a promoting effect on biomass production in callus cultures during the late post-elicitation period, while a high dose of 250 μM was observed as a growth suppressor. In accordance with our results, Walker et al. [17] have noticed that low-dose JA elicitation (up to 250 μM) stimulates the growth, while the addition of 500 μM JA causes a decline in biomass production in undifferentiated cell suspensions of H. perforatum. Similarly, 10 and 50 μM JA have been selected as optimal doses for fresh biomass increment in H. perforatum hairy roots during the late post-elicitation period [35]. Those authors have revealed that low JA doses caused a complete depletion of phosphates from the medium, resulting in cell proliferation and biomass accumulation. Even though we did not monitor nutrient composition in the medium during elicitation experiments, it seems that JA at low concentrations had a growth-promoting effect in callus cultures through increased utilization of nutrients that are crucial for boosting biomass production. Another explanation for the better growth of JA-elicited calli could be the enhancement of intrinsic concentrations of auxins and cytokinins, since it has been reported that jasmonates modulate signaling pathways of these phytohormones [36,37]. On the other hand, we have previously observed that the application of 100 and 250 µM JA significantly inhibited the growth of H. perforatum undifferentiated cell suspensions [19], which is in agreement with present data. In this context, Gadzovska et al. [19] noticed that prolonged elicitation with a high JA dose induced a brown coloration, cell aggregation, and decreased the viability of H. perforatum-treated cells. These findings imply that the application of a non-physiologically high JA dose in H. perforatum undifferentiated cells or calli induced a stressful environment that suppressed cell growth but may activate secondary metabolism as a part of its defense mechanism. In this view, declined biomass production in elicited calli was strongly related to the increased levels of phenolic compounds (TPL, TF and TFL) and antioxidant activity (NEAOP). This relationship could be explained by the growth–defense hypothesis suggesting that high JA concentrations caused stressful conditions for callus cells resulting in energy channeling towards biosynthesis of antioxidant phenolic compounds instead of primary metabolites responsible for biomass increment.
Although elicitation experiments on Hypericum shoots and plantlets with MeJA are well-documented [21,22,23,38], the effects of JA on the growth performance of H. perforatum shoots have not yet been investigated. With regard to shoot cultures, it was presently shown that treatment with 50 µM JA did not affect biomass production, while high elicitor dosage (100 and 250 µM JA) notably depressed shoot growth. In accordance with our data, growth retardation upon elicitation with 100–500 µM JA has already been confirmed in H. hirsutum and H. maculatum shoot cultures [39]. Since endogenous JA concentration in plant cells is very low, it seems that elicitation with high JA concentration had detrimental effects on shoot biomass through inducing of shoot senescence and necrosis [38], as well as decreasing of leaf area, chlorophyll pigments levels, photosynthesis rate, and carbohydrates contents in the leaves [40]. Additionally, it has been proposed that the exogenous application of JA might indirectly repress shoot growth by antagonizing the gibberellic acid pathway, resulting in the down-regulation of photosynthesis [41]. Taking into account that shoot cultures of different Hypericum species have shown a great variability in endogenous JA levels [42], it would be of great importance to adjust and select optimal elicitor dose for obtainment of fast growing and highly productive H. perforatum in vitro cultures. The growth–defense hypothesis could also be validated in elicited shoot cultures since the inhibited biomass production coincided with the up-regulated activities of PAL and CHI as key enzymes of phenylpropanoid/flavonoid biosynthetic pathways. Altogether, present data indicated that optimization of JA concentration, exposure period, and type of in vitro culture could be an important point in the elicitation studies to diminish the elicitor-mediated growth suppression and to maintain a feasible plant biomass, enriched with desired metabolites.

