Enhancing Cherry Tomato Performance Under Water Deficit Through Microbial Inoculation with Bacillus subtilis and Burkholderia seminalis
Abstract
1. Introduction
2. Materials and Methods
2.1. Characterization of the Study Area
2.2. Experimental Design and Layout
2.3. Microbiolization
2.4. Seeding, Transplanting and Experimental Management
2.5. Experimental Analyses
2.5.1. Plant Morphometric Analyses
2.5.2. Fruit Morphometric Analyses, Productivity and Quality
2.5.3. Physiological Analyses
2.6. Statistical Analyses
3. Results and Discussion
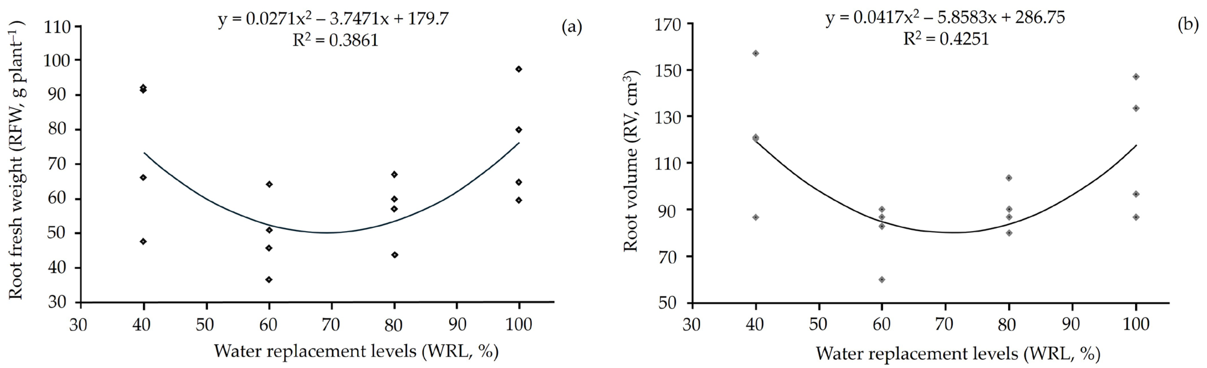
3.1. Plant Morphometric Analyses
3.2. Fruit Morphometric Analyses, Productivity and Quality
3.3. Physiological Analyses
3.4. Principal Component Analysis (PCA)
4. Conclusions
Author Contributions
Funding
Data Availability Statement
Acknowledgments
Conflicts of Interest
Correction Statement
References
- Ghaderi, N.; Hatami, M.R.; Mozafari, A.; Siosehmardeh, A. Change in antioxidant enzymes activity and some morpho-physiological characteristics of strawberry under long-term salt stress. Physiol. Mol. Biol. Plants 2018, 24, 833–843. [Google Scholar] [CrossRef]
- Hirst, A.K.; Anee, S.A.; Housley, M.J.; Qin, K.; Ferrarezi, R.S. Selected beneficial microbes alleviate salinity stress in hydroponic lettuce and pak choi. HortTechnology 2024, 34, 345–352. [Google Scholar] [CrossRef]
- Elsharawy, H.; Refat, M. SAL1 gene: A promising target for improving abiotic stress tolerance in plants, a mini review. Physiol. Mol. Biol. Plants 2025, 31, 1–9. [Google Scholar] [CrossRef]
- Singh, A.; Sharma, R.; Singh, S.; Singh, R.K.; Alexiou, A.; Sousa, J.R.; El-Ramady, H.; Burachevskaya, M.; Rajput, V.D.; Ghazaryan, K. Addressing abiotic stresses and advancing SDGs by biochar for sustainable agriculture and environmental restoration. Egypt. J. Soil Sci. 2025, 65, 463–489. [Google Scholar] [CrossRef]
- Mozafari, A.A.; Havas, F.; Ghaderi, N. Application of iron nanoparticles and salicylic acid in in vitro culture of strawberries (Fragaria × Ananassa Duch.) to cope with drought stress. Plant Cell Tissue Organ Cult. 2018, 132, 511–523. [Google Scholar] [CrossRef]
- Zahedi, S.M.; Karimi, M.; Venditti, A.; Zahra, N.; Siddique, K.H.; Farooq, M. Plant adaptation to drought stress: The role of anatomical and morphological characteristics in maintaining the water status. J. Soil Sci. Plant Nutr. 2024, 25, 409–427. [Google Scholar] [CrossRef]
- Machado, J.; Fernandes, A.P.G.; Bokor, B.; Vaculík, M.; Kostoláni, D.; Kokavcová, A.; Heuvelink, E.; Vasconcelos, M.W.; Carvalho, S.M.P. Tomato responses to nitrogen, drought and combined stresses: Shared and specific effects on vascular plant anatomy, nutrient partitioning and amino acids profile. Plant Physiol. Biochem. 2025, 221, 109649. [Google Scholar] [CrossRef]
- Meena, V.S.; Mishra, P.K.; Bisht, J.K.; Pattanayak, A. Agriculturally important microbes for sustainable agriculture. In Applications in Crop Production and Protection; Springer: Singapore, 2017; Volume 2, pp. 3–23. [Google Scholar] [CrossRef]
- Fahad, S.; Bajwa, A.A.; Nazir, U.; Anjum, S.A.; Farooq, A.; Zohaib, A.; Sadia, S.; Nasim, W.; Adkins, S.; Saud, S.; et al. Crop production under drought and heat stress: Plant responses and management options. Front. Plant Sci. 2017, 8, 1147. [Google Scholar] [CrossRef]