4.2. Effect of Elicitation on Phenolic Compounds Production in H. perforatum Calli and Shoots

Present results showed that JA efficiently elicits biosynthesis of phenolic compounds (TP, TF, and TFL) in callus cultures. Similarly to present data, we have already reported that these JA concentrations (50–250 µM) have stimulatory effects on the overproduction of phenylpropanoids in H. perforatum cell suspensions during entire period of post-elicitation for 21 days [19]. Recently, it has been found that 10 μM JA exhibited late response towards eliciting phenolic compounds and flavonoids, while JA at a dose of 100 μM continuously stimulated phenylpropanoid metabolites throughout elicitation period in H. perforatum hairy roots [35]. Nevertheless, the influence of JA on phenylpropanoid metabolism between calli cultured under photoperiod and dark-grown hairy roots could not be properly compared since phenolic compounds production depends on dark/light conditions, cell differentiation status, and type of in vitro culture [26,43]. The results of this study showed that elicited calli with all tested JA concentrations exhibited a strong and progressive up-regulation of PAL and CHI activity during post-elicitation period that was positively related to the content of phenolic and flavonoid compounds. In accordance, the coordinated induction of PAL and CHI activity has also been noticed in H. perforatum cell suspensions elicited with JA [19]. Thus, significant correlations of phenolic compounds enhancement and increased activities of PAL and CHI confirmed the partitioning between the phenylpropanoid/flavonoid pathways in JA-elicited calli of H. perforatum. All these observations suggested that JA is an efficient elicitor for PAL- and CHI-mediated activation of phenylpropanoid metabolism and increased production of phenolic compounds in callus cultures of H. perforatum.
With respect to elicited shoots, PAL and CHI activities were boosted at the beginning of treatment with JA and thereafter, a gradual decline of their activities was observed to the end of post-elicitation. Accordingly, it has been noticed that flavonoid accumulation in in vitro plants is related to an early and transient increment of PAL activity after treatment with JA [44]. It is well-known that PAL is encoded by a multi-gene family with multiple isoforms that undergoes a complex regulation and differential expression depending on the type of cells/tissues, stages of development, as well as environmental stimuli [45]. It is interesting to point out that PAL and CHI activities did not give a clear correlation with TP, TF, and TFL production in JA-elicited shoots, which is in agreement with previous reports for H. perforatum shoot cultures elicited with SA [26] and polysaccharide elicitors [46], as well for transformed shoots regenerated from hairy roots [47]. Even though the PAL-mediated activation of phenylpropanoid metabolism is considered a common response to jasmonates, it has been shown that elicitation of H. perforatum could result in up-regulation of various classes of phenolic compounds. In this context, JA and MeJA have been proposed as effective elicitors for overproduction of xanthones [18,35], coumaroylquinic acids [40], as well as hypericins and hyperforin [39] in various Hypericum in vitro cultures. Numerous investigations have confirmed that xanthones represent inducible phytoalexins that are strongly accumulated in H. perforatum upon elicitation with bacterial and fungal elicitors, chitosan, and acetic acid [18,48,49,50]. Franklin et al. [48] have observed de novo production of xanthones in H. perforatum cell suspensions co-cultivated with Agrobacterium tumefaciens through up-regulation of PAL and 4-coumarate:CoA ligase (4CL) genes from the general phenylpropanoid metabolism and benzophenone synthase (BPS) gene from the xanthone biosynthetic pathway. These findings indicated that the induction of PAL activity in JA-elicited shoots is probably related to the accumulation of xanthones instead of flavonoids, although other alternative enzymes from the phenylpropanoid/flavonoid pathways cannot be excluded in the process of elicitation. Thus, further research should be focused on the evaluation of JA elicitation on different enzymes to determine the channeling of phenylpropanoid/flavonoid metabolism in H. perforatum shoot cultures.
Surprisingly, calli exhibited early induction of TANT production upon high JA doses, while the lowest elicitor concentration stimulated maximal productivity of these compounds at the end of post-elicitation. Similarly to our data, several studies have reported that low JA/MeJA concentrations have a great performance in anthocyanin accumulation in callus cultures of Hibiscus sabdariffa [51], Allium jesdianum [52] and Azadirachta indica [53]. Additionally, Chettri et al. [54] have observed that high JA concentration (100 µM) could not sustain induced production of anthocyanins over a prolonged period of post-elicitation in callus cultures of Rosa spp. Those results indicated that JA concentration and the time of elicitation are of particular importance for the production of anthocyanins in H. perforatum callus cultures. In contrast, TANT production in JA-elicited shoots continuously declined during the entire elicitation period. According to Açikgöz et al. [55], the inhibitory effect of MeJA on anthocyanin production in Achillea gypsicola cell suspensions could be attributed to redirecting the phenylpropanoid metabolic flux from anthocyanins toward other phenolic compounds. This scenario could also be supported through our data because decreased anthocyanin production in JA-elicited shoots was related to the increased activities of PAL and CHI activities. Considering these data, we could speculate that JA activates PAL- and CHI-mediated downstream reactions towards flavan-3-ols, while the anthocyanin biosynthetic route is suppressed. Our previous studies demonstrated that SA, JA, polysaccharides and fungal mycelia could be efficiently used for enhanced production of anthocyanins in H. perforatum undifferentiated cells and calli as highly responsive culture systems for elicitation [19,26,56,57]. On the other hand, anthocyanin accumulation in H. perforatum shoot cultures has not been really affected upon elicitation with SA [26], indicating that cell differentiation level takes a main part in the elicitation process in terms of stimulation of phenolic compounds production.
If we compare both culture systems in this study, it was evident that shoots are less prone to alteration in their capability for phenolic compounds production upon JA elicitation compared to calli. Namely, increased production of TP, TF and TFL in callus cultures was noticed for all applied JA doses, while only high JA concentration showed superior metabolite productivity in shoot cultures during the post-elicitation period. This finding indicated that shoot cells possess a higher threshold for stimulation of phenylpropanoid metabolism upon treatment with JA in comparison to callus cultures. This is in accordance with our previous study reporting that exogenous application of high JA dose (100 μM) exhibited better performance in enhancing phenolic compounds production in H. perforatum transformed roots [35]. Since perception of optimal elicitor concentration by the cell receptors has a crucial role in activation of secondary metabolites [58], it seems that binding of JA molecules to the receptors on calli cells somehow forms an equilibrium state that continuously activate signal transduction reactions leading to enhanced production of phenolic compounds. In favor of this hypothesis, homogenous and parenchymatous callus cells with intense metabolism and fast proliferation responded more strongly to elicitor molecules compared to various types of differentiated cells in shoots cultures [26].

4.3. Effect of Elicitation on Naphthodianthrone Production in H. perforatum Calli and Shoots

The presence of naphthodianthrones, as well-known bioactive compounds in genus Hypericum, has already been reported in H. perforatum calli cultured on media with various growth regulators [25,26,59]. Those observations suggested that calli grown on phytohormone-supplemented medium acquired certain degree of differentiation, which is an important factor for production of naphthodianthrones. In this study, high JA dose of 250 µM was found more efficient in enhancement of HYP contents, while all tested JA doses showed similar response toward increased PHYP production in elicited calli compared to control cultures. Although the effect of JA on naphthodianthrone production in H. perforatum callus cultures remains unexplored, only limited studies have evaluated the role of this elicitor in stimulating hypericin and pseudohypericin accumulation in cell suspensions [17,19]. Accordingly, Walker et al. [17] observed that high doses of JA (250 and 500 µM) had a more pronounced effect on increased amount of hypericin in H. perforatum cell suspensions. On the other hand, Gadzovska et al. [19] have noticed that all applied JA doses (50–250 µM) similarly affected overproduction of hypericin and pseudohypericin in H. perforatum cell suspensions compared to control cells. These authors suggested that elicitors act as signal molecules stimulating both morphogenetic potential and biosynthetic productivity of callus cultures with respect to HYP and PHYP. Taking this into account, the variable response of H. perforatum cell and callus cultures towards exogenous application of JA could be ascribed to the degree of cell differentiation. In this context, it seems that penetration of JA in undifferentiated cells is easier than callus cultures [26] and this close contact between cells and elicitor facilitates the activation of signal transduction leading to enhanced production of naphthodianthrones. Interestingly, present study revealed that HYP and PHYP levels are significantly related to PAL and CHI activity in JA-elicited calli. The stimulation of the naphthodianthrone pathway with concomitant induction of PAL activity has already been observed in our previous study for H. perforatum cell suspension cultures elicited with JA [19]. To the best of our knowledge, the polyketide naphthodiantrone pathway is independent from the phenylpropanoid/flavonoid pathway since it includes successive condensation of acetate and malonate units and formation of emodin anthrone as a basic structural unit of hypericins [8]. One possible explanation for PAL-mediated increment of HYP and PHYP biosynthesis in JA-elicited calli could be related to the enhanced accumulation of carbon skeletons that are prerequisite for naphthodianthrone biosynthesis [40]. However, it is still unclear whether JA acted on increased production of HYP and PHYP in calli through up-regulated expression of the PAL gene or other polyketide synthase genes from the naphthodianthrone biosynthetic pathway.
With regard to shoot cultures, it was evident that only high JA doses (100 and 250 µM) had a capacity for significant enhancement of HYP and PHYP levels. Numerous studies have been performed to evaluate the effect of jasmonates on the biosynthesis of hypericins in Hypericum shoot cultures. Sirvent and Gibson [21] have observed that application of 200 µM MeJA markedly elevated production of hypericins (HYP, PHYP, and protopseudohypericin) in H. perforatum plantlets. The remarkable effect on enhanced production of HYP has already been observed in H. perforatum in vitro plants upon treatment with 1 mg·L−1 MeJA [23]. The stimulatory effects of JA and MeJA on hypericins biosynthesis have also been confirmed in shoot cultures of other Hypericum species, such as H. sampsonii [22], H. maculatum and H. hirsutum [39], as well as H. aviculariifolium and H. pruinatum [60]. All these findings suggested that increased production of naphtodianthrones in Hypericum spp. represents an essential part of the plant defense system to exogenously applied JA, which is probably perceived as an external stress molecule.