- Lu, J.; Jia, L.; Menenti, M.; Zheng, C.; Hu, G.; Ji, D. The impacts of drought on water availability: Spatial and temporal analysis in the belt and road region (2001–2020). Int. J. Digit. Earth 2025, 18, 1–26. [Google Scholar] [CrossRef]
- Valença, D.d.C.; de Carvalho, D.F.; Reinert, F.; Azevedo, R.A.; de Pinho, C.F.; Medici, L.O. Automatically controlled deficit irrigation of lettuce in “Organic potponics”. Sci. Agric. 2018, 75, 52–59. [Google Scholar] [CrossRef]
- Chandra, P.; Wunnava, A.; Verma, P.; Chandra, A.; Sharma, R.K. Strategies to mitigate the adverse effect of drought stress on crop plants—Influences of soil bacteria: A review. Pedosphere 2021, 31, 496–509. [Google Scholar] [CrossRef]
- Jalal, A.; Oliveira, C.E.d.S.; Bastos, A.d.C.; Fernandes, G.C.; de Lima, B.H.; Furlani Junior, E.; de Carvalho, P.H.G.; Galindo, F.S.; Gato, I.M.B.; Teixeira Filho, M.C.M. Nanozinc and plant growth-promoting bacteria improve biochemical and metabolic attributes of maize in tropical cerrado. Front. Plant Sci. 2023, 13, 1046642. [Google Scholar] [CrossRef]
- Naylor, D.; Coleman-Derr, D. Drought stress and root-associated bacterial communities. Front. Plant Sci. 2018, 8, 2223. [Google Scholar] [CrossRef]
- Chakraborty, N.; Halder, S.; Keswani, C.; Vaca, J.; Ortiz, A.; Sansinenea, E. New aspects of the effects of climate change on interactions between plants and microbiomes: A review. J. Basic Microbiol. 2024, 64, e2400345. [Google Scholar] [CrossRef]
- Flores Clavo, R.; Suclupe-Campos, D.O.; Castillo Rivadeneira, L.; Velez Chicoma, R.L.d.J.; Sánchez-Purihuamán, M.; Quispe Choque, K.G.; Casado Peña, F.L.; Binatti Ferreira, M.; Fantinatti Garboggini, F.; Carreño-Farfan, C. Harnessing PGPRs from Asparagus officinalis to increase the growth and yield of Zea mays L. Microb. Ecol. 2024, 87, 174. [Google Scholar] [CrossRef]
- Goswami, M.; Deka, S. Plant growth-promoting rhizobacteria—Alleviators of abiotic stresses in soil: A review. Pedosphere 2020, 30, 40–61. [Google Scholar] [CrossRef]
- Pal, L.; Dwivedi, V.; Dwivedi, V.; Tripathi, D.M. Microbial ACC Deaminase: Stress modulators in plants. In Microbial Enzymes: Production, Purification and Industrial Applications; Wiley: Hoboken, NJ, USA, 2025; Volume 2, pp. 697–720. [Google Scholar] [CrossRef]
- Asari, S.; Tarkowská, D.; Rolčík, J.; Novák, O.; Palmero, D.V.; Bejai, S.; Meijer, J. Analysis of plant growth-promoting properties of Bacillus amyloliquefaciens UCMB5113 using Arabidopsis thaliana as host plant. Planta 2017, 245, 15–30. [Google Scholar] [CrossRef]
- Gwa, V.I.; Ekefan, E.J. Microbial secondary metabolites and their roles in biocontrol of phytopathogens. In Bioactive Microbial Metabolites; Academic Press: Cambridge, MA, USA, 2024; pp. 1–30. [Google Scholar] [CrossRef]
- Teja, B.S.; Jamwal, G.; Gupta, V.; Verma, M.; Sharma, A.; Sharma, A.; Pandit, V. Biological control of bacterial leaf blight (BLB) in rice–A sustainable approach. Heliyon 2025, 11, e41769. [Google Scholar] [CrossRef]
- Rabbee, F.M.; Baek, K.H. Antimicrobial activities of lipopeptides and polyketides of Bacillus velezensis for agricultural applications. Molecules 2020, 25, 4973. [Google Scholar] [CrossRef]
- Alamoudi, S.A. Using some microorganisms as biocontrol agents to manage phytopathogenic fungi: A comprehensive review. J. Plant Pathol. 2024, 106, 3–21. [Google Scholar] [CrossRef]
- Liu, Y.; Shi, A.; Chen, Y.; Xu, Z.; Liu, Y.; Yao, Y.; Wang, Y.; Jia, B. Beneficial microorganisms: Regulating growth and defense for plant welfare. Plant Biotechnol. J. 2025, 23, 986–998. [Google Scholar] [CrossRef]