4.4. Effect of Elicitation on Antioxidant Activity in H. perforatum Calli and Shoots

For a better understanding of the elicitation effect on plant defense response, the non-enzymatic antioxidant property (NEAOP) and the activities of two important antioxidant enzymes (CAT and POD) under JA treatment were determined in callus and shoot cultures. The H. perforatum calli elicited with JA displayed fast and transient induction of non-enzymatic antioxidant properties, which is in accordance with previous reports for Azadirachta indica callus cultures elicited with JA [53] and H. perforatum cell suspensions treated with various polysaccharide elicitors [57]. Correlation analyses for antioxidant capacity demonstrated positive relationships with the content of phenolics, flavonoids, and flavan-3-ols, implying that these compounds, particularly catechins, markedly contributed to the non-enzymatic antioxidant state in JA-elicited calli. Therefore, the strong antioxidant activity of JA-elicited calli could be related to the presence of various groups of phenolic compounds that were contained in the extracts, presumably to the epicatechin as a dominant monomeric flavan-3-ol in H. perforatum callus cultures [59]. The elicitation experiment on shoot cultures also confirmed that JA could rapidly increase accumulation of compounds with antioxidant properties. In this context, the antioxidant activity of JA-elicited shoots was exclusively related to the flavonoid levels. Since H. perforatum shoot cultures have been proposed as an excellent source of hyperoside, rutin, quercitrin, and quercetin [61], it seems that JA increased antioxidant activity in shoots through biosynthetic modulation of these flavonoids. Altogether, these findings indicated that H. perforatum non-enzymatic antioxidant system is represented by phenylpropanoid metabolites expressing an efficient response toward JA-triggered oxidative stress.
Many researchers have reported that elicitation with jasmonates leads to oxidative stress due to the overproduction of ROS that have a detrimental effect in plant cells. However, the ROS production in JA-elicited in vitro culture systems is tightly regulated through the activation of antioxidant enzymes in order to avoid elicitor-induced oxidative injury processes [35,62]. The investigation of enzymatic antioxidant response in H. perforatum callus cultures elicited with JA showed an early declining in CAT activity and delayed enhancement of enzyme activity during the post-elicitation period. In contrast, POD activity in JA-elicited calli displayed an opposite trend with fast induction of enzyme activity and lately reduction in this antioxidant enzyme. Accordingly, the preeminent enzymatic antioxidant defense strategy by POD and the lower response of CAT activity have been previously reported in H. perforatum cell suspensions elicited with fungal elicitors Phoma, Fusarium and Botrytis [56]. These findings indicated that down-regulation of CAT activity in callus cultures in the early post-elicitation period is probably compensated through the elevated POD activity. Since these antioxidant enzymes operate concurrently to reduce the toxic concentrations of H2O2 in elicited cells [62], it could be hypothesized that POD had a crucial importance in the early protection of callus cells against JA-mediated overproduction of H2O2, while CAT provides a defensive strategy during the long-term elicitor treatment. Outgoing results also demonstrated that POD activity in callus cultures treated with JA was positively correlated with phenolic, flavonoid, and flavan-3-ol contents, as well as with the non-enzymatic antioxidant properties. This synergistic collaboration between non-enzymatic and enzymatic antioxidants in the maintenance of cellular redox homeostasis under JA elicitation has already been confirmed in Pelargonium graveolens cell cultures [63] and H. perforatum hairy roots [35]. Shoot cultures elicited with JA displayed a distinct enzymatic antioxidant response compared to callus cultures, because CAT activity was consistently up-regulated during post-elicitation, while only 50 and 100 µM JA induced a late increment of POD activity. It has been shown that CAT activity is maintained more elevated than POD activity in H. perforatum cells elicited with pectin, indicating that CAT is an essential H2O2-scavenging enzyme during stressful conditions [57]. Noteworthy, elevated CAT activity in JA-elicited shoots coincided with high contents of phenolics and naphthodianthrones, as well with the non-enzymatic antioxidant properties, indicating that shoot cultures had a superior protection against ROS-mediated oxidative injuries upon JA elicitation.

5. Conclusions

In summary, the present work showed that jasmonic acid is an efficient elicitor for the enhancement of secondary metabolite production in H. perforatum callus and shoot cultures. The exogenous application of 50 µM jasmonic acid stimulated fresh biomass production in calli, while an elicitor dose of 250 µM had a growth-inhibitory effect on both callus and shoot cultures. A strong accumulation of phenolic compounds, flavonoids, and flavan-3-ols was related to markedly higher activities of phenylalanine ammonia lyase and chalcone isomerase in elicited callus cultures. Concerning antioxidant state, jasmonic acid caused a significant increase in non-enzymatic antioxidant properties, peroxidase, and catalase activities in calli and shoots during different periods of the post-elicitation period. One of the best achievements in this study was the continuous overproduction of hypericin in 250 µM JA-elicited calli, implying that this culture system can be efficiently used for the extraction of naphtodianthrones. Although the elicitation of callus cultures with a high dose of jasmonic acid significantly enhanced naphthodianthrone biosynthesis, the substantial reduction in fresh biomass productivity remains a major challenge for bioprocessing applications. Nevertheless, the protocol developed in this study provides an indication of how secondary metabolism in H. perforatum responds to jasmonic acid, and may help to develop more precise strategies to achieve further increases in phenylpropanoids and naphthodianthrones in callus and shoot cultures.