- Assouguem, A.; Hamadi, Y.; Amiri, S.; Mokrini, F.; Ennahli, S.; Lahlali, R. Exploring the impact of water stress and PGPR inoculation on morphological, physiological, and biochemical parameters in tomato plants. Atlas J. Plant Biol. 2024, 2024, 106–114. [Google Scholar] [CrossRef]
- Arshad, A.; Cîmpeanu, S.M.; Jerca, I.O.; Sovorn, C.; Ali, B.; Badulescu, L.A.; Drăghici, E.M. Assessing the growth, yield, and biochemical composition of greenhouse cherry tomatoes with special emphasis on the progressive growth report. BMC Plant Biol. 2024, 24, 1002. [Google Scholar] [CrossRef]
- Chen, Z.; Li, X.; Zhou, R.; Hu, E.; Peng, X.; Jiang, F.; Wu, Z. An optimized protocol for comprehensive evaluations of salt tolerance in crop germplasm accessions: A case study of tomato (Solanum lycopersicum L.). Agronomy 2024, 14, 842. [Google Scholar] [CrossRef]
- Vultaggio, L.; Bellitto, P.; Mancuso, F.; Campana, E.; Ciriello, M.; Consentino, B.B.; Rouphael, Y.; Colla, G.; Karavidas, I.; La Bella, S.; et al. Genotype-biostimulant association reveals the guidelines for an improved cherry tomato soilless cultivation. Sci. Hortic. 2025, 343, 114097. [Google Scholar] [CrossRef]
- Zulfiqar, F.; Akram, N.A.; Ashraf, M. Osmoprotection in plants under abiotic stresses: New insights into a classical phenomenon. Planta 2020, 251, 3. [Google Scholar] [CrossRef]
- Silva, P.C.; Ferreira, A.F.A.; Araújo, E.S.; Bessa Neto, J.V.; Costa, A.R.D.; Fernandes, L.D.S.; Martins, A.A.S.; Cândido, R.S.; Jardim, A.M.R.F.; Pandorfi, H.; et al. Cherry tomato crop management under irrigation levels: Morphometric characteristics and their relationship with fruit production and quality. Gesunde Pflanzen 2023, 75, 1277–1288. [Google Scholar] [CrossRef]
- Wang, L.; Ju, C.; Han, C.; Yu, Z.; Bai, M.Y.; Wang, C. The interaction of nutrient uptake with biotic and abiotic stresses in plants. J. Integr. Plant Biol. 2025, 67, 455–487. [Google Scholar] [CrossRef]
- Chandrasekaran, M.; Chun, S.C.; Oh, J.W.; Paramasivan, M.; Saini, R.K.; Sahayarayan, J.J. Bacillus subtilis CBR05 for tomato (Solanum lycopersicum) fruits in South Korea as a novel plant probiotic bacterium (PPB): Implications from total phenolics, flavonoids, and carotenoids content for fruit quality. Agronomy 2019, 9, 838. [Google Scholar] [CrossRef]
- Chang, Y.; Zhang, X.; Wang, C.; Ma, N.; Xie, J.; Zhang, J. Fruit quality analysis and flavor comprehensive evaluation of cherry tomatoes of different colors. Foods 2024, 13, 1898. [Google Scholar] [CrossRef]
- Mellado, J.C.; Lemus, J.O.; Santos, P.E.; Aguilar, L.M. The tomato rhizosphere, an environment rich in nitrogen-fixing Burkholderia species with capabilities of interest for agriculture and bioremediation. Appl. Environ. Microbiol. 2007, 73, 5308–5319. [Google Scholar] [CrossRef]
- Fan, B.; Blom, J.; Klenk, H.P.; Borriss, R. Bacillus amyloliquefaciens, Bacillus velezensis, and Bacillus siamensis form an “operational group b. amyloliquefaciens” within the B. subtilis species complex. Front. Microbiol. 2017, 8, 22. [Google Scholar] [CrossRef]
- Olanrewaju, O.S.; Glick, B.R.; Babalola, O.O. Mechanisms of action of plant growth promoting bacteria. World J. Microbiol. Biotechnol. 2017, 33, 197. [Google Scholar] [CrossRef]
- Thomas, B.O.; Lechner, S.L.; Ross, H.C.; Joris, B.R.; Glick, B.R.; Stegelmeier, A.A. Friends and foes: Bacteria of the hydroponic plant microbiome. Plants 2024, 13, 3069. [Google Scholar] [CrossRef]
- Singh, S.; Bhoi, T.K.; Vyas, V.; Khan, I.; Rathi, A.; Singh, I. Microbial bioinoculants: Boosting horticultural productivity. In Bio-Inoculants in Horticultural Crops; Woodhead Publishing: Cambridge, UK, 2024; pp. 1–20. [Google Scholar] [CrossRef]
- Sanyal, M.; Chowdhury, D.; Ghosh, A.; Bandyopadhyay, S. Bio-stimulating role of plant growth promoting microorganisms in the sustainable production of micro greens. In Recent Trends and Applications of Leguminous Microgreens as Functional Foods; Springer Nature: Cham, Switzerland, 2025; pp. 315–337. [Google Scholar] [CrossRef]
- Ding, S.; Li, P.; Tang, Y.; He, Z.; She, X. Identification and genomic insights into Bacillus siamensis strains with host colonization potential and activity against tomato bacterial wilt. Pest Manag. Sci. 2024, 81, 1547–1561. [Google Scholar] [CrossRef]
- Vibha, R.; Granada, D.L.; Skariyachan, S.; Ujwal, P.; Sandesh, K. In vitro and in silico investigation deciphering novel antifungal activity of endophyte Bacillus velezensis CBMB205 against Fusarium oxysporum. Sci. Rep. 2025, 15, 684. [Google Scholar] [CrossRef]
- Kaleramana, P.; Sangwan, S.; Swami, P.; Kumar, M.; Singh, S.; Kumar, K. Biosurfactant-mediated synthesis of nanosilver and its antagonistic activity towards microbial phytopathogens of tomato (Solanum lycopersicum L.) Crop. BioNanoScience 2025, 15, 176. [Google Scholar] [CrossRef]
- Peel, M.C.; Finlayson, B.L.; Mcmahon, T.A. Updated world map of the Koppen-Geiger climate classification. Hydrol. Earth Syst. Sci. 2007, 11, 1633–1644. [Google Scholar] [CrossRef]
- Romero, R.S. Bactérias Fitopatogênicas, 2nd ed.; UFV: Viçosa, Brazil, 2005. [Google Scholar]
- Araújo, W.L.; Maccheroni, W., Jr.; Aguilar-Vildoso, C.I.; Barroso, P.A.V.; Saridakis, H.O.; Azevedo, J.L. Variability and interactions between endophytic bacteria and fungi isolated from leaf tissues of citrus rootstocks. Can. J. Microbiol. 2001, 47, 229–236. [Google Scholar] [CrossRef]
- Casaroli, D.; Jong van Lier, Q.d. Critérios para determinação da capacidade de vaso. Rev. Bras. Ciência do Solo 2008, 32, 59–66. [Google Scholar] [CrossRef]
- Agbna, G.H.D.; Dongli, S.; Zhipeng, L.; Elshaikh, N.A.; Guangcheng, S.; Timm, L.C. Effects of deficit irrigation and biochar addition on the growth, yield, and quality of tomato. Sci. Hortic. 2017, 222, 90–101. [Google Scholar] [CrossRef]
- Borges, B.M.M.N.; Lucas, F.T.; Modesto, V.C.; Prado, R.D.M.; Santos, E.; Braos, B.B. Methods of determination dry matter and macronutrient content in lettuce leaves. Rev. Trópica 2011, 5, 12–16. [Google Scholar]
- AOAC. Official Methods of Analysis, 15th ed.; Association of Official Analytical Chemists: Washington, DC, USA, 1998. [Google Scholar]
- Wellburn, A.R. The spectral determination of chlorophylls a and b, as well as total carotenoids, using various solvents with spectrophotometers of different resolution. J. Plant Physiol. 1994, 144, 307–313. [Google Scholar] [CrossRef]
- Smart, R.E.; Bingham, G.E. Rapid estimates of relative water content. Plant Physiol. 1974, 53, 258–260. [Google Scholar] [CrossRef]
- Kaiser, H.F. The varimax criterion for analytic rotation in factor analysis. Psychometrika 1958, 23, 187–200. [Google Scholar] [CrossRef]
- R Core Team. R: A Language and Environment for Statistical Computing; R Foundation for Statistical Computing: Vienna, Austria, 2023; Available online: https://www.R-project.org/ (accessed on 30 August 2023).