Author Contributions

O.T, J.P.S., A.B., S.D., and S.G.S. contributed to the conceptualization, methodology, formal analysis, and investigation. Writing—original draft was performed by O.T. The supervision, writing—review and editing of the manuscript were performed by S.G.S. All authors have read and agreed to the published version of the manuscript.

Funding

This research received no external funding.

Data Availability Statement

The original contributions presented in this study are included in the article. Further inquiries can be directed to the corresponding author.

Conflicts of Interest

The authors declare no conflicts of interest.

References

  1. Suryawanshi, M.V.; Gujarathi, P.P.; Mulla, T.; Bagban, I. Hypericum perforatum: A comprehensive review on pharmacognosy, preclinical studies, putative molecular mechanism, and clinical studies in neurodegenerative diseases. Naunyn-Schmiedeberg’s Arch. Pharmacol. 2024, 397, 3803–3818. [Google Scholar] [CrossRef]
  2. Wu, S.; Tatsis, E.C. Specialized metabolism in St John’s wort. Curr. Opin. Plant Biol. 2024, 82, 102625. [Google Scholar] [CrossRef]
  3. Barnes, J.; Arnason, J.T.; Roufogalis, B.D. St John’s wort (Hypericum perforatum L.): Botanical, chemical, pharmacological and clinical advances. J. Pharm. Pharmacol. 2019, 71, 1–3. [Google Scholar] [CrossRef]
  4. Agapouda, A.; Booker, A.; Kiss, T.; Hohmann, J.; Heinrich, M.; Csupor, D. Quality control of Hypericum perforatum L. analytical challenges and recent progress. J. Pharm. Pharmacol. 2019, 71, 15–37. [Google Scholar] [CrossRef]
  5. Lazzara, S.; Carrubba, A.; Napoli, E. Cultivating for the industry: Cropping experiences with Hypericum perforatum L. in a Mediterranean environment. Agriculture 2021, 11, 446. [Google Scholar] [CrossRef]
  6. Tegou, A.; Giannoulis, K.D.; Zournatzis, E.; Papadopoulos, S.; Bartzialis, D.; Danalatos, N.G.; Wogiatzi-Kamvoukou, E. Assessing the Impact of Irrigation and Biostimulants on the Yield and Quality Characteristics of Two Different St. John’s Wort Cultivars in Their Second Growing Season. Plants 2024, 13, 3573. [Google Scholar] [CrossRef] [PubMed]
  7. Scotti, F.; Löbel, K.; Booker, A.; Heinrich, M. St. John’s Wort (Hypericum perforatum) products—How variable is the primary material? Front. Plant Sci. 2019, 9, 1973. [Google Scholar] [CrossRef] [PubMed]
  8. Murthy, H.N.; Kim, Y.S.; Park, S.Y.; Paek, K.Y. Hypericins: Biotechnological production from cell and organ cultures. Appl. Microbiol. Biotechnol. 2014, 98, 9187–9198. [Google Scholar] [CrossRef]
  9. Shasmita Behera, S.; Mishra, P.; Samal, M.; Mohapatra, D.; Monalisa, K.; Naik, S.K. Recent advances in tissue culture and secondary metabolite production in Hypericum perforatum L. Plant Cell Tissue Organ Cult. 2023, 154, 13–28. [Google Scholar] [CrossRef]
  10. Hou, W.; Shakya, P.; Franklin, G. A perspective on Hypericum perforatum genetic transformation. Front. Plant Sci. 2016, 7, 879. [Google Scholar] [CrossRef]
  11. Al-Khayri, J.M.; Narasimha, S.W.; Vennapusa, A.R.; Nagella, P.; Shehata, W.F.; Al-Mssallem, M.Q. Biotechnological approaches for the production of hypericin and other important metabolites from the genus Hypericum. Plant Cell Tissue Organ Cult. 2024, 156, 100. [Google Scholar] [CrossRef]
  12. Shakya, P.; Marslin, G.; Siram, K.; Beerhues, L.; Franklin, G. Elicitation as a tool to improve the profiles of high-value secondary metabolites and pharmacological properties of Hypericum perforatum. J. Pharm. Pharmacol. 2019, 71, 70–82. [Google Scholar] [CrossRef]
  13. Martínez-Chávez, L.A.; Hernández-Ramírez, M.Y.; Feregrino-Pérez, A.A.; Esquivel Escalante, K. Cutting-edge strategies to enhance bioactive compound production in plants: Potential value of integration of elicitation, metabolic engineering, and green nanotechnology. Agronomy 2024, 14, 2822. [Google Scholar] [CrossRef]
  14. Selwal, N.; Goutam, U.; Akhtar, N.; Sood, M.; Kukreja, S. Elicitation: “A Trump Card” for enhancing secondary metabolites in plants. J. Plant Growth Regul. 2024, 43, 3027–3047. [Google Scholar] [CrossRef]
  15. Nabi, N.; Singh, S.; Saffeullah, P. Responses of in vitro cell cultures to elicitation: Regulatory role of jasmonic acid and methyl jasmonate: A review. Vitr. Cell. Dev. Biol. Plant 2021, 57, 341–355. [Google Scholar] [CrossRef]
  16. Jeyasri, R.; Muthuramalingam, P.; Karthick, K.; Shin, H.; Choi, S.H.; Ramesh, M. Methyl jasmonate and salicylic acid as powerful elicitors for enhancing the production of secondary metabolites in medicinal plants: An updated review. Plant Cell Tissue Organ Cult. 2023, 153, 447–458. [Google Scholar] [CrossRef]
  17. Walker, T.S.; Bais, H.P.; Vivanco, J.M. Jasmonic acid-induced hypericin production in cell suspension cultures of Hypericum perforatum L.(St. John’s wort). Phytochemistry 2002, 60, 289–293. [Google Scholar] [CrossRef]
  18. Conceiçao, L.F.; Ferreres, F.; Tavares, R.M.; Dias, A.C. Induction of phenolic compounds in Hypericum perforatum L. cells by Colletotrichum gloeosporioides elicitation. Phytochemistry 2006, 67, 149–155. [Google Scholar] [CrossRef]
  19. Gadzovska, S.; Maury, S.; Delaunay, A.; Spasenoski, M.; Joseph, C.; Hagege, D. Jasmonic acid elicitation of Hypericum perforatum L. cell suspensions and effects on the production of phenylpropanoids and naphtodianthrones. Plant Cell Tissue Organ Cult. 2007, 89, 1–13. [Google Scholar] [CrossRef]
  20. Wang, J.; Qian, J.; Yao, L.; Lu, Y. Enhanced production of flavonoids by methyl jasmonate elicitation in cell suspension culture of Hypericum perforatum. Bioresour. Bioprocess. 2015, 2, 5. [Google Scholar] [CrossRef]
  21. Sirvent, T.; Gibson, D. Induction of hypericins and hyperforin in Hypericum perforatum L. in response to biotic and chemical elicitors. Physiol. Mol. Plant Pathol. 2002, 60, 311–320. [Google Scholar] [CrossRef]
  22. Liu, X.N.; Zhang, X.Q.; Sun, J.S. Effects of cytokinins and elicitors on the production of hypericins and hyperforin metabolites in Hypericum sampsonii and Hypericum perforatum. Plant Growth Regul. 2007, 53, 207–214. [Google Scholar] [CrossRef]