- Oliveira, H.F.E.; Campos, H.M.; Mesquita, M.; Machado, R.L.; Vale, L.S.R.; Siqueira, A.P.S.; Ferrarezi, R.S. Horticultural performance of greenhouse cherry tomatoes irrigated automatically based on soil moisture sensor readings. Water 2021, 13, 2662. [Google Scholar] [CrossRef]
- Lima, T.P.; Gomes-Filho, R.R.; Cadore, R.; Freitas, D.S.; Carvalho, C.M.; Aguiar-Netto, A.O. Lâminas de irrigação e formas de adubação na produção de tomate de mesa. Agropecuária Técnica 2017, 38, 18–25. [Google Scholar] [CrossRef]
- Lu, J.; Shao, G.; Cui, J.; Wang, X.; Keabetswe, L. Yield, fruit quality and water use efficiency of tomato for processing under regulated deficit irrigation: A meta-analysis. Agric. Water Manag. 2019, 222, 301–312. [Google Scholar] [CrossRef]
- Cendales, T.C.; González, C.A.R.; Cuásquer, C.P.V.; Alzate, O.A.T.; Rodríguez, A.H. Bacillus effect on the germination and growth of tomato seedlings (Solanum lycopersicum L.). Acta Biol. Colomb. 2017, 22, 37–44. [Google Scholar] [CrossRef]
- Zechin, V.J.S.; Ikeda, A.C.; Mógor, Á.F. Alteraciones bioquímicas y de desarrollo de dos cultivares de tomate bajo la inoculación de diferentes dosis de Bacillus spp. Idesia 2022, 40, 59–66. [Google Scholar] [CrossRef]
- Kumar, P.; Aeron, A.; Shaw, N.; Singh, A.; Bajpai, V.K.; Pant, S.; Dubey, R.C. Seed bio-priming with tri-species consortia of phosphate solubilizing rhizobacteria (PSR) and its effect on plant growth promotion. Heliyon 2020, 6, e05701. [Google Scholar] [CrossRef]
- Sabu, R.; Aswani, R.; Nidheesh, K.S.; Ray, J.G.; Remakanthan, A.; Radhakrishnan, E.K. Beneficial changes in Capsicum frutescens due to priming by plant probiotic Burkholderia Spp. Probiotics Antimicrob. Proteins 2019, 11, 519–525. [Google Scholar] [CrossRef]
- Tripti; Kumar, A.; Usmani, Z.; Kumar, V.; Anshumali. Biochar and flyash inoculated with plant growth promoting rhizobacteria act as potential biofertilizer for luxuriant growth and yield of tomato plant. J. Environ. Manag. 2017, 190, 20–27. [Google Scholar] [CrossRef]
- Hwang, H.H.; Chien, P.R.; Huang, F.C.; Hung, S.H.; Kuo, C.H.; Deng, W.L.; Chiang, E.I.; Huang, C.C. A plant endophytic bacterium, Burkholderia seminalis Strain 869T2, promotes plant growth in Arabidopsis, pak choi, chinese amaranth, lettuces, and other vegetables. Microorganisms 2021, 9, 1703. [Google Scholar] [CrossRef]
- Tallapragada, P.; Dikshit, R.; Seshagiri, S. Influence of Rhizophagus spp. and Burkholderia seminalis on the growth of tomato (Lycopersicon esculatum) and bell pepper (Capsicum annuum) under drought stress. Commun. Soil Sci. Plant Anal. 2016, 47, 1975–1984. [Google Scholar] [CrossRef]
- Ünlü, E.; Yilmaz, S.; Yetişir, H.; Karim, A.A.; Gün, B.; Idris, A.B. Characterization of multi-trait plant growth-promoting rhizobacteria isolated from alfalfa rhizosphere and evaluation of their efficacy on tomato and watermelon growth. Discov. Agric. 2024, 2, 117. [Google Scholar] [CrossRef]
- Borriss, R. Phytostimulation and biocontrol by the plant-associated Bacillus amyloliquefaciens FZB42: An update. In Bacilli and Agrobiotechnology; Islam, M., Rahman, M., Pandey, P., Jha, C., Aeron, A., Eds.; Springer: Cham, Switzerland, 2016; pp. 163–184. ISBN 978-3-319-44408-6. [Google Scholar] [CrossRef]
- Kumar, P.S.; Singh, Y.; Nangare, D.D.; Bhagat, K.; Kumar, M.; Taware, P.B.; Kumari, A.; Minhas, P.S. Influence of growth stage specific water stress on the yield, physico-chemical quality and functional characteristics of tomato grown in shallow basaltic soils. Sci. Hortic. 2015, 197, 261–271. [Google Scholar] [CrossRef]
- Singh, V.K.; Singh, A.K.; Singh, P.P.; Kumar, A. Interaction of plant growth promoting bacteria with tomato under abiotic stress: A review. Agric. Ecosyst. Environ. 2018, 267, 129–140. [Google Scholar] [CrossRef]
- Muñoz-Torres, P.; Huanca-Mamani, W.; Cárdenas-Ninasivincha, S.; Aguilar, Y.; Quezada, A.; Bugueño, F. Plant growth-promoting and herbicidal bacteria as potential bio-based solutions for agriculture in desertic regions. Plants 2024, 14, 9. [Google Scholar] [CrossRef]
- Taiwo, M.O.; Akintokun, A.K. Plant growth-promoting bacteria delayed wilting and improved tomato yield when grown under water stress condition. J. Plant Nutr. 2025, 48, 1931–1949. [Google Scholar] [CrossRef]
- Yang, Y.; Luo, J.; Tang, Y.; Li, Z.; Yang, L.; Gao, J. Comparative evaluation of appearance and nutritional qualities of 57 tomato (Solanum lycopersicum L.) accessions. Horticulturae 2025, 11, 796. [Google Scholar] [CrossRef]
- Lovelli, S.; Potenza, G.; Castronuovo, D.; Perniola, M.; Candido, V. Yield, quality and water use efficiency of processing tomatoes produced under different irrigation regimes in Mediterranean environment. Ital. J. Agron. 2017, 12, 17–24. [Google Scholar] [CrossRef]
- Zheng, F.; Yang, P.; Ren, S.; Jiang, G.; He, X. Effect of regulated deficit irrigation on the plant growth, yield and quality of processing tomato under border irrigation in Hetao Irrigation District. China Agric. Univ. 2016, 21, 83–90. [Google Scholar] [CrossRef]
- Aini, N.; Yamika, W.S.D.; Pahlevi, R.W. The effect of nutrient concentration and inoculation of PGPR and AMF on the yield and fruit quality of hydroponic cherry tomatoes (Lycopersicon esculentum Mill. Var. Cerasiforme). J. Appl. Hortic. 2019, 21, 116–122. [Google Scholar] [CrossRef]
- Klunklin, W.; Savage, G. Effect on quality characteristics of tomatoes grown under well-watered and drought stress conditions. Foods 2017, 6, 56. [Google Scholar] [CrossRef]
- González-Chavira, M.M.; Herrera-Hernández, M.G.; Guzmán-Maldonado, H.; Pons-Hernández, J.L. Controlled water deficit as abiotic stress factor for enhancing the phytochemical content and adding-value of crops. Sci. Hortic. 2018, 234, 354–360. [Google Scholar] [CrossRef]
- Silva, C.J.; Pontes, N.C.; Golynski, A.; Braga, M.B.; Quezado-Duval, A.M.; Silva, N.E.P. Performance of processing tomatoes under different supply levels of crop evapotranspiration. Hortic. Bras. 2018, 36, 299–305. [Google Scholar] [CrossRef]
- Distefano, M.; Steingass, C.B.; Leonardi, C.; Giuffrida, F.; Schweiggert, R.; Mauro, R.P. Effects of a plant-derived biostimulant application on quality and functional traits of greenhouse cherry tomato cultivars. Food Res. Int. 2022, 157, 111218. [Google Scholar] [CrossRef]
- Balderas-Ruíz, K.A.; Gómez-Guerrero, C.I.; Trujillo-Roldán, M.A.; Valdez-Cruz, N.A.; Aranda-Ocampo, S.; Juárez, A.M.; Leyva, E.; Galindo, E.; Serrano-Carreón, L. Bacillus velezensis 83 increases productivity and quality of tomato (Solanum lycopersicum L.): Pre and Postharvest Assessment. Curr. Res. Microb. Sci. 2021, 2, 100076. [Google Scholar] [CrossRef]
- Akila, A.H.; Ali, M.A.S.; Khairy, A.M.; Elnahal, A.S.M.; Alfassam, H.E.; Rudayni, H.A.; Jaber, F.A.; Tohamy, M.R.A. Biological control of tomato bacterial leaf spots and its impact on some antioxidant enzymes, phenolic compounds, and pigment content. Biology 2024, 13, 369. [Google Scholar] [CrossRef]