  23. Pavlik, M.; Vacek, J.; Klejdus, B.; Kubáň, V. Hypericin and hyperforin production in St. John’s wort in vitro culture: Influence of saccharose, polyethylene glycol, methyl jasmonate, and Agrobacterium tumefaciens. J. Agric. Food Chem. 2007, 55, 6147–6153. [Google Scholar] [CrossRef]
  24. Wu, S.Q.; Yu, X.K.; Lian, M.L.; Park, S.Y.; Piao, X.C. Several factors affecting hypericin production of Hypericum perforatum during adventitious root culture in airlift bioreactors. Acta Physiol. Plant. 2014, 36, 975–981. [Google Scholar] [CrossRef]
  25. Gadzovska, S.; Maury, S.; Ounnar, S.; Righezza, M.; Kascakova, S.; Refregiers, M.; Joseph, C.; Hagège, D. Identification and quantification of hypericin and pseudohypericin in different Hypericum perforatum L. in vitro cultures. Plant Physiol. Biochem. 2005, 43, 591–601. [Google Scholar] [CrossRef]
  26. Gadzovska, S.; Maury, S.; Delaunay, A.; Spasenoski, M.; Hagège, D.; Courtois, D.; Joseph, C. The influence of salicylic acid elicitation of shoots, callus, and cell suspension cultures on production of naphtodianthrones and phenylpropanoids in Hypericum perforatum L. Plant Cell Tissue Organ Cult. 2013, 113, 25–39. [Google Scholar] [CrossRef]
  27. Levkov, V.; Gadžovska, S.; Tuševski, O.; Gjorgovska, N.; Mateva, N. Preliminary study of total phenolic content in traditional sheep cheese (Bieno Sirenje). Maced. J. Anim. Sci. 2014, 4, 31–35. [Google Scholar] [CrossRef]
  28. Tusevski, O.; Gadzovska Simic, S. Non-enzymatic and enzymatic antioxidant responses of Hypericum perforatum L. hairy roots upon photooxidative stress. Horticulturae 2023, 9, 581. [Google Scholar] [CrossRef]
  29. Arnous, A.; Makris, D.P.; Kefalas, P. Correlation of pigment and flavanol content with antioxidant properties in selected aged regional wines from Greece. J. Food Compos. Anal. 2002, 15, 655–665. [Google Scholar] [CrossRef]
  30. Giusti, M.M.; Rodriguez-Saona, L.E.; Wrolstad, R.E. Spectral characteristics, molar absorptivity and color of pelargonidin derivates. J. Agric. Food Chem. 1999, 47, 4631–4637. [Google Scholar] [CrossRef] [PubMed]
  31. Marron, N.; Delay, D.; Petit, J.M.; Dreyer, E.; Kahlem, G.; Delmotte, F.M.; Brignolas, F. Physiological traits of two Populus x euramericana clones, Luisa Avanzo and Dorskamp, during a water stress and re-watering cycle. Tree Physiol. 2002, 22, 49–858. [Google Scholar] [CrossRef]
  32. Fu, J.; Huang, B. Involvement of antioxidants and lipid peroxidation in the adaptation of two cool-season grasses to localized drought stress. Environ. Exp. Bot. 2001, 45, 105–114. [Google Scholar] [CrossRef]
  33. Gonzales, L.F.; Rojas, C.M.; Perez, J.F. Diferulate and lignin formation is related to biochemical differences of wall-bound peroxidases. Phytochemistry 1999, 50, 711–717. [Google Scholar] [CrossRef]
  34. An, D.; Wu, C.H.; Wang, M.; Wang, M.; Chang, G.N.; Chang, X.J.; Lian, M.L. Methyl jasmonate elicits enhancement of bioactive compound synthesis in adventitious root co-culture of Echinacea purpurea and Echinacea pallida. Vitr. Cell. Dev. Biol.-Plant 2022, 58, 181–187. [Google Scholar] [CrossRef]
  35. Gjureci, B.; Todorovska, M.; Stanoeva, J.P.; Tusevski, O.; Simic, S.G. Elicitation of Hypericum perforatum L. hairy root cultures with salicylic acid and jasmonic acid enhances the production of phenolic compounds and naphthodianthrones with biological activities. Plant Cell Tissue Organ Cult. 2025, 160, 61. [Google Scholar] [CrossRef]
  36. Yan, S.; Zhang, T.; Dong, S.; McLamore, E.S.; Wang, N.; Shan, X.; Shen, Y.; Wan, Y. MeJA affects root growth by modulation of transmembrane auxin flux in the transition zone. J. Plant Growth Regul. 2016, 35, 256–265. [Google Scholar] [CrossRef]
  37. Avalbaev, A.; Yuldashev, R.; Fedorova, K.; Somov, K.; Vysotskaya, L.; Allagulova, C.; Shakirova, F. Exogenous methyl jasmonate regulates cytokinin content by modulating cytokinin oxidase activity in wheat seedlings under salinity. J. Plant Physiol. 2016, 191, 101–110. [Google Scholar] [CrossRef] [PubMed]
  38. Abdollahpoor, M.; Kalantari, S.; Azizi, M.; Saadat, Y.A. Effects of methyl jasmonate and chitosan on shoot and callus growth of Iranian Hypericum perforatum L. in vitro cultures. J. Med. Plants By-Prod. 2017, 6, 165–172. [Google Scholar]
  39. Coste, A.; Vlase, L.; Halmagyi, A.; Deliu, C.; Coldea, G. Effects of plant growth regulators and elicitors on production of secondary metabolites in shoot cultures of Hypericum hirsutum and Hypericum maculatum. Plant Cell Tissue Organ Cult. 2011, 106, 279–288. [Google Scholar] [CrossRef]
  40. Paponov, M.; Antonyan, M.; Slimestad, R.; Paponov, I.A. Decoupling of plant growth and accumulation of biologically active compounds in leaves, roots, and root exudates of Hypericum perforatum L. by the combination of jasmonate and far-red lighting. Biomolecules 2021, 11, 1283. [Google Scholar] [CrossRef]
  41. Machado, R.A.; Baldwin, I.T.; Erb, M. Herbivory-induced jasmonates constrain plant sugar accumulation and growth by antagonizing gibberellin signaling and not by promoting secondary metabolite production. New Phytol. 2017, 215, 803–812. [Google Scholar] [CrossRef]
  42. Danova, K.; Motyka, V.; Trendafilova, A.; Dobrev, P.I.; Ivanova, V.; Aneva, I. Evolutionary Aspects of Hypericin Productivity and Endogenous Phytohormone Pools Evidenced in Hypericum Species In Vitro Culture Model. Plants 2022, 11, 2753. [Google Scholar] [CrossRef]
  43. Tusevski, O.; Todorovska, M.; Todorovska, I.; Stanoeva, J.P.; Simic, S.G. Photoperiod modulates the production of biologically active compounds in Hypericum perforatum L. hairy roots: An in vitro and in silico approach. Plant Cell Tissue Organ Cult. 2024, 156, 96. [Google Scholar] [CrossRef]
  44. Lucho-Constantino, G.G.; Zaragoza-Martínez, F.; Ponce-Noyola, T.; Cerda-García-Rojas, C.M.; Trejo-Tapia, G.; Esparza-García, F.; Ramos-Valdivia, A.C. Antioxidant responses under jasmonic acid elicitation comprise enhanced production of flavonoids and anthocyanins in Jatropha curcas leaves. Acta Physiol. Plant. 2017, 39, 165. [Google Scholar] [CrossRef]