- Lucas, J.A.; Garcia-villaraco, A.; Montero-palmero, M.B.; Solano, B.R.; Gutierrez-mañero, F.J.; Montalban, B. Physiological and genetic modifications induced by plant-growth-promoting rhizobacteria (PGPR) in tomato plants under moderate water stress. Biology 2023, 12, 901. [Google Scholar] [CrossRef]
- Tardieu, F.; Simonneau, T.; Muller, B. The physiological basis of drought tolerance in crop plants: A scenario-dependent probabilistic approach. Annu. Rev. Plant Biol. 2018, 69, 733–759. [Google Scholar] [CrossRef] [PubMed]
- Mutari, B.; Sibiya, J.; Matova, P.M.; Gasura, E.; Simango, K. Drought stress impact on agronomic, shoot, physiological, canning and nutritional quality traits of navy beans (Phaseolus vulgaris L.) under field conditions in Zimbabwe. Field Crops Res. 2023, 292, 108826. [Google Scholar] [CrossRef]
- Jardim, A.M.d.R.F.; da Silva, T.G.F.; de Souza, L.S.B.; Souza, M.d.S.; de Morais, J.E.F.; Araújo, G.D.N. Multivariate analysis in the morpho-yield evaluation of forage cactus intercropped with sorghum. Rev. Bras. Eng. Agric. Ambient. 2020, 24, 756–761. [Google Scholar] [CrossRef]
- Jardim, A.M.R.F.; Silva, M.V.; Silva, A.R.; Santos, A.; Pandorfi, H.; Oliveira-Júnior, J.F.; Lima, J.L.M.P.; Souza, L.S.B.; Araújo Júnior, G.N.; Lopes, P.M.O.; et al. Spatiotemporal climatic analysis in Pernambuco State, Northeast Brazil. J. Atmos. Sol.-Terr. Phys. 2021, 223, 105733. [Google Scholar] [CrossRef]
- Rapa, M.; Ciano, S.; Ruggieri, R.; Vinci, G. Bioactive compounds in cherry tomatoes (Solanum lycopersicum Var. Cerasiforme): Cultivation techniques classification by multivariate analysis. Food Chem. 2021, 355, 129630. [Google Scholar] [CrossRef]
- Barahona-Pico, Y.A.; Ortíz-Paz, R.A.; Narváez-Ortiz, I. The effect of Bacillus Spp. and vermicompost on the growth of cherry tomato, Solanum lycopersicum L., Fruits. Rev. Ciencias Agrícolas 2024, 41, e3244. [Google Scholar] [CrossRef]
- Xiao-ying, G.; Chun-e, H.; Tao, L.; Zhu, O. Effect of Bacillus subtilis and Pseudomonas fluorescens on growth of greenhouse tomato and rhizosphere microbial community. J. Northeast. Agric. Univ. (Engl. Ed.) 2015, 22, 32–42. [Google Scholar] [CrossRef]







| Variables | Bacillus subtilis | Burkholderia seminalis | Non-Inoculated | |
|---|---|---|---|---|
| SFW * | (g) | 578.6 ± 150.43 ab | 648.05 ± 168.49 a | 291.33 ± 75.74 b |
| SDW * | 209.06 ± 39.72 a | 205.79 ± 39.10 a | 87.27 ± 16.58 b | |
| RFW * | 69.25 ± 5.88 ab | 75.15 ± 6.39 a | 47.46 ± 4.03 b | |
| RDW ns | 12.15 ± 2.67 a | 13.84 ± 3.04 a | 9.37 ± 2.06 a | |
| RV * | (cm3) | 113.13 ± 29.59 a | 121.87 ± 31.88 a | 70.00 ± 18.31 b |
| Variables | Bacillus subtilis | Burkholderia seminalis | Non-Inoculated | |
|---|---|---|---|---|
| FW * | (g) | 4.18 ± 0.79 ab | 3.58 ± 0.68 b | 4.72 ± 0.89 a |
| SSC * | (°BRIX) | 7.04 ± 0.65 a | 6.97 ± 0.64 a | 5.10 ± 0.47 b |
| NSF * | (unitary) | 30.06 ± 6.39 ab | 26.77 ± 5.69 b | 36.52 ± 7.77 a |
| ED * | (mm) | 22.63 ± 3.39 a | 21.80 ± 3.27 ab | 20.49 ± 3.07 b |
| LD * | 22.40 ± 3.10 a | 22.28 ± 3.09 a | 20.99 ± 2.91 b | |
| Variable | WRL | Bacillus subtilis | Burkholderia seminalis | Non-Inoculated |
|---|---|---|---|---|
| NFC * | 40% | 3.50 ± 0.27 Ab | 5.27 ± 0.41 Aba | 2.95 ± 0.22Bb |
| 60% | 3.54 ± 0.27 Ab | 5.04 ± 0.39 Aba | 3.57 ± 0.27 Bb | |
| 80% | 3.05 ± 0.23 Ab | 6.24 ± 0.48 Aa | 2.94 ± 0.22 Bb | |
| 100% | 4.59 ± 0.35 Aa | 4.31 ± 0.33 Ba | 5.55 ± 0.43 Aa |
| WRL | Inoculation | WA | TA | pH | PN | CP |
|---|---|---|---|---|---|---|
| 40% | Bacillus subtilis | 0.98 | 0.42 | 3.73 | 4.09 | 11.13 |
| Burkholderia seminalis | 0.99 | 0.41 | 4.07 | 4.30 | 10.63 | |
| Non-inoculated | 0.98 | 0.58 | 4.09 | 4.42 | 14.90 | |
| 60% | Bacillus subtilis | 0.99 | 0.52 | 3.73 | 5.18 | 16.05 |
| Burkholderia seminalis | 0.99 | 0.40 | 4.14 | 4.86 | 12.83 | |
| Non-inoculated | 0.99 | 0.44 | 4.20 | 4.88 | 12.47 | |
| 80% | Bacillus subtilis | 0.99 | 0.52 | 4.30 | 4.51 | 17.86 |
| Burkholderia seminalis | 0.99 | 0.52 | 4.12 | 4.49 | 15.08 | |
| Non-inoculated | 0.99 | 0.50 | 4.07 | 4.60 | 17.13 | |
| 100% | Bacillus subtilis | 0.99 | 0.52 | 4.10 | 4.12 | 13.25 |
| Burkholderia seminalis | 0.99 | 0.47 | 4.10 | 3.96 | 12.25 | |
| Non-inoculated | 0.99 | 0.47 | 4.10 | 3.96 | 12.25 |
| Variable | WRL | Bacillus subtilis | Burkholderia seminalis | Non-Inoculated |
|---|---|---|---|---|
| Chlorophyll a * (µg g−1 plant) | 40% | 7.04 Aa | 5.83 ABab | 4.73 Bb |
| 60% | 7.46 Aa | 3.98 Bb | 5.39 ABb | |
| 80% | 8.09 Aa | 4.89 Bb | 6.88 Aa | |
| 100% | 7.89 Aa | 7.52 Aa | 6.57 Aba | |
| Chlorophyll b * | µg g−1 plant | 4.07 a | 2.92 b | 3.29 b |
| Carotenoid * | 1.58 a | 1.22 b | 1.50 a |
| Variable | WRL | Bacillus subtilis | Burkholderia seminalis | Non-Inoculated |
|---|---|---|---|---|
| LWC ** (%) | 40% | 35.39 BCa | 30.83 Ba | 17.93 Cb |
| 60% | 34.11 Ca | 36.57 Ba | 32.35 Ba | |
| 80% | 47.75 Aba | 32.50 Bb | 35.65 ABab | |
| 100% | 53.68 Aab | 64.27 Aa | 47.34 Ab |
Disclaimer/Publisher’s Note: The statements, opinions and data contained in all publications are solely those of the individual author(s) and contributor(s) and not of MDPI and/or the editor(s). MDPI and/or the editor(s) disclaim responsibility for any injury to people or property resulting from any ideas, methods, instructions or products referred to in the content. |
© 2025 by the authors. Licensee MDPI, Basel, Switzerland. This article is an open access article distributed under the terms and conditions of the Creative Commons Attribution (CC BY) license (https://creativecommons.org/licenses/by/4.0/).
Share and Cite
Oliveira, H.F.E.d.; Silva, T.D.; Silva, J.L.B.d.; Selaria, P.J.R.G.; Silva, M.V.d.; Mesquita, M.; Silva, J.A.O.S.; Ferrarezi, R.S. Enhancing Cherry Tomato Performance Under Water Deficit Through Microbial Inoculation with Bacillus subtilis and Burkholderia seminalis. Horticulturae 2025, 11, 1157. https://doi.org/10.3390/horticulturae11101157
Oliveira HFEd, Silva TD, Silva JLBd, Selaria PJRG, Silva MVd, Mesquita M, Silva JAOS, Ferrarezi RS. Enhancing Cherry Tomato Performance Under Water Deficit Through Microbial Inoculation with Bacillus subtilis and Burkholderia seminalis. Horticulturae. 2025; 11(10):1157. https://doi.org/10.3390/horticulturae11101157
Chicago/Turabian StyleOliveira, Henrique Fonseca Elias de, Thiago Dias Silva, Jhon Lennon Bezerra da Silva, Priscila Jane Romano Gonçalves Selaria, Marcos Vinícius da Silva, Marcio Mesquita, Josef Augusto Oberdan Souza Silva, and Rhuanito Soranz Ferrarezi. 2025. "Enhancing Cherry Tomato Performance Under Water Deficit Through Microbial Inoculation with Bacillus subtilis and Burkholderia seminalis" Horticulturae 11, no. 10: 1157. https://doi.org/10.3390/horticulturae11101157
APA StyleOliveira, H. F. E. d., Silva, T. D., Silva, J. L. B. d., Selaria, P. J. R. G., Silva, M. V. d., Mesquita, M., Silva, J. A. O. S., & Ferrarezi, R. S. (2025). Enhancing Cherry Tomato Performance Under Water Deficit Through Microbial Inoculation with Bacillus subtilis and Burkholderia seminalis. Horticulturae, 11(10), 1157. https://doi.org/10.3390/horticulturae11101157