  45. Dixon, R.A.; Achnine, L.; Kota, P.; Liu, C.J.; Reddy, M.S.; Wang, L. The phenylpropanoid pathway and plant defence—A genomics perspective. Mol. Plant Pathol. 2002, 3, 371–390. [Google Scholar] [CrossRef]
  46. Gadzovska Simic, S.; Tusevski, O.; Maury, S.; Delaunay, A.; Joseph, C.; Hagège, D. Effects of polysaccharide elicitors on secondary metabolite production and antioxidant response in Hypericum perforatum L. shoot cultures. Sci. World J. 2014, 2014, 609649. [Google Scholar] [CrossRef]
  47. Tusevski, O.; Todorovska, M.; Todorovska, I.; Petreska Stanoeva, J.; Gadzovska Simic, S. Production of Phenylpropanoids, Naphthodianthrones and antioxidant status of Hypericum perforatum L. Transgenic Shoots. Horticulturae 2024, 10, 59. [Google Scholar] [CrossRef]
  48. Franklin, G.; Conceição, L.F.; Kombrink, E.; Dias, A.C. Xanthone biosynthesis in Hypericum perforatum cells provides antioxidant and antimicrobial protection upon biotic stress. Phytochemistry 2009, 70, 60–68. [Google Scholar] [CrossRef] [PubMed]
  49. Tocci, N.; D’Auria, F.D.; Simonetti, G.; Panella, S.; Palamara, A.T.; Pasqua, G. A three-step culture system to increase the xanthone production and antifungal activity of Hypericum perforatum subsp. angustifolium in vitro roots. Plant Physiol. Biochem. 2012, 57, 54–58. [Google Scholar] [CrossRef] [PubMed]
  50. Valletta, A.; De Angelis, G.; Badiali, C.; Brasili, E.; Miccheli, A.; Di Cocco, M.E.; Pasqua, G. Acetic acid acts as an elicitor exerting a chitosan-like effect on xanthone biosynthesis in Hypericum perforatum L. root cultures. Plant Cell Rep. 2016, 35, 1009–1020. [Google Scholar] [CrossRef] [PubMed]
  51. Jirakiattikul, Y.; Rithichai, P.; Kwanthong, P.; Itharat, A. Effect of jasmonic acid elicitation period on enhancement of bioactive compounds and antioxidant activity in callus cultures of Hibicus sabdariffa Linn. Hortic. Environ. Biotechnol. 2021, 62, 629–636. [Google Scholar] [CrossRef]
  52. Yazdanian, E.; Golkar, P.; Vahabi, M.R.; Taghizadeh, M. Elicitation effects on some secondary metabolites and antioxidant activity in callus cultures of Allium jesdianum Boiss. & Buhse.: Methyl jasmonate and putrescine. Appl. Biochem. Biotechnol. 2022, 194, 601–619. [Google Scholar] [CrossRef]
  53. Ahmad Fauzi, N.S.; Abd Rahim, M.H.; Abdul Majid, N.; Othman, R.; Yaacob, J.S. Evaluation of the effect of jasmonic acid elicitation on composition of pigments and biological activities in green callus of neem (Azadirachta indica). Front. Sustain. Food Syst. 2022, 6, 1017398. [Google Scholar] [CrossRef]
  54. Chettri, K.; Majumder, J.; Gantait, S. Callus induction and elicitation for enhanced cyanidin accumulation coupled with antioxidant activities in tropical roses (Rosa spp.). Plant Cell Tissue Organ Cult. 2024, 157, 43. [Google Scholar] [CrossRef]
  55. Açikgöz, M.A.; Kara, Ş.M.; Aygün, A.; Özcan, M.M.; Ay, E.B. Effects of methyl jasmonate and salicylic acid on the production of camphor and phenolic compounds in cell suspension culture of endemic Turkish yarrow (Achillea gypsicola) species. Turk. J. Agric. For. 2019, 43, 351–359. [Google Scholar] [CrossRef]
  56. Gadzovska Simic, S.; Tusevski, O.; Maury, S.; Hano, C.; Delaunay, A.; Chabbert, B.; Lamblin, F.; Lainé, E.; Joseph, C.; Hagège, D. Fungal elicitor-mediated enhancement in phenylpropanoid and naphtodianthrone contents of Hypericum perforatum L. cell cultures. Plant Cell Tissue Organ Cult. 2015, 122, 213–226. [Google Scholar] [CrossRef]
  57. Gadzovska Simic, S.; Tusevski, O.; Maury, S.; Delaunay, A.; Lainé, E.; Joseph, C.; Hagège, D. Polysaccharide elicitors enhance phenylpropanoid and naphtodianthrone production in cell suspension cultures of Hypericum perforatum. Plant Cell Tissue Organ Cult. 2015, 122, 649–663. [Google Scholar] [CrossRef]
  58. Wang, Y.D.; Yuan, Y.J.; Wu, J.C. Induction studies of methyl jasmonate and salicylic acid on taxane production in suspension cultures of Taxus chinensis var. mairei. Biochem. Eng. J. 2004, 19, 259–265. [Google Scholar] [CrossRef]
  59. Tusevski, O.; Stanoeva, J.P.; Markoska, E.; Brndevska, N.; Stefova, M.; Gadzovska Simic, S. Callus cultures of Hypericum perforatum L. a novel and efficient source for xanthone production. Plant Cell Tissue Organ Cult. 2016, 125, 309–319. [Google Scholar] [CrossRef]
  60. Cirak, C.; Radušienė, J.; Kurtarc, E.S.; Marksa, M.; Ivanauskas, L. In vitro plant regeneration and jasmonic acid induced bioactive chemical accumulations in two Hypericum species from Turkey. S. Afr. J. Bot. 2020, 128, 312–318. [Google Scholar] [CrossRef]
  61. Tusevski, O.; Todorovska, M.; Petreska Stanoeva, J.; Gadzovska Simic, S. Phytochemical Analysis, Biological activities, and docking of phenolics from shoot cultures of Hypericum perforatum L. transformed by Agrobacterium rhizogenes. Molecules 2024, 29, 3893. [Google Scholar] [CrossRef] [PubMed]
  62. Ho, T.T.; Murthy, H.N.; Park, S.Y. Methyl jasmonate induced oxidative stress and accumulation of secondary metabolites in plant cell and organ cultures. Int. J. Mol. Sci. 2020, 21, 716. [Google Scholar] [CrossRef] [PubMed]
  63. Elbouzidi, A.; Taibi, M.; Baraich, A.; Haddou, M.; Loukili, E.H.; Asehraou, A.; Mesnard, F.; Addi, M. Enhancing secondary metabolite production in Pelargonium graveolens Hort. cell cultures: Eliciting effects of chitosan and jasmonic acid on bioactive compound production. Horticulturae 2024, 10, 521. [Google Scholar] [CrossRef]
Figure 1. Morphology of Hypericum perforatum (a) calli and (b) shoots elicited with 100 µM jasmonic acid at different post-elicitation periods.
Figure 1. Morphology of Hypericum perforatum (a) calli and (b) shoots elicited with 100 µM jasmonic acid at different post-elicitation periods.
Horticulturae 11 01210 g001
Figure 2. Biomass production of Hypericum perforatum (a) calli and (b) shoots elicited with jasmonic acid (JA). Asterisks indicate statistically significant differences compared to the control culture at each post-elicitation period (* p < 0.05, ** p < 0.01).
Figure 2. Biomass production of Hypericum perforatum (a) calli and (b) shoots elicited with jasmonic acid (JA). Asterisks indicate statistically significant differences compared to the control culture at each post-elicitation period (* p < 0.05, ** p < 0.01).
Horticulturae 11 01210 g002
Figure 3. Correlation analyses between growth, phenolic compounds, and naphthodianthrone production and phenylpropanoid enzyme activities, non-enzymatic, and enzymatic antioxidant activities in Hypericum perforatum calli (a) and shoots (b) elicited with jasmonic acid. Blue-colored circles presented positive correlation, while red-colored circles showed negative correlation. Black asterisks represent the significance of correlation (p < 0.05). FW: fresh biomass; TP: total phenolics; TF: total flavonoids; TFL: total flavan-3-ols; TANT: total anthocyanins; HYP: hypericin; PHYP: pseudohypericin; PAL: phenylalanine ammonia-lyase; CHI: chalcone isomerase; NEAOP: non-enzymatic antioxidant properties; CAT: catalase; POD: peroxidase.
Figure 3. Correlation analyses between growth, phenolic compounds, and naphthodianthrone production and phenylpropanoid enzyme activities, non-enzymatic, and enzymatic antioxidant activities in Hypericum perforatum calli (a) and shoots (b) elicited with jasmonic acid. Blue-colored circles presented positive correlation, while red-colored circles showed negative correlation. Black asterisks represent the significance of correlation (p < 0.05). FW: fresh biomass; TP: total phenolics; TF: total flavonoids; TFL: total flavan-3-ols; TANT: total anthocyanins; HYP: hypericin; PHYP: pseudohypericin; PAL: phenylalanine ammonia-lyase; CHI: chalcone isomerase; NEAOP: non-enzymatic antioxidant properties; CAT: catalase; POD: peroxidase.
Horticulturae 11 01210 g003
Figure 4. Phenolic compounds contents in Hypericum perforatum callus and shoot cultures elicited with jasmonic acid (JA). (a,b) Total phenolic compounds (TP), (c,d) total flavonoids (TF), (e,f) total flavan-3-ols (TFL), (g,h) total anthocyanins (TANT). GAE: gallic acid equivalents; QE: quercetin equivalents; CE: catechin equivalents; CGE: cyanidin-3-glucoside equivalents; DW: dry weight. Asterisks indicate statistically significant differences compared to the control culture at each post-elicitation period (* p < 0.05, ** p < 0.01, *** p < 0.001).
Figure 4. Phenolic compounds contents in Hypericum perforatum callus and shoot cultures elicited with jasmonic acid (JA). (a,b) Total phenolic compounds (TP), (c,d) total flavonoids (TF), (e,f) total flavan-3-ols (TFL), (g,h) total anthocyanins (TANT). GAE: gallic acid equivalents; QE: quercetin equivalents; CE: catechin equivalents; CGE: cyanidin-3-glucoside equivalents; DW: dry weight. Asterisks indicate statistically significant differences compared to the control culture at each post-elicitation period (* p < 0.05, ** p < 0.01, *** p < 0.001).
Horticulturae 11 01210 g004
Figure 5. Phenylpropanoid enzyme activities in Hypericum perforatum callus and shoot cultures elicited with jasmonic acid (JA). (a,b) Phenylalanine ammonia-lyase (PAL). (c,d) Chalcone isomerase (CHI). Asterisks indicate statistically significant differences compared to the control culture at each post-elicitation period (* p < 0.05, ** p < 0.01, *** p < 0.001).
Figure 5. Phenylpropanoid enzyme activities in Hypericum perforatum callus and shoot cultures elicited with jasmonic acid (JA). (a,b) Phenylalanine ammonia-lyase (PAL). (c,d) Chalcone isomerase (CHI). Asterisks indicate statistically significant differences compared to the control culture at each post-elicitation period (* p < 0.05, ** p < 0.01, *** p < 0.001).
Horticulturae 11 01210 g005
Figure 6. Naphthodianthrone production in Hypericum perforatum callus cultures elicited with jasmonic acid (JA). (a) Hypericin (HYP). (b) Pseudohypericin (PHYP). DW: dry weight. Asterisks indicate statistically significant differences compared to the control culture at each post-elicitation period (* p < 0.05, ** p < 0.01, *** p < 0.001).
Figure 6. Naphthodianthrone production in Hypericum perforatum callus cultures elicited with jasmonic acid (JA). (a) Hypericin (HYP). (b) Pseudohypericin (PHYP). DW: dry weight. Asterisks indicate statistically significant differences compared to the control culture at each post-elicitation period (* p < 0.05, ** p < 0.01, *** p < 0.001).
Horticulturae 11 01210 g006
Figure 7. Naphthodianthrone production in Hypericum perforatum shoot cultures elicited with jasmonic acid (JA). (a) Hypericin (HYP). (b) Pseudohypericin (PHYP). DW: dry weight. Asterisks indicate statistically significant differences compared to the control culture at each post-elicitation period (* p < 0.05, ** p < 0.01, *** p < 0.001).
Figure 7. Naphthodianthrone production in Hypericum perforatum shoot cultures elicited with jasmonic acid (JA). (a) Hypericin (HYP). (b) Pseudohypericin (PHYP). DW: dry weight. Asterisks indicate statistically significant differences compared to the control culture at each post-elicitation period (* p < 0.05, ** p < 0.01, *** p < 0.001).
Horticulturae 11 01210 g007
Figure 8. Antioxidant activities of Hypericum perforatum callus and shoot cultures elicited with jasmonic acid (JA). (a,b) Non-enzymatic antioxidant property (NEAOP), (c,d) catalase (CAT), (e,f) peroxidase (POD). Asterisks indicate statistically significant differences compared to the control culture at each post-elicitation period (* p < 0.05, ** p < 0.01, *** p < 0.001).
Figure 8. Antioxidant activities of Hypericum perforatum callus and shoot cultures elicited with jasmonic acid (JA). (a,b) Non-enzymatic antioxidant property (NEAOP), (c,d) catalase (CAT), (e,f) peroxidase (POD). Asterisks indicate statistically significant differences compared to the control culture at each post-elicitation period (* p < 0.05, ** p < 0.01, *** p < 0.001).
Horticulturae 11 01210 g008
Disclaimer/Publisher’s Note: The statements, opinions and data contained in all publications are solely those of the individual author(s) and contributor(s) and not of MDPI and/or the editor(s). MDPI and/or the editor(s) disclaim responsibility for any injury to people or property resulting from any ideas, methods, instructions or products referred to in the content.

Share and Cite

MDPI and ACS Style

Tusevski, O.; Petreska Stanoeva, J.; Bozhinovska, A.; Dzambazovska, S.; Gadzovska Simic, S. Effect of Jasmonic Acid on the Elicitation of Phenolic Compounds and Naphthodianthrones in Hypericum perforatum L. Callus and Shoot Cultures. Horticulturae 2025, 11, 1210. https://doi.org/10.3390/horticulturae11101210

AMA Style

Tusevski O, Petreska Stanoeva J, Bozhinovska A, Dzambazovska S, Gadzovska Simic S. Effect of Jasmonic Acid on the Elicitation of Phenolic Compounds and Naphthodianthrones in Hypericum perforatum L. Callus and Shoot Cultures. Horticulturae. 2025; 11(10):1210. https://doi.org/10.3390/horticulturae11101210

Chicago/Turabian Style

Tusevski, Oliver, Jasmina Petreska Stanoeva, Ana Bozhinovska, Stefana Dzambazovska, and Sonja Gadzovska Simic. 2025. "Effect of Jasmonic Acid on the Elicitation of Phenolic Compounds and Naphthodianthrones in Hypericum perforatum L. Callus and Shoot Cultures" Horticulturae 11, no. 10: 1210. https://doi.org/10.3390/horticulturae11101210

APA Style

Tusevski, O., Petreska Stanoeva, J., Bozhinovska, A., Dzambazovska, S., & Gadzovska Simic, S. (2025). Effect of Jasmonic Acid on the Elicitation of Phenolic Compounds and Naphthodianthrones in Hypericum perforatum L. Callus and Shoot Cultures. Horticulturae, 11(10), 1210. https://doi.org/10.3390/horticulturae11101210

Note that from the first issue of 2016, this journal uses article numbers instead of page numbers. See further details here.

Article Metrics

Back to TopTop